ORIGINAL RESEARCH article
Front. Energy Res.
Sec. Smart Grids
This article is part of the Research TopicApplication of Edge Artificial Intelligence in Energy SystemsView all 6 articles
Coordinated control strategy of grid-forming converter based on passive control and deep reinforcement learning
Provisionally accepted- Northeast Branch of State Grid Corporation of China, Shenyang, China
 
Select one of your emails
You have multiple emails registered with Frontiers:
Notify me on publication
Please enter your email address:
If you already have an account, please login
You don't have a Frontiers account ? You can register here
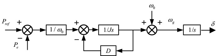
For frequency and voltage stability control of grid-forming converters in high-power electronic scenarios, this paper proposes a grid-forming converter grid-connection stability control strategy based on passive control and deep reinforcement learning. Firstly, the virtual synchronous generator (VSG) is written in the port-Hamiltonian form to clarify the interconnection and dissipative structure, and the achievable passive control law is obtained by energy shaping and damping injection. Then, DDPG is introduced to adjust the damping parameters online, so that the control has adaptive ability under multiple working conditions, and the closed-loop system is proved to be asymptotically stable based on Lyapunov function. Finally, the simulation example analysis is carried out. In the simulation of power mutation, voltage imbalance, short-circuit fault and load change, this method significantly reduces the overshoot and adjustment time compared with VSG-PI and fixed parameter PBC, and improves the steady-state error and energy dissipation rate. The simulation results verify the effectiveness of the combination of physical consistency and strategy adaptation.
Keywords: Virtual synchronous control, passive control, Hamiltonian model, DeepReinforcement Learning, New energy
Received: 24 Sep 2025; Accepted: 03 Nov 2025.
Copyright: © 2025 Huang, Hou, Xia, Wang, Liu and Yang. This is an open-access article distributed under the terms of the Creative Commons Attribution License (CC BY). The use, distribution or reproduction in other forums is permitted, provided the original author(s) or licensor are credited and that the original publication in this journal is cited, in accordance with accepted academic practice. No use, distribution or reproduction is permitted which does not comply with these terms.
* Correspondence: Zhen  Huang, huangzhen789123@163.com
Disclaimer: All claims expressed in this article are solely those of the authors and do not necessarily represent those of their affiliated organizations, or those of the publisher, the editors and the reviewers. Any product that may be evaluated in this article or claim that may be made by its manufacturer is not guaranteed or endorsed by the publisher.
