ORIGINAL RESEARCH article
Front. Pediatr.
Sec. Pediatric Surgery
This article is part of the Research TopicAdvances in Etiology Research and Clinical Intervention Strategies for Congenital Intestinal Malformations in ChildrenView all 6 articles
Development of a Predictive Model for Severe Adverse Outcomes Following Surgery for Neonatal Necrotizing Enterocolitis: A Nomogram Study Based on Postoperative Intestinal Failure Beyond 42 Days and Death
Provisionally accepted- 1Children's Hospital of Shanxi, Taiyuan, China
- 2Shanxi Medical University, Taiyuan, China
Select one of your emails
You have multiple emails registered with Frontiers:
Notify me on publication
Please enter your email address:
If you already have an account, please login
You don't have a Frontiers account ? You can register here
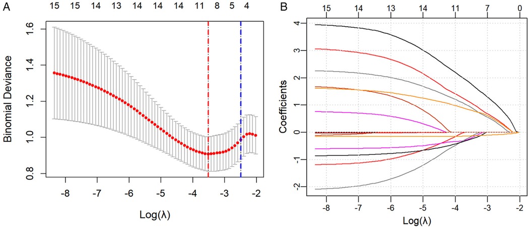
Objective: To identify the risk factors for intestinal failure occurring beyond 42 days postoperatively or death in neonates with necrotizing enterocolitis (NEC), and to develop a nomogram for predicting the likelihood of these outcomes. Results: A total of 110 neonates with NEC were enrolled in this retrospective study. Among them, 21 developed the composite outcome of intestinal failure occurring beyond 42 days postoperatively or death. This group consisted of 5 cases of postoperative intestinal failure and 16 postoperative deaths.Among the deaths, 14 directly attributable to the progression of NEC and intestinal failure (such as enterogenic sepsis, refractory septic shock, progressive hepatic failure, etc.), one neonate died of severe respiratory infection, and one died due to the parental withdrawal of treatment.Multivariate logistic regression identified five independent risk factors significantly associated with the composite outcome: gestational age, history of asphyxia, multiple birth (twins), preoperative sepsis, and postoperative short bowel syndrome (P=0.033、P=0.016、P=0.037、P=0.015、P=0.005). These variables were incorporated into a predictive nomogram, which demonstrated good discrimination with an area under the ROC curve(AUC)of 0.878 (95% CI: 0.804-0.952), a sensitivity of 90.5%, and a specificity of 80.9%. The external validation showed an AUC of 0.789 (95% CI: 0.632 - 0.947), with a sensitivity of 90% and a specificity of 66.7%, indicating good discrimination.Furthermore, both internal and external validation calibration curves showed moderate agreement between the predicted and actual outcomes, and DCA supported the model's clinical applicability. Conclusion: Gestational age, history of asphyxia, multiple birth, preoperative sepsis, and postoperative short bowel syndrome (SBS) were identified as key risk factors for intestinal failure occurring beyond 42 days postoperatively or death. The nomogram developed using these factors provided a quantitative, simple, and intuitive tool for clinical risk assessment of postoperative outcomes in patients with NEC.
Keywords: Neonatal necrotizing enterocolitis, intestinal failure, death, nomogram, outcomes
Received: 21 Jul 2025; Accepted: 18 Nov 2025.
Copyright: © 2025 Wu and Ren. This is an open-access article distributed under the terms of the Creative Commons Attribution License (CC BY). The use, distribution or reproduction in other forums is permitted, provided the original author(s) or licensor are credited and that the original publication in this journal is cited, in accordance with accepted academic practice. No use, distribution or reproduction is permitted which does not comply with these terms.
* Correspondence: Hongxia Ren, renhongxia100@sina.com
Disclaimer: All claims expressed in this article are solely those of the authors and do not necessarily represent those of their affiliated organizations, or those of the publisher, the editors and the reviewers. Any product that may be evaluated in this article or claim that may be made by its manufacturer is not guaranteed or endorsed by the publisher.
