ORIGINAL RESEARCH article
Front. Pediatr.
Sec. Pediatric Oncology
This article is part of the Research TopicAdvances in the Treatment of Nasopharyngeal CancerView all 8 articles
Global, Regional, and National Burden of Pediatric nasopharyngeal carcinoma (1990-2021) and Projections of Future Disease Burden Trends
Provisionally accepted- Quanzhou Women and Children’s Hospital, Quanzhou, China
Select one of your emails
You have multiple emails registered with Frontiers:
Notify me on publication
Please enter your email address:
If you already have an account, please login
You don't have a Frontiers account ? You can register here
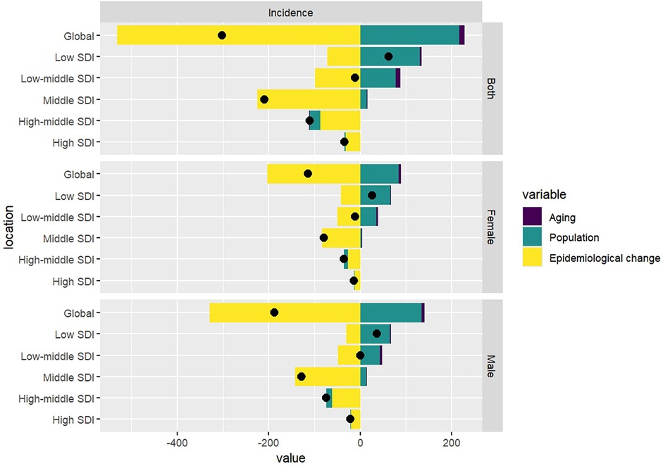
Pediatric nasopharyngeal carcinoma (NPC) is an exceedingly rare and often overlooked disease. However, early detection of this condition is a decisive factor in its prognosis. This study aims to quantify the disease burden and epidemiological trends of pediatric nasopharyngeal carcinoma over a 30-year period (1991-2021) and provide projections for future disease burden.Comprehensive data on pediatric NPC from 1990 to 2021 were obtained from the Global Burden of Disease study. This dataset includes information on the incidence of pediatric NPC, disaggregated by gender. The Joinpoint regression model was used to identify turning points in epidemiological trends, while decomposition analysis helped identify the factors driving these trends. To forecast future incidence rates, the Norpred model were applied.In 1990, the estimated global number of pediatric NPC cases was 1,269(1,119-1,422), with 764(663-892) cases in boys and 505(427-592) cases in girls. The global ASIR of pediatric NPC in 1990 was 0.07 (0.06-0.08), with rates of 0.09 (0.07-0.10) in boys and 0.06 (0.05-0.07) in girls. By 2021, the estimated global number of pediatric NPC cases decreased to 966(796-1,152), including 576(444-725) cases in boys and 390 (326-501) cases in girls. The global ASIR of pediatric NPC in 2021 was 0.05 (0.04-0.06), with rates of 0.06 (0.04-0.07) in boys and 0.04 (0.03-0.05) in girls. Joinpoint regression analysis indicated stable epidemiological trends from 1990 to 2021, with a slight decline in both sexes. Based on the Nordpred model, the projected 2046 ASIR for pediatric NPC is 0.09 (male: 0.10; female: 0.80), with 1,169 total cases (boys: 680; girls: 489).The incidence of pediatric NPC is relatively low overall, with a slight downward trend in its epidemiological trajectory.
Keywords: childhood nasopharyngeal carcinoma, incidence trends, Global burden, epidemiological transition, Age-standardized incidence rate
Received: 03 Jan 2025; Accepted: 24 Oct 2025.
Copyright: © 2025 Xu, Dai, Chen, Xu, Xu, Dai and Hong. This is an open-access article distributed under the terms of the Creative Commons Attribution License (CC BY). The use, distribution or reproduction in other forums is permitted, provided the original author(s) or licensor are credited and that the original publication in this journal is cited, in accordance with accepted academic practice. No use, distribution or reproduction is permitted which does not comply with these terms.
* Correspondence: Mingyan Hong, hongmingyanfj@sina.com
Disclaimer: All claims expressed in this article are solely those of the authors and do not necessarily represent those of their affiliated organizations, or those of the publisher, the editors and the reviewers. Any product that may be evaluated in this article or claim that may be made by its manufacturer is not guaranteed or endorsed by the publisher.
