ORIGINAL RESEARCH article
Front. Oncol.
Sec. Gastrointestinal Cancers: Hepato Pancreatic Biliary Cancers
This article is part of the Research TopicArtificial Intelligence in Immunotherapy for Gastrointestinal Cancers: From Prediction to Precision MedicineView all articles
A Radiomic Model for Non-Invasive Prediction of PD-L1 and VETC Expression in Hepatocellular Carcinoma Using Enhanced Abdominal CT
Provisionally accepted- Sun Yat-sen Memorial Hospital, Guangzhou, China
Select one of your emails
You have multiple emails registered with Frontiers:
Notify me on publication
Please enter your email address:
If you already have an account, please login
You don't have a Frontiers account ? You can register here
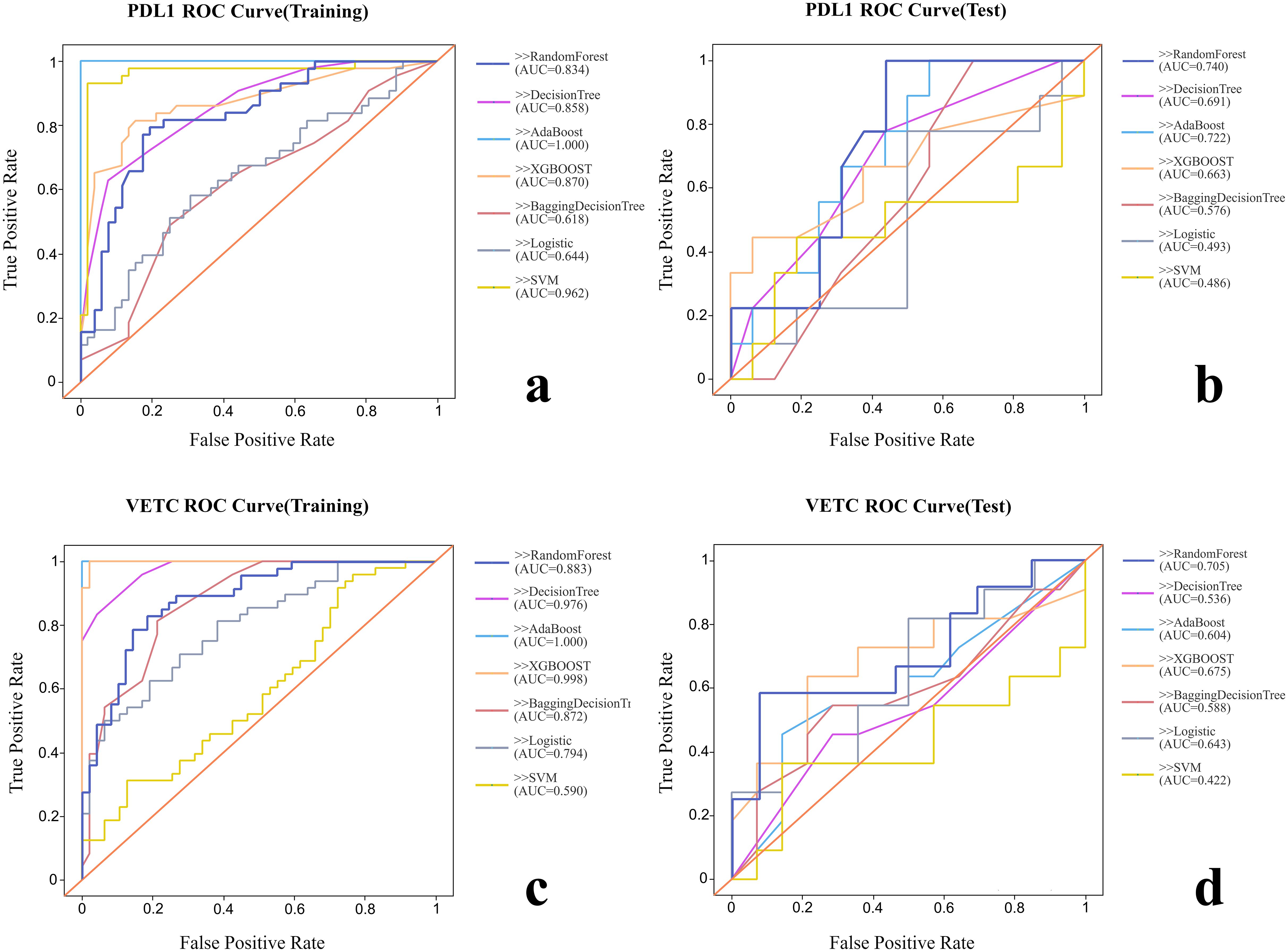
Abstract Background: Hepatocellular carcinoma (HCC) is a prevalent malignant tumor characterized by significant morbidity and mortality. Programmed cell death 1 ligand 1 (PD-L1) and Vessels Encapsulating Tumor Clusters (VETC) are critical biomarkers influencing immune evasion and metastasis, making them pivotal for guiding treatment decisions. However, it is challenging to obtain pathological samples for some patients due to factors such as advanced tumor stage and poor liver function. Objective: This study aims to develop an AI-based imaging model to non-invasively predict PD-L1 and VETC expression in HCC patients, addressing the challenge of limited histopathological data. Methods: A retrospective study was conducted involving 162 HCC patients diagnosed between January 2017 and December 2022. Patients were randomly divided into training and test sets (8:2 ratio). Radiomic features were extracted from CT images, and various machine learning algorithms constructed predictive models, assessing their accuracy in predicting PD-L1 and VETC expression. Results: A total of 2,286 features were extracted from enhanced abdominal CT images. Among them, 7 features were identified to be associated with PD-L1 expression and 10 with VETC expression. The Random Forest (RF) model demonstrated good calibration and fit, emerging as the most effective with an AUC of 0.834 (95% CI: 0.752-0.915) for PD-L1 and 0.883 (95% CI: 0.818-0.949) for VETC in the training set, while achieving AUCs of 0.740 (95% CI: 0.541-0.939) for PD-L1 and 0.705 (95% CI: 0.488-0.922) for VETC in the test set. Conclusion: The radiomics model derived from enhanced abdominal CT demonstrates its potential as a non-invasive tool for predicting the expression of PD-L1 and VETC in HCC patients.
Keywords: Hepatocellular Carcinoma, PD-L1, VETC, Radiomics, machine learning, random forest
Received: 31 Aug 2025; Accepted: 29 Nov 2025.
Copyright: © 2025 Wang, Lu, Yan, Wen, Guo, Zhou and Xiao. This is an open-access article distributed under the terms of the Creative Commons Attribution License (CC BY). The use, distribution or reproduction in other forums is permitted, provided the original author(s) or licensor are credited and that the original publication in this journal is cited, in accordance with accepted academic practice. No use, distribution or reproduction is permitted which does not comply with these terms.
* Correspondence:
Zhenyu Zhou
Zhiyu Xiao
Disclaimer: All claims expressed in this article are solely those of the authors and do not necessarily represent those of their affiliated organizations, or those of the publisher, the editors and the reviewers. Any product that may be evaluated in this article or claim that may be made by its manufacturer is not guaranteed or endorsed by the publisher.
