ORIGINAL RESEARCH article
Front. Energy Res.
Sec. Process and Energy Systems Engineering
Dynamic Performance of a Free Piston Expander-Linear Generator for Small-Scale Organic Rankine Cycle under Variable Operating Conditions: An Experimental and Numerical Investigation
Provisionally accepted- 1Beijing Polytechnic, Beijing, China
- 2Ningde Normal University, Ningde, China
- 3University of Wisconsin-Green Bay, Green Bay, United States
- 4Beijing Information Science and Technology University, Beijing, China
Select one of your emails
You have multiple emails registered with Frontiers:
Notify me on publication
Please enter your email address:
If you already have an account, please login
You don't have a Frontiers account ? You can register here
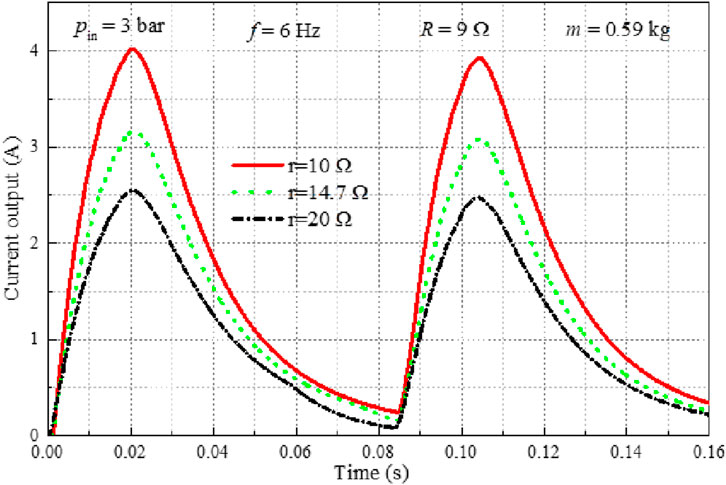
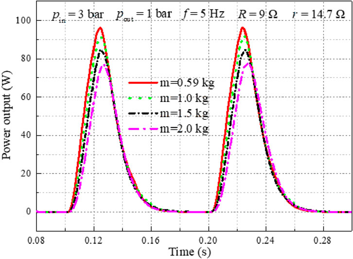
To tackle the critical challenge of adapting free piston expander-linear generators to the dynamic operating conditions of vehicle engine waste heat recovery Organic Rankine Cycle systems, this study introduces a comprehensive Matlab/Simulink simulation framework that integrates multi-physics coupling of thermal, mechanical, and electromagnetic dynamics. Unlike prior models focusing on steady-state performance, this work systematically quantifies the transient interactions between key design parameters—free piston assembly mass and linear generator internal resistance—and their impact on electromagnetic force generation, piston motion stability, and power output under variable intake/exhaust pressures. The study reveals that intake pressure and exhaust back pressure are the dominant dynamic factors affecting FPE-LG efficiency, with a 22% improvement in power output (96.0 W) and voltage stability (30.0 V) achieved by optimizing these pressures alongside free piston assembly mass (0.59 kg) and LG resistance (14.7 Ω). A parametric sensitivity analysis further identifies non-linear trade-offs between component sizing and operational frequency (5 Hz), providing a design map for balancing performance and durability. The methodology enables rapid prototyping of vehicle-specific free piston expander-linear generator system, with potential applications in hybrid electric vehicles, commercial trucks, and marine engines. Further work could integrate real-time control algorithms for adaptive pressure regulation and explore low global warming potential working fluids to enhance sustainability. This research lays the foundation for scalable, high-efficiency waste heat recovery technologies in mobile applications.
Keywords: Organic Rankine cycle, Free piston expander-linear generator, Motion characteristics, Variable operation conditions, Output performance
Received: 01 Oct 2025; Accepted: 11 Nov 2025.
Copyright: © 2025 Yan, Lai, Deng, Zhang and Xu. This is an open-access article distributed under the terms of the Creative Commons Attribution License (CC BY). The use, distribution or reproduction in other forums is permitted, provided the original author(s) or licensor are credited and that the original publication in this journal is cited, in accordance with accepted academic practice. No use, distribution or reproduction is permitted which does not comply with these terms.
* Correspondence:
Lianfeng Lai, lailianfeng@ndnu.edu.cn
Zhihui Deng, t2304@ndnu.edu.cn
Disclaimer: All claims expressed in this article are solely those of the authors and do not necessarily represent those of their affiliated organizations, or those of the publisher, the editors and the reviewers. Any product that may be evaluated in this article or claim that may be made by its manufacturer is not guaranteed or endorsed by the publisher.
