Your new experience awaits. Try the new design now and help us make it even better

PERSPECTIVE article

Front. Oncol., 17 September 2025

Sec. Cancer Molecular Targets and Therapeutics

Volume 15 - 2025 | https://doi.org/10.3389/fonc.2025.1636570

This article is part of the Research TopicInnovative Strategies for the Discovery of New Therapeutic Targets in Cancer TreatmentView all 14 articles

Role and prognostic value of oncostatin M and its receptor OSMR in acute myeloid leukemia, myeloproliferative neoplasms and non-hematological malignancies

  • Mater Research – The University of Queensland, Woolloongabba, QLD, Australia

The oncostatin M receptor (OSMR) has recently emerged as an adverse prognostic factor in acute myeloid leukemia (AML) and several non-hematological malignancies. In this perspective, we discuss how oncostatin M (OSM) and its receptor OSMR regulate tumor cells as well as mesenchymal and endothelial cells, which are key components of hematopoietic stem cell and tumor stem cell niches, and how these mechanisms could explain the poor prognosis associated with high expression of OSM and OSMR in hematological and non-hematological malignancies.

1 Introduction

High expression of oncostatin M (OSM) receptor OSMR has recently emerged as a poor prognosis factor in several malignancies such as acute myeloblastic leukemia (AML), gliomas, pancreatic, gastric and kidney carcinomas. In this perspective, we perform a larger in silico survey of the prognostic value of high OSMR and OSM transcripts in 33 malignancies and discuss the mechanisms involved in the adverse effects of high OSM-mediated signaling in malignant cells and the tumor microenvironment, and potential treatments to target this signaling pathway.

OSM is an inflammatory cytokine of the interleukin-6 (IL-6) family. OSM binds to two different receptors made up of glycoprotein-130 (GP130, gene IL6ST in humans Il6st in mice) complexed with either transmembrane OSM receptor (OSMR, gene OSMR in humans or Osmr in mice) or with leukemia inhibitory factor receptor (LIFR) (1, 2). Both OSMR and LIFR have very long intracellular domains enabling the docking of many kinases and adaptors, eliciting similar but not identical signaling in response to OSM (3, 4). OSM is mostly produced by activated myeloid cells (granulocytes, monocytes and macrophages) as well as all cells of the osteoblast lineage (3, 5, 6), and astrocytes, neurons, microglia in the brain (7). In contrast, its receptor OSMR is not expressed by leukocytes or hematopoietic stem and progenitor cells (HSPC) but expressed by cells of the mesenchymal and endothelial lineages in the bone marrow (6) and other tissues. OSM is a regulator of both hematopoiesis and skeleton homeostasis mostly via the OSMR: GP130 receptor complex (6) and plays important roles in inflammatory responses in skeletal (8, 9) and cardiac (10) muscles, lung (11), liver (12, 13), intestine (14), adipose (15), skin (16, 17) and joints (18). Adding to the complexity of OSMR protein roles, OSMR protein complexed with the IL-31 receptor α chain IL31RA acts as a receptor for IL-31 (19). Recent literature now highlights important roles of both OSMR and OSM in the pathogenesis and response to treatment of several malignancies as detailed below.

2 OSM and OSMR in hematological malignancies

In a recent paper, high throughput proteomic analysis on more than 550 newly diagnosed AML patients demonstrated that high plasma concentration of soluble OSMR protein was a strong independent predictor of poor survival and early mortality (20). These clinical data suggest an oncogenic role of OSMR-mediated signaling and are consistent with the anti-proliferative effect of OSMR gene inactivation in mice and humans. Indeed, Osmr-/- mice display mild anemia and thrombocytopenia (2123) with decreased HSPC cycling in the bone marrow, increased HSPC chemotactic response, increased HSPC mobilization into the blood in response to G-CSF or CXCR4 antagonists, as well as decreased expression of genes associated with cell cycling, lipid metabolism, and erythropoiesis in hematopoietic stem cells (HSC) (5). Another recent report has shown that biallelic loss-of-function of the OSM gene in humans causes profound anemia, thrombocytopenia and neutropenia (24). Therefore, OSM and OSMR-mediated signaling contributes to increased HSPC cycling and retention within the bone marrow, enabling sufficient erythropoiesis and thrombopoiesis output. Interestingly, the hematopoietic effects of OSMR are mediated via the hematopoietic environment as OSMR mRNA is undetectable to very low in mouse and human HSPC (5) or in AML blasts (20). Reville et al. highlighted that high OSMR protein production and transcript expression was limited to mesenchymal stromal cells (MSCs) while undetectable in AML blasts in cultures of leukemic marrow aspirates (20). However, their culture system did not enable the survival and growth of bone marrow endothelial cells, which similar to MSCs, express high levels of OSMR transcripts and protein (5, 6) and are key functional regulatory elements of HSC niches and leukemia stem cell niches (2530). Therefore, the source of sOSMR protein in the blood of AML patients could be endothelial cells as well as MSCs and the deregulation of these niche cell types in the bone marrow may be involved in the mechanisms of poorer outcome in patients with high sOSMR protein.

As the OSMR ligand OSM is expressed by myeloid cells (particularly neutrophils and macrophages) and osteoblasts in the bone marrow (3, 5), we plotted the expression of OSM transcripts in the 9,736 tumor and 8,587 normal tissue samples contained in The Cancer Genome Atlas (TCGA) database using Gene Expression Profiling and Interactive Analysis (GEPIA) website (31, 32) (Figure 1A). OSM transcripts were significantly higher in AML samples than normal bone marrow samples (“LAML” in Figure 1A). Overall survival (OS) Kaplan-Meier plot from AML patients with 50% highest content and 50% lowest content in OSM transcripts is shown in Figure 1B. Although the p values of p=0.055 for differences were just above the significance threshold of p=0.05, AML patients with highest levels of OSM transcript had a trend to shorter OS with a 1.7 hazard ratio compared to AML patients with lowest OSM transcripts. Considering that high sOSMR protein is significantly associated with poorer prognosis in AML (20), confirmation of a significant association between poor prognosis and high OSM transcripts in a larger cohort of AML patients is warranted. In regard to the alternative OSMR ligand interleukin-31 (IL-31), IL31 transcripts were detected at least 2 orders of magnitude lower compared to OSM transcripts (Figure 1C) and there was no difference in OS between high and low IL31 expressing AML with the 50% cut-off (Figure 1D). Therefore, it is likely that the adverse effect of high OSM transcript and sOSMR protein in AML is mediated via its ligand OSM acting indirectly via bone marrow mesenchymal and endothelial cells which express both OSMR with its co-receptor GP130 (5, 22, 23) rather than IL-31-mediated signaling. One of the adverse effects of OSM-OSMR interaction may be mediated through its induction of E-selectin expression by endothelial cells (33) as E-selectin mediated signaling in AML stem cells increases their resistance to the cytotoxic effects of chemotherapy (30) (see model in Figure 1E).

Figure 1
Graphs and diagrams depict gene expression and survival data. Panels A and C show transcripts per million (TPM) for OSM and IL31 across different cancer types. Panels B and D display survival curves for high and low TPM levels of these genes. Panel E compares normal bone marrow and AML bone marrow environments, highlighting differences in cell interactions and signaling pathways, such as OSM's role in proliferation and chemosensitivity.

Figure 1. Expression of transcripts for OSMR ligands OSM and IL-31 with overall survival plots of AML patients with highest and lowest expression OSM and IL31 transcripts. (A) OSM transcript quantification in transcripts per million in various tumors (red dots) versus paired normal tissues (green dots) extracted from the TCGA database stratified as adrenocortical carcinoma (ACC), bladder urothelial carcinoma (BLCA), breast invasive carcinoma (BRCA), cervical squamous cell carcinoma and endocervical adenocarcinoma (CESC), cholangial carcinoma (CHOL), colon adenocarcinoma (COAD), diffuse large B-cell lymphoma (DLBC), esophageal carcinoma (ESCA), glioblastoma multiform (GBM), head and neck squamous cell carcinoma (HNSC), kidney chromophobe carcinoma (KICH), kidney renal clear cell carcinoma (KIRC), kidney renal papillary cell carcinoma (KIRP), acute myeloid leukemia (LAML), lower grade glioma (LGG), hepatocellular carcinoma (LIHC), lung adenocarcinoma (LUAD), lung squamous cell carcinoma (LUSC), mesothelioma (MESO), ovarian serous cystadenocarcinoma (OV), pancreatic adenocarcinoma (PAAD), pheochromocytoma and paraganglioma (PCPG), prostate adenocarcinoma (PARD), rectum adenocarcinoma (READ), sarcoma (SARC), skin cutaneous melanoma (SKCM), stomach adenocarcinoma (STAD), testicular germ cell tumor (TGCT), thyroid carcinoma (THCA), thymoma (THYM), uterine corpus endometrial carcinoma (UCEC), uterine carcinosarcoma (UCS) and uveal melanoma (UVM). Bars show median value for each tumor (T) and normal tissue (N) with number of samples indicated. Significant differences in OSM transcripts per million between malignant and paired normal tissues are indicated with colored malignancy abbreviation above the chart in red for OSM overexpressed in tumor versus paired normal tissue and in green for OSM under-expressed in malignant versus paired normal tissue. (B) Kaplan-Meier plots of overall survival of AML patients with 50% highest (red plot) and 50% lowest OSM (blue plot) transcripts, log-rank test p value, hazard ratio (HR), significance of hazard ratio p(HR) and number of patients are indicated on the plot (n=106). (C) IL31 transcript in various tumors (red dots) versus paired normal matching tissues (green dots) extracted from the TCGA database and stratified as described in (A). (D) Kaplan-Meier plots of overall survival of AML with 50% highest and 50% lowest IL31 transcripts. (E) Model of OSM and OSMR effects on normal hematopoiesis (left side) and AML (right side). In normal bone marrow, low level of OSM is released by myeloid cells stimulating basal production of cytokines/growth factors by MSCs and endothelial cells expressing OSMR/GP130 receptor complex and forming HSPC niches. In the leukemic bone marrow, malignant AML blasts express and release high levels of OSM, stimulating MSCs and endothelial cells via the OSMR/GP130 receptor complex they express, to release excessive amounts of growth factors, cytokines, and sOSMR protein as well as boost endothelial E-selectin expression, all contributing to enhanced AML blast proliferation, migration and chemoresistance. Similar effects may occur in multiple myeloma, Philadelphia-negative MPN, and solid tumors. Panels (A–D) were generated by using the GEPIA website in April 2025 (32).

In respect to other hematological malignancies, OSM mRNA are reportedly high in Philadelphia-negative myeloproliferative neoplasm (Ph- MPN) cells with a constitutively active JAK2 tyrosine kinase mutations such as JAK2V617F (34), with increased OSM protein concentration in Ph- MPN patient bone marrow cells and blood plasma (34). Furthermore cytokine production by primary fibroblasts from MPN patients is increased in response to OSM via OSMR expressed by fibroblasts (34). Therefore, sOSMR and its ligand OSM may also have prognostic value in Ph- MPN. This hypothesis is consistent with the following findings: 1) Transduction of a JAK2V617F mutant in myeloid cell lines dramatically increases OSM expression (34). 2) OSM promotes HSPC proliferation, erythropoiesis and thrombopoiesis in vivo (5, 21) indirectly via bone marrow niche cells that express OSMR (5, 6). 3) In a mouse model of lymphoproliferative neoplasm driven by activating mutation of the FLT3 tyrosine kinase domain (FLT3-TKD), co-transduction with OSM cDNA switched the lymphoproliferative FLT3-TKD neoplasm to a myeloproliferative neoplasm suggesting that OSM is a potent inducer of a pro-myeloid niche (35). 4) Transplantation of mouse HSCs overexpressing OSM resulted in fatal myelofibrosis (36), a common adverse evolution of Ph- MPNs. Further along this latter point, it has recently emerged that activating JAK2V617F mutation upregulates the expression of the “don’t eat me” antigen CD24 at the surface of neutrophils enabling the accumulation of old senescent neutrophils to escape efferocytosis and accumulate in the bone marrow promoting evolution to myelofibrosis (37). As neutrophils are a major source of OSM protein in the bone marrow (5, 6) and OSM overexpression triggers myelofibrosis (36), accumulation of OSM secreted by senescent JAK2V617F neutrophils may be a driver of the evolution of polycythemia vera (the most frequent clinical manifestation of MPNs with JAK2V617F driving mutation) to myelofibrosis which has worse clinical outcome.

In respect to lymphoid neoplasms, high sOSMR (19) and OSM (38) protein concentrations have also been reported in the serum of multiple myeloma patients. However, high plasma OSM had no significant prognostic value in newly diagnosed multiple myeloma patients (38) and the potential prognosis value of sOSMR concentrations in multiple myeloma has not been reported.

3 OSM and OSMR in non-hematological malignancies

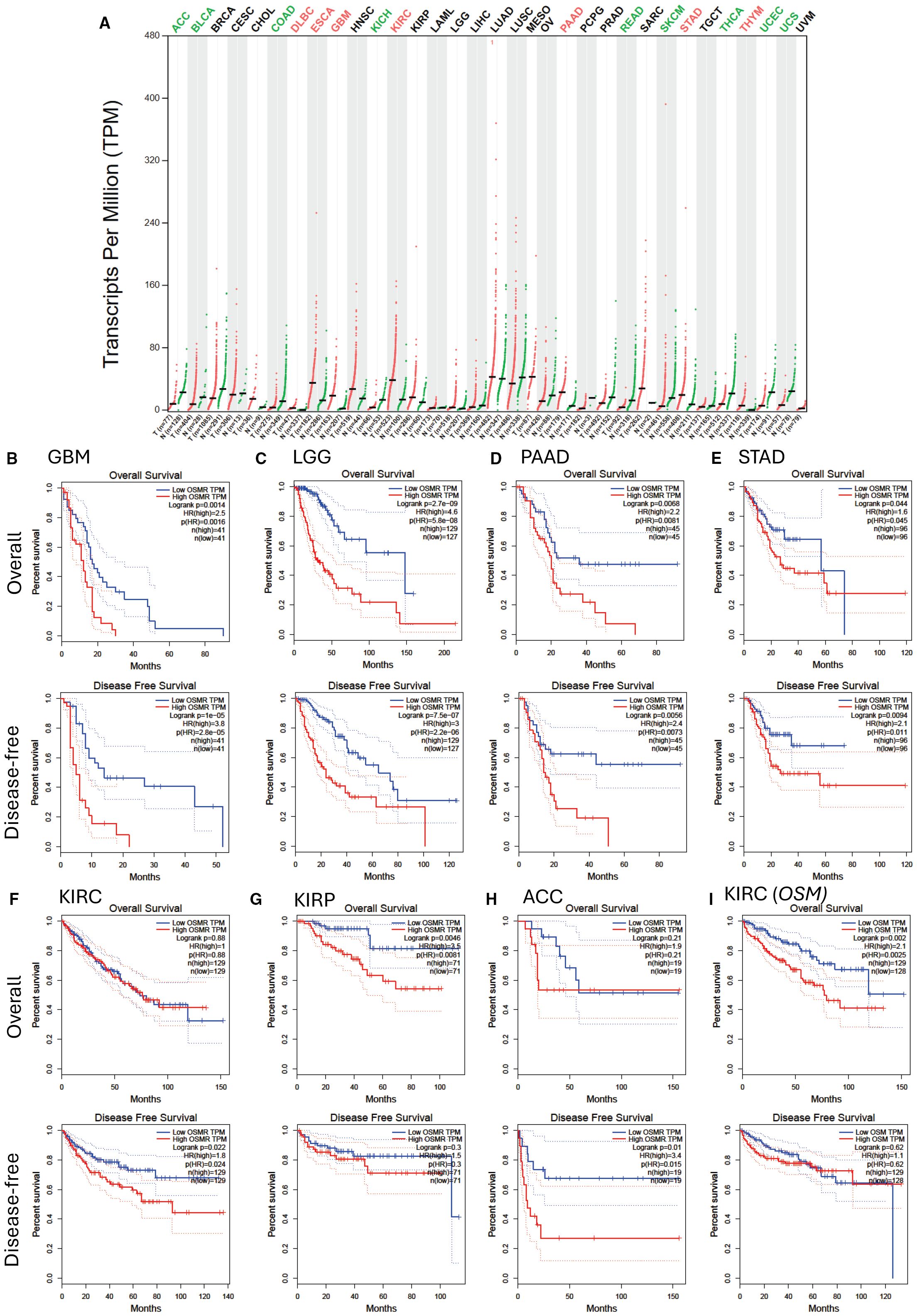
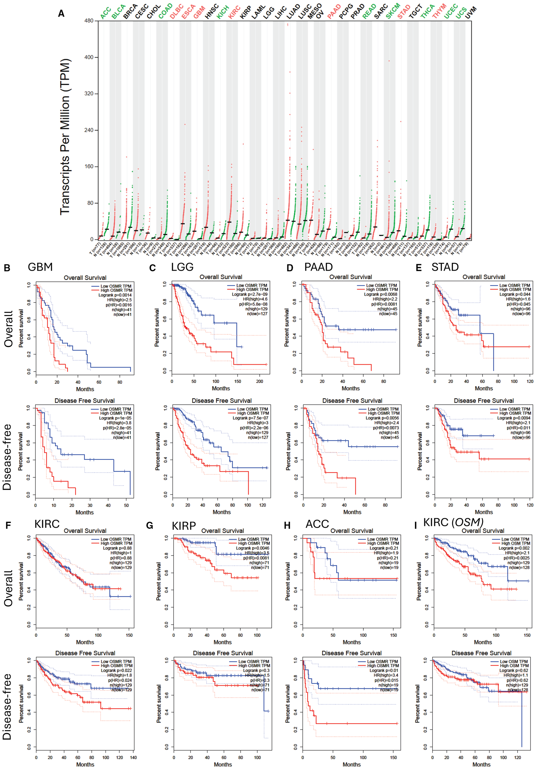
Endothelial cells (39, 40) and mesenchymal cells (41) are important players in cancer stem cell niches within solid tumors. As OSMR is expressed by these cells (5, 22, 23) as well as some mucosal and glandular epithelial cells (42), OSMR and OSM may also play important roles in several non-hematological malignancies by directly acting on tumor cells or indirectly via endothelial and mesenchymal cells such as fibroblasts in the tumor environment. In support of this, high OSMR transcript content is a poor prognosis factor in glioblastoma (43, 44), pancreatic adenocarcinoma (45), and gastric cancer (46). Analysis of OSMR transcript expression in all tumor types and corresponding healthy tissues in the TCGA database (Figure 2A) showed OSMR transcripts are significantly more expressed in tumors than the paired normal tissues in esophageal carcinoma (ESCA), glioblastoma multiform (GBM), kidney renal clear cell carcinoma (KIRC), pancreatic adenocarcinoma (PAAD), stomach adenocarcinoma (STAD) and thymoma (THYM). Lower grade glioma (LGG) had higher expression of OSMR when compared to healthy tissue, but this was not significant. As samples were generally higher in solid tumor datasets compared to AML, we used a more stringent quartile cut-off and plotted OS and disease-free survival (DFS) from the 25% highest OSMR transcript expressing tumors (High OSMR) and 25% lowest OSMR expressing tumors (Low OSMR). GBM, LGG, PAAD and STAD with highest OSMR transcripts had significantly worse OS, DFS and hazard ratios than the same tumors with lowest OSMR expression (Figures 2B–E). High OSMR transcripts in KIRC had no effect on OS but significantly poorer DFS (Figure 2F). Among tumor types with similar OSMR transcripts compared to paired normal tissue, kidney renal papillary cell carcinoma (KIRP) had significantly worse OS but no difference in DFS (Figure 2G). Unexpectedly, adrenocortical carcinoma (ACC), had significantly less OSMR transcripts compared to paired normal tissue (Figure 2A) but patients with high OSMR transcripts had significantly poorer DFS and equivalent OS (Figure 2H). We could not find any significant difference in OS and DFS between high and low OSMR expression in all other tumor types contained in the TCGA database (result not shown).

Figure 2
Chart A displays transcripts per million (TPM) data across various cancer types, highlighting different expression levels. Charts B to I show survival plots for different cancers, including GBM, LGG, PAAD, STAD, KIRC, KIRP, ACC, and KIRC (OSM). Each plot compares overall and disease-free survival between low and high OSMR TPM levels, with statistical details included, such as hazard ratios and p-values. The survival curves are color-coded, with blue and red representing high and low TPM levels, respectively.

Figure 2. OSMR transcript expression and patient survival of highest and lowest 25% OSMR transcript expressing tumors. (A) OSMR transcript quantification in transcripts per million in various tumors (red dots) versus paired normal tissues (green dots) extracted from the TCGA database stratified as described in Figure 1A. Significant differences in OSMR transcript per million between malignant and paired normal tissues are indicated with colored malignancy abbreviations above the chart with red for OSMR transcripts significantly overexpressed in tumor versus paired normal tissue and green for OSMR transcripts significantly under-expressed in malignant versus paired normal tissue. (B–H) Kaplan-Meier plots of overall and disease-free survival of patients with 25% highest OSMR transcript (red curves) versus lowest 25% OSMR transcript (blue curves) for (B) glioblastoma multiform (GBM, n=162), (C) low grade glioma (LGG, n=514), (D) pancreatic adenocarcinoma (PAAD, n=178), (E) stomach adenocarcinoma (STAD, n=384), (F) kidney renal clear cell carcinoma (KIRC, n=516), (G) kidney papillary cell carcinoma (KIRP, n=280), and (H) adrenocortical carcinoma (ACC, n=76). (I) Kaplan-Meier plots of overall and disease-free survival of patients with 25% highest OSM transcript (red curves) versus lowest 25% OSM transcript (blue curves) for kidney renal clear cell carcinoma (KIRC). Log-rank test p value, hazard ratio (HR), significance of hazard ratio p(HR) and number of patients are indicated on each plot. Panels were generated by using the GEPIA website in April 2025 (32).

Reciprocally, OSM mRNA expression was significantly higher in GBM, PAAD and AML compared to corresponding healthy tissue (Figure 1A). OS was significantly worse in KIRC with high OSM transcripts but there was no significant difference in DFS (Figure 2I). There was no difference in OS or DFS between high and low OSM transcript levels in GBM or PAAD patients (result not shown). We also checked that these findings were similar with a median cut-off (50%) for OSMR and OSM transcripts (Supplementary Figure 1). This was true except for KIRP and ACC which did not show significant difference for OS or DFS with a 50% cut-off.

The poorer prognosis of tumors with high OSMR transcripts is consistent with previously reported effects of OSM or OSMR gene knock-down on these tumor types. For instance, OSM protein has been reported to increase migration, invasiveness and mesenchymal phenotype of GBM cell lines (43), and OSMR protein can translocate to the mitochondrial matrix to protect GBM stem cells from irradiation (44). Likewise OSM has been found to enhance tumor growth and epithelial-to-mesenchymal transition of pancreatic ductal adenocarcinoma cell lines in vivo in immunodeficient mice via OSMR (45). Additionally, OSM produced by macrophages has been found to induce an inflammatory phenotype in PAAD-associated fibroblasts providing a pro-tumorigenic environment in PAAD (47). OSM also promotes the proliferation of gastric cancer cells in vitro and in vivo in Nude mice (46). Finally, OSM has been reported to increase migration, invasiveness and epithelial-to-mesenchymal transition of clear cell renal carcinoma cell lines in vitro (48). Importantly, deletion of the VHL gene specifically in kidney tubule cells in mice (approximately 70% of clear cell renal carcinoma have inactivating mutation of VHL) induces production of OSM which in turn pushes kidney endothelial cells into an endothelial-to-mesenchymal transition to support VHL-defective tubule cell transformation and promote macrophage polarization towards a tissue-supportive M2-like phenotype (49). This vicious loop between OSM-expressing VHL-defective tubule cells and activated endothelium expressing OSMR is functionally important as injection of neutralizing OSM antibodies into immuno-deficient mice transplanted with human clear cell renal carcinoma cells inhibited primary tumor vascularization, growth and metastasis (49).

4 Discussion

Kaplan-Meier plots in Figures 1, 2 and previous reports discussed above clearly indicate that the interaction of OSM with the OSMR: GP130 receptor complex plays a role in the pathobiology and response to treatment of a number of malignancies such as AML, MPNs, glioma and glioblastoma, pancreatic, gastric and renal carcinomas where high expression of OSMR or OSM transcripts has poor prognosis value. The effects of the OSM: OSMR interaction are multipronged as it can alter either the function of malignant stem cell niches as observed in malignant hematological stem cells that do not express OSMR such as AML or MPNs, or directly act on malignant cells that express OSMR with further support from tumor-associated fibroblasts and endothelial cells which also express OSMR.

As OSM protein is highly expressed by activated neutrophils, monocytes and macrophages, blood concentration of OSM protein may not be a reliable prognosis marker of cancer treatment outcome because OSM concentration is also elevated during infections, sepsis (50, 51), acute and chronic inflammation (14, 16, 52) or in response to therapeutic treatments with myelopoietic cytokines such as granulocyte colony-stimulating factor (5). On the other hand, OSMR is not expressed by leukocytes but by non-hematopoietic malignant cells, as well as endothelial and mesenchymal cells forming the tumor environment. As soluble sOSMR protein is produced by alternative splicing of the OSMR transcript in exon 8 (19), it is likely that sOSMR protein may be similarly increased in the plasma of patients with tumors expressing high levels of OSMR transcripts, although actual concentrations of plasma sOSMR were not measured in patient samples from the TCGA used for our in silico analysis.

5 Conclusion and perspectives

Blood sOSMR concentration may represent an easily measurable prognosis marker not only in AML as recently reported (20) but also in the other malignancies discussed in this perspective, which warrants further clinical studies for its prognostic potential. In regards of possible treatments of patients with high levels of sOSMR protein or OSMR or OSM gene expression, the main axis of OSMR-mediated signaling is via tyrosine phosphorylation and activation of transcription factors STAT1 and STAT3 (and in some cell types STAT5) via tyrosine kinases JAK1 and JAK2 (4, 6). Therefore, adjunct treatments with small non-selective JAK1 and JAK2 tyrosine kinase inhibitors such as ruxolitinib, tofacitinib and others (53) may improve outcome in these patients. Therapeutics that specifically target OSMR or OSM such as the humanized neutralizing anti-OSM monoclonal antibody GSK2330811 may also be of interest to treat AML patients with high sOSMR protein or OSM transcripts as GSK2330811 was found to induce thrombocytopenia, anemia and mild neutropenia in patients with diffuse cutaneous systemic sclerosis (54). Effectiveness of such neutralizing OSM antibodies in other malignancies in which high OSMR expression leads to poorer outcome remains to be established. In conclusion, elevated OSMR-mediated signaling is emerging as a poor prognosis factor in a number of malignancies such as AML, GBM, LGG, STAD, KIRC and KIRP. Consequently, OSMR gene expression and sOSMR protein blood concentration should be systematically measured in patients with these diseases and clinical trials should be undertaken to test efficacy of adjunct therapies with JAK1/2 inhibitors or neutralizing OSM antibodies to current best treatments.

Data availability statement

The original contributions presented in the study are included in the article/Supplementary Material. Further inquiries can be directed to the corresponding author.

Author contributions

JL: Formal analysis, Methodology, Writing – review & editing, Conceptualization, Writing – original draft. KB: Writing – review & editing, Writing – original draft. KA: Writing – review & editing, Writing – original draft. IW: Writing – review & editing, Writing – original draft.

Funding

The author(s) declare financial support was received for the research and/or publication of this article. JL, KB, KA and IW are supported by the Mater Foundation.

Conflict of interest

The authors declare that the research was conducted in the absence of any commercial or financial relationships that could be construed as a potential conflict of interest.

Generative AI statement

The author(s) declare that no Generative AI was used in the creation of this manuscript.

Any alternative text (alt text) provided alongside figures in this article has been generated by Frontiers with the support of artificial intelligence and reasonable efforts have been made to ensure accuracy, including review by the authors wherever possible. If you identify any issues, please contact us.

Publisher’s note

All claims expressed in this article are solely those of the authors and do not necessarily represent those of their affiliated organizations, or those of the publisher, the editors and the reviewers. Any product that may be evaluated in this article, or claim that may be made by its manufacturer, is not guaranteed or endorsed by the publisher.

Supplementary material

The Supplementary Material for this article can be found online at: https://www.frontiersin.org/articles/10.3389/fonc.2025.1636570/full#supplementary-material

Glossary

ACC: adrenocortical carcinoma

AML: acute myeloblastic leukemia

BLCA: bladder urothelial carcinoma

CESC: cervical squamous cell carcinoma and endocervical adenocarcinoma

CHOL: cholangial carcinoma

COAD: colon adenocarcinoma

DFS: disease-free survival

DLBC: diffuse large B-cell lymphoma

ESCA: esophageal carcinoma

FLT-3: Fms-like tyrosine-protein kinase-3

GBM: glioblastoma multiform

GEPIA: Gene expression Profiling and Interactive Analysis

GP130: glycoprotein-130

HNSC: head and neck squamous cell carcinoma

HSC: hematopoietic stem cell

HSPC: hematopoietic stem and progenitor cell

IL: interleukin

JAK: Janus tyrosine-kinase

KICH: kidney chromophobe carcinoma

KIRC: kidney renal clear cell carcinoma

KIRP: kidney renal papillary cell carcinoma

LAML: acute myeloid leukemia

LGG: lower grade glioma

LIHC: hepatocellular carcinoma

LUAD: lung adenocarcinoma

LUSC: lung squamous cell carcinoma

MESO: mesothelioma

MPN: myeloproliferative neoplasm

MSC: mesenchymal stromal cell

OS: overall survival

OSM: oncostatin M

OSMR: oncostatin M receptor

sOSMR: soluble oncostatin M receptor protein

OV: ovarian serous cystadenocarcinoma

PAAD: pancreatic adenocarcinoma

PCGP: pheochromocytoma and paraganglioma

PARD: prostate adenocarcinoma

READ: rectum adenocarcinoma

SARC: sarcoma

SKCM: skin cutaneous melanoma

STAD: stomach adenocarcinoma

STAT: signal transducer and activator of transduction

TCGA: The Cancer Genome Atlas

TGCT: testicular germ cell tumor

THCA: thyroid carcinoma

THYM: thymoma

UCEC: uterine corpus endometrial carcinoma

UCS: uterine carcinosarcoma

UVM: uveal melanoma

VHL: von Hippel Lindau protein

References

1. Mosley B, De Imus C, Friend D, Boiani N, Thoma B, Park LS, et al. Dual oncostatin M (OSM) receptors. Cloning and characterization of an alternative signaling subunit conferring OSM-specific receptor activation. J Biol Chem. (1996) 271:32635–43. doi: 10.1074/jbc.271.51.32635

PubMed Abstract | Crossref Full Text | Google Scholar

2. Ichihara M, Hara T, Kim H, Murate T, and Miyajima A. Oncostatin M and leukemia inhibitory factor do not use the same functional receptor in mice. Blood. (1997) 90:165–73. doi: 10.1182/blood.V90.1.165

Crossref Full Text | Google Scholar

3. Walker EC, McGregor NE, Poulton IJ, Solano M, Pompolo S, Fernandes TJ, et al. Oncostatin M promotes bone formation independently of resorption when signaling through leukemia inhibitory factor receptor in mice. J Clin Invest. (2010) 120:582–92. doi: 10.1172/JCI40568

PubMed Abstract | Crossref Full Text | Google Scholar

4. Hermanns HM. Oncostatin M and interleukin-31: Cytokines, receptors, signal transduction and physiology. Cytokine Growth Factor Rev. (2015) 26:545–58. doi: 10.1016/j.cytogfr.2015.07.006

PubMed Abstract | Crossref Full Text | Google Scholar

5. Bisht K, McGirr C, Lee S-Y, Tseng H-W, Fleming W, Alexander KA, et al. Oncostatin M regulates hematopoietic stem cell (HSC) niches in the bone marrow to restrict HSC mobilization. Leukemia. (2022) 36:333–47. doi: 10.1038/s41375-021-01413-z

PubMed Abstract | Crossref Full Text | Google Scholar

6. Sims NA and Lévesque J-P. Oncostatin M: Dual regulator of the skeletal and hematopoietic systems. Curr Osteoporos Rep. (2024) 22:80–95. doi: 10.1007/s11914-023-00837-z

PubMed Abstract | Crossref Full Text | Google Scholar

7. Houben E, Hellings N, Broux B, and Oncostatin M. an underestimated player in the central nervous system. Front Immunol. (2019) 10:1165. doi: 10.3389/fimmu.2019.01165

PubMed Abstract | Crossref Full Text | Google Scholar

8. Sampath SC, Sampath SC, Ho ATV, Corbel SY, Millstone JD, Lamb J, et al. Induction of muscle stem cell quiescence by the secreted niche factor oncostatin M. Nat Commun. (2018) 9:1531. doi: 10.1038/s41467-018-03876-8

PubMed Abstract | Crossref Full Text | Google Scholar

9. Jengelley DHA, Wang M, Narasimhan A, Rupert JE, Young AR, Zhong X, et al. Exogenous oncostatin M induces cardiac dysfunction, musculoskeletal atrophy, and fibrosis. Cytokine. (2022) 159:155972. doi: 10.1016/j.cyto.2022.155972

PubMed Abstract | Crossref Full Text | Google Scholar

10. Kubin T, Pöling J, Kostin S, Gajawada P, Hein S, Rees W, et al. Oncostatin M is a major mediator of cardiomyocyte dedifferentiation and remodeling. Cell Stem Cell. (2011) 9:420–32. doi: 10.1016/j.stem.2011.08.013

PubMed Abstract | Crossref Full Text | Google Scholar

11. Headland SE, Dengler HS, Xu D, Teng G, Everett C, Ratsimandresy RA, et al. Oncostatin M expression induced by bacterial triggers drives airway inflammatory and mucus secretion in severe asthma. Sci Transl Med. (2022) 14:eabf8188. doi: 10.1126/scitranslmed.abf8188

PubMed Abstract | Crossref Full Text | Google Scholar

12. Luo P, Wang P-X, Li Z-Z, Zhang X-J, Jiang X, Gong J, et al. Hepatic oncostatin M receptor β regulates obesity-induced steatosis and insulin resistance. Am J Pathol. (2016) 186:1278–92. doi: 10.1016/j.ajpath.2015.12.028

PubMed Abstract | Crossref Full Text | Google Scholar

13. Foglia B, Sutti S, Pedicini D, Cannito S, Bocca C, Maggiora M, et al. Oncostatin M, a profibrogenic mediator overexpressed in non-alcoholic fatty liver disease, stimulates migration of hepatic myofibroblasts. Cells. (2020) 9:28. doi: 10.3390/cells9010028

PubMed Abstract | Crossref Full Text | Google Scholar

14. West NR, Hegazy AN, Owens BMJ, Bullers SJ, Linggi B, Buonocore S, et al. Oncostatin M drives intestinal inflammation and predicts response to tumor necrosis factor-neutralizing therapy in patients with inflammatory bowel disease. Nat Med. (2017) 23:579–89. doi: 10.1038/nm.4307

PubMed Abstract | Crossref Full Text | Google Scholar

15. Elks CM, Zhao P, Grant RW, Hang H, Bailey JL, Burk DH, et al. Loss of oncostatin M signaling in adipocytes induces insulin resistance and adipose tissue inflammation in vivo. J Biol Chem. (2016) 291:17066–76. doi: 10.1074/jbc.M116.739110

PubMed Abstract | Crossref Full Text | Google Scholar

16. Boniface K, Diveu C, Morel F, Pedretti N, Froger J, Ravon E, et al. Oncostatin M secreted by skin infiltrating T lymphocytes is a potent keratinocyte activator involved in skin inflammation. J Immunol. (2007) 178:4615–22. doi: 10.4049/jimmunol.178.7.4615

PubMed Abstract | Crossref Full Text | Google Scholar

17. Wang ECE, Dai Z, Ferrante AW, Drake CG, and Christiano AM. A subset of TREM2+ dermal macrophages secretes oncostatin M to maintain hair follicle stem cell quiescence and inhibit hair growth. Cell Stem Cell. (2019) 24:654–69.e6. doi: 10.1016/j.stem.2019.01.011

PubMed Abstract | Crossref Full Text | Google Scholar

18. Garcia JP, Utomo L, Rudnik-Jansen I, Du J, Zuithoff NPA, Krouwels A, et al. Association between oncostatin M expression and inflammatory phenotype in experimental arthritis models and osteoarthritis patients. Cells. (2021) 10:508. doi: 10.3390/cells10030508

PubMed Abstract | Crossref Full Text | Google Scholar

19. Diveu C, Venereau E, Froger J, Ravon E, Grimaud L, Rousseau F, et al. Molecular and functional characterization of a soluble form of oncostatin M/interleukin-31 shared receptor. J Biol Chem. (2006) 281:36673–82. doi: 10.1074/jbc.M607005200

PubMed Abstract | Crossref Full Text | Google Scholar

20. Reville PK, Wang B, Marvin-Peek J, Yuan B, Kuo Y-A, Garza AI, et al. Blood-based proteomic profiling identifies OSMR as a novel biomarker of AML outcomes. Blood. (2025) 145:3015–28. doi: 10.1182/blood.2024027244

PubMed Abstract | Crossref Full Text | Google Scholar

21. Tanaka M, Hirabayashi Y, Sekiguchi T, Inoue T, Katsuki M, and Miyajima A. Targeted disruption of oncostatin M receptor results in altered hematopoiesis. Blood. (2003) 102:3154–62. doi: 10.1182/blood-2003-02-0367

PubMed Abstract | Crossref Full Text | Google Scholar

22. Minehata K, Takeuchi M, Hirabayashi Y, Inoue T, Donovan PJ, Tanaka M, et al. Oncostatin M maintains the hematopoietic microenvironment and retains hematopoietic progenitors in the bone marrow. Int J Hematol. (2006) 84:319–27. doi: 10.1532/ijh97.06090

PubMed Abstract | Crossref Full Text | Google Scholar

23. Sato F, Miyaoka Y, Miyajima A, and Tanaka M. Oncostatin M maintains the hematopoietic microenvironment in the bone marrow by modulating adipogenesis and osteogenesis. PLoS One. (2014) 9:e116209. doi: 10.1371/journal.pone.0116209

PubMed Abstract | Crossref Full Text | Google Scholar

24. Garrigue A, Kermasson L, Susini S, Fert I, Mahony CB, Sadek H, et al. Human oncostatin M deficiency underlies an inherited severe bone marrow failure syndrome. J Clin Invest. (2025) 135:e180981. doi: 10.1172/jci180981

PubMed Abstract | Crossref Full Text | Google Scholar

25. Ding L, Saunders TL, Enikolopov G, and Morrison SJ. Endothelial and perivascular cells maintain hematopoietic stem cells. Nature. (2012) 481:457–62. doi: 10.1038/nature10783

PubMed Abstract | Crossref Full Text | Google Scholar

26. Winkler IG, Barbier V, Nowlan B, Jacobsen RN, Forristal CE, Patton JT, et al. Vascular niche E-selectin regulates hematopoietic stem cell dormancy, self-renewal and chemoresistance. Nat Med. (2012) 18:1651–7. doi: 10.1038/nm.2969

PubMed Abstract | Crossref Full Text | Google Scholar

27. Himburg HA, Termini CM, Schlussel L, Kan J, Li M, Zhao L, et al. Distinct bone marrow sources of pleiotrophin control hematopoietic stem cell maintenance and regeneration. Cell Stem Cell. (2018) 23:370–81.e5. doi: 10.1016/j.stem.2018.07.003

PubMed Abstract | Crossref Full Text | Google Scholar

28. Itkin T, Gur-Cohen S, Spencer JA, Schajnovitz A, Ramasamy SK, Kusumbe AP, et al. Distinct bone marrow blood vessels differentially regulate hematopoiesis. Nature. (2016) 532:323–8. doi: 10.1038/nature17624

PubMed Abstract | Crossref Full Text | Google Scholar

29. Furuhashi K, Kakiuchi M, Ueda R, Oda H, Ummarino S, Ebralidze AK, et al. Bone marrow niches orchestrate stem-cell hierarchy and immune tolerance. Nature. (2025) 638:206–15. doi: 10.1038/s41586-024-08352-6

PubMed Abstract | Crossref Full Text | Google Scholar

30. Barbier V, Erbani J, Fiveash C, Davies JM, Tay J, Tallack MR, et al. Endothelial E-selectin inhibition improves acute myeloid leukemia therapy by disrupting vascular niche-mediated chemoresistance. Nat Commun. (2020) 11:2042. doi: 10.1038/s41467-020-15817-5

PubMed Abstract | Crossref Full Text | Google Scholar

31. Tang Z, Li C, Kang B, Gao G, Li C, and Zhang Z. GEPIA: a web server for cancer and normal gene expression profiling and interactive analyses. Nucleic Acids Res. (2017) 45:W98–W102. doi: 10.1093/nar/gkx247

PubMed Abstract | Crossref Full Text | Google Scholar

32. Tang Z, Li C, and Kang B. GEPIA Gene Expression Profiling and Interactive Analysis. China: Peking University (2025). Available online at: http://gepia.cancer-pku.cn/detail.php?gene=osm (Accessed May 22, 2025).

Google Scholar

33. Yao L, Setiadi H, Xia L, Laszik Z, Taylor FB, and McEver RP. Divergent inducible expression of P-selectin and E-selectin in mice and primates. Blood. (1999) 94:3820–8. doi: 10.1182/blood.V94.11.3820

PubMed Abstract | Crossref Full Text | Google Scholar

34. Hoermann G, Cerny-Reiterer S, Herrmann H, Blatt K, Bilban M, Gisslinger H, et al. Identification of oncostatin M as a JAK2 V617F-dependent amplifier of cytokine production and bone marrow remodeling in myeloproliferative neoplasms. FASEB J. (2012) 26:894–906. doi: 10.1096/fj.11-193078

PubMed Abstract | Crossref Full Text | Google Scholar

35. Müller TA, Grundler R, Istvanffy R, Rudelius M, Hennighausen L, Illert AL, et al. Lineage-specific STAT5 target gene activation in hematopoietic progenitor cells predicts the FLT3+-mediated leukemic phenotype. Leukemia. (2016) 30:1725–33. doi: 10.1038/leu.2016.72

PubMed Abstract | Crossref Full Text | Google Scholar

36. Schwaller J, Parganas E, Wang D, Cain D, Aster JC, Williams IR, et al. Stat5 is essential for the myelo- and lymphoproliferative disease induced by TEL/JAK2. Mol Cell. (2000) 6:693–704. doi: 10.1016/S1097-2765(00)00067-8

PubMed Abstract | Crossref Full Text | Google Scholar

37. Khatib-Massalha E, Di Buduo CA, Chédeville AL, Ho Y-H, Zhu Y, Grockowiak E, et al. Defective neutrophil clearance in JAK2V617F myeloproliferative neoplasms drives myelofibrosis via immune checkpoint CD24. Blood. (2025) 146:717–31. doi: 10.1182/blood.2024027455

PubMed Abstract | Crossref Full Text | Google Scholar

38. Koskela K, Pelliniemi TT, Rajamäki A, Pulkki K, and Remes K. Serum oncostatin M in multiple myeloma: impact on disease severity and prognosis. Eur J Hematol. (2000) 65:52–6. doi: 10.1034/j.1600-0609.2000.90167.x

PubMed Abstract | Crossref Full Text | Google Scholar

39. Krishnamurthy S, Dong Z, Vodopyanov D, Imai A, Helman JI, Prince ME, et al. Endothelial cell-initiated signaling promotes the survival and self-renewal of cancer stem cells. Cancer Res. (2010) 70:9969–78. doi: 10.1158/0008-5472.Can-10-1712

PubMed Abstract | Crossref Full Text | Google Scholar

40. Ayob AZ and Ramasamy TS. Cancer stem cells as key drivers of tumor progression. J BioMed Sci. (2018) 25:20. doi: 10.1186/s12929-018-0426-4

PubMed Abstract | Crossref Full Text | Google Scholar

41. Melzer C, von der Ohe J, Lehnert H, Ungefroren H, and Hass R. Cancer stem cell niche models and contribution by mesenchymal stroma/stem cells. Mol Cancer. (2017) 16:28. doi: 10.1186/s12943-017-0595-x

PubMed Abstract | Crossref Full Text | Google Scholar

42. Uhlén M, Fagerberg L, Hallström BM, Lindskog C, Oksvold P, Mardinoglu A, et al. The Human Protein Atlas. Sweden: OSMR (2025). Available online at: https://www.proteinatlas.org/ENSG00000145623-OSMR/single+cell (Accessed May 22, 2025).

Google Scholar

43. Natesh K, Bhosale D, Desai A, Chandrika G, Pujari R, Jagtap J, et al. Oncostatin-M differentially regulates mesenchymal and proneural signature genes in gliomas via STAT3 signaling. Neoplasia. (2015) 17:225–37. doi: 10.1016/j.neo.2015.01.001

PubMed Abstract | Crossref Full Text | Google Scholar

44. Sharanek A, Burban A, Laaper M, Heckel E, Joyal J-S, Soleimani VD, et al. OSMR controls glioma stem cell respiration and confers resistance of glioblastoma to ionizing radiation. Nat Commun. (2020) 11:4116. doi: 10.1038/s41467-020-17885-z

PubMed Abstract | Crossref Full Text | Google Scholar

45. Polak KL, Tamagno I, Parameswaran N, Smigiel J, Chan ER, Yuan X, et al. Oncostatin-M and OSM-receptor feed-forward activation of MAPK induces separable stem-like and mesenchymal programs. Mol Cancer Res. (2023) 21:975–90. doi: 10.1158/1541-7786.MCR-22-0715

PubMed Abstract | Crossref Full Text | Google Scholar

46. Yu Z, Li Z, Wang C, Pan T, Chang X, Wang X, et al. Oncostatin M receptor, positively regulated by SP1, promotes gastric cancer growth and metastasis upon treatment with Oncostatin M. Gastric Cancer. (2019) 22:955–66. doi: 10.1007/s10120-019-00934-y

PubMed Abstract | Crossref Full Text | Google Scholar

47. Lee BY, Hogg EKJ, Below CR, Kononov A, Blanco-Gomez A, Heider F, et al. Heterocellular OSM-OSMR signaling reprograms fibroblasts to promote pancreatic cancer growth and metastasis. Nat Commun. (2021) 12:7336. doi: 10.1038/s41467-021-27607-8

PubMed Abstract | Crossref Full Text | Google Scholar

48. Wei S, Chen Y, Shi X, Zuo L, and Zhang L. OSM may serve as a biomarker of poor prognosis in clear cell renal cell carcinoma and promote tumor cell invasion and migration. Int J Genomics. (2023) 2023:6665452. doi: 10.1155/2023/6665452

PubMed Abstract | Crossref Full Text | Google Scholar

49. Nguyen-Tran HH, Nguyen TN, Chen CY, and Hsu T. Endothelial reprogramming stimulated by oncostatin M promotes inflammation and tumorigenesis in VHL-deficient kidney tissue. Cancer Res. (2021) 81:5060–73. doi: 10.1158/0008-5472.Can-21-0345

PubMed Abstract | Crossref Full Text | Google Scholar

50. Gong Y, Yan X, Sun X, Chen T, Liu Y, and Cao J. Oncostatin M is a prognostic biomarker and inflammatory mediator for sepsis. J Infect Dis. (2020) 221:1989–98. doi: 10.1093/infdis/jiaa009

PubMed Abstract | Crossref Full Text | Google Scholar

51. Salim SY, AlMalki N, Macala KF, Wiedemeyer A, Mueller TF, Churchill TA, et al. Oncostatin M receptor type II knockout mitigates inflammation and improves survival from sepsis in mice. Biomedicines. (2023) 11:483. doi: 10.3390/biomedicines11020483

PubMed Abstract | Crossref Full Text | Google Scholar

52. Setiadi H, El-Banayosy AM, Long JW, Maybauer MO, Mihu MR, and El Banayosy A. Oncostatin M for characterizing the inflammatory burden and outcome of V-V ECMO in ARDS patients. Artif Organs. (2023) 47:1885–92. doi: 10.1111/aor.14619

PubMed Abstract | Crossref Full Text | Google Scholar

53. Shawky AM, Almalki FA, Abdalla AN, Abdelazeem AH, and Gouda AM. A comprehensive overview of globally approved JAK inhibitors. Pharmaceutics. (2022) 14:1001. doi: 10.3390/pharmaceutics14051001

PubMed Abstract | Crossref Full Text | Google Scholar

54. Denton CP, Del Galdo F, Khanna D, Vonk MC, Chung L, Johnson SR, et al. Biological and clinical insights from a randomized phase 2 study of an anti-oncostatin M monoclonal antibody in systemic sclerosis. Rheumatol (Oxford). (2022) 62:234–42. doi: 10.1093/rheumatology/keac300

PubMed Abstract | Crossref Full Text | Google Scholar

Keywords: oncostatin M, prognosis factor, tumor microenvironment, acute myeloid leukemia, myeloproliferative neoplasm, glioblastoma, glioma, pancreatic adenocarcinoma

Citation: Lévesque J-P, Bisht K, Alexander KA and Winkler IG (2025) Role and prognostic value of oncostatin M and its receptor OSMR in acute myeloid leukemia, myeloproliferative neoplasms and non-hematological malignancies. Front. Oncol. 15:1636570. doi: 10.3389/fonc.2025.1636570

Received: 28 May 2025; Accepted: 02 September 2025;
Published: 17 September 2025.

Edited by:

Fabrizio Carta, University of Florence, Italy

Reviewed by:

Zongsi Zhu, Wenzhou Medical University, China
Kalyan Sethi, National Institute of Pharmaceutical Education and Research, India
Tina Bhardwaj, Lifecell International Pvt Ltd, India

Copyright © 2025 Lévesque, Bisht, Alexander and Winkler. This is an open-access article distributed under the terms of the Creative Commons Attribution License (CC BY). The use, distribution or reproduction in other forums is permitted, provided the original author(s) and the copyright owner(s) are credited and that the original publication in this journal is cited, in accordance with accepted academic practice. No use, distribution or reproduction is permitted which does not comply with these terms.

*Correspondence: Jean-Pierre Lévesque, anAubGV2ZXNxdWVAbWF0ZXIudXEuZWR1LmF1

Disclaimer: All claims expressed in this article are solely those of the authors and do not necessarily represent those of their affiliated organizations, or those of the publisher, the editors and the reviewers. Any product that may be evaluated in this article or claim that may be made by its manufacturer is not guaranteed or endorsed by the publisher.