ORIGINAL RESEARCH article
Front. Oncol.
Sec. Pharmacology of Anti-Cancer Drugs
This article is part of the Research TopicDevelopment and Validation of New Molecular Probes of Nuclear Medicine and New Targets of Nuclear Drugs in CancersView all 10 articles
The Value of 18F-FDG PET/CT Imaging in Predicting the Efficacy of PD-1/PD-L1 Immune Checkpoint Inhibitors in Advanced Non-small Cell Lung Cancer
Provisionally accepted- 1Tianjin Medical University Cancer Institute and Hospital, Tianjin, China
- 2Tianjin Children's Hospital, Tianjin, China
- 3Tianjin Medical University, Tianjin, China
Select one of your emails
You have multiple emails registered with Frontiers:
Notify me on publication
Please enter your email address:
If you already have an account, please login
You don't have a Frontiers account ? You can register here
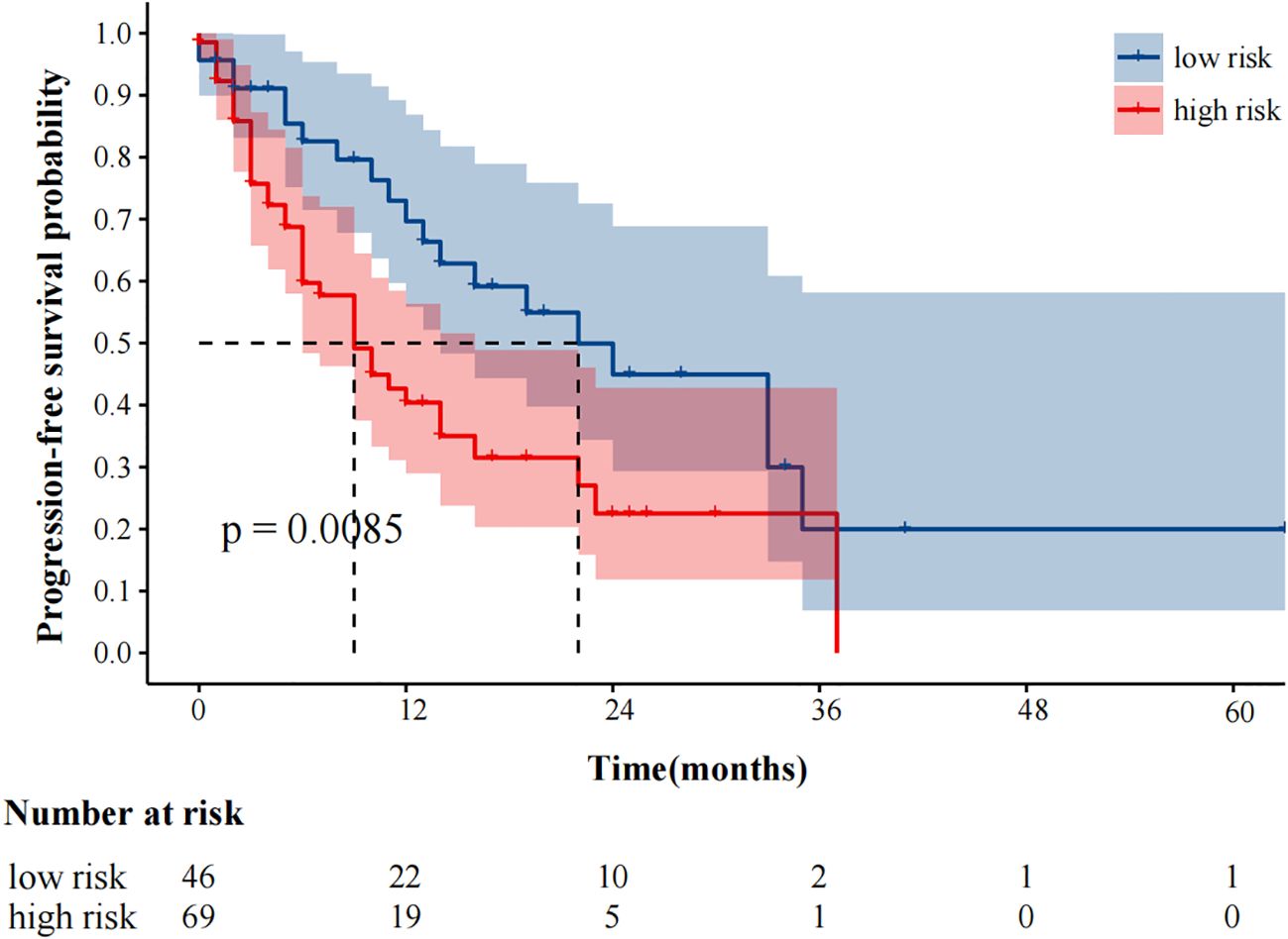
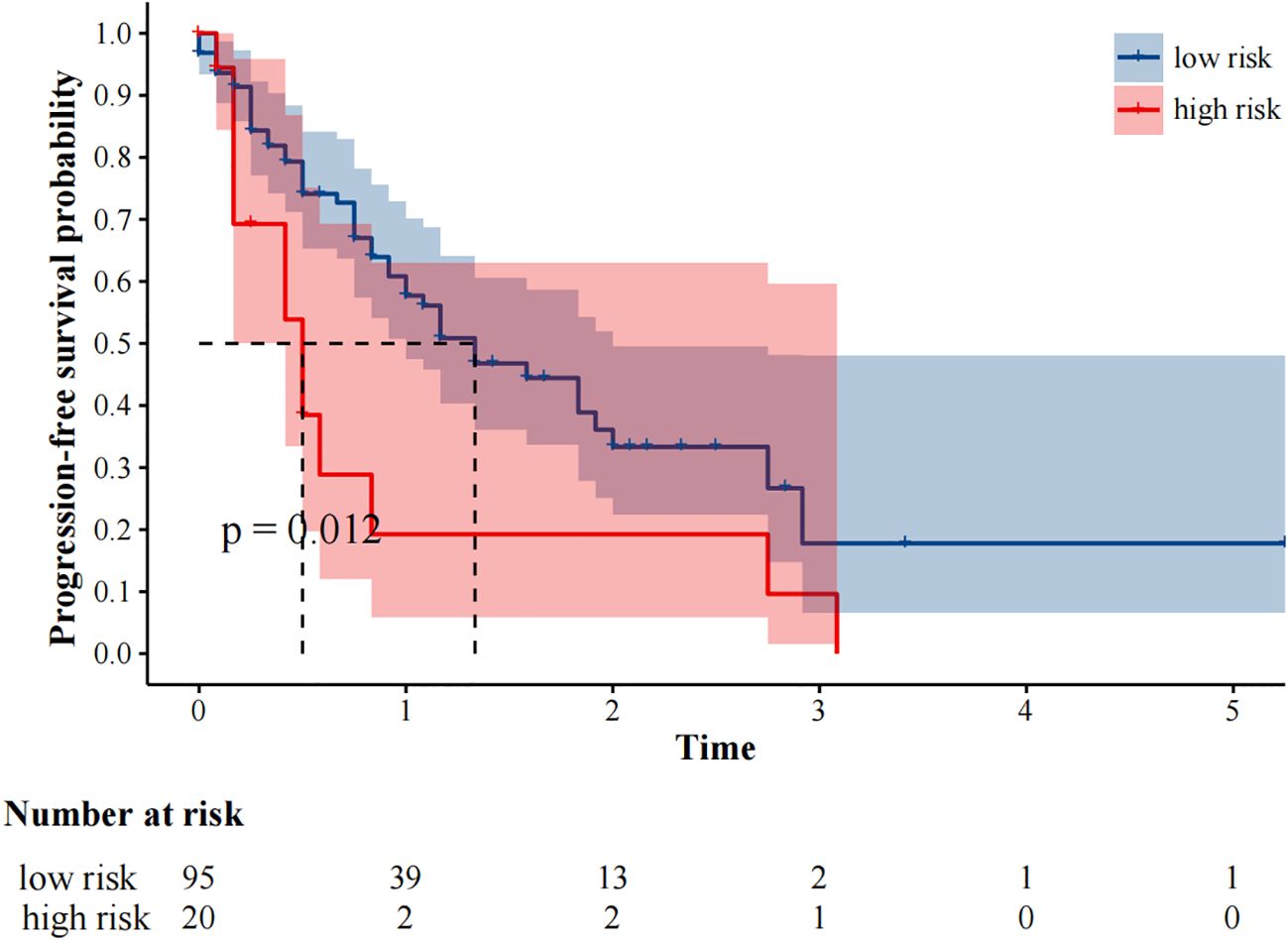
Background: We aimed to investigate the relationship between metabolic parameters based on 18F-FDG PET/CT and the prognosis of programmed cell death protein 1 or its ligand (PD-1/PD-L1) Immune checkpoint inhibitors (ICI) with/without chemotherapy in advanced non-small cell carcinoma (NSCLC). Methods: In this single-center retrospective study, 115 patients with advanced NSCLC who underwent PD-1/PD-L1 ICI with/without chemotherapy with baseline 18F-FDG PET/CT between 2018 and 2023 were enrolled. Baseline clinical parameters, PD-L1 gene expression, and hematological parameters (including derived neutrophil-to-lymphocyte ratio (dNLR) and lactate dehydrogenase (LDH)) were collected. The optimal cutoff value of PET metabolic parameters was obtained using the receiver operating characteristic (ROC) curve. We used the Chi-square test, binary logistic regression, and cox-regressive analysis to analyze the relationship between the above parameters and clinical outcomes, including disease clinical benefit (DCB), progression-free survival (PFS), and overall survival (OS). Results: A total of 115 patients were enrolled in the group. After univariate and multivariate analyses, MTVwb [P = 0.002, HR 3.906 (3.644 - 9.279)] and treatment modality [P < 0.001, HR 8.11 (2.51 - 26.21)] were identified as independent prognostic factors for DCB. MTVwb [P = 0.012, This is a provisional file, not the final typeset article HR 2.041 (1.173-3.552)] and treatment modality [P = 0.030, HR 2.045 (1.073 - 3.896)] are independent prognostic factors for PFS, while MTVwb [P =0.013, HR 4.173 (1.356-12.842)] is an independent influencing factor for OS. In the immunotherapy combination group, there was a significant correlation between PD-L1 expression and TLGwb (p=0.029). Conclusions: Among patients with advanced NSCLC who received PD-1/PD-L1 ICIs in combination or without chemotherapy, MTVwb was an independent influencing factor for DCB, PFS, and OS. The treatment modality is also an independent influencing factor for DCB and PFS. 18F-FDG PET/CT has a very promising application prospect in predicting the prognosis of patients treated with immune checkpoint inhibitors. At the same time, the level of sugar metabolism is positively correlated with PD-L1 expression.
Keywords: 18F-FDG, PET/CT, NSCLC, Immune checkpoint inhibitor, prognosis
Received: 22 Jun 2025; Accepted: 14 Nov 2025.
Copyright: © 2025 Wang, Luo, Li, Hou, Li, Xu, Zhou and Dai. This is an open-access article distributed under the terms of the Creative Commons Attribution License (CC BY). The use, distribution or reproduction in other forums is permitted, provided the original author(s) or licensor are credited and that the original publication in this journal is cited, in accordance with accepted academic practice. No use, distribution or reproduction is permitted which does not comply with these terms.
* Correspondence:
Wen Zhou, zhouwen@tmu.edu.cn
Dong Dai, 18732792407@163.com
Disclaimer: All claims expressed in this article are solely those of the authors and do not necessarily represent those of their affiliated organizations, or those of the publisher, the editors and the reviewers. Any product that may be evaluated in this article or claim that may be made by its manufacturer is not guaranteed or endorsed by the publisher.
