ORIGINAL RESEARCH article
Front. Oncol.
Sec. Radiation Oncology
This article is part of the Research TopicTechnology Developments in Proton TherapyView all 12 articles
The Impact of Dose Rate Optimisation and Robust Optimisation on FLASH Proton Therapy Treatment Plan Quality and Dose Rates
Provisionally accepted- 1Department of Oncology, Medical Sciences Division, University of Oxford, Oxford, United Kingdom
- 2RaySearch Laboratories AB, Stockholm, Sweden
- 3Department of Haematology, Oncology and Radiation Physics, Skåne University Hospital, Lund, Sweden
Select one of your emails
You have multiple emails registered with Frontiers:
Notify me on publication
Please enter your email address:
If you already have an account, please login
You don't have a Frontiers account ? You can register here
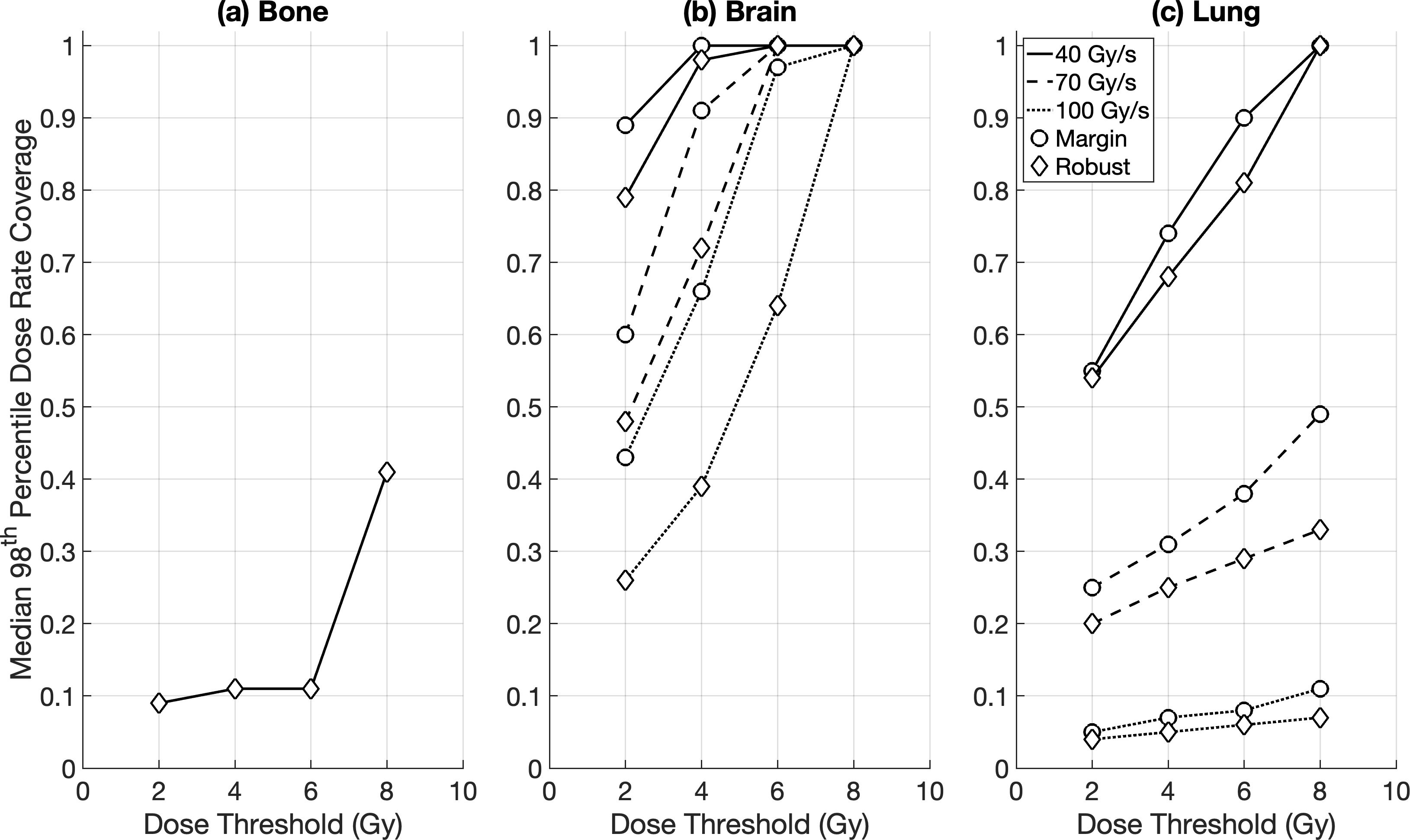
Background and Purpose Bragg peak FLASH proton therapy (FLASH-PT) relies on fast dose delivery (≥ 40 Gy/s) to elicit a normal tissue sparing effect. FLASH-PT beam delivery modifications lead to inferior margin-based FLASH-PT treatment plan quality compared to intensity modulated proton therapy (IMPT). To achieve ultra-high dose rates to regions of interest, dose rate optimisation may need to be utilised as part of the treatment planning process. This study aims to determine the impact of dose rate optimisation and robust optimisation on FLASH-PT treatment plan quality and achievable dose rates. All FLASH-PT plans are also compared to IMPT plans to determine the clinical applicability of the technique. Materials and Methods FLASH-PT and IMPT treatment plans were generated for bone (n=3), brain (n=4) and lung (n=3) targets for a one-beam-per-fraction and multi-beam-per fraction delivery, respectively. The open-source MIROpt treatment planning system (TPS) was used to generate dose rate optimised FLASH-PT plans, while a research version of the RayStation TPS was used to generate non-dose rate optimised, margin-based, and robust FLASH-PT plans. Dose rate coverage was evaluated for different dose and dose rate thresholds. Results and Conclusion Dose rate optimised FLASH-PT plans were associated with significantly worse target dose coverage, whilst significantly improving dose rate coverages to organs at risk, compared to non-dose rate optimised plans. The use of dose rate optimisation should be used with caution as it may lead to degraded plan quality. Robust optimisation improved target coverage compared to margin-based plans, without compromising dose rate coverage. FLASH-PT plans struggle to achieve IMPT-equivalent D95% and is associated with non-significant increases in organ at risk doses compared to IMPT, regardless of TPSs and treatment planning techniques (margin and robust). Future work will focus on improving D95%, reducing organ at risk doses, and optimising MU/spot delivery to improve plan quality, while further increasing the dose rates.
Keywords: FLASH proton therapy, FLASH-PT, Dose Rate Optimisation, Robust optimisation, Treatment plan quality, Dose rates
Received: 30 May 2025; Accepted: 28 Nov 2025.
Copyright: © 2025 Lövgren, Nilsson, Traneus and Petersson. This is an open-access article distributed under the terms of the Creative Commons Attribution License (CC BY). The use, distribution or reproduction in other forums is permitted, provided the original author(s) or licensor are credited and that the original publication in this journal is cited, in accordance with accepted academic practice. No use, distribution or reproduction is permitted which does not comply with these terms.
* Correspondence: Nathalie Lövgren
Disclaimer: All claims expressed in this article are solely those of the authors and do not necessarily represent those of their affiliated organizations, or those of the publisher, the editors and the reviewers. Any product that may be evaluated in this article or claim that may be made by its manufacturer is not guaranteed or endorsed by the publisher.
