ORIGINAL RESEARCH article
Front. Pediatr.
Sec. Genetics of Common and Rare Diseases
Incidence and Disease Spectrum of Inherited Metabolic Diseases Screened by Tandem Mass Spectrometry in Huai'an from 2018 to 2024
Provisionally accepted- ①Huai’an Maternal and Child Health Care Hospital Affiliated to Yangzhou University②The Huai'an Maternity and Child Clinical College of Xuzhou Medical University, Huai’an, China
Select one of your emails
You have multiple emails registered with Frontiers:
Notify me on publication
Please enter your email address:
If you already have an account, please login
You don't have a Frontiers account ? You can register here
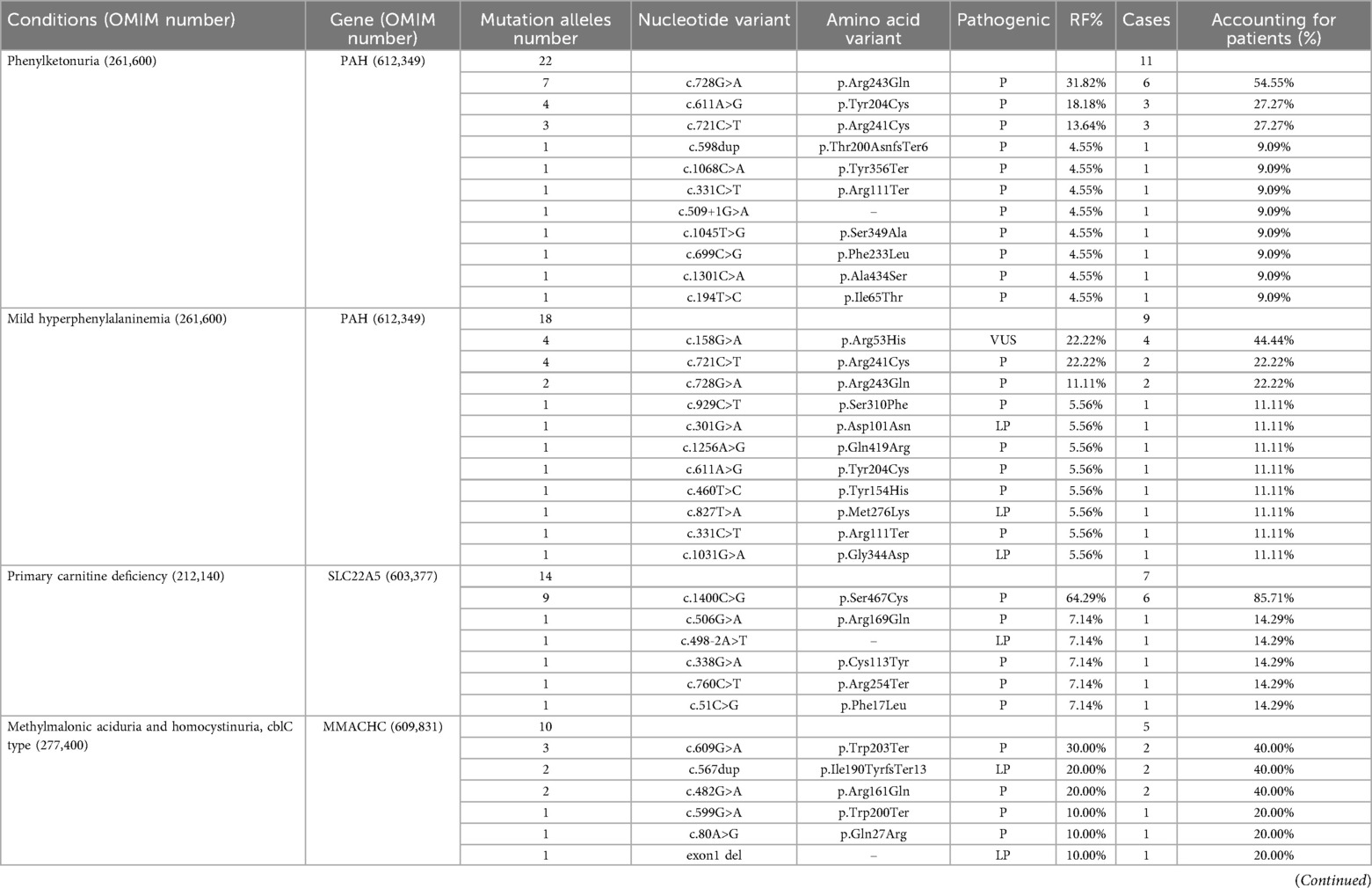
Objectives: This study aimed to determine the incidence and disease spectrum of inherited metabolic diseases (IMDs) among newborns in Huai'an City, China. Methods: Newborn screening for IMDs using tandem mass spectrometry (MS/MS) enables the identification of approximately 50 types of IMDs. Next-generation sequencing (NGS), targeting hundreds of IMD-associated genes, was subsequently performed for genetic analysis of patients identified through screening. Between June 2018 and December 2024, in total, 161,966 newborns in Huai'an were screened using MS/MS. Ultimately, 57 patients were diagnosed with IMDs based on plasma amino acid and acylcarnitine profiling, urinary organic acid analysis, and molecular genetic testing, performed via NGS. Data were analyzed using descriptive statistics. Results: Fifty-seven cases of IMDs were diagnosed, corresponding to an overall incidence rate of 1 in 2,842. Among these, 28 cases involved amino acid metabolism disorders (1 in 5,785), 17 cases of organic acid metabolism disorders (1 in 9,527), and 12 cases of fatty acid oxidation disorders (1 in 13,497). The three most common IMDs were phenylalanine hydroxylase deficiency (1 in 8,098), primary carnitine deficiency (1 in 23,138), and methylmalonic acidemia (1 in 32,393). Genetic testing revealed variants in all 57 patients ,with 75 variants identified across 17 IMD-associated genes. Recurrent variants were observed in five IMDs, including PAH gene variants c.728G>A, c.611A>G, and c.721C>T for phenylketonuria, PAH c.158G>A, c.721C>T, and c.728G>A for mild hyperphenylalaninemia, SLC22A5 c.1400C>G for primary carnitine deficiency, MMACHC c.609G>A, c.567dup and c.482G>A for methylmalonic acidemia, ACADS c.1055C>T, and c.1130C>T for short-chain acyl-CoA dehydrogenase deficiency, and ACADSB c.923G>A for 2-methylbutyrylglycinuria. All these recurrent variants were reported as pathogenic or likely pathogenic, except PAH c.158G>A, which was classified as a variant of uncertain significance. Conclusion: The majority of IMD patients in Huai'an carried pathogenic or potentially pathogenic variants identified through expanded newborn screening. Although MS/MS newborn screening followed by NGS confirmation cannot prevent the occurrence of IMDs, timely diagnosis combined with appropriate treatment and management can effectively prevent morbidity and reduce mortality. Overall, this study demonstrates that MS/MS-based newborn screening combined with molecular diagnosis was highly effective for the study early detection and management of IMDs in the Huai'an population.
Keywords: Tandem Mass Spectrometry, inherited metabolic disorders, next generation sequencing, NGS, pathogenic or likely pathogenic variant, Genetic variant
Received: 26 May 2025; Accepted: 31 Oct 2025.
Copyright: © 2025 Sun, Ou, Zhang, Kong, Zhang, Zheng, Zhang, Wang, Lin and Yang. This is an open-access article distributed under the terms of the Creative Commons Attribution License (CC BY). The use, distribution or reproduction in other forums is permitted, provided the original author(s) or licensor are credited and that the original publication in this journal is cited, in accordance with accepted academic practice. No use, distribution or reproduction is permitted which does not comply with these terms.
* Correspondence: 
Yu-mei  Wang, 13770357882@yzu.edu.cn
Xiao-fei  Lin, 13861561310@yzu.edu.cn
Xin  Yang, yx801005@126.com
Disclaimer: All claims expressed in this article are solely those of the authors and do not necessarily represent those of their affiliated organizations, or those of the publisher, the editors and the reviewers. Any product that may be evaluated in this article or claim that may be made by its manufacturer is not guaranteed or endorsed by the publisher.
