SYSTEMATIC REVIEW article
Front. Pediatr.
Sec. Pediatric Critical Care
Adverse Events and Predictive Probability of Peripheral Vasopressor Administration in Pediatric Shock: Integrating Frequentist and Hierarchical Bayesian Meta-Analyses
Provisionally accepted- 1Universidad del Rosario, Bogotá, Colombia
- 2Cardioinfantil Foundation, Bogotá, Colombia
- 3Universidad de La Sabana, Chia, Colombia
- 4Fundacion Cardioinfantil Instituto de Cardiologia, Bogotá, Colombia
- 5Universidad Mayor de San Simon, Cochabamba, Bolivia
- 6Hospital Universitaria Municipal San Juan de Dios, Santa Cruz de la Sierra, Bolivia
- 7Fundacion HOMI Hospital de la Misericordia, Bogotá, Colombia
- 8Hamad Medical Corporation Department of Medical Education, Doha, Qatar
- 9Hospital General Universitario Gregorio Maranon, Madrid, Spain
Select one of your emails
You have multiple emails registered with Frontiers:
Notify me on publication
Please enter your email address:
If you already have an account, please login
You don't have a Frontiers account ? You can register here
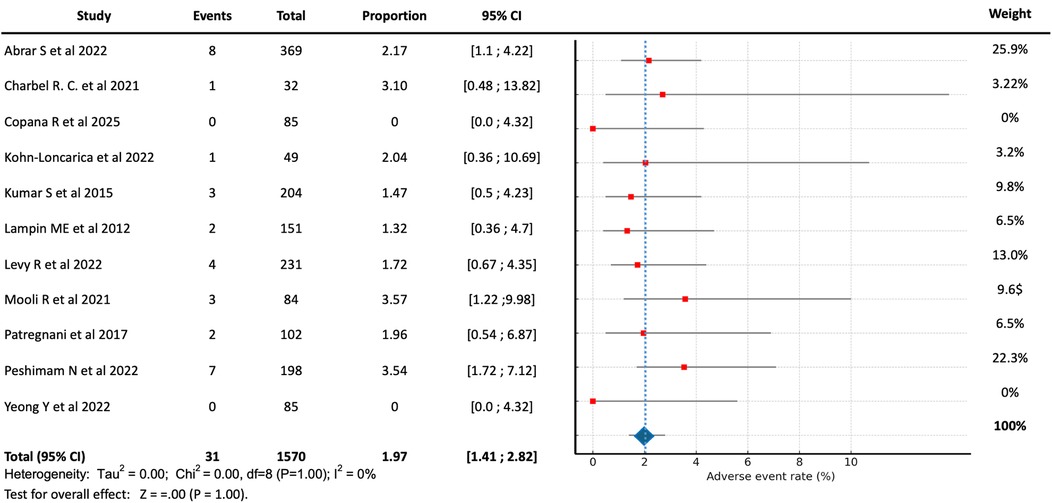
Background: Pediatric shock demands early vasoactive therapy to restore perfusion. When central access is delayed—particularly in resource-limited settings—peripheral vasopressors provide a feasible alternative. This systematic review and hierarchical Bayesian meta-analysis synthesized current evidence on peripheral vasopressor use in children, estimating incidence, characteristics, and probabilistic risk of local complications to inform safe clinical practice. Methods: We systematically searched PubMed/MEDLINE, EMBASE, LILACS, Google Scholar, and the Cochrane Library (January 1990–March 2025) using MeSH and free-text terms for vasoactive agents, peripheral intravenous access, pediatric populations, and adverse events. Studies including children aged 1 month–18 years who received peripheral vasopressors and reported local complications were eligible. Two reviewers independently extracted data and assessed study quality using the Joanna Briggs Institute (JBI) checklist. The primary outcome was the pooled proportion of local adverse events. Frequentist and hierarchical Bayesian logistic models estimated pooled rates, 95% confidence or credible intervals, and predictive uncertainty. Weakly informative priors (half-Cauchy for random effects, normal[0,1] for log-odds) were applied, and posterior estimates derived via Markov Chain Monte Carlo (four chains, 2,000 iterations, R̂ < 1.01). Results: Eleven studies comprising 1,575 pediatric patients were included. The pooled incidence of local adverse events was 1.97% (95% CI, 1.41–2.82) with no severe complications such as necrosis, ischemia, or need for surgery. The Bayesian model yielded a consistent pooled rate of 1.8% (CrI95%, 1.0–2.8), with a 68% probability of being below 2% and 99% below 3%. Predictive intervals suggested new studies of 100–300 patients would show rates between 0–5%, confirming reproducibility. Subgroup analyses revealed no meaningful differences by setting or catecholamine type. Most events were mild extravasations after a median infusion of 4.1 hours (IQR, 2.9–7.1). Conclusions: Peripheral vasopressor administration in pediatric shock is associated with a very low incidence of local adverse events. The Bayesian hierarchical model confirmed these findings with high probabilistic confidence, supporting peripheral administration as a safe and rapid approach for early hemodynamic stabilization. Peripheral vasopressors may be used for short durations (typically <4 hours, according to the included studies) while central access is being established, thereby minimizing delays in critical resuscitation.
Keywords: Vasoactive agents, Shock, Infusions, Catheterization, Bayesian analysis.
Received: 05 Oct 2025; Accepted: 04 Nov 2025.
Copyright: © 2025 Martinez-Solarte, Fernández-Sarmiento, Guzman, Fernández-Sarta, Gutierrez-Montenegro, Sarmiento, Mulett, Fernández-Palacio, Suarez, Mejia, Rafael Copana Olmos, Casson, Bravo, Martinez, Guayambuco, Rios, Girishkumar Mehta and Urbano. This is an open-access article distributed under the terms of the Creative Commons Attribution License (CC BY). The use, distribution or reproduction in other forums is permitted, provided the original author(s) or licensor are credited and that the original publication in this journal is cited, in accordance with accepted academic practice. No use, distribution or reproduction is permitted which does not comply with these terms.
* Correspondence: Jaime Fernández-Sarmiento, jaimefe@unisabana.edu.co
Disclaimer: All claims expressed in this article are solely those of the authors and do not necessarily represent those of their affiliated organizations, or those of the publisher, the editors and the reviewers. Any product that may be evaluated in this article or claim that may be made by its manufacturer is not guaranteed or endorsed by the publisher.
