ORIGINAL RESEARCH article
Front. Pediatr.
Sec. Pediatric Infectious Diseases
Volume 13 - 2025 | doi: 10.3389/fped.2025.1648964
This article is part of the Research TopicThe Dynamics in Global Malnutrition UncoveredView all 3 articles
Burden of common infectious diseases in children with growth failure from 1990 to 2021: analysis of the Global Burden of Disease Study
Provisionally accepted- 1Department of Pulmonary and Critical Care Medicine, Sun Yat-sen Memorial Hospital, Guangzhou, China
- 2Institute of Pulmonary Diseases, Sun Yat-Sen University, Guangzhou, China
- 3Department of Endocrinology, Sun Yat-sen Memorial Hospital, Guangzhou, China
- 4Guangdong Clinical Research Center for Metabolic Diseases, Sun Yat-Sen University, Guangzhou, China
Select one of your emails
You have multiple emails registered with Frontiers:
Notify me on publication
Please enter your email address:
If you already have an account, please login
You don't have a Frontiers account ? You can register here
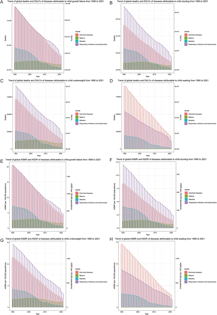
Background: Undernutrition among children is a serious public health problem that is associated with various infectious diseases (diarrheal diseases, malaria, measles, respiratory infections and tuberculosis). However, an assessment of the global burden of common infectious diseases in children with growth failure is still lacking. Objective: This study aims to quantify the global burden of common infectious diseases in children with growth failure and to project future trends to 2050 in order to contribute to public health interventions. Methods: By analyzing the Global Burden of Disease Study 2021 (GBD 2021), we assessed the correlation and trend of common infectious diseases in malnourished children, stratified by age, country and territory. In addition, Bayesian Age-Period-Cohort (BAPC) models were used to predict future patterns until 2050. Results: Undernutrition among children is closely associated with common infectious diseases. The rate of deaths and DALYs among children with diarrheal diseases, malaria, respiratory infections and tuberculosis were negatively correlated with age. Measles was highest in 1-2 years old. Diarrheal diseases and malaria are prevalent in Nigeria; measles is endemic in Somalia; respiratory infections and tuberculosis are widespread in Nigeria and India. The BAPC results show that the malaria burden may increase in the future. Conclusion: This study emphasizes the burden of common infectious diseases in children with growth failure and facilitates international aid and WHO decision-making targeting countries and age groups.
Keywords: GBD, global, Child growth failure, Diarrheal diseases, Malaria, Measles, respiratory infections and tuberculosis
Received: 18 Jun 2025; Accepted: 02 Oct 2025.
Copyright: © 2025 Li, Xu, Li, Ren and Jiang. This is an open-access article distributed under the terms of the Creative Commons Attribution License (CC BY). The use, distribution or reproduction in other forums is permitted, provided the original author(s) or licensor are credited and that the original publication in this journal is cited, in accordance with accepted academic practice. No use, distribution or reproduction is permitted which does not comply with these terms.
* Correspondence:
Meng Ren, renmeng80@139.com
Shanping Jiang, jiangshp@mail.sysu.edu.cn
Disclaimer: All claims expressed in this article are solely those of the authors and do not necessarily represent those of their affiliated organizations, or those of the publisher, the editors and the reviewers. Any product that may be evaluated in this article or claim that may be made by its manufacturer is not guaranteed or endorsed by the publisher.
