Your new experience awaits. Try the new design now and help us make it even better

REVIEW article

Front. Pharmacol., 29 October 2019

Sec. Ethnopharmacology

Volume 10 - 2019 | https://doi.org/10.3389/fphar.2019.01223

Comprehensive Review on Phytochemicals, Pharmacological and Clinical Potentials of Gymnema sylvestre

Farzana Khan,Farzana Khan1,2Md. Moklesur Rahman Sarker,*Md. Moklesur Rahman Sarker1,2*Long Chiau Ming,Long Chiau Ming3,4Isa Naina Mohamed*Isa Naina Mohamed5*Chao ZhaoChao Zhao6Bassem Y. SheikhBassem Y. Sheikh7Hiew Fei TsongHiew Fei Tsong8Mohammad A. RashidMohammad A. Rashid9
  • 1Department of Pharmacy, State University of Bangladesh, Dhaka, Bangladesh
  • 2Pharmacology and Toxicology Research Division, Health Med Science Research Ltd., Dhaka, Bangladesh
  • 3PAPRSB Institute of Health Sciences, Universiti Brunei Darussalam, Bandar Seri Begawan, Brunei
  • 4Division of Pharmacy, School of Medicine, College of Health and Medicine, University of Tasmania, Hobart, TAS, Australia
  • 5Department of Pharmacology, Faculty of Medicine, Universiti Kebangsaan Malaysia (The National University of Malaysia), Cheras, Malaysia
  • 6College of Food Science, Fujian Agriculture and Forestry University, Fuzhou, China
  • 7Faculty of Medicine, Taibah University, Almadinah Almunawwarah, Saudi Arabia
  • 8Alpro Pharmacy and Powerlife, Port Dickson, Malaysia
  • 9Phytochemical Research Laboratory, Department of Pharmaceutical Chemistry, University of Dhaka, Dhaka, Bangladesh

Gymnema sylvestre is a plant included in Apocynaceae family and is located in many regions of Asia, Africa and Australia. This plant is widely used as a traditional therapy for different purposes. Even now it is being used as a dietary supplement due to its numerous therapeutic uses. It is known to have blood glucose lowering potential and, thus, is widely used in traditional and Ayurvedic systems of medicine. It renders glucose lowering activity due to the presence of phytochemicals, such as gurmarin, gymnemic acid as well as gymnemasaponins. Gymnema sylvestre is also known to have anti-oxidant, antibiotic, anti-inflammatory, antiviral, gastro and hepatoprotective, anticancer and lipid-lowering activities. This review discusses in details on different pharmacological and clinical potentials of Gymnema sylvestre and its chemical constituents associated with its therapeutic potentials.

Introduction

Plants are a great concern for drug discovery exploration and a major source of our modern medicine. About 25% of modern medicines are derived from a plant source and merely 5-15% of plants have been investigated for their medicinal use (Gurnani et al., 2014). Nowadays, natural plants, herbal medicines, phytomedicines, and functional foods are extensively studied by scientists all over the world which resulted with the lucrative therapeutic potentials such as antidiabetic (Sarker, 2015; Shah et al., 2016; Rouhi et al., 2017; Chen et al., 2018), anticancer (Sheikh et al., 2017a; Sheikh et al., 2017b), immunomodulating (Goto et al., 2010; Sarker et al., 2011; Sarker et al., 2012a; Sarker et al., 2012b; Sarker and Gohda, 2013), antiobesity and lipid lowering (Kazemipoor et al., 2015; Sarker, 2015), anti-inflammatory (Imam et al., 2013) and anti-bacterial (Yasmin et al., 2009) activies. Among the potential medicinal plants, Gymnema sylvestre, belongs to the family of Apocynaceae, and is traditionally used for the treatment of various dieseases. It is a wild herb found in India, Africa, Australia, and China (Christopoulos et al., 2010). It is known as Meshashringi, Merasingi, Kavali, Kalikardori, Vakundi, Dhuleti, Mardashingi, Podapatri, Adigam, Cherukurinja, Sannagerasehambu, Chigengteng or Australian Cowplant, Waldschlinge in German, Periploca of the woods in English (Kanetkar et al., 2007). This plant is also recognized as ‘Gurmur’, due to having sugar lowering property (Tiwari et al., 2014). Gymnema sylvestre was considered as one of the major botanicals to treat diabetes in the Ayurvedic system of medicine and also is included in Indian Pharmacopoeia as an anti-diabetic plant (Singh et al., 2008). As it is useful against major diseases such as cardiovascular diseases, asthma, cancer, diabetes and obesity, different formulation of this plant is found in a number of preparations such as tea bags, health tablets, and food supplements. In various studies, Gymnema sylvestre is reported to be effective against arthritis, diuretic, anemia, osteoporosis, hypercholesterolemia, cardiopathy, asthma, constipation, microbial infections, indigestion, and as an anti-inflammatory agent (Tiwari et al., 2014). Although this plant has been proven valuable through its numerous useful properties, not many studies especially clinical studies on this plant are available. We aim to extensively review the therapeutic potential and phytochemical compounds present in this plant based on the published reports so far.

Search Strategy and Terms Used

A comprehensive, electronic search was conducted for studies published before April 2019 using PubMed, SCOPUS, Web of Science, EMBASE, Elsevier, ScienceDirect, Researchgate, Google, and Google Scholar databases. Keywords related to, `Pharmacology’, ‘Antioxidant’, ‘Anti-diabetic’, ‘Anticancer’, ‘Immunomodulatory’, ‘Anti-arthritis’, Weight loss’, ‘Lipid lowering’, ‘Antimicrobial’, ‘Anti-inflammatory’, ‘Hepatoprotective’, ‘Gastroprotective’, ‘Traditional’, ‘Phytochemicals’ combined with ‘Gymnema sylvestre’ were used.

Botanical Description and Taxonomy of Gymnema Sylvestre

Gymnema sylvestre (Retz.) R.Br. ex Sm. is a vulnerable and slow growing species. It appears as highly branched, woody and can climb up to the top of the tree that grows in the dry forests of central and southern India and in other regions of Asia (Wu et al., 2012; Kapoor, 2017). This is a shrub of pubescent type which has young stems and branches (Kanetkar et al., 2007). Its root system is of tap root type (Najafi and Deokule, 2011). Stems are cylindrical, branched, hard, twining, internodes terete, 0.7-17.2 cm long and 2 -10 mm in diameter (Najafi and Deokule, 2011; Pramanick, 2016). The leaves have distichous phyllotactic opposite arrangement pattern, are 2.5–6 cm long, usually ovate or elliptical and simple (Kanetkar et al., 2007). Leaves are acute or shortly acuminate, have petioles of 1- to 2-cm long, are smooth above, with a rounded base, a densely velvety pubescent beneath, and ciliate along margins, especially on the nerves. Venation is of transverse and reticulate type with a marginal vein (Kirtikar and Basu, 1975; Pramanick, 2016). Seeds are 1.3 cm long, flat with a thin marginal wing and narrowly ovoid-oblong (Chopra et al., 2002; Kirtikar and Basu, 1975). Flowers are small and yellow in color, in axillary and lateral umbel in cymes. Follicles are terete, lanceolate and of up to 3 inches in length (Kanetkar et al., 2007). Calyx is 5-lobed, ovate, obtuse, ciliated where corolla is campanulated, yellow, 5-lobed (Pramanick, 2016). Flowering of the plant occurs during August to March. Propagation through seed is difficult due to a low viability of seeds and, thus, plantation of root cuttings in June and July or plantation of terminal cuttings in February and March is done as an alternative approach (Kirtikar and Basu, 1975).

Gymnema sylvestre (Retz.) R.Br. ex Sm. is from Gymnema genus which belongs to Apocynaceae family. This genus has 49 other approved species which includes Gymnema acuminatum Wall., Gymnema brevifolium Benth., Gymnema chalmersii Schltr., Gymnema hirsutum Wight and Arn. etc. (The Plant List, 2013). The Taxonomy of the plant is presented in Table 1.

TABLE 1
www.frontiersin.org

Table 1 Taxonomy of Gymnema sylvestre (Kirtikar and Basu, 1987).

Traditional Uses

Gymnema sylvestre is mentioned in Shushruta, an ancient book on medicine as a remedy for glycosuria and urinary disorder (Nadkarni, 1986). It is a therapeutic herb having multiple potentials as mentioned in folk medicine, Ayurveda, and Homeopathic systems of medicine (Kanetkar et al., 2007). Traditionally, it has been used to treat diabetes, malaria and snake bites as well as to treat diseases caused by phlegm and piles in the Ayurvedic system of medicine (Kirtikar and Basu, 1975; Singh et al., 2008). In Ayurveda, the plant is prescribed for the treatment of dyspepsia, constipation, jaundice, hemorrhoids, renal and vesicle calculi, cardiopathy, asthma, bronchitis, amenorrhea, and leucoderma (Sastry, 1994; Nadkarni, 1996; Anis et al., 2000; Mathew, 2004). Furthermore, different parts of the plant such as the roots, stem, and leaves have been used as cardiotonic, digestive, diuretic, laxative, stimulant, stomachic, and uterine tonic in traditional medicine systems (Mathew, 2004). Various parts of this plant are used by different tribes in India such as the Sahariya tribe of Madhya Pradesh, Junglee Irulas of Nilgiri hills, Kol tribe of Chhattisgarh, and the Nayaks of Karnataka, to treat mainly asthma, eye and gastric problems, parkinsonism, urinary problems, and diabetes (Chopra et al., 2002; Anis et al., 2000; Potawale et al., 2008).

Phytochemistry of Gymnema Sylvestre

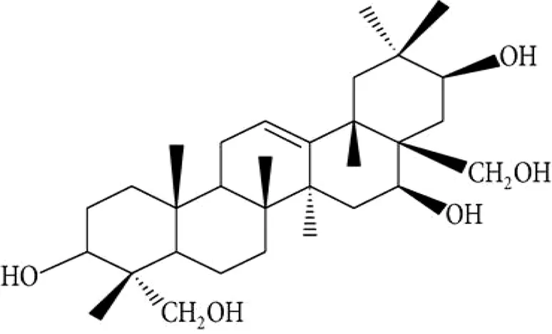
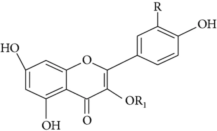
Stems of Gymnema sylvestre were investigated using chromatographic techniques and were found to have several therapeutically important chemical compounds such as stigmasterol and triterpenoid saponin. Stigmasterol compounds have multiple therapeutic potentials including antidiabetic, hypoglycemic, antioxidant, anticancer activities. Triterpenoid saponins also exhibited anti-tumor, anti-fungal, hepatoprotective and antidiabetic potential in several studies (Matsuda et al., 1997; Kaur et al., 2011; Garai, 2014; Liu et al., 2014). Gymnemic acids and gymnemasaponins are major chemical constituents of this plant and are classified as oleanane saponins. Oleanane and dammarane type of saponins are found in the leaves of Gymnema sylvestre (Khramov et al., 2008). The leaves of this plant also have saponins, anthraquinones, cardiac glycosides etc. (Patel, 2017). Moreover, this plant was also observed to have tannin, quinones, flavonoids, and phenols. (Senthilkumar, 2015). The phytochemical compounds found in the analysis of Gymnema sylvestre is listed in Table 2.

TABLE 2
www.frontiersin.org

Table 2 Phytochemical constituents of Gymnema sylvestre.

In Vitro and in Vivo Pharmacological Activity Reports on Gymnema Sylvestre

In vitro and In vivo investigation of the therapeutic importance of Gymnema sylvestre revealed multifarious pharmacological potentials including anti-cancer, immunosuppressive, gastro-protective, hypoglycemic, anti-inflammatory, anti-infectious, and most importantly anti-diabetic activities. The pharmacological activities of phytochemicals derived from Gymnema sylvestre have been presented in Figure 1 and its reports are summarized in Table 3.

FIGURE 1
www.frontiersin.org

Figure 1 Phamacological activities of the constituents of Gymnema sylvestre.

TABLE 3
www.frontiersin.org

Table 3 Summary of Pharmacological Effects of Gymnema sylvestre.

Antidiabetic Activity

The most widely known effect of Gymnema sylvestre is anti-diabetic activity. Ethanol extract of this plant is reported to reduce glucose level by 46% where the water extract reduced glucose level by 26% and methanol extract by 12% (Mcburney and Gent, 1978; Luo et al., 2006; Kosta and Tiwari, 2009; Shah et al., 2011; Shah et al., 2012). In dexamethasone-induced insulin resistance rats, aqueous extract of this plant was found to be improving the altered glucose, insulin and lipid profile (Kumar S, et al., 2015). Administration of this plant in a diabetic animal model resulted in reductions in the blood levels of insulin, protein, triglycerides, cholesterol, and glucose, as well as a reduction in body weight and was found to improve liver histopathology (Sujin, 2008). In another study where alloxan-induced diabetic rats were used, this plant extract significantly (p < 0.05) reduced fasting blood glucose level, total cholesterol, serum triglycerides and increase HDL-cholesterol level and is also described to significantly alter (p < 0.05) the elevated level of urea, uric acid and creatinine levels in diabetic rats to nearly normal levels (Sathya et al., 2008; Mall et al., 2009). Gymnema sylvestre reduced the level of blood glucose levels after both acute and chronic administration of methanolic extract of this plant on Wister rats (Dholi and Raparla, 2014). In the case of Streptozotocin-induced diabetic rats, it has been shown that treatment using this plant significantly (p < 0.05) decreased the elevated blood glucose, ALT, AST, triglycerides, total cholesterol, LDL-cholesterol, and malondialdehyde, and significantly (p < 0.05) increased insulin, HDL-cholesterol, and erythrocyte superoxide dismutase levels in diabetic rats and also is capable of regenerating insulin producing β-cells (Aralelimath and Bhise, 2012; Shafey et al., 2013; Kumar et al., 2017; Ahmed et al., 2017). Gymnemic acids (a type of triterpene saponin compounds) are the class of active constituents isolated form Gymnema sylvestre. It was found that gymnemic acid IV given at a dose of 3.4/13.4 mg/kg adaministered for 6 hours decreased blood glucose levels by 14.0–60.0% as compared to glibenclamide. Also, gymnemic acid IV increased plasma insulin levels in STZ-diabetic mice when administered at a concentration of 13.4 mg/kg (Sugihara et al., 2000). In a study, oral administration of small concentrations (0.2 g/kg) of this plant produced a reduction in the elevated levels of blood sugar induced by sucrose (Kang et al., 1990). However, Galletto et al. (2004) also informed an absence of anti-diabetic activity of Gymnema sylvestre in an alloxan treated animal model (Galletto et al., 2004).

Mechanism of Action of Gymnema Sylvestre for Antidiabetic Activity

Several mechanisms have been proposed to explain the anti-diabetic activity of Gymnema sylvestre (Figure 2). Gymnemic acids can prevent absorption of sugar molecules by the intestine, which leads to a reduction in blood sugar levels (Tiwari et al., 2014). One of the constituents of Gymnema sylvestre is gymnemic acid which is a mixture of saponins (Yoshikawa et al., 1993). The atomic arrangement of gymnemic acid molecules is similar to that of glucose molecules and it blocks the receptor site for sugar in the intestines, preventing the absorption of sugar which reduces blood sugar level (Sahu et al., 1996). Rapid screening by Affinity Ultrafiltration-HPLC-MS shows that it contains α-glucosidase inhibitors (Chen and Guo, 2017). It is reported to increase the activity of enzymes which are insulin dependent including hexokinase, glycogen synthetase, glyceraldehydes 3-phosphate dehydrogenase, and glucose 6-phosphate dehydrogenase, and to decrease the activity of insulin-independent enzymes such as glycogen phosphorylase, gluconeogenic enzymes, glucose 6-phosphatase, fructose 1,6- diphosphatase, and sorbitol dehydrogenase, which also increases phosphorylase activity. Gymnema sylvestre was also found to increase the secretion of insulin and the possible role in regenerating insulin as well as β-cell was suggested (Shanmugasundaram et al., 1990a; Nakamura et al., 1999; Aralelimath and Bhise, 2012). In a study, methanol extract of this plant showed increased effect on β-cell regeneration and was extrapolated that this plant might be able to completely recover pancreatic-cells function and thus treating type I diabetes (Ahmed et al., 2010).

FIGURE 2
www.frontiersin.org

Figure 2 Mechanism of glucose lowering activity by Gymnema sylvestre.

Anticancer Activity

Gymnema sylvestre was found to have anticancer activity in various investigations. Its constituent gymnemagenol (C30H50O4) showed positive anticancer activity against HeLa cells (Khanna, 2010). The ethanolic, ethyl and chloroform extract were tested for anticancer activity against A549 (human lung adenocarcinoma) and MCF7 (human breast carcinsoma) cell lines. Theses extract revealed anticancer activity with a similar IC50 value against MCF cell lines where in the case of A549, ethyl and chloroform extract were more active than the ethanol extract (Srikanth et al., 2010). Ethanolic extract of Gymnema sylvestre showed anticancer activity in A375 cells (human skin melanoma). It showed cytotoxic activity against A375 cell and antitumor activity in skin Papilloma model where, in the case of normal liver cells WRL-68, it showed no cytotoxic activity (Chakraborty et al., 2013). It was revealed to have significant (p < 0.0001) inhibitory effect against intestinal breast cancer resistance protein (BCRP) (Tamaki et al., 2010). In a study, the administration of flavonoids was found to be inhibiting BCRP and subsequently, improving multi-drug resistance of BCRP substrates that was induced by it (Imai et al., 2004). Thus, it can be suggested that inhibition of this protein by Gymnema sylvestre may improve the activity of BCRP substrates methotrexate, daunorubicin, topotecan, epirubicin, flavopiridol, and so on by increasing systemic availability and absorption (Mao, 2005). Ethanolic extract of this plant exhibited antiproliferative effects in mice with two-stage carcinogenesis with a 50% inhibitory dose of 50–555 nmol/ear (Yasukawa et al., 2014). Polysaccharides (GSP11, GSP22, GSP33, GSP44 and GSP55) isolated from Gymnema sylvestre was reported to have anticancer activity by improving immunological function through increasing phagocytic function, enhanced serum hemolysin levels, thymus, and spleen indexes. GSP11 and GSP33 showed inhibitory rates of 78.6% and 83.8%, respectively, against U937 cells and GSP22 showed activity against SGC cells with an inhibitory rate of 78.2%. (Wu et al., 2012). In another study, antitumor potential of this plant was observed when methanolic extract of Gymnema sylvestre was administered on Swiss albino mice where papillomagenesis was induced using carcinogen 7, 12 - dimethylbenz (a) anthracene (DMBA). Decreased tumor incidence, tumor burden and the cumulative number of papillomas were observed after the treatment with the plant extract (Agrawal et al., 2016).

Lipid-Lowering Activity

Gymnema sylvestre leaf extract was observed to possess very potent hypolipidaemic activity. In a study, Gymnema sylvestre leaf extract was administered to Wister female rats. These rats were introduced to hyperlipidemia by high-fat diet. It was detected that this extract significantly lowered the level of cholesterol (p< 0.01), low-density lipoprotein (LDL) (p< 0.01), and triglyceride (p< 0.01) as well as increased the level of high-density lipoprotein (HDL) (p< 0.001) effectively (Singh et al., 2017). Furthermore, hydro-alcoholic leaf extract of Gymnema sylvestre was also observed to have lipid-lowering potential. In this study, rats were given high cholesterol for seven days and a higher level of cholesterol, triglyceride, LDL, and a lower level of HDL was observed. After seven days, these rats were treated with Gymnema sylvestre extract and it was reported to lower the elevated cholesterol, triglyceride, LDL level and increase the HDL level. It was suggested that this plant renders lipid-lowering potential due to the presence of acidic constituents such as flavonoids, saponins, tannins etc. (Rachh et al., 2010; Dholi and Raparla, 2014). Similarly, in several other studies, it was reported to reduce triglyceride, cholesterol, very low‐density lipoprotein (VLDL) and low‐density lipoprotein (LDL) in diabetic rats (Bishayee and Chatterjee, 1994; Kumar et al., 2013).

Antimicrobial Activity

Different extracts and isolated bioactive compounds of Gymnema sylvestre were reported to have anti-microbial potential against several microorganisms. Methanolic extract of the leaves of this plant was reported to show antimicrobial activity against E. coli, B. cereus, C. albicans, and C. kefyr. The aqueous extract showed moderately anti-microbial activity against S. aureus, C. krusei, C. perfringens type-A and C. kefyr where the hexane extract showed activity against S. aureus, B. cereus, S. enterica, H. paragallinarum and C. perfringens type-A (David and Sudarsanam, 2013; Tahir et al., 2017). Both aqueous and ethanol extract is active against pathogenic Salmonella species (Salmonella typhi, S. Typhimurium, and S. paratyphi). Ethanolic, chloroform, and ethyl acetate extracts were reported to be active against P. vulgaris, E. coli, P. aeroginosa, K. pneumoniae, and S. aureus (Pasha et al., 2009; Paul and Jayapriya, 2009). Swami and Prabakaran (2012) observed that this plant was effective against several gram positive and negative bacteria such as S. aureus, E. Coli, K. pneumoniae and P. aeruginosa. In a study where antimicrobial activity was measured using a disk diffusion method, gymnemic acid, isolated from this plant, also showed antimicrobial activity against E. coli, V. cholera, S. mutans, S. aureus, A. niger and C. albicans with zone of inhibition of 8.65 mm, 6.00 mm, 7.12 mm, 9.25 mm, 6.43 mm and 8.60 mm, respectively (Gupta and Singh, 2014). It has anti-microbial potential against a wide range of microorganisms including E. coli, P. aeruginosa, B. subtilis, E. hirae, M. luteus, S. aureus and C. albicans (Thanwar et al., 2016; Arora and Sood, 2017; Gunasekaran et al., 2019). Antibacterial activity of gymnemic acid, a triterpene saponin, isolated from Gymnema sylvestre was also studied against E. coli and B. cereus and it was found active against the microbes (Shivanna and Raveesha, 2009). Recently, antimicrobial properties of Gymnema sylvestre leaf extract have been enhanced using poly-ε-caprolactone nanofibers (Ramalingam et al., 2019) or by using ZnO nanoparticles (Karthikeyan et al., 2019). Gymnema sylvestre with ZnO nanoparticles was found to be effective against gram positive Staphylococcus aureus and Streptococcus pneumoniae bacteria and gram negative Klebsiella pneumoniae, Shigella dysenteriae, Escherichia coli, Pseudomonas aeruginosa and Proteus vulgaris bacterial strains (Karthikeyan et al., 2019). Using poly-ε-caprolactone nanofibers with this plant was potently active against methicillin-resistant Staphylococcus aureus, Staphylococcus aureus, Pseudomonas aeruginosa, Staphylococcus epidermidis and Escherichia coli (Ramalingam et al., 2019).

Antioxidant Activity

Ethanol extract of this plant revealed significant (p < 0.05) 1,1-diphenyl-2-picrylhydrazyl (DPPH) radical scavenging activity and showed better antioxidant potential than A. bilimbi and C. frutescens (Rahman et al., 2014). Anti-oxidant activity of Gymnema sylvestre against DPPH was also observed in an investigation by Rupanar et al. (2012). This plant was found to have better DPPH radical scavenging than butylated hydroxyl toluene (BHT) and in another study it was also found to reduce LDL oxidation (Ohmori et al., 2005; Rupanar et al., 2012). Recently, in another study, hydroxyl free radical scavenging activity and significant antioxidative potential of this plant against DPPH was reported where DPPH inhibition was at the level of 87.3% and hydroxyl free radical inhibition was 59.8% (Gunasekaran et al., 2019). It was also found to have significant radical scavenging activity against ferric (p < 0.05), super oxide (p < 0.05) and also against hydrogen peroxide (p < 0.05) (Rachh et al., 2009). Gymnema sylvestre showed antioxidant activity in several conditions such as against high fat diets, hydrogen peroxide, nitric oxide, and superoxide radically induced oxidative stress in rats (Arun et al., 2014; Kishore and Singh, 2015; Chakrapani and Periandavan, 2018).

Antiarthritic Activity

Aqueous and petroleum extract of Gymnema sylvestre revealed significant (p < 0.01) antiarthritic activity (Malik et al., 2010). It was suggested that Gymnema sylvestre may have reduced the release of inflammatory mediators which is necessary to reduce bone destruction in anti-arthritic condition (Malik et al., 2010). In another study, ethanolic extract of the root of Gymnema sylvestre reduced carrageenan rat paw oedema significantly (p < 0.01) and inhibited 39-75% of histamine induced rat paw oedema (Shankar and Rao, 2008)

Immunomodulating Activity

Methanolic leaf extract of Gymnema sylvestre (MLEGS) showed immunosuppressive activity in Swiss Albino mice when it was tested by performing hemagglutination antibody (HA) titer, delayed-type hypersensitivity (DTH) tests and flow cytometric techniques for the estimation of B lymphocytes (CD3 and CD19) and Th2 cytokines (IL-2, IFN-γ and IL-4). This plant significantly reduced primary and secondary antibody response and DTH response in a dose-related manner. At 200 mg/kg body weight, the maximal reductions occurred in the production of CD3, CD19, IL-2, IFN-γ and IL-4 at the level of 31.59, 32.12, 29.51, 32.45 and 33.53%, respectively (Ahirwal et al., 2015). However, it was also perceived that Gymnema sylvestre enhances the level of myeloid and lymphoid components of the immune system. Methanolic extract of this plant significantly increased (p < 0.05) the stimulation of Nitric oxide (NO) and Reactive Oxygen Species (ROS) by stimulation of macrophage activity and, also, significantly (p < 0.05) reduced nitroblue tetrazolium (Singh et al., 2015). Aqueous extract of Gymnema sylvestre also stimulated the phagocytic function of human neutrophils suggesting an immunostimulatory activity (Jitender et al., 2009). Ethanol extract of this plant was observed to improve immunosuppressed condition induced by cyclophosphamide in Albino Rats. In this study, the plant extract significantly improved haemagglutination titer, phagocytic activity and decreased paw edema (p < 0.01, p < 0.05 and p < 0.05 respectively), when compared with cyclophosphamide treated control (Kar et al., 2019). In another study, potent immunostimulatory potential of the aqueous extract of this plant was observed (Gupta et al., 2009).

Anti-Inflammatory Activity

Methanoic extract of Gymnema sylvestre showed anti-inflammatory activity in Wistar rats where carrageenan-induced inflammation was introduced in the rats. Methanolic extract of this plant reduced carrageenan-induced rat paw edema significantly (p < 0.05) (Kumar et al., 2012). In another study, aqueous extract of this plant displayed inhibitory potential against carrageenan-induced rat paw edema and peritoneal ascites in mice (Diwan et al., 1995). Furthermore, ethanolic extract of this plant was reported to show inhibitory effects against TPA-induced inflammation, with a 50% inhibitory dose of 50–555 nmol/ear where In vivo two-stage carcinogenesis was introduced in mice using 7,12-dimethylbenz[a]anthracene as an initiator and 12-O-tetradecanoyl phorbol-13-acetate (TPA) as a promoter (Yasukawa et al., 2014).

Effect on Gastrointestinal Tract

Methanolic extract of Gymnema sylvestre showed anti-ulcer activity in pylorus ligated Wister rat, forced swim stress-induced ulcer model as well as in rats where ulcer was induced by Indomethacin. It reduced the ulcer index significantly (p < 0.01) and also reduced free acidity, total acidity and gastric volume, and increased the pH of gastric juice. It was suggested that anti-ulcer activity was due to the presence of phytochemical constituents such as saponins, flavanoids, tannins, sterols, glycosides, alkaloids, resins, carbohydrates, proteins, triterpenoids (Swetha et al., 2012). A herbomineral formulation containing Gymnema sylvestre was found to improve impaired gastric emptying and intestinal transit associated with diabetes. In this study, Gymnema sylvestre containing formulation was found to significantly restore gastric emptying time and intestinal transit (p < 0.001 and p < 0.001 respectively), (Somani et al., 2013). However, Gymnema sylvestre was also shown to inhibit Glucose-Stimulated Gastric Inhibitory Peptide Secretion in Wister Rats significantly (p < 0.05) (Fushiki et al., 1992). Ethanolic extract of the leaves was described to improve mucosal injury induced by ethanol in Wister Albino rats. In this study it was observed that treatment of rats with this plant extract resulted in a significant depletion of stomach-wall mucus (p < 0.001), total proteins (p < 0.01), nucleic acids (p < 0.001), and non-protein sulfhydryl groups (p < 0.001) (Al-Rejaie et al., 2012). In a study, where gastric ulcer was induced in Swiss Albino male mice, aqueous extract of this plant was reported to show anti-ulcerative properties where it was observed that treatment with the plant extract exhibited significant (p < 0.05) protective activity against aspirin induced ulcer in rat models (Arun et al., 2014).

Hepatoprotective Activity

In an in-vitro investigation, hydro-alcoholic extract of Gymnema sylvestre was observed to render anti-hepatotoxic function in a dose-dependent manner in isolated rat hepatocytes where hepatotoxicity was induced using D – galactosamine. A significant increase in the level of ASAT, ALAT, ALP, total bilirubin and direct bilirubin (p < 0.001) was observed (Srividya et al., 2010). It was reported to lower urea and creatinine levels after acute and chronic administration of methanolic extract of this plant in Wister rats (Dholi and Raparla, 2014). In a study where methanolic poly herbal preparation containing this plant was used, it was observed that the preparation can reverse hepatotoxicity in Albino rats induced by paraffin and carbon tetrachloride (Yogi and Mishra, 2016).

Effect on Body Weight

Ethanol extract of this plant was found to reduce body weight in Wister rats (Shigematsu et al., 2001a). Similarly, when Streptozotocin-induced diabetic Albino rats were treated with ethanolic extract of Gymnema syvestre, a significant (p < 0.001) weight reduction was also observed (Fatani et al., 2015). However, in a different study, ethanol extract of this plant was reported to cause increase in the weight of the whole body, liver, pancreas in alloxan induced diabetic Wistar rats (Ahmed et al., 2010).

Anticaries Activity

The methanol extract of Gymnema sylvestre disclosed antimicrobial activity against Streptococcus mutans which is responsible for the formation of dental caries (Devi and Ramasubramaniaraja, 2010). Gymnema Acid from this plant can reduce glucan as well as plaque formation by Streptococcus mutants (Porchezhian and Dobriyal, 2003).

Clinical Study Reports of Gymnema Sylvestre

Apart from various investigations on animal models, different extracts of this plant were tested on humans to inspect its therapeutic potential on the human body. Clinical investigations on Gymnema sylvestre revealed its potential to reduce body weight and glucose levels, triglyceride, LDL-c, total cholesterol and elevate the amount of insulin and C-peptide available in blood. A study conducted on 58 patients with type 2 diabetes mellitus for 90 days resulted in the reduction of fasting (p < 0.005) and post prandial blood glucose levels (p < 0.001) along with a reduction of triglyceride (p < 0.05) (Table 4) (Kumar et al., 2010). In another study, where 64 individuals with type 1 diabetes were treated with Gymnema leaf extract for 6 to 30 months resulted with the reduction of plasma glucose level, reduced external insulin dose and significant reduction in HbA1c (p < 0.001) (Shanmugasundaram et al., 1990b). Significant (p < 0.05) reduction in blood glucose level was observed in another study where 32 human subjects with type-2 diabetes were administered with Gymnema sylvestre leaf powder in hard gelatin capsule for 30 days. Reduction in triglyceride, cholesterol and LDL level was also observed in this study (Li et al., 2015) (Table 4). The therapeutic potential of Gymnema sylvestre (GS) observed from clinical studies so far conducted has been summarized in Table 4.

TABLE 4
www.frontiersin.org

Table 4 Summary of clinical study results on Gymnema sylvestre.

Toxicological Reports on Gymnema Sylvestre

Toxicology study on Albino mice treated with Gymnema sylvestre showed LD50 level at 3990 mg/kg and the safety ratio for normal and diabetic mice was found to be 11.08 and 16.03 respectively. In this study, no behavioral, neurologic and autonomic adverse effects were observed (Chattopadhyay, 1999). Another study reported LD50 of ethanol and water extract of Gymnema sylvestre to be 375mg/kg where mice were treated by intraperitoneal route with the plant extract (Bhakuni and Dhar, 1971). One case of drug-induced liver injury (DILI) was informed in the case of a patient who was treated with Gymnema sylvestre for diabetes mellitus (Shiyovich et al., 2010). It was stated that this plant can cause hypoglycemia in both diabetic and non-diabetic patient (Khare et al., 1983) and in the case of the diabetic animal model, one study reported persistent hypoglycemic effect even after the treatment with Gymnema sylvestre was stopped (Srivastava et al., 1986). However, no toxic effects were observed in a study where male and female Wistar rats were treated with Gymnema sylvestre for 52 weeks (Ogawa et al., 2004).

Use of Gymnema Sylvestre as Dietary Supplement

Concerning the use of extract of Gymnema sylvestre as a dietary supplement in Europe, the European Food Safety Agency recognizes the property of this plant which maintains normal sugar levels in organisms and in their conditions of use it must contain 400- 800 mg of gymnema extract, equal to 100- 200 mg kgymnemic acid (EFSA Panel on Dietetic Products, Nutrition and Allergies (NDA), 2010).

Presently, there are considerable knowledge gaps for the risk assessment of G. sylvestre preparations and open questions for whether results obtained with one preparation can be extrapolated to another Gymnema preparation. Also, based on the lack of systematic data on dose and effect relationships, the available information was regarded as not being sufficient for the derivation of health-based guidance values for Gymnema or Gymnema preparations. Considering the uncertainties for the composition of different Gymnema preparations, potential herb–drug interactions and the concerns about glucose lowering or hypoglycaemic effects, the use of Gymnema-based food supplements in combination with (or as a substitute for) authorized antidiabetic drugs may be associated with risks when used without medical supervision (Marakis et al., 2018).

Summary and Future Perspectives

Phytochemicals account for numerous pharmacological properties. They are observed to have anti-metastatic, anti-diabetic, hypoglycemic, anti-oxidant, hepatoprotective, anti-inflammation, anti-bacterial, anti-fungal, anti-viral etc. activities. Plants contain compounds such as flavonoids, alkaloids, and tannins that render these life-saving therapeutic activities. It has been reported that about 80% of people from developing countries rely on natural medicines for the treatment of diseases and their primary health concerns (Hamilton, 2004). However, despite having great demand and therapeutic uses only 10% of the plants have been investigated for their therapeutic potential (Kumar V.H, et al., 2015). Furthermore, some of these plants which could be a great source of biologically important novel phytoconstituents are on the verge of extinction due to unsustainable use, destruction of forests, and habitat destruction (Brower, 2008). One of these therapeutically important plants that contain significant biologically important phytochemicals is Gymnema sylvestre. It constitutes saponins, flavonol, glycosides, gymnemanol, gurmarin etc. These phytochemicals isolated from Gymnema sylvestre can provide pharmacological activities such as anti-diabetic, anti-oxidative, anti-metastatic, anti-inflammatory, lipid-lowering and several other properties.

However, this plant is also subject to unsustainable use. It is disappearing very fast due to overexploitation and extensive collection to meet the demand (Choudhury, 1988). Many unauthorized preparations of this plant are found in the local market. People are using this plant as a cheap substitution for their anti-diabetic medicine without any knowledge of what part of the plant to be used which results in unnecessary destruction the whole plant. Thus, this plant is being wasted without being used up to their maximum potential. In order to prevent the waste of this plant, legal production of medicinal preparation from the plant should be ensured and sustainable use of this plant should be closely monitored. In addition to these, people should be also made aware of the proper use of the plant so that they can get maximum benefit from this plant.

Author Contributions

MMRS conceived the concept. FK and MMRS wrote the initial draft and revised the manuscript. LCM, INM, CZ and MAR critically revised the manuscript. BYS and HFT significantly contributed to review the manuscript in reply to reviewers; FK, MMRS, LCM, INM, CZ, BYS, HFT and MAR finalized the manuscript. All authors read and approved the manuscript.

Conflict of Interest

The authors declare that the research was conducted in the absence of any commercial or financial relationships that could be construed as a potential conflict of interest.

References

Agrawal, R. C., Soni, S., Jain, N., Rajpoot, J., Maheshwari, S. K. (2016). Chemopreventive effect of Gymnema sylvestre in Swiss albino mice. Int. J. Sci. Res. Publ. 6 (1), 78–83.

Google Scholar

Ahirwal, L., Singh, S., Kumar, M. D., Bharti, V., Mehta, A., Shukla, S. (2015). In vivo immunomodulatory effects of the methanolic leaf extract of Gymnema sylvestre in Swiss albino mice. Arch. Biol. Sci. 67 (2), 561–570. doi: 10.2298/ABS141027018A

CrossRef Full Text | Google Scholar

Ahmed, A. B., Rao, A., Rao, M. (2010). In vitro callus and in vivo leaf extract of Gymnema sylvestre stimulate β-cells regeneration and anti-diabetic activity in Wistar rats. Phytomedicine 17 (13), 1033–1039. doi: 10.1016/j.phymed.2010.03.019

PubMed Abstract | CrossRef Full Text | Google Scholar

Ahmed, S. K., Cheekavolu, C., Alasyam, N., Sunil, M. (2017). Evaluation of hypoglycemic property of gurmar (Gymnema sylvestre) leaves methanolic extract (GSLME) in streptozocin (STZ) induced Diabetic Albino Rats. J. Med. Sci. Clin. Res. 5(12), 31753–31760. doi: 10.18535/jmscr/v5i12.78

CrossRef Full Text | Google Scholar

Aleisa, A. M., Al-Rejaie, S. S., Abuohashish, H. M., Ola, M. S., Parmar, M. Y., Ahmed, M. M. (2014). Pretreatment of Gymnema sylvestre revealed the protection against acetic acid- induced ulcerative colitis in rats. BMC Complement Altern. Med. 14 (49). doi: 10.1186/1472-6882-14-49

CrossRef Full Text | Google Scholar

Al-Rejaie, S. S., Abuohashish, H. M., Ahmed, M. M., Aleisa, A. M., Alkhamees, O. (2012). Possible biochemical effects following inhibition of ethanol-induced gastric mucosa damage by Gymnema sylvestre in male Wistar albino rats. Pharm. Biol. 50 (12), 1542–1550. doi: 10.3109/13880209.2012.694894

PubMed Abstract | CrossRef Full Text | Google Scholar

Al-Romaiyan, A., Liu, B., Asare-Anane, H., Maity, C. R., Chatterjee, S. K., Koley, N., et al. (2010). A novel Gymnema sylvestre extract stimulates insulin secretion from human islets In vivo and In vitro. Phytother. Res. 24 (9), 1370–1376. doi: 10.1002/ptr.3125

PubMed Abstract | CrossRef Full Text | Google Scholar

Anis, M., Sharma, M. P., Iqbal, M. (2000). Herbal ethnomedicine of the Gwalior forest division in Madhya Pradesh, India. Pharm. Biol. 38 (4), 241–253. doi: 10.1076/1388-0209(200009)3841-AFT241

PubMed Abstract | CrossRef Full Text | Google Scholar

Aralelimath, V. R., Bhise, S. B. (2012). Anti-diabetic effects of Gymnema sylvestre extract on streptozotocin induced diabetic rats and possible b-cell protective and regenerative evaluations. Dig. J. Nanomater. Bios. 7 (1), 135–142.

Google Scholar

Arora, D. S., Sood, H. (2017). In vitro antimicrobial potential of extracts and phytoconstituents from Gymnema sylvestre R.Br. leaves and their biosafety evaluation. AMB Express 7 (1), 115. doi: 10.1186/s13568-017-0416-z

PubMed Abstract | CrossRef Full Text | Google Scholar

Arun, L. B., Arunachalam, A. M., Arunachalam, K. D., Annamalai, S. K., Kumar, K. A. (2014). In vivo anti-ulcer, anti-stress, anti-allergic, and functional properties of Gymnemic Acid Isolated from Gymnema sylvestre R Br. BMC Complement Altern. Med. 14 (70). doi: 10.1186/1472-6882-14-70

CrossRef Full Text | Google Scholar

Baskaran, K., Ahamath, B. K., Shanmugasundaram, K. R., Shanmugasundaram, E. R. B. (1990). Antidiabetic effect of a leaf extract from Gymnema sylvestre in non-insulin-dependent diabetes mellitus patients. J. Ethnopharmacol. 30 (3), 295–305. doi: 10.1016/0378-8741(90)90108-6

PubMed Abstract | CrossRef Full Text | Google Scholar

Bhakuni, D. S., Dhar, M. L. (1971). Screening of Indian plants for biological activity: Part III. Indian J. Exp. Biol. 9, 91–102.

PubMed Abstract | Google Scholar

Bishayee, A., Chatterjee, M. (1994). Hypolipidaemic and antiatherosclerotic effects of oral Gymnema sylvestre R. Br. Leaf extract in albino rats fed on a high fat diet. Phytother. Res. 8 (2), 118–120. doi: 10.1002/ptr.2650080216

CrossRef Full Text | Google Scholar

Brower, V. (2008). Back to Nature: Extinction of Medicinal Plants Threatens Drug Discovery. J. Natl. Cancer. Inst. 100 (12), 838–839. doi: 10.1093/jnci/djn199

CrossRef Full Text | Google Scholar

Chakraborty, D., Ghosh, S., Bishayee, K., Mukherjee, A., Sikdar, S., Khuda-Bukhsh, A. R. (2013). Antihyperglycemic Drug Gymnema sylvestre Also Shows Anticancer Potentials in Human Melanoma A375 Cells via Reactive Oxygen Species Generation and Mitochondria-Dependent Caspase Pathway. Integr. Cancer. Ther. 12 (5), 433–441. doi: 10.1177/1534735413485419

PubMed Abstract | CrossRef Full Text | Google Scholar

Chakrapani, L. N., Periandavan, K. (2018). Protective role of gymnemic acid in curbing high fat diet and high fructose induced pancreatic oxidative stress mediated type-2 diabetes in wistar rats. Int. J. Pharm. Sci. Res. 9 (5), 2130–2139. doi: 10.13040/IJPSR.0975-8232.9(5).2130-39

CrossRef Full Text | Google Scholar

Chattopadhyay, R. (1999). A comparative evaluation of some blood sugar lowering agents of plant origin. J. Ethnopharmacol. 67 (3), 367–372. doi: 10.1016/S0378-8741(99)00095-1

PubMed Abstract | CrossRef Full Text | Google Scholar

Chen, G., Guo, M. (2017). Rapid Screening for α-Glucosidase Inhibitors from Gymnema sylvestre by Affinity Ultrafiltration–HPLC-MS. Front. Pharmacol. 8, 228. doi: 10.3389/fphar.2017.00228

PubMed Abstract | CrossRef Full Text | Google Scholar

Chen, Y., Liu, Y., Sarker, M. M. R., Yan, X., Yang, C., Zhao, L., et al. (2018). Structural characterization and antidiabetic potential of a novel heteropolysaccharide from Grifola frondosa via IRS1/PI3K-JNK signaling pathways. Carbohyd. Polym. 198, 452–461. doi: 10.1016/j.carbpol.2018.06.077

CrossRef Full Text | Google Scholar

Chodisetti, B., Rao, K., Giri, A. (2013). Phytochemical analysis of Gymnema sylvestre and evaluation of its antimicrobial activity. Nat. Prod. Res. 27 (6), 583–587. doi: 10.1080/14786419.2012.676548

PubMed Abstract | CrossRef Full Text | Google Scholar

Chopra, R. N., Nayar, S. L., Chopra, I. C. (2002). Glossary of Indian medicinal plants. National Institute of Science Communication and Information Resources, New Delhi, India.

Google Scholar

Choudhury, B. P. (1988). “Assessment and conservation of medicinal plants of Bhubaneswar and its neighbourhood,” in Proc. Indigenous medicinal plants Symp (New Delhi: Today & Tomorrow’s Printers & Publishers), 211–219.

Google Scholar

Christopoulos, M. V., Rouskas, D., Tsantili, E., Bebeli, P. J. (2010). Germplasm diversity and genetic relationships among walnut (Juglans regia L.) cultivars and Greek local selections revealed by Inter-Simple Sequence Repeat (ISSR) markers. Sci. Hort. 125 (4), 584–592. doi: 10.1016/j.scienta.2010.05.006

CrossRef Full Text | Google Scholar

Daisy, P., Eliza, J., Farook, K. A. (2009). A novel dihydroxy gymnemic triacetate isolated from Gymnema sylvestre possessing normoglycemic and hypolipidemic activity on STZ-induced diabetic rats. J. Ethnopharmacol. 126 (2), 339–344. doi: 10.1016/j.jep.2009.08.018

PubMed Abstract | CrossRef Full Text | Google Scholar

David, B. C., Sudarsanam, G. (2013). Antimicrobial activity of Gymnema sylvestre (Asclepiadaceae). J. Acute. Dis. 2 (3), 222–225. doi: 10.1016/S2221-6189(13)60131-6

CrossRef Full Text | Google Scholar

Devi, B. P., Ramasubramaniaraja, R. (2010). Pharmacognostical and antimicrobial screening of Gymnema sylvestre R.Br, and evaluation of Gurmar herbal tooth paste and powder, composed of Gymnema sylvestre R.Br, extracts in dental caries. Int. J. Pharma. Bio. Sci. 1, 1–16.

Google Scholar

Dholi, S. K., Raparla, R. K. (2014). In vivo anti-diabetic evaluation of gymnemic acid in streptozotocin induced rats. J. Pharm. Innov. 3 (7), 82–86.

Google Scholar

Diwan, P. V., Margaret, I., Ramakrishna, S. (1995). Influence of Gymnema sylvestre on inflammation. Inflammopharmacol. 3 (3), 271–277. doi: 10.1007/BF02659124

CrossRef Full Text | Google Scholar

EFSA Panel on Dietetic Products, Nutrition and Allergies (NDA). (2010). Scientific Opinion on the substantiation of health claims related to various food(s)/food constituent(s) claiming maintenance of normal blood glucose concentrations. EFSA Journal 8 (2), 149. doi: 10.2903/j.efsa.2010.1490

CrossRef Full Text | Google Scholar

Elumalai, K., Dhanasekaran, S., Krishnappa, K. (2013). Larvicidal activity of Saponin isolated from Gymnema sylvestre R. Br. (Asclepiadaceae) against Japanese Encephalitis vector, Culex tritaeniorhynchus Giles (Diptera: Culicidae). Eur. Rev. Med. Pharmacol. Sci. 17 (10), 1404–1410.

PubMed Abstract | Google Scholar

Fatani, A. J., Al-Rejaie, S. S., Abuohashish, H. M., Al-Assaf, A., Parmar, M. Y., Ola, M. S., et al. (2015). Neuroprotective effects of Gymnema sylvestre on streptozotocin-induced diabetic neuropathy in rats. Exp. Ther. Med. 9 (5), 1670–1678. doi: 10.3892/etm.2015.2305

PubMed Abstract | CrossRef Full Text | Google Scholar

Fushiki, T., Kojima, A., Imoto, T., Inoue, K., Sugimoto, E. (1992). An Extract of Gymnema sylvestre Leaves and Purified Gymnemic Acid Inhibits Glucose-Stimulated Gastric Inhibitory Peptide Secretion in Rats. J. Nutr.122 (12), 2367–2373. doi: 10.1093/jn/122.12.2367

PubMed Abstract | CrossRef Full Text | Google Scholar

Galletto, R., Siqueira, V. L., Ferreira, E. B., Oliveira, A. J., Bazotte, R. B. (2004). Absence of antidiabetic and hypolipidemic effect of Gymnema sylvestre in non-diabetic and alloxan-diabetic rats. Braz. Arch. Biol. Technol. 47 (4), 545–551. doi: 10.1590/S1516-89132004000400007

CrossRef Full Text | Google Scholar

Garai, S. (2014). Triterpenoid saponins. Nat. Prod. Chem. Res. 2 (6), 1000148. doi: 10.4172/2329-6836.1000148

CrossRef Full Text | Google Scholar

Goto, T., Sarker, M. M. R., Zhong, M., Tanaka, S., Gohda, E. (2010). Enhancement of immunoglobulin M production in B cells by the extract of red bell pepper. J. Health Sci. 56 (3), 304–309. doi: 10.1248/jhs.56.304

CrossRef Full Text | Google Scholar

Gunasekaran, V., Srinivasan, S., Rani, S. S. (2019). Potential antioxidant and antimicrobial activity of Gymnema sylvestre related to diabetes. J. Med. Plants. 7 (2), 05–11.

Google Scholar

Gupta, P., Singh, P. (2014). Antimicrobial activity of Gymnemic acid on pathogens- Gymnema sylvestre R.Br. Int. J. Curr. Microbiol. App. Sc. 3 (5), 40–45.

Google Scholar

Gupta, S. P., Pramanik, S., Tiwari, O., Thacker, N., Pande, M., Upmanyu, N. (2009). Immunomodulatory Activity of Gymnema sylvestre Leaves. Internet J. Pharmacol. 8 (2). Available online: http://ispub.com/IJPHARM/8/2/8383. doi: 10.5580/14ed

CrossRef Full Text | Google Scholar

Gurnani, N., Mehta, D., Gupta, M., Mehta, B. K. (2014). Natural products: Source of potential drugs. Afr. J. Basic. Appl. Sci. 6, 171–186. doi: 10.5829/idosi.ajbas.2014.6.6.21983

CrossRef Full Text | Google Scholar

Hamilton, A. C. (2004). Medicinal plants, conservation and livelihoods. Biodivers. Conserv. 13 (8), 1477–1517. doi: 10.1023/B:BIOC.0000021333.23413.42

CrossRef Full Text | Google Scholar

Imai, Y., Tsukahara, S., Asada, S., Sugimoto, Y. (2004). Phytoestrogens/flavonoids reverse breast cancer resistance protein/ABCG2-mediated multidrug resistance. Cancer Res. 64 (12), 4346–4352. doi: 10.1158/0008-5472.CAN-04-0078

PubMed Abstract | CrossRef Full Text | Google Scholar

Imam, H., Mahbub, N. U., Khan, M. F., Hana, H. K., Sarker, M. M. R. (2013). Alpha Amylase Enzyme Inhibitory and Anti-inflammatory Effect of Lawsonia inermis. Pak. J. Biol. Sci. 16 (23), 1796–1800. doi: 10.3923/pjbs.2013.1796.1800

PubMed Abstract | CrossRef Full Text | Google Scholar

Imoto, T., Miyasaka, A., Ishima, R., Akasaka, K. (1991). A novel peptide isolated from the leaves of Gymnema sylvestre—I. Characterization and its suppressive effect on the neural responses to sweet taste stimuli in the rat. Comp. Biochem. Physiol. A. Mol. Integr. Physiol. 100 (2), 309–314. doi: 10.1016/0300-9629(91)90475-R

CrossRef Full Text | Google Scholar

J-GLOBAL-Japan Science and Technology Agency. (n.d.a). Gymnemasin A, J-GLOBAL ID: 200907028621377193,Nikkaji number: J708.815I. Retrieved from https://jglobal.jst.go.jp/en/detail?JGLOBAL_ID=200907028621377193&q=GymnemasinA&t=0 (accessed 3rd August 2019).

Google Scholar

J-GLOBAL-Japan Science and Technology Agency. (n.d.b). Gymnemasin B, J-GLOBAL ID: 200907070830782735,Nikkaji number:J708.816G. Retrieved from https://jglobal.jst.go.jp/en/detail?JGLOBAL_ID=200907070830782735&rel=1#%7B%22category%22%3A%220%22%2C%22keyword%22%3A%22Gymnemasin%20%22%7D (accessed 3rd August 2019).

Google Scholar

J-GLOBAL-Japan Science and Technology Agency. (n.d.c). Gymnemasin C, J-GLOBAL ID: 200907030904250402,Nikkaji number: J708.817E. Retrieved from https://jglobal.jst.go.jp/en/detail?JGLOBAL_ID=200907030904250402&rel=1#%7B%22category%22%3A%220%22%2C%22keyword%22%3A%22Gymnemasin%20%22%7D (accessed 3rd August 2019).

Google Scholar

J-GLOBAL-Japan Science and Technology Agency. (n.d.d). Gymnemasin D, -GLOBAL ID: 200907058480629513,Nikkaji number: J708.818C. Retrieved from https://jglobal.jst.go.jp/en/detail?JGLOBAL_ID=200907058480629513&rel=1#%7B%22category%22%3A%220%22%2C%22keyword%22%3A%22Gymnemasin%20%22%7D (accessed 3rd August 2019).

Google Scholar

Jitender, K. M., Manvi, F. V., Nanjwade, B. K., Alagawadi, K. R., Sanjiv, S. (2009). Immuno-modulatory activity of Gymnema sylvestre leaves extract on In vitro human neutrophils. J. Pharmacy Res. 2 (8), 1284–1286.

Google Scholar

Kanetkar, P., Singhal, R., Kamat, M. (2007). Gymnema sylvestre: A Memoir. J. Clin. Biochem. Nutr. 41 (2), 77–81. doi: 10.3164/jcbn.2007010

PubMed Abstract | CrossRef Full Text | Google Scholar

Kang, J. S., Koh, H. C., Suh, T. K. (1990). Effect of gymnemic acid on the elevation of blood glucose concentration induced with oral sucrose in streptozotocin-diabetic rats. Hanyang Uidae Haksulchi 10 (1), 587–601.

Google Scholar

Kang, M., Lee, M. S., Choi, M., Min, K., Shibamoto, T. (2012). Hypoglycemic Activity of Gymnema sylvestre extracts on oxidative stress and antioxidant status in diabetic rats. J. Agric. Food. Chem. 60 (10), 2517–2524. doi: 10.1021/jf205086b

PubMed Abstract | CrossRef Full Text | Google Scholar

Kapoor, L. D. (2017). CRC Handbook of Ayurvedic Medicinal Plants. S.l. (Boca Raton, Florida, USA: CRC Press). doi: 10.1201/9780203719473

CrossRef Full Text | Google Scholar

Kar, P. P., Rath, B., Ramani, Y. R., Maharana, C. S. (2019). Amelioration of Cyclophosphamide induced immunosupression by the hydro-alcoholic extract of Gymnema sylvestre leaves in albino rats. Biomed. Pharmacol. J. 11 (1), 251–258. doi: 10.13005/bpj/1635

CrossRef Full Text | Google Scholar

Karthikeyan, M., Ahamed, A. J., Karthikeyan, C., Kumar, P. V. (2019). Enhancement of antibacterial and anticancer properties of pure and REM doped ZnO nanoparticles synthesized using Gymnema sylvestre leaves extract. SN Appl. Sci. 1 (4), 355. doi: 10.1007/s42452-019-0375-x

CrossRef Full Text | Google Scholar

Kashima, H., Eguchi, K., Miyamoto, K., Fujimoto, M., Endo, M. Y., Aso-Someya, N., et al. (2017). Suppression of Oral Sweet Taste Sensation with Gymnema sylvestre Affects Postprandial Gastrointestinal Blood Flow and Gastric Emptying in Humans. Chem. Senses 42 (4), 295–302. doi: 10.1093/chemse/bjw126

PubMed Abstract | CrossRef Full Text | Google Scholar

Kaur, N., Chaudhary, J., Jain, A., Kishore, L. (2011). Stigmasterol: a comprehensive review. Int. J. Pharm. Sci. Res. 2 (9), 2259–2265.

Google Scholar

Kazemipoor, M., Cordell, G. A., Sarker, M. M. R., Radzi, C. W. J. B. W. M., Hajifaraji, M., En Kiat, P. (2015). Alternative treatments for weight loss: Safety/risks and effectiveness of anti-obesity medicinal plants. Int. J. Food Prop. 18 (9), 1942–1963. doi: 10.1080/10942912.2014.933350

CrossRef Full Text | Google Scholar

Khanna, G. (2010). Non-proliferative activity of saponins isolated from the leaves of Gymnema sylvestre and Eclipta prostrata on HepG2 cells-In vitro study. Int. J. Pharm. Sci. Res. 1 (8), 38–42. doi: 10.13040/IJPSR.0975-8232

CrossRef Full Text | Google Scholar

Khare, A. K., Tondon, R. N., Tewari, J. P. (1983). Hypoglycaemic activity of an indigenous drug (Gymnema sylvestre, “Gurmar”) in normal and diabetic persons. Indian J. Physiol. Pharm. 27, 257–258.

Google Scholar

Khramov, V. A., Spasov, A. A., Samokhina, M. P. (2008). Chemical composition of dry extracts of Gymnema sylvestre leaves. Pharm. Chem. J. 42 (1), 30–32. doi: 10.1007/s11094-008-0051-8

CrossRef Full Text | Google Scholar

Kirtikar, K. R., Basu, B. D. (1975). “Indian medicinal plants, vol. III,” in Periodical Experts D-42 (Vivek Vihar Delhi).

Google Scholar

Kirtikar, K. R., Basu, B. D. (1987). Indian Medicinal Plants. Lalit Mohan Basu, Allahabad. Jayyd Press, New Delhi, India, 2, 146.

Google Scholar

Kishore, L., Singh, R. (2015). Protective effect of Gymnema sylvestre L. against advanced glycation end-product, sorbitol accumulation and aldose reductase activity in Homoeopathic Formulation. Indian J. Res. Homoeopathy 9 (4), 240–248. doi: 10.4103/0974-7168.172866

CrossRef Full Text | Google Scholar

Kosta, S., Tiwari, A. (2009). Screening and assessment of anti-diabetic and reactive oxygen scavenging (ros), effects of herbs in streptozotacin induced mice. Pharmacol. online 3, 695–704.

Google Scholar

Kothe, A., Uppal, R. (1997). Antidiabetic effects of Gymnema sylvestre in NIDDM—a short study. Indian J. Homeopath. Med. 32, 61–62.

Google Scholar

Kumar, A. R., Rathinam, K. S., Kumar, C. A. (2012). Evaluation of Anti-inflammatory Activity of some selected species of Asclepiadaceae Family. Int. J. Chem. Sci. 10 (1), 548–556.

Google Scholar

Kumar, P., Rani, S., Arunjyothi, B., Chakrapani, P., Rojarani, A. (2017). Evaluation of Antidiabetic Activity of Gymnema sylvestre and Andrographis paniculata in Streptozotocin Induced Diabetic Rats. Int. J. Pharmacogn. Phytoch. Res. 9 (1), 22–25. doi: 10.25258/ijpapr.v9i1.8034

CrossRef Full Text | Google Scholar

Kumar, P., Venkataranganna, M., Manjunath, K., Viswanatha, G., Ashok, G. (2016). Methanolic leaf extract of Gymnema sylvestre augments glucose uptake and ameliorates insulin resistance by upregulating GLUT-4, PPAR- and adiponectin and leptin levels In vitro. J. Intercult. Ethnopharmacol. 5 (2), 146–152. doi: 10.5455/jice.20160224051727

PubMed Abstract | CrossRef Full Text | Google Scholar

Kumar, S. N., Mani, U. V., Mani, I. (2010). An Open Label Study on the Supplementation of Gymnema sylvestre in Type 2 Diabetics. J. Die. Suppl. 7 (3), 273–282. doi: 10.3109/19390211.2010.505901

CrossRef Full Text | Google Scholar

Kumar, S., Paul, S., Walia, Y., Kumar, A., Singhal, P. (2015). Therapeutic Potential of Medicinal Plants: A Review. J. Biol. Chem. Chron. 1, 46–54.

Google Scholar

Kumar, V. H., Nayak, I. N., Huilgol, S. V., Yendigeri, S. M., Narendar, K. (2015). Antidiabetic and hypolipidemic activity of Gymnema sylvestre in dexamethasone induced insulin resistance in Albino rats. Int. J. Med. Res. Health Sci. 4 (3), 639–645. doi: 10.5958/2319-5886.2015.00122.8

CrossRef Full Text | Google Scholar

Kumar, V., Bhandari, U., Tripathi, C., Khanna, G. (2013). Anti-obesity Effect of Gymnema sylvestre Extract on High Fat Diet-induced Obesity in Wistar Rats. Drug Res. 63 (12), 625–632. doi: 10.1055/s-0033-1349852

CrossRef Full Text | Google Scholar

Li, Y., Zheng, M., Zhai, X., Huang, Y., Khalid, A., Malik, A., et al. (2015). Effect of Gymnema sylvestre, Citrullus colocynthis and Artemisia absinthium on blood glucose and lipid profile in diabetic human. Acta Pol. Pharm. 72, 981–985.

PubMed Abstract | Google Scholar

Liu, B., Asare-Anane, H., Al-Romaiyan, A., Huang, G., Amiel, S. A., Jones, P. M., et al. (2009). Characterisation of the Insulinotropic Activity of an Aqueous Extract of Gymnema sylvestre in Mouse β-Cells and Human Islets of Langerhans. Cell. Physiol. Biochem. 23 (1–3), 125–132. doi: 10.1159/000204101

PubMed Abstract | CrossRef Full Text | Google Scholar

Liu, H., Kiuchi, F., Tsuda, Y. (1992). Isolation and Structure Elucidation of Gymnemic Acids, Antisweet Principles of Gymnema sylvestre. Chem. Pharm. Bull. 40 (6), 1366–1375. doi: 10.1248/cpb.40.1366

PubMed Abstract | CrossRef Full Text | Google Scholar

Liu, X., Ye, W., Yu, B., Zhao, S., Wu, H., Che, C. (2004). Two new flavonol glycosides from Gymnema sylvestre and Euphorbia ebracteolata. Carbohydr. Res. 339 (4), 891–895. doi: 10.1016/j.carres.2003.12.017

PubMed Abstract | CrossRef Full Text | Google Scholar

Liu, Y., Xu, T.-H., Zhang, M.-Q., Li, X., Xu, Y.-J., Jiang, H.-Y., et al. (2014). Chemical constituents from the stems of Gymnema sylvestre. Chin. J. Nat. Med. 12 (4), 300–304. doi: 10.1016/S1875-5364(14)60059-5

PubMed Abstract | CrossRef Full Text | Google Scholar

Luo, H., Kashiwagi, A., Shibahara, T., Yamada, K. (2006). Decreased bodyweight without rebound and regulated lipoprotein metabolism by gymnemate in genetic multifactor syndrome animal. Mol. Cell Biochem. 299 (1–2), 93–98. doi: 10.1007/s11010-005-9049-7

CrossRef Full Text | Google Scholar

Malik, J. K., Manvi, F. V., Nanjware, B. R., Dwivedi, D. K., Purohit, P., Chouhan, S. (2010). Anti-arthritic activity of leaves of Gymnema sylvestre R.Br. leaves in rats. Pharm. Lett. 2, 336–341.

Google Scholar

Mall, G. K., Mishra, P. K., Prakash, V. (2009). Antidiabetic and hypolipidemic activity of Gymnema sylvestre in alloxan induced diabetic rats. Glob. J. Biotech. Biochem. 4 (1), 37–42.

Google Scholar

Mao, Q. (2005). Role of the breast cancer resistance protein (ABCG2) in drug transport. AAPS J. 7 (1), E118–E133. doi: 10.1208/aapsj070112

PubMed Abstract | CrossRef Full Text | Google Scholar

Marakis, G., Ziegenhagen, R., Lampen, A., Hirsch-Ernst, K. I. (2018). Risk assessment of substances used in food supplements: the example of the botanical Gymnema sylvestre. EFSA Journal 16 (51), e16083. doi: 10.2903/j.efsa.2018.e16083

CrossRef Full Text | Google Scholar

Mathew, M. (2004). Aromatic and Medicinal Plants Research Station, Odakkali-A Centre for Promoting Medicinal and Aromatic Plants. Indian Coconut J. Cochin 34 (10), 10–15.

Google Scholar

Matsuda, H., Murakami, T., Ninomiya, K., Inadzuki, M., Yoshikawa, M. (1997). New hepatoprotective saponins, bupleurosides III, VI, IX, and XIII, from Chinese Bupleuri Radix: Structure-requirements for the cytoprotective activity in primary cultured rat hepatocytes. Bioorg. Med. Chem. Lett. 7 (17), 2193–2198. doi: 10.1016/S0960-894X(97)00418-6

CrossRef Full Text | Google Scholar

Mcburney, D. H., Gent, J. F. (1978). Taste of methyl-α-D-mannopyranoside: Effects of cross adaptation and Gymnema sylvestre. Chem. Senses 3 (1), 45–50. doi: 10.1093/chemse/3.1.45

CrossRef Full Text | Google Scholar

Nadkarni, K. M. editor. (1996). “Indian materia medica,” in Dr. KM Nadkarni’s Indian materia medica: with Ayurvedic, Unani-Tibbi, Siddha, allopathic, homeopathic, naturopathic & home remedies, appendices & indexes, vol. 1 (Popular Prakashan).

Google Scholar

Nadkarni, K. M. (1986). “Gymnema sylvestre,” in Indian Materia Medica with Ayurvedic Unani, vol.I (Bombay, India: Popular Prakashan), 596–599.

Google Scholar

Najafi, S., Deokule, S. S. (2011). Studies on Gymnema sylvestre-a medicinally important plant of the family Asclepiadaceae. Trakia. J. Sci. 9 (2), 26–32.

Google Scholar

Nakamura, Y., Tsumura, Y., Tonogai, Y., Shibata, T. (1999). Fecal Steroid Excretion is Increased in Rats by Oral Administration of Gymnemic Acids Contained in Gymnema sylvestre Leaves. J. Nutr.129 (6), 1214–1222. doi: 10.1093/jn/129.6.1214

PubMed Abstract | CrossRef Full Text | Google Scholar

Ogawa, Y., Sekita, K., Umemura, T., Saito, M., Ono, A., Kawasaki, Y., et al. (2004). Gymnema sylvestre Leaf Extract: A 52-Week Dietary Toxicity Study in Wistar Rats. J. Food Hyg. Soc. JPN. 45 (1), 8–18. doi: 10.3358/shokueishi.45.8

CrossRef Full Text | Google Scholar

Ohmori, R., Iwamoto, T., Tago, M., Takeo, T., Unno, T., Itakura, H., et al. (2005). Antioxidant activity of various teas against free radicals and LDL oxidation. Lipids 40 (8), 849–853. doi: 10.1007/s11745-005-1447-4

PubMed Abstract | CrossRef Full Text | Google Scholar

Pasha, C., Sayeed, S., Ali, M. S., Khan, M. Z. (2009). Antisalmonella Activity of Selected Medicinal Plants. Turkish J. Biol. 33, 59–64. doi: 10.3906/biy-0804-3

CrossRef Full Text | Google Scholar

Patel, M. R. (2017). Pharmacognostic and Phytochemical Evaluation of Gymnema sylvestre Leaf. World J. Pharm. Pharm. Sci. 6 (7), 1532–1538. doi: 10.20959/wjpps20177-9574

CrossRef Full Text | Google Scholar

Paul, J., Jayapriya, K. P. (2009). Screening of antibacterial effects of Gymnema sylvestre (L.) R.Br. - A medicinal plant. Pharmacol. online 3, 832–836.

Google Scholar

Porchezhian, E., Dobriyal, R. M. (2003). An overview on the advances of Gymnema sylvestre: chemistry, pharmacology and patents. Pharmazie 58 (1), 5–12. doi: 10.1002/chin.200319223

PubMed Abstract | CrossRef Full Text | Google Scholar

Potawale, S. E., Shinde, V. M., Libi, A., Boradem, S., Dhalawatm, H., Deshmukh, R. S. (2008). Gymnema sylvestre: a comprehensive review. Pharmacol. online 2, 144–157.

Google Scholar

Pramanick, D. D. (2016). “Anatomical studies on the leaf of Gymnema sylvestre (Retz.) R. Br. ex Schult. (Apocynaceae),” in A magical herbal medicine for diabetes. Int. J. Herb. Med. 4 (1), 70–72.

Google Scholar

Preuss, H. G., Garis, R. I., Bramble, J. D., Bagchi, D., Bagchi, M., Rao, C. V., Satyanarayana, S. (2005). Efficacy of a novel calcium/potassium salt of (-)-hydroxycitric acid in weight control. Int. J. Clin. Pharmacol. Res. 25 (3), 133–144.

PubMed Abstract | Google Scholar

Rachh, P. R., Patel, S. R., Hirpara, H. V., Rupareliya, M. T., Rachh, M. R., Bhargava, A. S., et al. (2009). In-vitro evaluation of antioxidant activity of Gymnema sylvestre R.Br. leaf extract. Rom. J. Biol. Plant Biol. 54 (2), 141–148.

Google Scholar

Rachh, P., Rachh, M., Ghadiya, N., Modi, D., Modi, K., Patel, N., et al. (2010). Antihyperlipidemic Activity of Gymenma sylvestre R. Br. Leaf Extract on Rats Fed with High Cholesterol Diet. Int. J. Pharmacol. 6 (2), 138–141. doi: 10.3923/ijp.2010.138.141

CrossRef Full Text | Google Scholar

Rahman, M. M., Habib, M. R., Hasan, M. A., Saha, A., Mannan, A. (2014). Comparative assessment on In vitro antioxidant activities of ethanol extracts of Averrhoa bilimbi, Gymnema sylvestre and Capsicum frutescens. Pharmacog. Res. 6, 36–41. doi: 10.4103/0974-8490.122915

CrossRef Full Text | Google Scholar

Ramalingam, R., Dhand, C., Leung, C. M., Ong, S. T., Annamalai, S. K., Kamruddin, M., et al. (2019). Antimicrobial properties and biocompatibility of electrospun poly-ε-caprolactone fibrous mats containing Gymnema sylvestre leaf extract. Mat. Sci. Eng. 98, 503–514. doi: 10.1016/j.msec.2018.12.135

CrossRef Full Text | Google Scholar

Rouhi, S. Z. T., Sarker, M. M. R., Rahmat, A., Alkahtani, S. A., Othman, F. (2017). The effect of pomegranate fresh juice versus pomegranate seed powder on metabolic indices, lipid profile, inflammatory biomarkers, and the histopathology of pancreatic islets of Langerhans in streptozotocin-nicotinamide induced type 2 diabetic Sprague–Dawley rats. BMC Complement. Altern. Med. 17 (1), 156. doi: 10.1186/s12906-017-1724-1

PubMed Abstract | CrossRef Full Text | Google Scholar

Rupanar, S. V., Pingale, S. S., Dandge, C. N., Kshirsagar, D. (2012). Phytochemical screening and In vitro evaluation of antioxidant antimicrobial activity of Gymnema sylvestre. Int. J. curr. Res. 8 (12), 43480–43486. doi: 10.7897/2230-8407.080327

CrossRef Full Text | Google Scholar

Sahu, N., Mahato, S. B., Sarkar, S. K., Poddar, G. (1996). Triterpenoid saponis from Gymnema sylvestre. Phytochem. 41, 1181–1185. doi: 10.1016/0031-9422(95)00782-2

CrossRef Full Text | Google Scholar

Sarker, M. M. R. (2015). Antihyperglycemic, insulin-sensitivity and anti-hyperlipidemic potential of Ganoderma lucidum, a dietary mushroom, on zalloxan-and glucocorticoid-induced diabetic Long-Evans rats. Funct. Food Health Dis. 5 (12), 450–466. doi: 10.31989/ffhd.v5i12.220

CrossRef Full Text | Google Scholar

Sarker, M. M. R., Mazumder, M. E. H., Rashid, M. H. O. (2011). In vitro enhancement of polyclonal IgM production by ethanolic extract of Nigella sativa L. seeds in whole spleen cells of female BALB/c mice. Bangladesh Pharm. J. 14 (1), 73–77.

Google Scholar

Sarker, M. M. R., Nahar, S., Shahriar, M., Seraj, S., Choudhuri, M. S. K. (2012a). Preliminary study of the immunostimulating activity of an ayurvedic preparation, Kanakasava, on the splenic cells of BALB/c mice in vitro. Pharm. Biol. 50 (11), 1467–1472. doi: 10.3109/13880209.2012.681329

PubMed Abstract | CrossRef Full Text | Google Scholar

Sarker, M. M. R., Nimmi, I., Kawsar, M. H. (2012b). Preliminary screening of six popular fruits of Bangladesh for in vitro IgM production and proliferation of splenocytes. Bangladesh Pharm. J. 15 (1), 31–37.

Google Scholar

Sarker, M. M. R., Gohda, E. (2013). Promotion of anti-keyhole limpet hemocyanin IgM and IgG antibody productions in vitro by red bell pepper extract. J. Funct. Foods 5 (4), 1918–1926.

Google Scholar

Sastry, B. S. (1994). Gymnema sylvestre. Chaukhambha, Varanasi, India: Bhav Prakash Nighantu.

Google Scholar

Sathya, S., Kokilavani, R., Gurusamy, K. (2008). Hypoglycemic effect of Gymnema sylvestre (retz.), R. Br leaf in normal and alloxan induced diabetic rats. Anc. Sci. Life 28 (2), 12–14.

PubMed Abstract | Google Scholar

Senthilkumar, M. (2015). Phytochemical Screening and Antibacterial Activity of Gymnema sylvestre R.Br. Ex Schult. Int. J. Pharm. Sci. Res. 6 (6), 2496–2503. doi: 10.13040/IJPSR.0975-8232.6(6).2496-03

CrossRef Full Text | Google Scholar

Shafey, A. A., El-Ezabi, M. M., Seliem, M. M., Ouda, H. H., Ibrahim, D. S. (2013). Effect of Gymnema sylvestre R. Br. leaves extract on certain physiological parameters of diabetic rats. J. King Saud. Univ. Sci. 25 (2), 135–141. doi: 10.1016/j.jksus.2012.11.001

CrossRef Full Text | Google Scholar

Shah, K. K., Shiradkar, M. R., Bindu, V. H. (2012). In vitro permeation of aceclofenac through the shed skin of two different species. Der. Pharmacia Sinic. 3, 11–19.

Google Scholar

Shah, K. K., Shiradkar, M. R., Hima Bindu, V. (2011). Transdermal delivery of aceclofenac: Effect of Gymnema sylvestre and Caralluma adscendens with its mechanism of action. Res. J. Pharm. Biol. Chem. Sci. 2, 762–772.

Google Scholar

Shah, M. A., Sarker, M. M. R., Gousuddin, M. (2016). Antidiabetic potential of Brassica Oleracea Var. Italica in type 2 diabetic sprague dawley (sd) rats. Int. J. Pharmacogn. Phytochem. Res. 8 (3), 462–469.

Google Scholar

Shankar, K. R., Rao, B. G. (2008). Anti-arthritic activity of Gymnema sylvestre root extract. Biosci. Biotechnol. Res. Asia 5 (1), 469–471.

Google Scholar

Shanmugasundaram, E. R. B., Venkatasubrahmanyam, M., Vijendran, N., Shanmugasundaram, K. R. (1988). Effect of an Isolate from Gymnema sylvestre, R. Br. in The Control of Diabetes Mellitus and The Associated Pathological Changes. Anc. Sci. Life 7 (3–4), 183–194.

PubMed Abstract | Google Scholar

Shanmugasundaram, E., Gopinath, K., Shanmugasundaram, K., Rajendran, V. (1990a). Possible regeneration of the islets of langerhans in streptozotocin-diabetic rats given Gymnema sylvestre leaf extracts. J. Ethnopharmacol. 30 (3), 265–279. doi: 10.1016/0378-8741(90)90106-4

PubMed Abstract | CrossRef Full Text | Google Scholar

Shanmugasundaram, E., Rajeswari, G., Baskaran, K., Kumar, B., Shanmugasundaram, K., Ahmath, B. (1990b). Use of Gymnema sylvestre leaf extract in the control of blood glucose in insulin-dependent diabetes mellitus. J. Ethnopharmacol. 30 (3), 281–294. doi: 10.1016/0378-8741(90)90107-5

PubMed Abstract | CrossRef Full Text | Google Scholar

Sheikh, B. Y., Sarker, M. M. R., Kamarudin, M. N. A., Ismail, A. (2017a). Prophetic medicine as potential functional food elements in the intervention of cancer: A review. Biomed. Pharmacother. 95, 614–648. doi: 10.1016/j.biopha.2017.08.043

PubMed Abstract | CrossRef Full Text | Google Scholar

Sheikh, B. Y., Sarker, M. M. R., Kamarudin, M. N. A., Mohan, G. (2017b). Antiproliferative and apoptosis inducing effects of citral via p53 and ROS-induced mitochondrial-mediated apoptosis in human colorectal HCT116 and HT29 cell lines. Biomed. Pharmacother. 96, 834–846. doi: 10.1016/j.biopha.2017.10.038

PubMed Abstract | CrossRef Full Text | Google Scholar

Shenoy, R. S., Prashanth, K. V., Manonmani, H. K. (2018). In vitro antidiabetic effects of isolated triterpene glycoside fraction from Gymnema sylvestre. J. Evid. Based Complement. Altern. Med. 2018, 1–12. doi: 10.1155/2018/7154702

CrossRef Full Text | Google Scholar

Shigematsu, N., Asano, R., Shimosaka, M., Okazaki, M. (2001a). Effect of administration with the extract of Gymnema sylvestre R. Br leaves on lipid metabolism in rats. Biol. Pharm. Bull. 24 (6), 713–717. doi: 10.1248/bpb.24.713

PubMed Abstract | CrossRef Full Text | Google Scholar

Shigematsu, N., Asano, R., Shimosaka, M., Okazaki, M. (2001b). Effect of long term-administration with Gymnema sylvestre R. BR on Plasma and Liver Lipid in Rats. Biol. Pharm. Bull. 24 (6), 643–649. doi: 10.1248/bpb.24.643

PubMed Abstract | CrossRef Full Text | Google Scholar

Shimizu, K., Iino, A., Nakajima, J., Tanaka, K., Nakajyo, S., Urakawa, N., et al. (1997). Suppression of glucose absorption by some fractions extracted from Gymnema sylvestre Leaves. J. Vet. Med. Sci. 59 (4), 245–251. doi: 10.1292/jvms.59.245

PubMed Abstract | CrossRef Full Text | Google Scholar

Shivanna, Y., Raveesha, K. A. (2009). In01-vitro antibacterial effect of selected medicinal plant extracts. J. Nat. Prod. (India) 2, 64–69.

Google Scholar

Shiyovich, A., Nesher, L., Sztarkier, I. (2010). Toxic hepatitis induced by Gymnema sylvestre, a natural remedy for type 2 diabetes mellitus. Am. J. Med. Sci. 340 (6), 514–517. doi: 10.1097/MAJ.0b013e3181f41168

PubMed Abstract | CrossRef Full Text | Google Scholar

Singh, D. K., Kumar, N., Sachan, A., Lakhani, P., Tutu, S., Nath, R., et al. (2017). Hypolipidaemic effects of Gymnema sylvestre on high fat diet induced dyslipidaemia in wistar rats. J. Clin. Diagn. Res. 11 (5), FF01–FF05. doi: 10.7860/JCDR/2017/27430.9859

CrossRef Full Text | Google Scholar

Singh, V. K., Dwivedi, P., Chaudhary, B. R., Singh, R. (2015). Immunomodulatory effect of Gymnema sylvestre (R.Br.) Leaf Extract: an in vitro study in rat model. PLoS One 10 (10), 1–15. doi: 10.1371/journal.pone.0139631

CrossRef Full Text | Google Scholar

Singh, V. K., Umar, S., Ansari, S. A., Iqbal, M. (2008). Gymnema sylvestre for diabetics. Journal of Herbs. J. Herbs Spices Med. Plants 14 (1–2), 88–106. doi: 10.1080/10496470802341508

CrossRef Full Text | Google Scholar

Sinsheimer, J. E., Rao, G. S., Mcilhenny, H. M. (1970). Constituents from Gymnema sylvestre leaves V: isolation and preliminary characterization of the gymnemic acids. J. Pharm. Sci. 59 (5), 622–628. doi: 10.1002/jps.2600590510

PubMed Abstract | CrossRef Full Text | Google Scholar

Somani, R., Deshmukh, P., Shah, P., Soni, R., Jain, D., Khaserao, S. (2013). Prokinetic effect of hyponidd, a herbomineral formulation in STZ- induced diabetic rats. Pharmacologia 4 (1), 48–52. doi: 10.5567/pharmacologia.2013.48.52

CrossRef Full Text | Google Scholar

Srikanth, A. V., Sayeeda, M., Lakshmi, N., Ravi, M., Kumar, P., Madhava, R. B. (2010). Anticancer activity of Gymnema sylvestre R.Br. Int. J. Pharm. Sci. Nanotech. 3, 897–899.

Google Scholar

Srivastava, Y., Venkatakrishna-Bhatt, H., Jhala, C. I., Nigam, S. K., Kumar, A., Verma, Y., et al. (1986). Oral Gymnema sylvestre R.Br. Leaf Extracts Inducing Protracted Longevity and Hypoglycemia in Alloxan Diabetic Rats: Review and Experimental Study. Int. J. Crude Drug Res. 24 (4), 171–176. doi: 10.3109/13880208609060895

CrossRef Full Text | Google Scholar

Srividya, A. R., Varma, S., Dhanapal, S. P., Vadivelan, R., Vijayan, P. (2010). In vitro and in vivo evaluation of hepatoprotective activity of Gymnema sylvestre. Int. J. Pharm. Sci. Nanotechnol. 2, 768–773.

Google Scholar

Sugihara, Y., Nojima, H., Matsuda, H., Murakami, T., Yoshikawa, M., Kimura, I. (2000). Antihyperglycemic effects of gymnemic acid IV, a compound derived from Gymnema sylvestre leaves in streptozotocin-diabetic mice. J. Asian Nat. Prod. Res. 2 (4), 321–327. doi: 10.1080/10286020008041372

PubMed Abstract | CrossRef Full Text | Google Scholar

Sujin, R. M. (2008). Anti-diabetic effect of Gymnema sylvestre (asclepiadaceae) powder in the stomach of rats. Ethnobot. Leaflets 12, 1158–1167.

Google Scholar

Swami, J., Prabakaran (2012). Studies on antibacterial activity of Gymnema sylvestre against respiratory infection causing bacteria. Int. J. Curr. Adv. Res. 1 (1), 1–4.

Google Scholar

Swetha, Y., Sunanda, Rajanikar, Reddy, A. K., Srivally, Masoom, M. (2012). Phytochemical and pharmacological studies of methanolic extract of Gymnema sylvestre leaves: an approach for in vivo antiulcer activity. Res. J. Pharmacol. Pharmacodyn. 4 (6), 368–372.

Google Scholar

Tahir, M., Rasheed, M. A., Niaz, Q., Ashraf, M., Anjum, A. A., Ahmed, M. U. (2017). Evaluation of antibacterial effect of Gymnema sylvestre R.Br. species cultivated in Pakistan. Pak. Vet. J. 37 (3), 245–250.

Google Scholar

Tamaki, H., Satoh, H., Hori, S., Ohtani, H., Sawada, Y. (2010). Inhibitory effects of herbal extracts on breast cancer resistance protein (BCRP) and structure-Inhibitory Potency Relationship of Isoflavonoids. Drug Metab. Pharmacok. 25 (2), 170–179. doi: 10.2133/dmpk.25.170

CrossRef Full Text | Google Scholar

Thanwar, M., Dwivedi, D., Gharia, D., Chouhan, S. (2016). Antibacterial study of Gymnema sylvestre plant. Int. J. Chem. 4 (3), 80–83.

Google Scholar

The Plant List. (2013). Version 1.1. Published on the Internet; http://www.theplantlist.org/(accessed 20th June 2019).

Google Scholar

Tiwari, P., Mishra, B. N., Sangwan, N. S. (2014). Phytochemical and pharmacological properties of Gymnema sylvestre: An important medicinal plant. Biomed. Res. Int. 2014, 1–18. doi: 10.1155/2014/830285

CrossRef Full Text | Google Scholar

Wu, X., Mao, G., Fan, Q., Zhao, T., Zhao, J., Li, F., et al. (2012). Isolation, purification, immunological and anti-tumor activities of polysaccharides from Gymnema sylvestre. Food. Res. Int. 48 (2), 935–939. doi: 10.1016/j.foodres.2012.02.006

CrossRef Full Text | Google Scholar

Yasmin, H., Kaiser, M. A., Sarker, M. M. R., Rahman, M. S., Rashid, M. A. (2009). Preliminary anti-bacterial activity of some indigenous plants of Bangladesh. Dhaka Univ. J. Pharm. Sci. 8 (1), 61–65. doi: 10.3329/dujps.v8i1.5337

CrossRef Full Text | Google Scholar

Yasukawa, K., Okuda, S., Nobushi, Y. (2014). Inhibitory effects of Gymnema (Gymnema sylvestre) leaves on tumour promotion in two-stage mouse skin carcinogenesis. J. Evid. Based Complement. Altern. Med. 2014, 1–5. doi: 10.1155/2014/328684

CrossRef Full Text | Google Scholar

Ye, W., Zhang, Q., Liu, X., Che, C., Zhao, S. (2000). Oleanane saponins from Gymnema sylvestre. Phytochemistry 53 (8), 893–899. doi: 10.1016/S0031-9422(99)00483-5

PubMed Abstract | CrossRef Full Text | Google Scholar

Yogi, B., Mishra, A. (2016). Hepatoprotective effects of polyherbal formulation against carbon tetrachloride-induced hepatic injury in albino rats: a toxicity screening approach. Asian J. Pharm. Clin. Res. 10 (1), 192–198. doi: 10.22159/ajpcr.2017.v10i1.14757

CrossRef Full Text | Google Scholar

Yoshikawa, K., Kondo, Y., Arihara, S., Matsuura, K. (1993). Antisweet natural products IX structures of gymnemic acids XV-XVIII from Gymnema sylvestre R. Br. Chem. Pharm. Bull. 41 (12), 1730–1732. doi: 10.1248/cpb.41.1730

CrossRef Full Text | Google Scholar

Yoshikawa, M., Murakami, T., Matsuda, H. (1997). Medicinal foodstuffs. X. Structures of new triterpene glycosides, gymnemosides-c,-d,-e, and-f, from the leaves of Gymnema sylvestre R. Br.: influence of gymnema glycosides on glucose uptake in rat small intestinal fragments. Chem. Pharm. Bull. 45 (12), 2034–2038. doi: 10.1248/cpb.45.2034

PubMed Abstract | CrossRef Full Text | Google Scholar

Yoshikawa, M., Murakami, T., Kadoya, M., Li, Y., Murakami, N., Yamahara, J., et al. (1998). ChemInform abstract: medicinal foodstuffs. Part 9. The inhibitors of glucose absorption from the leaves of Gymnema sylvestre R. BR. (Asclepiadaceae): Structures of Gymnemosides a and b. Chem. Inform. 29 (12). doi: 10.1002/chin.199812156

CrossRef Full Text | Google Scholar

Zuñiga, L. Y., González-Ortiz, M., Martínez-Abundis, E. (2017). Effect of Gymnema sylvestre administration on metabolic syndrome, insulin sensitivity, and insulin secretion. J. Med. Food 20 (8), 750–754. doi: 10.1089/jmf.2017.0001

PubMed Abstract | CrossRef Full Text | Google Scholar

Keywords: Gymnema sylvestre, phytomedicine, antidiabetic, herbal medicine, traditional medicine, complementary and alternative medicine, immunomodulating, lipid lowering

Citation: Khan F, Sarker MMR, Ming LC, Mohamed IN, Zhao C, Sheikh BY, Tsong HF and Rashid MA (2019) Comprehensive Review on Phytochemicals, Pharmacological and Clinical Potentials of Gymnema sylvestre. Front. Pharmacol. 10:1223. doi: 10.3389/fphar.2019.01223

Received: 24 May 2019; Accepted: 23 September 2019;
Published: 29 October 2019.

Edited by:

Monique S.J. Simmonds, Royal Botanic Gardens, Kew, United Kingdom

Reviewed by:

Francisco Pérez García, University of Barcelona, Spain
Souaibou Yaouba, Université de Lorraine, France

Copyright © 2019 Khan, Sarker, Ming, Mohamed, Zhao, Sheikh, Tsong and Rashid. This is an open-access article distributed under the terms of the Creative Commons Attribution License (CC BY). The use, distribution or reproduction in other forums is permitted, provided the original author(s) and the copyright owner(s) are credited and that the original publication in this journal is cited, in accordance with accepted academic practice. No use, distribution or reproduction is permitted which does not comply with these terms.

*Correspondence: Md. Moklesur Rahman Sarker, bW9rbGVzdXIyMDAyQHlhaG9vLmNvbQ==; ZHIubW9rbGVzdXIyMDE0QGdtYWlsLmNvbQ==; Isa Naina Mohamed, aXNhbmFpbmFAeWFob28uY28udWs=

Disclaimer: All claims expressed in this article are solely those of the authors and do not necessarily represent those of their affiliated organizations, or those of the publisher, the editors and the reviewers. Any product that may be evaluated in this article or claim that may be made by its manufacturer is not guaranteed or endorsed by the publisher.