ORIGINAL RESEARCH article
Front. Pediatr.
Sec. Pediatric Infectious Diseases
Factors associated with false positive results in serological testing for syphilis using EIA among children
Provisionally accepted- 1Department of Blood Transfusion, Jinling Hospital, Affiliated Hospital of Medical School, Nanjing University, Nanjing, China
- 2Suzhou Municipal Hospital, Suzhou, China
- 3Suzhou Xiangcheng Center for Disease Control and Prevention, Suzhou, China
Select one of your emails
You have multiple emails registered with Frontiers:
Notify me on publication
Please enter your email address:
If you already have an account, please login
You don't have a Frontiers account ? You can register here
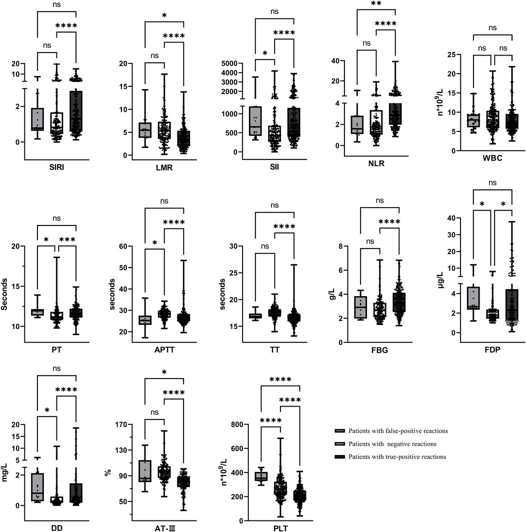
Objectives: The issue of biological false positives in syphilis diagnosis is gaining attention. However, limited focus exists on false positives in syphilis tests among younger populations. This study investigates the epidemiological characteristics and influencing factors of false positive serological test results for syphilis in children. Methods: A retrospective study was conducted on the serological test results, demographic, clinical, and laboratory characteristics of children in Jinling Hospital from 2017–2022. Results: This study included 18 cases of false positive syphilis results. Children aged 5 to 9 years had a higher proportion of false positives compared to those with negative results (p<0.001). The prevalence of adenoid hypertrophy (AH) in children with false positives was 38.89%, significantly higher than in those with negative results (p<0.0001). The results of syphilis antibodies detection by enzyme-linked immunosorbent assay (EIA) in false positive cases, negative cases, and true positive cases were significantly different (p<0.0001). Children with false-positive syphilis results had significantly higher systemic immune-inflammation index (SII), fibrin degradation products (FDP), and platelet (PLT) levels than those with negative results (p<0.05). Compared to true-positive cases, false-positive cases showed lower systemic inflammation response index (SIRI) and neutrophil-to-lymphocyte ratio (NLR) but higher lymphocyte-to-monocyte ratio (LMR), antithrombin III (AT-III), and PLT levels (p<0.05). Furthermore, among children with false-positive serological test results for syphilis, certain coagulation parameters, such as FDP, D-dimer (DD), AT-III, and PLT, were found to be elevated (p<0.05). Univariate logistic regression analysis revealed that age (OR=0.852, 95% CI: 0.766, 0.948), AH (OR=20.10, 95% CI: 5.361, 79.53), APTT (OR=0.804, 95% CI: 0.658, 0.977), FDP (OR=1.722, 95% CI: 1.234, 2.416), AT-III (OR=1.071, 95%CI: 1.030, 1.121), and PLT (OR=1.008, 95%CI: 1.003, 1.013) were risk factors associated with the occurrence of a false positive reaction in syphilis serology (p<0.05). Conclusions: In the assessment of false-positive syphilis test results, age and inflammatory marker data exhibit reference value. AH and partial coagulation function indices are risk factors for false positive syphilis serology results in children. Therefore, it is crucial for clinical and laboratory doctors to pay close attention to positive results for syphilis in such cases.
Keywords: adenoidal hypertrophy (AH), Syphilis infection, False-positive result, coagulationprofile, systemic inflammatory indicators
Received: 23 Jul 2025; Accepted: 24 Oct 2025.
Copyright: © 2025 Liu, Chen, Zhao, Fan and Wang. This is an open-access article distributed under the terms of the Creative Commons Attribution License (CC BY). The use, distribution or reproduction in other forums is permitted, provided the original author(s) or licensor are credited and that the original publication in this journal is cited, in accordance with accepted academic practice. No use, distribution or reproduction is permitted which does not comply with these terms.
* Correspondence: Wei Wang, wwnjmu@126.com
Disclaimer: All claims expressed in this article are solely those of the authors and do not necessarily represent those of their affiliated organizations, or those of the publisher, the editors and the reviewers. Any product that may be evaluated in this article or claim that may be made by its manufacturer is not guaranteed or endorsed by the publisher.
