Abstract
Introduction: The quality of Chinese herbs is the basis for ensuring their safety and efficacy. However, the quality evaluation system is imperfect. In particular, there is a lack of quality evaluation methods for fresh Chinese herbs during growth. The biophoton is a common phenomenon and provides complete information about the interior of the living system, which is consistent with the holistic concept of traditional Chinese medicine. Therefore, we aim to correlate the biophoton characteristics with the quality states to find the biophoton parameters that can characterize the quality states of fresh Chinese herbs.
Methods: The biophoton characteristics of motherwort and safflower were measured and characterized by the counts per second (CPS) in the steady state and the initial intensity (I0) and coherent time (T) of delayed luminescence. The active ingredient content was measured by ultra-high-performance liquid chromatography (UPLC). The pigment content of motherwort leaves was measured by UV spectrophotometry. The t-test and correlation analysis were performed on the experimental results.
Results: The CPS and I0 of motherwort and I0 of safflower showed a significant downward trend during the growth process, and their active ingredient content showed a trend that increased and then decreased. The CPS, I0, and the content of active ingredients and pigments in a healthy state were significantly higher than those in a poor state, while T showed the opposite results. The CPS and I0 were all significantly and positively correlated with the content of active ingredients and pigments, while the T of motherwort showed the opposite results.
Conclusion: It is feasible to identify the quality states of fresh Chinese herbs by using their biophoton characteristics. Both CPS and I0 have better correlations with the quality states and can be considered characteristic parameters of the quality of fresh Chinese herbs.
1 Introduction
The quality of Chinese herbs is the key to ensuring their stability, safety, and efficacy (Wu et al., 2018; Li et al., 2022). The traditional quality evaluation methods are mainly based on the “shape,” “color,” “qi,” “taste,” and other characteristics of Chinese herbs to determine their authenticity and quality (Chen et al., 2021). Some scholars have proposed the idea of “quality evaluation by morphological identification” (Xie, 1994). The current quality evaluation methods of Chinese herbs rely more on chromatographic pharmacodynamics (Ma et al., 2022; Yan and Zou, 2022), serum pharmacochemistry (Wu et al., 2019; Tang et al., 2022), pharmacokinetics (Ouyang et al., 2022; Shang et al., 2022), metabonomics (Ning et al., 2013; Feng et al., 2020), quality markers (Zhang et al., 2018a; Ren et al., 2020), biological effect detection (Wang et al., 2013; Zhang et al., 2022), and other modern scientific techniques, while the most common method relies on the fingerprinting techniques to determine the content of active ingredients to evaluate and control the quality of Chinese herbs (Zhang and Jiang, 2021). A holistic view and evidence-based treatment are the significant features of the theoretical system of Chinese herbs, and the quality of Chinese herbs is the result of the overall performance of its multi-components and multi-effects (Liu et al., 2019). However, the components of Chinese herbs are extremely complex, so it is difficult to characterize them completely, and the detection indicators are too singular (Zhu et al., 2017; Lin et al., 2020). Due to the multi-component, multi-target, and multi-pathway characteristics of Chinese herbs, the basic research on pharmacodynamic substances is relatively weak (Wang et al., 2013; Zhang et al., 2018b). Quality control focuses more on small molecular components, but less on macromolecules, such as sugars, proteins, amino acids, and peptides (Wang et al., 2021a). The quality evaluation of Chinese herbs often refers to the detection methods of Western medicine and chemical medicine, but they are not completely applicable to Chinese herbs. Moreover, the cultivation of Chinese herbs is separated from the quality control system. The natural environment, cultivation techniques, harvesting period, and processing methods are all important factors affecting the quality. Therefore, there is a lack of quality evaluation methods in the growth process of fresh Chinese herbs.
Motherwort is the fresh or dried aerial part of Leonurus japonicus Houtt., a plant of the Labiatae family. It tastes bitter and pungent, has a slightly cold nature, and is associated with the liver, pericardium, and bladder meridians. It has the effects of promoting blood circulation, regulating menstruation, promoting urination, dispersing swellings, clearing heat, and resolving toxins (Commission, 2020). It is commonly used in the clinical treatment of common gynecological diseases. Relevant studies have shown that motherwort also has significant therapeutic effects on cardiovascular disease (Rong et al., 2022). Safflower is the dried flower of the Compositae plant Carthamus tinctorius L. It tastes pungent, has a warm nature, and is associated with the heart and liver meridians. It has the effects of promoting blood circulation, regulating meridians, dispersing blood stasis, and relieving pain (Commission, 2020). It is widely used in the clinical treatment of anemia, coronary heart disease, angina pectoris, stroke, and other diseases (Wang et al., 2019; Wang et al., 2021b).
Biophoton emission is a common phenomenon in living organisms. Its intensity is very low. It is closely related to the basic life processes in the organisms, such as cell division, information transmission, photosynthesis, and metabolism, and is extremely sensitive to slight changes in the external environment (Popp, 2003; Cifra and Pospisil, 2014). Biophoton emission is believed to be generated in the process of the mutual transition between the high-energy and low-energy states of biological molecules and carries complete information about the interior of living systems (Popp et al., 1988; Gu, 2012). Some scholars believe that the holistic concept of traditional Chinese medicine (TCM) and the biophotonic coherence theory are commensurable and consistent in some aspects (Yang and Han, 2013; Zhao and Han, 2013; Fan et al., 2017). Therefore, the coherence theory of biophoton radiation was integrated with the holistic concept of TCM, and thus the concept of “quantum TCM ” was proposed.
Our research group used honeysuckle buds and Platycodon grandiflorum leaves as the subjects of a preliminary study, found that the biophoton characteristics of fresh Chinese herbs at different growth stages, in different growth states, and of different species differed significantly, and revealed three characteristic parameters, namely, counts per second (CPS) of spontaneous photon emission (SPE) in the steady state, and initial intensity (I0) and coherent time (T) of delayed luminescence (DL). Therefore, in this study, combined with the previous experimental methods, two herbs with different medicinal parts were selected to analyze the differences in biophoton characteristics between different samples and to verify whether these methods are broadly applicable and reproducible. These results were then compared with the content of the active ingredients to analyze the feasibility of using the biophoton characteristics of fresh Chinese herbs for quality evaluation.
2 Materials and methods
2.1 Cultivation of Chinese herbs
Motherwort and safflower were selected for cultivation based on their medicinal parts, medicinal properties, growth environment, and other factors.
Before sowing, the soil was turned to a depth of 30 cm and sheep manure was applied as a base fertilizer. The motherwort was sown in 3–5-cm deep holes at a 40-cm row spacing. For sowing safflower, holes were dug 3–5 cm deep with a row spacing of 30 cm and a hole spacing of 25 cm. Irrigation was carried out once every 5 days, and timely drainage was conducted when rainfall was concentrated during the rainy season. Weeding was performed once every 2 weeks during the vigorous growth period. Pesticides were sprayed in a timely manner to prevent the occurrence or spread of pests and diseases.
The motherwort was divided into three groups: the control group (normal irrigation, and normal fertilization; CG), the non-fertilization group (normal irrigation, but no fertilization; NG), and the drought group (normal fertilization, but less irrigation; DG). Each group was planted within 5 m2 of the same plot, with an interval of more than 2 m between the two adjacent groups to avoid any mutual influence between the treatment groups. The herbs were fertilized once a month with 200 g of Stanley compound fertilizer. The drought group was irrigated once every 2 weeks, while the other groups were irrigated once every 5 days. The other factors were the same for all groups. The safflower was divided into two groups (the healthy state and the poor state) according to the height of the plant, whether the stems and leaves were strong, whether the leaves and flowers were bright, and whether there were any pests or diseases.
2.2 Biophoton measurement
2.2.1 The biophoton system
A YPMS-2 biophoton measurement system (Meluna Research B.V. Germermalsen, the Netherlands) was used in the study. It was mainly composed of a sample darkroom, an excitation light source, a photomultiplier tube, a high-voltage power supply, a photon counting unit, a thermoelectric cooler, and a computer with photon counting data software. The photomultiplier tube (QA9863; ET Enterprises, United Kingdom) was the core component.
2.2.2 Samples and preparation
In this study, motherwort leaves and safflower flowers in different growth stages and different states were used as experimental samples. The growth process of motherwort leaves was divided into five stages. The growth process of safflower included the bud stage and the anthesis stage, each of which was further divided into four stages. Samples were collected in the morning and afternoon to avoid strong midday light exposure at noon. In case of extreme weather conditions, sampling and experiments were halted to ensure the consistency of the natural environment when obtaining samples for experiments. The sampling was random. The collected samples were placed into a bag for fresh-keeping and then immediately stored in an ice box. The samples were cleaned with double distilled water, blotted dry with absorbent papers, and photographed to record the states. The samples were then dark-adapted for 1 h in the instrument darkroom for subsequent measurements. The time interval between the sample collection and dark adaptation was consistent for each experiment (20 min).
2.2.3 Measurement methods
The room temperature was set at 20°C, and the instrument was switched on to cool for 2 h before starting the measurement. The background noise of the instrument without the samples was first measured continuously for 10 min. After the dark adaptation, the SPE of the samples was measured continuously for 10 min. The samples were then irradiated with a white LED for 15 s to detect their delayed DL and measured continuously for 5 min, and the experiment was repeated three times for each sample. After the samples were removed, the background noise of the instrument was measured again continuously for another 10 min. The weight of each sample was recorded immediately after the measurement using an electronic balance, and the thickness of the motherwort leaves was measured using a leaf thickness gauge. Throughout the entire experiment, the measurement time interval was 1 s, and the height of the sample table in the darkroom, i.e., the distance between the sample and the light source, was always kept constant.
2.2.4 Data processing
We measured the biophoton intensity of motherwort and safflower. To find the parameters that represented the biophoton characteristics of Chinese herbs and then to quantitatively compare the differences in the biophoton characteristics in different groups, we initially characterized the SPE properties with CPS and characterized the DL properties with I0 and T. The original data of motherwort were normalized using sample weight and thickness, while the safflower data were normalized by weight only (the flower of safflower is nearly spherical, the weight (volume) is only related to the radius, and the surface area is only related to the radius; therefore, it only needs to be normalized by weight instead of surface area). The equations for calculating these parameters are as follows:
Eq. 1 is the calculation formula of CPS; N is the average number of photons per second during the sample measurement; n is the average number of photons per second of the background noise without any samples. Eq. 2 and Eq. 3 are the calculation formulas for the two parameters of DL; A, B, and C are the three parameters in the Gu function (Gu, 2012); A is related to the nature of the sample, the structure of the detection system, and lighting conditions; B is a time parameter that is only related to the nature of the sample; C is a characteristic parameter related to the initial luminous intensity of the sample; m is a characteristic factor and considered equal to 3 in this study.
2.3 Measurement of the active ingredient content
2.3.1 Samples and preparation
After the biophoton detection, the samples from different groups at the same stage were collected and washed with double distilled water, placed into an oven to dry for 24 h (the safflower was dried at 45°C, and the motherwort was dried at 60°C), and ground into a powder with a multi-function grinder. The powder was then sieved through a No. 3 Chinese medicine sieve (50-mesh), and placed in a 50-mL centrifuge tube. Finally, the processed samples were labeled and stored in a cool, dry, and ventilated place.
For the extraction of leonurine hydrochloride, 0.5 g of motherwort powder was accurately weighed and placed in a conical flask with a stopper. Then, 25 mL of 70% ethanol was accurately added to the flask, and the total weight of the mixture was weighed. The mixture was heated and refluxed for 2 h. After cooling, it was reweighed and the lost weight was replaced with 70% ethanol. Finally, the sample was filtered through a 0.22-μm membrane.
For the extraction of hydroxy safflower yellow A (HSYA) and kaempferol, 0.5 g of safflower powder was accurately weighed and placed in a conical flask with a stopper. Then, 25 mL of methanol was accurately added to the flask, and the mixture was weighed. A PL-S40 digital display ultrasonic cleaner (Dongguan Kangshijie Ultrasonic Technology Co., Ltd., China) was used for ultrasonic treatment for 40 min. After cooling, the mixture was reweighed and the lost weight was replaced with methanol. Finally, the sample was filtered through a 0.22-μm membrane.
2.3.2 Ultra-high-performance liquid chromatography analysis
Ultra-high-performance liquid chromatography (UPLC) analysis was performed on a Waters ultra-high-performance liquid chromatograph (Waters, Milford, MA, USA), using an ACQUITY UPLC BEH C18 chromatographic column (50 × 2.1, 1.7 μm). The column temperature was 25°C. Leonurine hydrochloride was determined by using a mobile phase of acetonitrile and a 0.1% phosphoric acid solution of 0.4% sodium octane sulfonate (35:65, v/v). The injection volume was 10 μL. The flow rate was 1.0 mL/min. The detection wavelength was 277 nm. HSYA and kaempferol were detected by using methanol (A) and a 0.75% (v/v) phosphoric acid solution (B) as the mobile phase, and eluted in a gradient according to the following procedure: 35% (A) from 0 to 5 min, 40% (A) from 5 to 10 min, 45% (A) from 10 to 20 min, 55% (A) from 30 to 35 min, and 40% (A) from 35 to 45 min. The injection volume was 10 μL. The flow rate was 0.5 mL/min. The detection wavelength was 360 nm. A standard solution of leonurine hydrochloride containing 0.5 mg of leonurine hydrochloride per 1 mL was prepared with 70% ethanol, and a standard solution containing 0.13 mg of HSYA and 9 μg of kaempferol per 1 mL was prepared with methanol. The methods were shown to have good precision, repeatability, and stability for each chemical component, and a linear regression equation was obtained for each component.
2.4 Measurement of the pigment content
Samples of fresh motherwort leaf from the same parts were randomly selected, cleaned with double-distilled water, blotted dry with absorbent papers, and sampled by punching holes while avoiding the main veins. A 50-mL centrifuge tube was wrapped in aluminum foil, and 0.1000 g of sample and 15 mL of extraction solution (alcohol and acetone mixed 1:1 by volume) were added. The mixture was incubated in the dark for 24 h until the leaves had completely discolored. During this period, the samples were shaken and mixed at least twice.
After 24 h, the absorbance of the extract was measured at 474, 642, and 665 nm using an ultraviolet-visible spectrophotometer with the mixed extract as a blank control. The following formulae were used to calculate the concentration and content of each pigment (Huang et al., 2013):
Eqs 4–7 are the formulas for calculating the concentration of the pigments; Ca, Cb, C (a+b), and Cc respectively represent the concentration (mg/L) of chlorophyll a, chlorophyll b, total chlorophyll, and total carotenoids; M is the content of the pigment (mg/g); V is the total volume (L) of the extract; g is the weight (g) of the sample.
2.5 Data analysis
GraphPad Prism 9.0.0 software (San Diego, California, United States, www.graphpad.com) was used for the statistical analysis of all results. The two-tailed unpaired Student’s t-test was used to show the differences between different groups, and the correlation analysis based on the Pearson correlation coefficient was used to show the correlation between each biophoton parameter and the content of active ingredients and pigments. In all statistical tests, p ≤ 0.05 was considered to be significant.
3 Results
3.1 Analysis of the biophoton characteristics
During the growth of motherwort and safflower, their biophoton characteristics were visibly changed (Figure 1). Figure 2 displays that the CPS and I0 of motherwort and the I0 of safflower showed a significant downward trend during their growth process, while the CPS and T of safflower and the T of motherwort showed basically no changes. This shows that the biophoton parameter I0 can well distinguish the different growth stages of Chinese herbs. The CPS seems to play a similar role, especially in the growth process of motherwort. However, its applicability needs further experimental verification. The T has no significant difference, and the data is not stable enough, so it cannot be used to distinguish the different growth stages of Chinese herbs.
FIGURE 1

The biophoton characteristics of motherwort and safflower in different growth stages. (A) Motherwort. (B) Safflower.
FIGURE 2

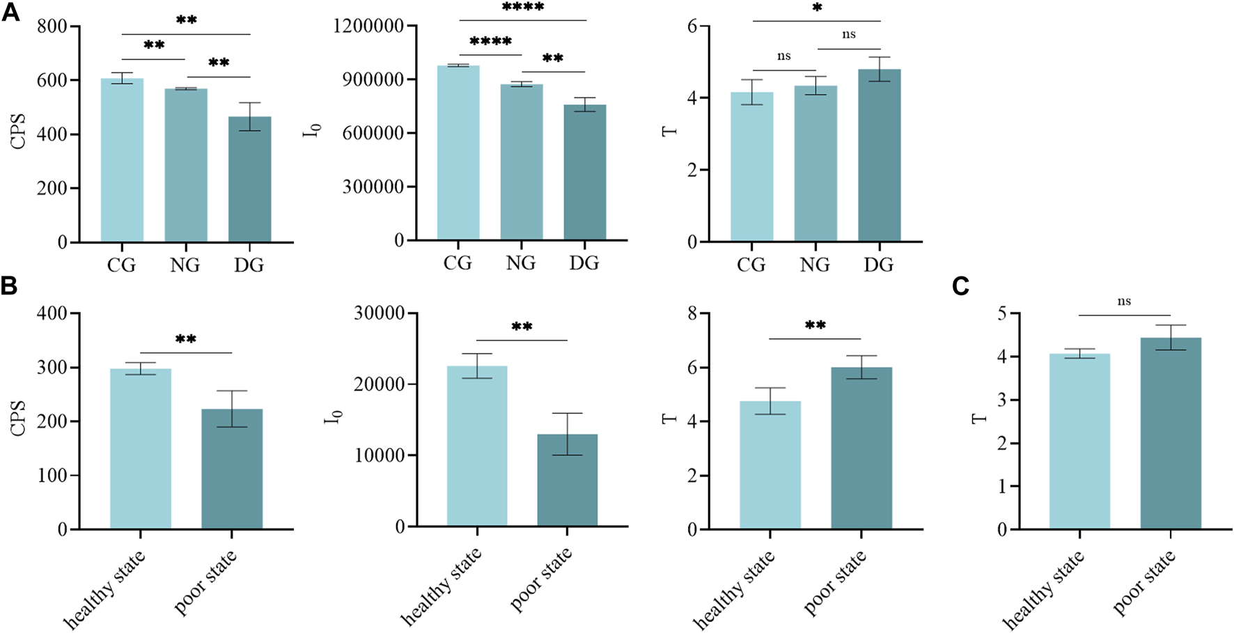
The t-test in biophoton parameters of motherwort and safflower in different growth stages. (A) Motherwort. (B) Safflower.
We found that there were differences in the biophoton characteristics of motherwort and safflower in different groups (Figure 3). Figure 4 illustrates that there were significant differences in both CPS and I0 between different groups of motherwort and safflower, and these parameters in a healthy state were significantly higher than those in a poor state. As for the parameter T, only the difference in motherwort between the control group and the drought group was significant, and that of the drought group was significantly higher than that of the control group. The T of safflower in a poor state was significantly higher, however, there was no significant difference in the bud stage. These findings suggest that the CPS of SPE and the I0 of DL have a good correlation with the quality states of fresh Chinese herbs, and can be considered as biophoton index parameters for characterizing the quality of fresh Chinese herbs.
FIGURE 3

The biophoton characteristics of motherwort and safflower in different growth states. (A) Motherwort. (B) Safflower.
FIGURE 4

The t-test in biophoton parameters of motherwort and safflower in different growth states. (A) Motherwort. (B) Safflower. (C) Safflower bud.
3.2 Analysis of the active ingredient content based on ultra-high-performance liquid chromatography
Taking the control group of motherwort as an example, the content of leonurine hydrochloride gradually increased in the early growth period, reached the highest level in stage 3 (the measurement date was 30 September 2022, and the growth period was approximately 3 months), and then slightly decreased in the following two stages (Figure 5A). Figure 5B shows that the content of leonurine hydrochloride in the control group was significantly higher than that in the other two groups and that in the non-fertilization group was also significantly higher than that in the drought group. Combined with the biophoton measurement results, we found that there was a certain correlation between them. To specifically analyze the potential correlation, we conducted a correlation analysis based on the Pearson correlation coefficient (Figure 5C). We found that the content of leonurine hydrochloride was significantly and positively correlated with the biophoton parameters CPS and I0, but negatively correlated with the T. And the absolute value of the correlation coefficient with I0 was the highest, while that with T was the lowest. Therefore, CPS and I0 can discriminate Chinese herbs with different quality states, while the I0 has a better characterization effect.
FIGURE 5

The UPLC and correlation analysis of motherwort. (A) The content of leonurine hydrochloride in different groups during the growth of motherwort. (B) The t-test of leonurine hydrochloride content in different groups. (C) The correlation analysis between leonurine hydrochloride content and biophoton parameters.
The content of HSYA and kaempferol were different in different groups. As shown in Figure 6A, the color of safflower inflorescences in different flowering stages varied from light yellow, dark yellow, and red to dull red. Similarly, the active content also changed (Figure 6B). In stage 2 and stage 3, that was, when the inflorescence changed color from yellow to red, the content of HSYA and kaempferol was relatively high, and met the content criteria (HSYA is 1%, and kaempferol is 0.05%) specified in the Chinese Pharmacopoeia (Commission, 2020). However, the levels in stages 1 and 4 were relatively low and below the content criteria. We found that there were significant differences in the content of active ingredients in different groups, and those in a healthy state were significantly higher (Figure 6C). And the correlation analysis results show that the content of HSYA and kaempferol was significantly and positively correlated with CPS and I0, and the correlation with I0 was the highest, while there was no significant correlation with T (Figure 7). These resuls are consistent with these of the motherwort.
FIGURE 6

The UPLC analysis of safflower. (A) The samples of safflower in different flowering stages. (B) The content of HSYA and kaempferol in different states. (C) The t-test of HSYA and kaempferol content in different states.
FIGURE 7

The correlation analysis of safflower. (A) The correlation analysis between the content of HSYA and the biophoton parameters. (B) The correlation analysis between the content of kaempferol and the biophoton parameters.
3.3 Analysis of the pigment content in motherwort leaves
The leaves of green plants contain many pigments, mainly chlorophyll a, chlorophyll b, lutein, and carotenoids. These pigments play an important role in photosynthesis (Cu et al., 2022; Wohlfahrt et al., 2022) and are also an important source of bioluminescence in leaves. We found that the pigment content of motherwort leaves differed significantly between different groups (Figure 8A). The total chlorophyll, total carotenoid, and total pigment contents in the control group were all significantly higher than those in the other two groups, and those in the non-fertilization group were also significantly higher than those in the drought group. The correlation analysis shows that the pigment content of motherwort leaves was significantly correlated with the biophoton characteristics and the content of active ingredients (Figures 8B,C). Among them, the pigment content was significantly and positively correlated with CPS, I0, and the content of leonurine hydrochloride, while that with t was significantly but negatively correlated. The results are also consistent with the above results, indicating the good feasibility of the biophoton method for identifying the quality states of fresh Chinese herbs.
FIGURE 8

The pigment content and correlation analysis of motherwort leaves in different groups. (A) The t-test of the pigment content in different groups. (B) The correlation analysis between the pigment content and the biophoton parameters. (C) The correlation analysis between the content of pigment and leonurine hydrochloride.
4 Discussion
The quality of Chinese herbs is the basis for ensuring their safety, efficacy, and stability. However, the current quality evaluation system of Chinese herbs is imperfect and measures and evaluates the quality of Chinese patent medicine after collection and processing. In particular, there is a lack of quality evaluation methods for fresh Chinese herbs during the growth process. The biophoton based on the “coherence theory” reflects the complete information inside an organism as a whole and is very sensitive to weak changes in the external environment, which is consistent with the overall concept of the TCM theory (Fu et al., 2015; Zeng et al., 2016; Fan et al., 2017). Furthermore, the measurement method is simple, fast, and highly sensitive. As a new non-invasive method, it does not damage the measurement samples and has been widely used in medical, food, pharmaceutical, agricultural, environmental health, and other fields (Choi et al., 2016; Kamal and Komatsu, 2016; Murugan et al., 2018; Lukacs et al., 2022). In this study, we used fresh samples of motherwort and safflower as the research objects, explored the relationship between their biophoton characteristics and their quality states, and analyzed the correlation between the biophoton characteristics, active ingredient content, and pigment content, to explore the feasibility and available parameters of using the biophoton meathod to identify the quality of fresh Chinese herbs.
The SPE and DL characteristics of samples are important components of research related to biophoton analysis. The biophoton parameter CPS reflects the SPE of the sample in a steady state. Studies have shown that SPE is related to the active oxygen species produced in the redox metabolic activities in biological systems (Hideg et al., 1990; Popp, 2003). The more vigorous the metabolic activity is, the more biological molecules there are in the excited state, and according to the “coherence theory,” the stronger the coherent radiation is generated. DL is a persistent luminescence phenomenon in biological systems excited by external photons (Xi et al., 2011). The I0 reflects the bioluminescence intensity of the sample when the excitation ends, which can be used as a comprehensive indicator of biological metabolic activity. The higher the I0, the higher the overall metabolic activity of the organism. This study found that the CPS and I0 of the samples in a healthy state were significantly higher, indicating that there were more excited biomolecules in the samples, the molecular coherence was stronger, and the metabolic activity was more vigorous. The pigment content analysis showed that the pigment content of motherwort leaves in a healthy state was significantly higher. This indicated that under the same external conditions, the samples in a healthy growth state should have stronger photosynthesis and more excited molecules, and therefore, they should have a higher bioluminescence intensity, which was demonstrated in the biophoton detection results.
The coherence time T is a characteristic quantity related only to the properties of the sample itself and characterizes the decay rate of the delayed luminescence kinetic curve of the sample. The better the coherence between the excited molecules, the longer the decay time of the delayed luminescence kinetic curve, and the higher the T value. Therefore, the magnitude of the T value can be used to measure the degree of association between active molecules or tissue order (Xi et al., 2009; Gu, 2013). This study found that the intra-group difference of T was relatively large, indicating that there was a large difference in the correlation between the active molecules within the samples. The only significant difference in T was found between different states of safflower, and there was no significant difference between the other groups, indicating that the applicability of the T value to characterize the quality states of fresh Chinese herbs remains to be investigated.
Alkaloids are the main pharmacodynamic substances in motherwort and have long been its quality control indicators. Leonurine hydrochloride is a special alkaloid in motherwort. Therefore, it can be used as a quality marker for qualitative identification and content determination (Xiong and Peng, 2016). It also has the pharmacological effects of diuresis, anti-platelet aggregation, anti-oxidation, inhibition of creatine kinase activity, and inhibition of the vascular smooth muscle contractile response to vasoconstrictors (Chi et al., 2022; Shen et al., 2023). The results showed that the level of leonurine hydrochloride in the control group was significantly and much higher than the standard level, that in the non-fertilization group was just at the standard level, and that in the drought group was far below the content standard. This showed that there was a significant difference in the content of leonurine hydrochloride in different groups, indicating that its pharmacological action and clinical efficacy would be different, meaning there were differences in the quality of its medicinal properties. These results had the significant correlation with the biophoton detection results. In addition, this study also found that during the growth of motherwort, the content of leonurine hydrochloride first increased and then slightly decreased, which was consistent with literature reports (Zhong, 2015; Qiao, 2019). These studies also showed that the content of alkaloids reached the maximum in the tender motherwort period, then gradually decreased after entering the full leaf period, and rapidly decreased in the fruit period; and that the content in leaves was the highest, followed by flowers, and was the lowest in stems. Therefore, it is recommended to harvest motherwort from the full leaf period to the early flowering period, when the quality of motherwort in this period is relatively high.
It has been reported that quinone chalcone glycosides and other flavonoids are the main active ingredients in safflower (Lei et al., 2020; Guo et al., 2022). Among them, quinone chalcone glycosides are the main active ingredients in safflower (Liu et al., 2017). Currently, HSYA and kaempferol are commonly used as quality control indicators of safflower. HSYA is the most effective water-soluble component of safflower with pharmacological effects, including anticoagulant, antioxidant, anti-inflammatory, anti-myocardial ischemia, and neuroprotective activities (Kong et al., 2022; Wang et al., 2022). It is widely used in the clinical treatment of cardiovascular and cerebrovascular diseases (Shi et al., 2022). Kaempferol is a type of natural flavonoid that exists in large quantities in safflower and has anti-inflammatory, antioxidant, anti-cancer, and other pharmacological effects (Yu et al., 2013; Park et al., 2022). The results showed that there were significant differences in HSYA and kaempferol content of safflower in different growth states, indicating that there were significant differences in the quality, and the results were also significantly correlated with the results of biophoton detection. In addition, the study also found that when the safflower inflorescence changed from yellow to red, around the third day of flowering, the content of active ingredients in safflower was the highest, and therefore, the quality was also relatively high at that time. This indicated that the third day of flowering was the best harvesting time for safflower and was consistent with research results reported in the literature (Hu et al., 2021). This further confirmed that the method of characterizing the quality states of Chinese herbs by the biophoton method is feasible.
It has been reported in the relevant literature that SPE can be used as an effective indicator to identify the quality of fresh Chinese herbs at different growth stages and of different varieties. Furthermore, it can reflect the difference in the content of active ingredients between different growth stages and varieties, which is consistent with the results obtained in this study (Zhao et al., 2017). It has also been reported in the literature that there are differences in the biophoton characteristics of fresh Chinese herbs in different growth stages and different growth states (Zhao, 2014), and it has been proposed that the biophoton characteristics of Chinese herbs can be used to identify the quality of Chinese herbs. The results of this study also showed that there was indeed a significant correlation between the biophoton characteristics and the quality states of fresh Chinese herbs. There was also a significant correlation between the content of active ingredients and pigments and the biophoton characteristics. This confirmed the feasibility of using the biophoton characteristics to evaluate of the quality states of fresh Chinese herbs.
5 Conclusion
The quality of Chinese herbs is the basis for the stability and safety in clinical use. There is an urgent need for a method to characterize the quality of fresh Chinese herbs during the growth process, which is in line with the holistic concept of TCM. This paper introduces a new method (the biophoton method) to characterize the quality states of fresh Chinese herbs. We measured the biophoton characteristics, active ingredient content, and pigment content of the motherwort and safflower, and performed the t-test and correlation analysis on these results to obtain the potential relationship between the biophoton characteristics and the quality states of fresh Chinese herbs. Our results show that the biophoton characteristics of fresh Chinese herbs can be correlated with the quality, and their CPS in the steady state and delayed luminescence initial intensity I0 can be considered as the characteristic parameters for the quality of fresh Chinese herbs. And the measurement of biophoton characteristics in the growth process is a novel and promising method for the quality evaluation of fresh Chinese herbs.
Statements
Data availability statement
The raw data supporting the conclusion of this article will be made available by the authors, without undue reservation.
Author contributions
MY and JH designed the research study. BC, ZW, and JZ conducted the research. JF and ZZ provided help and advice on the choice of Chinese herbs and other materials. JD, TD, and JP analyzed the data. BC and MY wrote the manuscript. All authors contributed to editorial changes in the manuscript. All authors read and approved the final manuscript.
Funding
We would like to thank the Natural Science Foundation of China (No. 82004212), the Project of Shandong Traditional Chinese Medicine Plan (No. M-2022259), and the Academic Promotion Programme of Shandong First Medical University (No. 2019LJ001) for funding this research.
Acknowledgments
The authors thank all the individuals involved in these studies, as well as all the researchers, technicians, and managers who supported this work. The authors thank Eduard Van Wijk and Roeland Van Wijk (Meluna Research Centre, the Netherlands) for their technical assistance in building the biophoton detection system. We thank LetPub (www.letpub.com) for its linguistic assistance during the preparation of this manuscript.
Conflict of interest
The authors declare that the research was conducted in the absence of any commercial or financial relationships that could be construed as a potential conflict of interest.
Publisher’s note
All claims expressed in this article are solely those of the authors and do not necessarily represent those of their affiliated organizations, or those of the publisher, the editors and the reviewers. Any product that may be evaluated in this article, or claim that may be made by its manufacturer, is not guaranteed or endorsed by the publisher.
References
1
Chen L. H. Xiao F. L. Huang S. Y. Zhu W. F. Guan Y. M. Ying P. Y. et al (2021). Research ideas and innovative development trend of quality evaluation of traditional Chinese medicine. Chin. Herb. Med.52, 2541–2547.
2
Chi Y. N. Hai D. M. Ma L. Cui Y. H. Hu H. T. Liu N. et al (2022). Protective effects of leonurine hydrochloride on pyroptosis in premature ovarian insufficiency via regulating NLRP3/GSDMD pathway. Int. Immunopharmacol.114, 109520. 10.1016/j.intimp.2022.109520
3
Choi J. R. Kim D. Menouar S. Sever R. Abdalla M. S. (2016). Classical analysis of time behavior of radiation fields associated with biophoton signals. Technol. Health Care24 (2), S577–S585. 10.3233/THC-161184
4
Cifra M. Pospisil P. (2014). Ultra-weak photon emission from biological samples: Definition, mechanisms, properties, detection and applications. J. Photochem Photobiol. B139, 2–10. 10.1016/j.jphotobiol.2014.02.009
5
Commission C. P. (2020). Chinese Pharmacopoeia. Beijing: China Pharmaceutical Science and Technology Press.
6
Cu Q. Wu Y. Wu F. Han R. L. Huang J. H. Hu S. Q. et al (2022). Changes of leaf color phenotype and pigment components during leaf development of Cinnamomum cassia L. J. Nanjing For. Univ. Sci. Ed., 1–11.
7
Fan H. Zhu X. X. Pang J. X. Yang M. N. Han J. X. (2017). TCM syndrome hypothesis based on body electromagnetic radiation theory. Chin. Archives Traditional Chin. Med.35, 2013–2016. 10.13193/j.issn.1673-7717.2017.08.022
8
Feng M. Zhang W. Zhang W. Miao Y. He P. Ni Y. (2020). Application of plant metabonomics technology in the research of traditional Chinese medicine resources. Drug Eval. Res.43, 785–789.
9
Fu J. Pang J. Zhao X. Han J. (2015). The quantitative ideas and methods in assessment of four properties of Chinese medicinal herbs. Cell Biochem. Biophys.71, 1307–1312. 10.1007/s12013-014-0349-y
10
Gu Q. (2012). Biophotonics [M]. Second edition. Beijing: Science Press.
11
Gu Q. (2013). Quantum entropy and its applications in biophotonics. J. Shenzhen Univ. Eng.30, 111–121. 10.3724/sp.j.1249.2013.02111
12
Guo Q. Y. Zhao M. H. Lu T. M. Xia F. Zhang Y. Zhang H. B. et al (2022). Molecular mechanism of Carthamus tinctorius L. oral liquid in relieving neuropathic pain. China J. Exp. Traditional Med. Formulae, 1–12. 10.13422/j.cnki.syfjx.20222442
13
Hideg E. Kobayashi M. Inaba H. (1990). Ultraweak photoemission from dark-adapted leaves and isolated chloroplasts. FEBS Lett.275, 121–124. 10.1016/0014-5793(90)81454-v
14
Hu X. Q. Yang W. P. Chen H. Z. Lu Y. Y. Wu P. H. Meng L. (2021). The effect of harvest time and drying method on the quality of Xinxiang safflower. J. Henan Inst. Sci. Technol. Sci. Ed.49, 19–23.
15
Huang Q. C. Xu Y. M. Wei Y. H. Liang Y. Z. (2013). Comparison of carotenoid content in dark leaf plants. Hubei Agric. Sci.52, 2573–2574. 10.14088/j.cnki.issn0439-8114.2013.11.060
16
Kamal A. H. M. Komatsu S. (2016). Jasmonic acid induced protein response to biophoton emissions and flooding stress in soybean. J. Proteomics133, 33–47. 10.1016/j.jprot.2015.12.004
17
Kong J. Sun S. Min F. Hu X. Zhang Y. Cheng Y. et al (2022). Integrating network pharmacology and transcriptomic strategies to explore the pharmacological mechanism of hydroxysafflor yellow A in delaying liver aging. Int. J. Mol. Sci.23, 14281. 10.3390/ijms232214281
18
Lei H. Ren R. Sun Y. Zhang K. Zhao X. Ablat N. et al (2020). Neuroprotective effects of safflower flavonoid extract in 6-hydroxydopamine-induced model of Parkinson's disease may Be related to its anti-inflammatory action. Molecules25, 5206. 10.3390/molecules25215206
19
Li T. J. Bao Y. R. Wang S. Yang X. X. Xiao X. Wang Y. M. et al (2022). Research progress and application of innovative methods for quality control and evaluation of traditional Chinese medicine. Chin. Herb. Med.53, 6319–6327.
20
Lin C. Z. Li B. J. Han L. W. (2020). The current situation of quality evaluation of traditional Chinese medicine (TCM) is discussed from the projects supported by NSFC in recent 5 years. Chin. Traditional Herb. Drugs51, 281–286.
21
Liu S. J. Tang Z. S. Cui C. L. Liu H. B. Liang Y. N. Zhang Y. et al (2017). Research progress on chemical constituents of Carthamus tinctorius L. Henan Tradit. Chin. Med.37, 168–171. 10.16367/j.issn.1003-5028.2017.01.0059
22
Liu X. N. Che X. Q. Li D. F. Lin H. Y. Qiao Y. J. Zheng Q. S. (2019). Research model of quality markers and quality evaluation of traditional Chinese medicine based on multi-source information fusion. Chin. Traditional Herb. Drugs50, 4576–4581.
23
Lukacs H. Jocsak I. Somfalvi-Toth K. Keszthelyi S. (2022). Physiological responses manifested by some conventional stress parameters and biophoton emission in winter wheat as a consequence of cereal leaf beetle infestation. Front. Plant Sci.13, 839855. 10.3389/fpls.2022.839855
24
Ma J. Li K. Shi S. Li J. Tang S. Liu L. (2022). The application of UHPLC-HRMS for quality control of traditional Chinese medicine. Front. Pharmacol.13, 922488. 10.3389/fphar.2022.922488
25
Murugan N. J. Rouleau N. Karbowski L. M. Persinger M. A. (2018). Biophotonic markers of malignancy: Discriminating cancers using wavelength-specific biophotons. Biochem. Biophys. Rep.13, 7–11. 10.1016/j.bbrep.2017.11.001
26
Ning Z. Lu C. Zhang Y. Zhao S. Liu B. Xu X. et al (2013). Application of plant metabonomics in quality assessment for large-scale production of traditional Chinese medicine. Planta Med.79, 897–908. 10.1055/s-0032-1328656
27
Ouyang Y. Tang L. Hu S. Tian G. Dong C. Lai H. et al (2022). Shengmai san-derived compound prescriptions: A review on chemical constituents, pharmacokinetic studies, quality control, and pharmacological properties. Phytomedicine107, 154433. 10.1016/j.phymed.2022.154433
28
Park S. Kim N. E. Park B. J. Kwon H. C. Song Y. J. (2022). Kaempferol interferes with varicella-zoster virus replication in human foreskin fibroblasts. Pharm. (Basel)15, 1582. 10.3390/ph15121582
29
Popp F. A. Li K. H. Mei W. P. Galle M. Neurohr R. (1988). Physical aspects of biophotons. Experientia44, 576–585. 10.1007/BF01953305
30
Popp F. A. (2003). Properties of biophotons and their theoretical implications. Indian J. Exp. Biol.41, 391–402.
31
Qiao J. J. (2019). Study on the quality evaluation of Leonurus heterophyllus L. Master’s thesis. Nanjing, Jiangsu: Nanjing University Of Chinese Medicine.
32
Ren J. L. Zhang A. H. Kong L. Han Y. Yan G. L. Sun H. et al (2020). Analytical strategies for the discovery and validation of quality-markers of traditional Chinese medicine. Phytomedicine67, 153165. 10.1016/j.phymed.2019.153165
33
Rong W. Li J. Wang L. Luo S. Liang T. Qian X. et al (2022). Investigation of the protective mechanism of leonurine against acute myocardial ischemia by an integrated metabolomics and network pharmacology strategy. Front. Cardiovasc Med.9, 969553. 10.3389/fcvm.2022.969553
34
Shang Z. Liu C. Qiao X. Ye M. (2022). Chemical analysis of the Chinese herbal medicine licorice (Gan-Cao): An update review. J. Ethnopharmacol.299, 115686. 10.1016/j.jep.2022.115686
35
Shen S. Wu G. Luo W. Li W. Li X. Dai C. et al (2023). Leonurine attenuates angiotensin II-induced cardiac injury and dysfunction via inhibiting MAPK and NF-κB pathway. Phytomedicine108, 154519. 10.1016/j.phymed.2022.154519
36
Shi P. Ruan Y. Zhong C. Teng L. Ke L. Yao H. (2022). Identification of pharmacokinetic markers for safflower injection using a combination of system pharmacology, multicomponent pharmacokinetics, and quantitative proteomics study. Front. Pharmacol.13, 1062026. 10.3389/fphar.2022.1062026
37
Tang Y. P. Xu D. Q. Yue S. J. Chen Y. Y. Fu R. J. Bai X. (2022). Modern research thoughts and methods on bio-active components of TCM formulae. Chin. J. Nat. Med.20, 481–493. 10.1016/S1875-5364(22)60206-1
38
Wang J. Kong H. Yuan Z. Gao P. Dai W. Hu C. et al (2013). A novel strategy to evaluate the quality of traditional Chinese medicine based on the correlation analysis of chemical fingerprint and biological effect. J. Pharm. Biomed. Anal.83, 57–64. 10.1016/j.jpba.2013.04.035
39
Wang S. Bao Y. R. Li T. J. Yang X. X. Meng X. S. (2021a). Discussion on the key problems and analysis methods of quality evaluation of traditional Chinese medicine. J. Instrum. Analysis40, 132–138.
40
Wang X. P. Wang P. F. Bai J. Q. Gao S. Wang Y. H. Quan L. N. et al (2019). Investigating the effects and possible mechanisms of danshen-honghua herb pair on acute myocardial ischemia induced by isoproterenol in rats. Biomed. Pharmacother.118, 109268. 10.1016/j.biopha.2019.109268
41
Wang Y. Han K. Li Z. Tang X. Wang C. Zhao Y. et al (2022). Protective effect of hydroxysafflor yellow A on renal ischemia--reperfusion injury by targeting the Akt-Nrf2 axis in mice. Exp. Ther. Med.24, 741. 10.3892/etm.2022.11677
42
Wang Z. M. Xiao H. B. Li X. Y. Yao X. H. J X. M. Cui J. P. et al (2021b). Research progress on pharmacological action and clinical application of Carthamus tinctorius L. China J. Traditional Chin. Med. Pharm.36, 6608–6611.
43
Wohlfahrt Y. Kruger K. Papsdorf D. Tittmann S. Stoll M. (2022). Grapevine leaf physiology and morphological characteristics to elevated CO(2) in the VineyardFACE (Free air Carbon dioxide Enrichment) experiment. Front. Plant Sci.13, 1085878. 10.3389/fpls.2022.1085878
44
Wu X. W. Hao Y. Y. Nie C. X. Ni Y. Hao X. L. Liu C. (2019). Methodological overview and application research progress of serum pharmacochemistry of traditional Chinese medicine (in Chinese). Chin. J. Exp. Traditional Med. Formulae25, 173–179. 10.13422/j.cnki.syfjx.20182003
45
Wu X. Zhang H. Fan S. Zhang Y. Yang Z. Fan S. et al (2018). Quality markers based on biological activity: A new strategy for the quality control of traditional Chinese medicine. Phytomedicine44, 103–108. 10.1016/j.phymed.2018.01.016
46
XI G. Lu H. Li S. H. (2009). Changes and significance of H2O2 induced photon radiation in plant leaves. Acta Photonica Sin.38, 3250–3255.
47
XI G. Zhang X. H. Liu K. Li S. H. (2011). Evaluation method of UV-B radiation damage on plant cell based on photonic technology. Chin. J. Luminescence32, 398–403. 10.3788/fgxb20113204.0398
48
Xie Z. W. (1994). “Traditional experience identification of traditional Chinese medicine varieties is based on the theory of "distinguishing the nature from the appearance,” in Research on shizhen traditional Chinese medicine, 19–21.
49
Xiong L. Peng C. (2016). Based on the basic conditions of traditional Chinese medicine quality marker (Q-Marker), the Q-Marker of Leonurus japonicus and Radix et Rhizoma et Rhizoma Polygoni was studied. Chin. Traditional Herb. Drugs47, 2212–2220.
50
Yan H. Zou C. (2022). Progress and prospect of application of traditional Chinese medicine fingerprint (specific chromatogram) in Chinese Pharmacopoeia (2010-2020). Nan Fang. Yi Ke Da Xue Xue Bao42, 150–155. 10.12122/j.issn.1673-4254.2022.01.19
51
Yang M. N. Han J. X. (2013). Discussion on the feasibility of transforming quantum theory into TCM theory. Chin. Archives Traditional Chin. Med.31, 1653–1656. 10.13193/j.issn.1673-7717.2013.08.037
52
Yu L. Chen C. Wang L. F. Kuang X. Liu K. Zhang H. et al (2013). Neuroprotective effect of kaempferol glycosides against brain injury and neuroinflammation by inhibiting the activation of NF-κB and STAT3 in transient focal stroke. PLoS One8, e55839. 10.1371/journal.pone.0055839
53
Zeng L. F. Chen Y. B. Cheng S. Y. Kong L. S. Wang L. Wang K. Z. et al (2016). The current research situation of plant medicine therapy and the preliminary exploration of quantitative evidence-based thinking of four properties of drugs. China J. Traditional Chin. Med. Pharm.31, 2060–2064.
54
Zhang B. Xin J. Liu Y. Wang X. Dong H. Wang Z. et al (2022). Research progress in application of bioassay in quality evaluation of traditional Chinese medicine. China J. Chin. Materia Medica47, 6264–6270. 10.19540/j.cnki.cjcmm.20220715.602
55
Zhang T. Bai G. Han Y. Xu J. Gong S. Li Y. et al (2018a). The method of quality marker research and quality evaluation of traditional Chinese medicine based on drug properties and effect characteristics. Phytomedicine44, 204–211. 10.1016/j.phymed.2018.02.009
56
Zhang W. N. Li A. P. Li K. Qin X. M. (2018b). Advances in the research methods of the material basis of the efficacy of traditional Chinese medicine. Chin. Pharm. J.53, 761–764.
57
Zhang Y. J. Jiang Y. Y. (2021). Research methods and progress in the quality of Chinese medicinal materials. Acta Chin. Med. Pharmacol.49, 106–112. 10.19664/j.cnki.1002-2392.210174
58
Zhao X. L. Han J. X. (2013). The connotation of the Quantum Traditional Chinese Medicine and the exploration of its experimental technology system for diagnosis. Drug Discov. Ther.7, 225–232. 10.5582/ddt.2013.v7.6.225
59
Zhao X. L. (2014). Preliminary study on the characteristics of biophoton in the growth process of traditional Chinese medicine. Master’s thesis. Jinan, Shandong: University of Jinan.
60
Zhao X. Pang J. Fu J. Yang M. Van Wijk E. Liu Y. et al (2017). Application of spontaneous photon emission in the growth ages and varieties screening of fresh Chinese herbal medicines. Evid. Based Complement. Altern. Med.2017, 2058120. 10.1155/2017/2058120
61
Zhong N. Y. (2015). Study on the quality control of Leonurus japonicus Houtt. liquid extract and its original medicinal materials. Master’s thesis. Hangzhou, Zhejiang: Zhejiang Chinese Medical University.
62
Zhu C. Li X. Zhang B. Lin Z. (2017). Quantitative analysis of multi-components by single marker-a rational method for the internal quality of Chinese herbal medicine. Integr. Med. Res.6, 1–11. 10.1016/j.imr.2017.01.008
Summary
Keywords
biophoton, quality state, fresh Chinese herb, motherwort, safflower, UPLC, characteristic parameter
Citation
Cao B, Wang Z, Zhang J, Fu J, Zhang Z, Du J, Deng T, Pang J, Yang M and Han J (2023) A biophoton method for identifying the quality states of fresh Chinese herbs. Front. Pharmacol. 14:1140117. doi: 10.3389/fphar.2023.1140117
Received
11 January 2023
Accepted
06 March 2023
Published
20 March 2023
Volume
14 - 2023
Edited by
Cheng-Shi Jiang, University of Jinan, China
Reviewed by
Can Tu, Beijing University of Chinese Medicine, China
Jian Wang, Taishan University, China
Updates
Copyright
© 2023 Cao, Wang, Zhang, Fu, Zhang, Du, Deng, Pang, Yang and Han.
This is an open-access article distributed under the terms of the Creative Commons Attribution License (CC BY). The use, distribution or reproduction in other forums is permitted, provided the original author(s) and the copyright owner(s) are credited and that the original publication in this journal is cited, in accordance with accepted academic practice. No use, distribution or reproduction is permitted which does not comply with these terms.
*Correspondence: Jinxiang Han, samshjx@sina.com; Meina Yang, yangmeina@sdfmu.edu.cn
This article was submitted to Ethnopharmacology, a section of the journal Frontiers in Pharmacology
Disclaimer
All claims expressed in this article are solely those of the authors and do not necessarily represent those of their affiliated organizations, or those of the publisher, the editors and the reviewers. Any product that may be evaluated in this article or claim that may be made by its manufacturer is not guaranteed or endorsed by the publisher.