Abstract
Introduction:
To systematically evaluate the efficacy and safety of mirabegron compared to α-adrenergic receptor antagonists for treating distal ureteral stones.
Methods:
A comprehensive search of EMBASE, PubMed, and Cochrane databases was conducted to identify studies comparing mirabegron and α-adrenergic receptor antagonists for stone expulsion. The primary outcome was stone expulsion rate (SER), and secondary outcomes included stone expulsion interval (SEI) and pain episode frequency. Risk ratio (RR) and mean differences (MD) with 95% CIs were calculated.
Results:
Six studies involving 487 participants were included. There was no significant difference in SER between mirabegron and α-adrenergic receptor antagonists (RR = 1.06; 95% CI = 0.93–1.22; P = 0.34). SEI showed no significant difference either (MD = 0.05; 95% CI = −3.23 to 3.34; P = 0.58). However, pain episodes were significantly reduced in the mirabegron group (MD = −0.36; 95% CI = −0.63 to −0.09; P = 0.01). Subgroup analysis showed reduced pain episodes with mirabegron versus silodosin but not tamsulosin. Mirabegron also had fewer side effects like headache (RR = 0.34; 95% CI = 0.13–0.87; P = 0.02) and orthostatic hypotension (RR = 0.11; 95% CI = 0.02–0.55; P = 0.008), while dizziness and ejaculation dysfunction rates were comparable.
Conclusion:
Mirabegron reduced pain episodes during treatment for distal ureteral stones, particularly when compared to silodosin, despite no significant differences in SER or SEI. Its favorable safety profile suggests potential as a therapeutic option. Further randomized controlled trials are needed to confirm these findings.
Introduction
Urolithiasis is a common condition affecting the human urinary system, with a prevalence of approximately 2%–3% across all populations (Cui et al., 2014). Ureteral stones, which make up about 20% of all urolithiasis cases, are particularly troublesome, with around 70% of these stones located in the distal ureter (Ahmed and Al-Sayed, 2010; Raheem et al., 2017). If untreated, ureteral stones can cause severe pain and lead to serious complications, such as acute kidney injury, infections, and septic shock, posing significant health risks and economic burdens for patients (Thongprayoon et al., 2020; Türk et al., 2016).
The main treatment options for ureteral stones include medical expulsion therapy (MET), extracorporeal shockwave lithotripsy (ESWL), and endoscopic surgery (Paffenholz and Heidenreich, 2021). MET is commonly recommended for distal ureteral stones, as it helps relax smooth muscles in the urinary tract, facilitating the passage of stones (Segura et al., 1997). The most widely used medications for MET are α-adrenergic antagonist, such as tamsulosin (Raheem et al., 2017).
Recently, mirabegron, a β3-adrenergic receptor agonist, has gained attention for its ability to relax bladder smooth muscle and alleviate overactive bladder symptoms (Solakhan et al., 2019; Wanajo et al., 2004). Emerging research indicates that β3-adrenergic receptors are also expressed in the smooth muscle and urothelium of the ureter, suggesting that mirabegron could be a novel option for MET in treating ureteral stones (Kaya et al., 2018; Kelleher et al., 2018). Activation of β3-adrenergic receptors can reduce the excitability of smooth muscle cells by inhibiting the release of intracellular calcium ions (Ca2+) and enhancing the efflux of potassium ions (K+), which may contribute to the relaxation of ureteral smooth muscle and facilitate stone passage (Dey et al., 2024). However, the current evidence regarding its effectiveness remains inconclusive and has yet to be thoroughly evaluated. This study aims to systematically review and compare the effectiveness and safety of mirabegron versus α-adrenergic receptor antagonist in the treatment of distal ureteral stones.
Methods
The review protocol was registered with PROSPERO (CRD42024599866; https://www.crd.york.ac.uk/PROSPERO/) following the guidelines outlined in the Preferred Reporting Items for Systematic Reviews and Meta-Analyses (PRISMA).
Search strategy
We performed a comprehensive literature search in the PubMed, Embase, and Cochrane databases, adhering to the PRISMA (Preferred Reporting Items for Systematic Reviews and Meta-Analyses) guidelines (Page et al., 2021) (Supplementary Table 1). The search covered publications from the databases’ inception to August 2024. Our retrieval strategy was formulated using the PICOS framework (population, intervention, comparators, outcomes, and study design). The key terms used in the search included mirabegron, β3-adrenergic receptor agonists, tamsulosin, silodosin, α-adrenergic receptor antagonist, and ureteral stones. We limited the search to English-language articles and randomized controlled trials (RCTs). Two authors independently conducted the searches following the established strategy, and their results were cross-checked. All identified articles were evaluated separately by two reviewers, with any disagreements resolved by consulting a third researcher. Furthermore, relevant references from the included studies were also reviewed where necessary.
Inclusion criteria and data extraction
The inclusion criteria for all articles were as follows (Cui et al., 2014): the studies must be RCTs (Ahmed and Al-Sayed, 2010); each article provided authentic and valid data (Raheem et al., 2017); participants were patients diagnosed with ureteral stones and met the MET criteria; and (Thongprayoon et al., 2020) the studies compared mirabegron treatments with α-adrenergic antagonist in patients with ureteral stones. Consequently, we excluded any clinical studies where non-α-adrenergic antagonist were used in the control group. In cases where the same research was published in multiple journals or at different times, the most recent version was chosen for the meta-analysis. Additionally, case reports, review articles, meeting abstracts, conference reports and studies lacking sufficient data were excluded. The details of the inclusion and exclusion criteria are shown in Supplementary Table 2.
Quality assessment
Two authors independently evaluated the risk of bias in this study using the Cochrane Risk of Bias (RoB) 2.0 tool, focusing on multiple domains: the randomization process, deviations from the intended interventions, incomplete outcome data, outcome measurement, and selection of reported results (Higgins et al., 2011). Any disagreements between the reviewers were resolved through discussions with a third investigator. Each domain received a rating of “low,” “some concerns,” or “high” risk. The overall bias risk for each study was determined based on the highest risk level assigned in any domain.
Data extraction and outcome measures
Two authors independently extracted data from the included articles, organizing information such as the author’s name, publication year, country, sample size, treatments and comparators, study duration, stone location, and stone size. The primary outcome measured was the stone expulsion rate (SER), while secondary outcomes included the stone expulsion interval (SEI) and the number of pain episodes during follow-up. If a study did not report standard deviations (SD), these were derived from the provided standard errors (SE), confidence intervals (CI), or P values. In cases where none of these values were available, the SD was estimated using correlation coefficients from similar studies.
Statistical analyses
Data analysis for this study was conducted using Review Manager version 5.3.0 (Cochrane Collaboration). For dichotomous outcomes, the risk ratio (RR) was calculated, while the mean difference (MD) was used for continuous outcomes, both reported with 95% confidence intervals (CIs). To assess statistical heterogeneity, Cochran’s Q test and the I2 statistic were applied, with heterogeneity defined as I2 > 50% or p < 0.05. When no heterogeneity was detected, a fixed-effects model was used to combine the effect sizes; otherwise, a random-effects model was applied. P < 0.05 was considered statistically significant.
Results
Characteristics of included studies
We initially identified 51 articles through our search strategy, but 22 were removed after screening their titles and abstracts. Out of the 29 articles left, 20 were excluded for not meeting the inclusion criteria, and an additional 3 from the remaining 9 were eliminated due to insufficient data. Ultimately, 6 studies were included in our analysis to assess the efficacy of mirabegron and α-adrenergic receptor antagonist in treating distal ureteral stones (Abdel-Kader et al., 2024; Bayar et al., 2020; Faridi and Deshpande, 2024; Morsy et al., 2022; Samir et al., 2024; Seleem et al., 2021). The study selection process is illustrated in Figure 1, with detailed characteristics of these studies provided in Table 1.
FIGURE 1

PRISMA flow diagram.
TABLE 1
| Study (years) | Country | Study design | Sample size | Intervention | Duration | Stone size | Stone location | ||
|---|---|---|---|---|---|---|---|---|---|
| Trial | Control | Trial | Control | ||||||
| Bayar et al. (2020) | Turkey | RCT | 29 | 35 | Mirabegron (50 mg/day) | Silodosin (8 mg/day) | 4 weeks | 4–10 mm | Distal ureter |
| Faridi and Deshpande (2024) | India | RCT | 56 | 58 | Mirabegron (50 mg/day) | Silodosin (8 mg/day) | 4 weeks | 5–10 mm | Distal ureter |
| Abdel-Kader et al. (2023) | Egypt | RCT | 35 | 35 | Mirabegron (50 mg/day) | Silodosin (8 mg/day) | 4 weeks | ≤10 mm | Distal ureter |
| Samir et al. (2024) | Egypt | RCT | 57 | 59 | Mirabegron (50 mg/day) | Silodosin (8 mg/day) | 4 weeks | 5–10 mm | Distal ureter |
| Morsy et al. (2022) | Egypt | RCT | 25 | 25 | Mirabegron (50 mg/day) | Tamsulosin (0.4 mg/day) | 30 days | <10 mm | Distal ureter |
| Seleem et al. (2021) | Egypt | RCT | 37 | 36 | Mirabegron (50 mg/day) | Tamsulosin (0.4 mg/day) | NA | 5–10 mm | Distal ureter |
Characteristics of included studies.
Risk of bias
The risk of bias (RoB) assessment for each study is shown in Figure 2. Out of the included studies, 4 were found to have some concerns, while the remaining 2 were considered to have a low RoB. The most common sources of potential bias were related to the randomization process and the selection of reported outcomes. The bias analysis produced highly symmetrical plots, consisting of 6 squares representing studies that evaluated the efficacy of mirabegron and α-adrenergic receptor antagonist in treating distal ureteral stones (Figure 3).
FIGURE 2

The assessment of risk of bias (RoB). (A) Risk of bias domain for each included study; (B) Summary of risk of bias assessment.
FIGURE 3

Funnel plot of the articles.
Assessment of efficacy
SER
Six studies, involving 487 participants (239 in the mirabegron group and 248 in the α-adrenergic receptor antagonist treatment group), provided data on the SER when comparing mirabegron to α-adrenergic receptor antagonist. A fixed effects model was applied to calculate the RR with a 95% CI, considering no heterogeneity (p = 0.24; I2 = 25%). The analysis showed that mirabegron did not significantly increase the SER compared to the α-adrenergic receptor antagonist group (RR = 1.06; 95% CI = 0.93–1.22; P = 0.39) (Figure 4A). Sensitivity analysis, in which each study was sequentially excluded and the pooled RR recalculated, consistently supported the original findings (Supplementary Figure S1A), confirming the stability of the meta-analysis results for SER outcomes.
FIGURE 4

Forest plots showing the pooled results of SER, SEI and pain episodes between mirabegron and α-adrenergic receptor antagonist group. (A) SER; (B) SEI; (C) pain episodes. SER, stone expulsion rate; SEI, stone expulsion interval.
SEI
Six studies, including 487 participants (239 in the mirabegron group and 248 in the α-adrenergic receptor antagonist group), presented data on the SEI in a comparison between mirabegron and α-adrenergic receptor antagonist. A random effects model was utilized to calculate the MD with a 95% CI, taking into account substantial heterogeneity (Q = 208.49; p < 0.0001; I2 = 98%). The results indicated that mirabegron did not significantly shorten the SEI compared to the α-adrenergic receptor antagonist group (MD = 0.05; 95% CI = −3.23 to 3.34; P = 0.97) (Figure 4B). Sensitivity analysis, which involved recalculating the pooled MD after excluding each study one at a time, consistently supported the initial findings (Supplementary Figure S1B), reinforcing the reliability of the meta-analysis results regarding SEI.
Frequency of pain episodes
Six studies, involving 487 participants (239 in the mirabegron group and 248 in the α-adrenergic receptor antagonist group), provided data on the frequency of pain events during MET when comparing mirabegron to α-adrenergic receptor antagonist. A random effects model was applied to calculate the MD with a 95% CI, accounting for moderate heterogeneity (Q = 18.22; p = 0.003; I2 = 73%). The analysis revealed that mirabegron significantly reduced the frequency of pain episodes compared to the α-adrenergic receptor antagonist group (MD = −0.36; 95% CI = −0.63 to −0.09; P = 0.01) (Figure 4C). Sensitivity analysis, in which each study was sequentially excluded and the pooled MD recalculated, consistently confirmed the original findings (Supplementary Figure S1C), highlighting the robustness of the meta-analysis results regarding pain episode frequency.
Assessment of safety
Headache
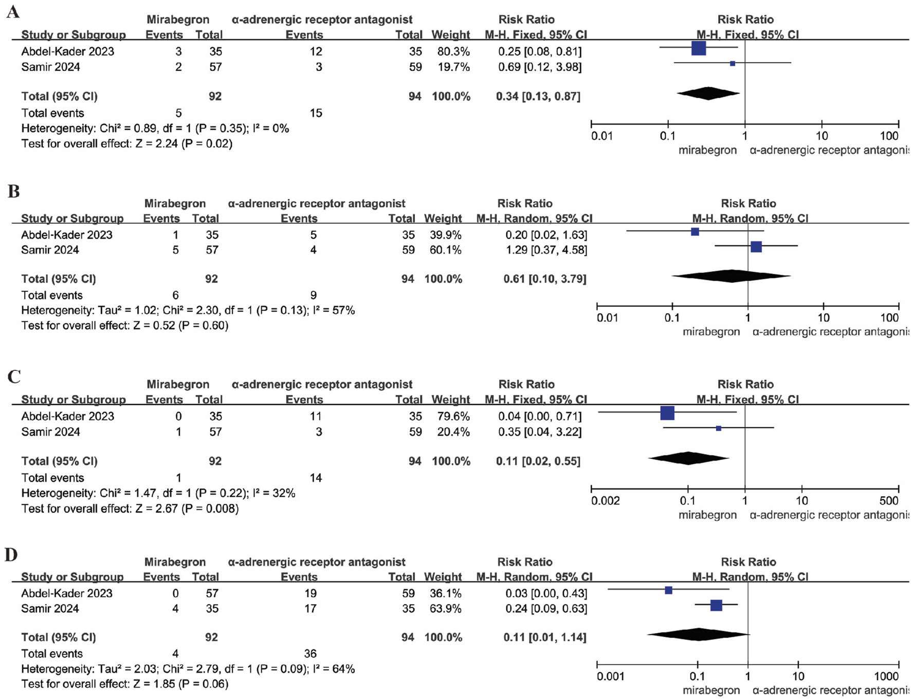
Two studies, involving 186 participants (92 in the mirabegron group and 94 in the α-adrenergic receptor antagonist group), provided data on the incidence of headache. A fixed effects model was utilized to calculate the RR with a 95% confidence interval CI (p = 0.35; I2 = 0). The analysis revealed a significant difference between the mirabegron and α-adrenergic receptor antagonist groups (RR = 0.34; 95% CI = 0.13–0.87; P < 0.05) (Figure 5A). This indicates that mirabegron is associated with a lower frequency of headache compared to the α-adrenergic receptor antagonists.
FIGURE 5

Forest plots showing the pooled results of headache, dizziness, orthostatic hypotension, ejaculation dysfunction. (A) headache; (B) dizziness; (C) orthostatic hypotension; (D) ejaculation dysfunction.
Dizziness
Two studies, with a total of 186 participants (92 in the mirabegron group and 94 in the α-adrenergic receptor antagonist group), reported on the occurrence of dizziness. A random effects model was utilized to calculate the RR with a 95% CI (Q = 2.3; p = 0.13; I2 = 57%). The results indicated no significant difference between the mirabegron and α-adrenergic receptor antagonist groups (P = 0.60) (Figure 5B). This implies that the rates of dizziness are comparable between both treatment options.
Orthostatic hypotension
Two studies examined orthostatic hypotension, involving 186 participants (92 in the mirabegron group and 94 in the α-adrenergic receptor antagonist group). A fixed effects model was applied to compute the RR with a 95% CI (p = 0.22; I2 = 32%). The analysis revealed a significant difference between the mirabegron and α-adrenergic receptor antagonist groups (RR = 0.11; 95% CI = 0.02–0.55; P = 0.008) (Figure 5C). This indicates that mirabegron is associated with a lower incidence of orthostatic hypotension compared to the α-adrenergic receptor antagonists.
Ejaculation dysfunction
Two studies also focused on ejaculation dysfunction, involving a total of 186 participants (92 in the mirabegron group and 94 in the α-adrenergic receptor antagonist group). A random effects model was used to calculate the RR with a 95% CI (Q = 2.79; p = 0.09; I2 = 64%). The findings indicated no significant difference between the mirabegron and α-adrenergic receptor antagonist groups (P = 0.06) (Figure 5D). This suggests that the prevalence of ejaculation dysfunction is similar for both treatment options.
Subgroup analysis
This study utilized 2 types of α-adrenergic blockers—tamsulosin and silodosin—for the treatment of distal ureteral stones. A subgroup analysis was conducted to account for the differences between these medications.
SER
In this evaluation, 4 RCTs comparing mirabegron with silodosin and 2 RCTs comparing mirabegron with tamsulosin were included. We found no significant difference between mirabegron and silodosin in SER (RR = 1.08; 95% CI = 0.92–1.25; P = 0.34). The comparison with tamsulosin showed similar results (RR = 1.01; 95% CI = 0.74–1.38; P = 0.93) (Figure 6A).
FIGURE 6

Forest plots showing the subgroup analysis based on types of α-adrenergic receptor antagonist. (A) SER; (B) SEI; (C) pain episodes. SER, stone expulsion rate; SEI, stone expulsion interval.
SEI
This assessment incorporated 4 RCTs comparing mirabegron with silodosin and 2 RCTs comparing mirabegron with tamsulosin. The analysis revealed no significant difference in the SEI between mirabegron and silodosin (MD = 2.36; 95% CI = −2.38 -7.11; P = 0.33). Similarly, the comparison with tamsulosin yielded comparable results (MD = −5.28; 95% CI = -14 - 3.45; P = 0.24) (Figure 6B).
Frequency of pain episodes
In this analysis, 4 RCTs comparing mirabegron with silodosin and 2 RCTs comparing mirabegron with tamsulosin were included. We observed a significant difference in the frequency of pain events during medical MET between mirabegron and silodosin (MD = −0.42; 95% CI = −0.74 to −0.09; P = 0.01). In contrast, the comparison with tamsulosin did not reveal any significant difference in the frequency of pain episodes (MD = −0.14; 95% CI = −0.66-0.37; P = 0.58) (Figure 6C).
Discussion
Current clinical guidelines indicate that MET is a viable treatment option for distal ureteral stones (Beach and Mauro, 2006). α-adrenergic receptor blockers, such as tamsulosin, are commonly utilized in MET. Additionally, other medications, including calcium channel blockers, phosphodiesterase type 5 inhibitors, and corticosteroids, have also demonstrated efficacy in facilitating the passage of ureteral stones (Itoh et al., 2011). Recently, studies have explored the potential of mirabegron, a β3-adrenergic receptor agonist, in promoting stone expulsion (Shen et al., 2017). A meta-analysis by Song et al. concluded that mirabegron significantly increased the SER of distal ureteral stones and reduced the frequency of pain episodes (Song et al., 2023).However, the effectiveness of mirabegron remains a subject of debate. While some randomized controlled trials have reported benefits of mirabegron in stone expulsion, others have not confirmed these findings (Van Asseldonk and Elterman, 2015; Ye et al., 2011). For instance, Tang et al. demonstrated that mirabegron significantly improved SER in patients with stones measuring ≤5 mm but had no effect on those with larger stones (Tang et al., 2021). In this meta-analysis, we systematically evaluated the efficacy and safety of mirabegron compared to α-adrenergic receptor blockers for the treatment of distal ureteral stones.
Our findings indicated no significant differences in SER or SEI between the mirabegron and α-adrenergic receptor antagonist groups. This suggests that mirabegron may have comparable overall efficacy to tamsulosin and silodosin regarding stone passage and expulsion time. Notably, our analysis revealed that mirabegron significantly reduced the frequency of pain episodes during stone expulsion, particularly in comparison to silodosin. Although pain perception is a subjective outcome measure—unlike objective metrics such as SER or SEI—it remains a critical endpoint in urolithiasis management. Patient-reported pain relief directly reflects therapeutic success from the patient’s perspective, as uncontrolled colic not only diminishes quality of life but also drives healthcare resource utilization (Cabo and Miller, 2024). This reduction in pain frequency holds direct clinical relevance: fewer pain episodes may translate into improved quality of life by reducing dependence on analgesics (e.g., opioids or NSAIDs), decreasing emergency department visits for uncontrolled colic, and enabling earlier resumption of daily activities or occupational duties. The result underscores the potential advantage of mirabegron in pain management during MET.
The use of β3-adrenergic receptor agonists, such as mirabegron, is primarily associated with the management of overactive bladder (Lipkin and Shah, 2009). However, recent research has identified the presence of β-adrenergic receptors in the smooth muscle of the human ureter (Taylor et al., 2004). The activation of β3-adrenergic receptors is believed to relax ureteral smooth muscle, facilitating stone passage by reducing the frequency of peristaltic contractions (Tomiyama et al., 2007). This mechanism may account for the observed reduction in pain frequency in our analysis, as fewer ureteral contractions can lead to less discomfort during stone expulsion.
In terms of adverse effects, the analysis revealed that mirabegron had a significantly lower incidence of headache and orthostatic hypotension compared to α-adrenergic receptor antagonists, suggesting that mirabegron may have a more favorable safety profile. However, there were no significant differences between the two groups in terms of dizziness or ejaculation dysfunction, further supporting the potential suitability of mirabegron for certain patients. It is important to note that the safety assessment was based on only two included studies. While meta-analyses can be conducted with as few as two studies, the low heterogeneity observed here should be interpreted cautiously. A low I2 value does not necessarily indicate the absence of true heterogeneity; it may instead reflect limited statistical power due to the small number of trials or insufficient variability in study designs. The reduced side effects of mirabegron, particularly in relation to headache and hypotension, are likely due to its targeted action on β3 receptors in the bladder, with minimal influence on the vascular system (Shen et al., 2017). In contrast, α1-adrenergic receptor antagonists act by blocking α1 receptors in vascular smooth muscle, leading to vasodilation and lower blood pressure, which increases the risk of orthostatic hypotension and headache (Itoh et al., 2011; Tomiyama et al., 2007). Overall, both mirabegron and α-adrenergic receptor antagonists were generally well tolerated by patients, with mild side effects commonly reported. Nevertheless, the limited scope of safety data underscores the need for future trials to prioritize standardized reporting of adverse events across larger cohorts, which would enhance the reliability of safety comparisons. This suggests that mirabegron may serve as an alternative treatment option for patients with contraindications to α-adrenergic receptor antagonists or for those who do not respond well to initial therapy.
In our subgroup analysis, we compared mirabegron with both tamsulosin and silodosin. Interestingly, while mirabegron showed a significant improvement in pain relief compared to silodosin, no significant differences were noted between mirabegron and tamsulosin across any of the studied parameters, including SER, SEI, or pain episodes. This suggests that the therapeutic effects of mirabegron may be more comparable to tamsulosin but could offer superior pain relief compared to silodosin. However, further studies are required to confirm these findings and explore the underlying mechanisms.
Our study has several limitations. Firstly, the small number of studies and limited sample size reduce the statistical power of the analysis. Secondly, the high heterogeneity in some endpoints, potentially due to variations in study design, sample size, and inclusion criteria, weakens the overall reliability of our findings. Additionally, most of the included studies were conducted in specific regions, limiting the generalizability of the results to broader populations.
Conclusion
Mirabegron may offer advantages in managing pain during medical expulsive therapy for distal ureteral stones, especially when compared to silodosin, even though no significant differences were observed in SER or SEI. Furthermore, mirabegron demonstrated a favorable safety profile, showing reduced rates of headache and orthostatic hypotension relative to α-adrenergic receptor antagonists. To validate these results and explore the mechanisms behind the different impacts on pain relief and safety, additional well-structured randomized controlled trials are necessary.
Statements
Data availability statement
The original contributions presented in the study are included in the article/Supplementary Material, further inquiries can be directed to the corresponding authors.
Author contributions
YG: Data curation, Formal Analysis, Writing–original draft, Writing–review and editing. FS: Resources, Writing–original draft, Writing–review and editing. YW: Data curation, Formal Analysis, Visualization, Writing–review and editing. YL: Formal Analysis, Software, Writing–review and editing. TW: Data curation, Writing–review and editing. XM: Writing–review and editing. JW: Writing–review and editing.
Funding
The author(s) declare that financial support was received for the research, authorship, and/or publication of this article. This work was supported by the National Natural Science Foundation of China (Nos. 82370690, 82303813), Natural Science Foundation of Shandong Province (Nos. ZR2023MH241, ZR2023QH271), and Taishan Scholars Program of Shandong Province (Nos. tsqn201909199, tsqn202306403).
Conflict of interest
The authors declare that the research was conducted in the absence of any commercial or financial relationships that could be construed as a potential conflict of interest.
Generative AI statement
The author(s) declare that no Generative AI was used in the creation of this manuscript.
Publisher’s note
All claims expressed in this article are solely those of the authors and do not necessarily represent those of their affiliated organizations, or those of the publisher, the editors and the reviewers. Any product that may be evaluated in this article, or claim that may be made by its manufacturer, is not guaranteed or endorsed by the publisher.
Supplementary material
The Supplementary Material for this article can be found online at: https://www.frontiersin.org/articles/10.3389/fphar.2025.1517979/full#supplementary-material
References
1
Abdel-Kader M. S. Sayed A. M. Sayed S. M. AbdelRazek M. (2024). Evaluation of the efficacy and safety of either or both mirabegron and silodosin, as a medical expulsive therapy for distal ureteric stones. Int. Urol. Nephrol.56 (5), 1605–1610. 10.1007/s11255-023-03880-y
2
Ahmed A. F. Al-Sayed A. Y. (2010). Tamsulosin versus alfuzosin in the treatment of patients with distal ureteral stones: prospective, randomized, comparative study. Korean J. Urol.51 (3), 193–197. 10.4111/kju.2010.51.3.193
3
Bayar G. Yavuz A. Cakmak S. Ofluoglu Y. Kilinc M. F. Kucuk E. et al (2020). Efficacy of silodosin or mirabegron in medical expulsive therapy for ureteral stones: a prospective, randomized-controlled study. Int. Urol. Nephrol.52 (5), 835–840. 10.1007/s11255-019-02368-y
4
Beach M. A. Mauro L. S. (2006). Pharmacologic expulsive treatment of ureteral calculi. Ann. Pharmacother.40 (7-8), 1361–1368. 10.1345/aph.1G586
5
Cabo J. J. S. Miller N. L. (2024). Nonopioid pain management pathways for stone disease. J. Endourol.38 (2), 108–120. 10.1089/end.2023.0266
6
Cui Y. Zong H. Yang C. Yan H. Zhang Y. (2014). The efficacy and safety of mirabegron in treating OAB: a systematic review and meta-analysis of phase III trials. Int. Urol. Nephrol.46 (1), 275–284. 10.1007/s11255-013-0509-9
7
Dey A. Georgiadis G. Umezurike J. Yuan Y. Farag F. N'Dow J. et al (2024). Reply to: Rong Dai and Changkai Deng's Letter to the Editor re: Anirban Dey, Georgios Georgiadis, Justin Umezurike, et al. Mirabegron Versus Placebo and Other Therapeutic Modalities in the Treatment of Patients with Overactive Bladder Syndrome-A Systematic Review. Eur Urol Focus. In press. Eur. Urol. Focus. 10.1016/j.euf.2024.12.004
8
Faridi M. S. Deshpande S. (2024). Comparing silodosin and mirabegron as medical expulsive therapy for distal ureteral calculus: a prospective, randomised study. Cent. Eur. J. Urol.77 (2), 286–290. 10.5173/ceju.2023.182
9
Higgins J. P. Altman D. G. Gøtzsche P. C. Jüni P. Moher D. Oxman A. D. et al (2011). The Cochrane Collaboration's tool for assessing risk of bias in randomised trials. Bmj343, d5928. 10.1136/bmj.d5928
10
Itoh Y. Okada A. Yasui T. Hamamoto S. Hirose M. Kojima Y. et al (2011). Efficacy of selective α1A adrenoceptor antagonist silodosin in the medical expulsive therapy for ureteral stones. Int. J. Urol.18 (9), 672–674. 10.1111/j.1442-2042.2011.02810.x
11
Kaya E. Sikka S. C. Oral D. Y. Ozakca I. Gur S. (2018). β3-Adrenoceptor control of lower genitourinary tract organs and function in male: an overview. Curr. Drug Targets19 (6), 602–612. 10.2174/1389450118666170120165554
12
Kelleher C. Hakimi Z. Zur R. Siddiqui E. Maman K. Aballéa S. et al (2018). Efficacy and tolerability of mirabegron compared with antimuscarinic monotherapy or combination therapies for overactive bladder: a systematic review and network meta-analysis. Eur. Urol.74 (3), 324–333. 10.1016/j.eururo.2018.03.020
13
Lipkin M. Shah O. (2009). Medical therapy of stone disease: from prevention to promotion of passage options. Curr. Urol. Rep.10 (1), 29–34. 10.1007/s11934-009-0007-x
14
Morsy S. Nasser I. Aboulela W. Abdelazim M. S. Ali H. (2022). Efficacy of mirabegron as medical expulsive therapy for distal ureteral stones: a prospective, randomized, double-blinded, controlled study. Urol. Int.106 (12), 1265–1271. 10.1159/000521171
15
Paffenholz P. Heidenreich A. (2021). Modern surgical strategies in the management of complex ureteral strictures. Curr. Opin. Urol.31 (2), 170–176. 10.1097/MOU.0000000000000849
16
Page M. J. McKenzie J. E. Bossuyt P. M. Boutron I. Hoffmann T. C. Mulrow C. D. et al (2021). The PRISMA 2020 statement: an updated guideline for reporting systematic reviews. Syst. Rev.10 (1), 89. 10.1186/s13643-021-01626-4
17
Raheem O. A. Khandwala Y. S. Sur R. L. Ghani K. R. Denstedt J. D. (2017). Burden of urolithiasis: trends in prevalence, treatments, and costs. Eur. Urol. Focus3 (1), 18–26. 10.1016/j.euf.2017.04.001
18
Samir M. Awad A. F. Maged W. A. (2024). Does mirabegron have a potential role as a medical expulsive therapy in the treatment of distal ureteral stones? A prospective randomized controlled study. Urologia91 (1), 136–140. 10.1177/03915603231204081
19
Segura J. W. Preminger G. M. Assimos D. G. Dretler S. P. Kahn R. I. Lingeman J. E. et al (1997). Ureteral stones clinical guidelines panel summary report on the management of ureteral calculi. The American urological association. J. Urol.158 (5), 1915–1921. 10.1016/s0022-5347(01)64173-9
20
Seleem M. M. Abd Elwahab K. M. Sakr A. M. Ali M. M. Desoky E. A. (2021). Mirabegron, tamsulosin monotherapy versus combination in treatment of distal ureteric stone. A randomized controlled clinical trial. Eur. Urol.79, S370–S. 10.1016/s0302-2838(21)00646-1
21
Shen H. Chen Z. Mokhtar A. D. Bi X. Wu G. Gong S. et al (2017). Expression of β-adrenergic receptor subtypes in human normal and dilated ureter. Int. Urol. Nephrol.49 (10), 1771–1778. 10.1007/s11255-017-1667-y
22
Solakhan M. Bayrak O. Bulut E. (2019). Efficacy of mirabegron in medical expulsive therapy. Urolithiasis47 (3), 303–307. 10.1007/s00240-018-1075-5
23
Song H. Liang L. Liu H. Liu Y. Hu W. Zhang G. et al (2023). Mirabegron for medical expulsive therapy of ureteral stones: a systematic review and meta-analysis. Front. Med. (Lausanne)10, 1280487. 10.3389/fmed.2023.1280487
24
Tang Q. L. Wang D. J. Zhou S. Tao R. Z. (2021). Mirabegron in medical expulsive therapy for distal ureteral stones: a prospective, randomized, controlled study. World J. Urol.39 (12), 4465–4470. 10.1007/s00345-021-03772-9
25
Taylor E. N. Stampfer M. J. Curhan G. C. (2004). Dietary factors and the risk of incident kidney stones in men: new insights after 14 years of follow-up. J. Am. Soc. Nephrol.15 (12), 3225–3232. 10.1097/01.ASN.0000146012.44570.20
26
Thongprayoon C. Krambeck A. E. Rule A. D. (2020). Determining the true burden of kidney stone disease. Nat. Rev. Nephrol.16 (12), 736–746. 10.1038/s41581-020-0320-7
27
Tomiyama Y. Kobayashi K. Tadachi M. Kobayashi S. Inada Y. Kobayashi M. et al (2007). Expressions and mechanical functions of alpha1-adrenoceptor subtypes in hamster ureter. Eur. J. Pharmacol.573 (1-3), 201–205. 10.1016/j.ejphar.2007.06.056
28
Türk C. Petřík A. Sarica K. Seitz C. Skolarikos A. Straub M. et al (2016). EAU guidelines on diagnosis and conservative management of urolithiasis. Eur. Urol.69 (3), 468–474. 10.1016/j.eururo.2015.07.040
29
Van Asseldonk B. Elterman D. S. (2015). Medical expulsive therapy for ureteric colic: new hard evidence: commentary on: medical expulsive therapy in adults with ureteric colic: a multicentre, randomised, placebo-controlled trial. Urology86 (4), 649–650. 10.1016/j.urology.2015.06.030
30
Wanajo I. Tomiyama Y. Yamazaki Y. Kojima M. Shibata N. (2004). Pharmacological characterization of beta-adrenoceptor subtypes mediating relaxation in porcine isolated ureteral smooth muscle. J. Urol.172 (3), 1155–1159. 10.1097/01.ju.0000133557.39515.b6
31
Ye Z. Yang H. Li H. Zhang X. Deng Y. Zeng G. et al (2011). A multicentre, prospective, randomized trial: comparative efficacy of tamsulosin and nifedipine in medical expulsive therapy for distal ureteric stones with renal colic. BJU Int.108 (2), 276–279. 10.1111/j.1464-410X.2010.09801.x
Summary
Keywords
mirabegron, ureteral stone, α-adrenergic receptor antagonist, meta-analysis, β3adrenergic receptor mirabegron, β3adrenergic receptor
Citation
Guo Y, Sun F, Wang Y, Li Y, Wang T, Ma X and Wu J (2025) The efficacy and safety of mirabegron and α-adrenergic receptor antagonist in the treatment of distal ureteral stones: a systematic review and meta-analysis. Front. Pharmacol. 16:1517979. doi: 10.3389/fphar.2025.1517979
Received
29 October 2024
Accepted
07 March 2025
Published
19 March 2025
Volume
16 - 2025
Edited by
Wenying Qiao, Capital Medical University, China
Reviewed by
Daniel Turudic, University Hospital Center Zagreb, Croatia
Hu Caixia, Capital Medical University, China
Updates
Copyright
© 2025 Guo, Sun, Wang, Li, Wang, Ma and Wu.
This is an open-access article distributed under the terms of the Creative Commons Attribution License (CC BY). The use, distribution or reproduction in other forums is permitted, provided the original author(s) and the copyright owner(s) are credited and that the original publication in this journal is cited, in accordance with accepted academic practice. No use, distribution or reproduction is permitted which does not comply with these terms.
*Correspondence: Jitao Wu, wjturology@163.com; Xiaohong Ma, mxhong0608@126.com
†These authors have contributed equally to this work
ORCID: Yanfei Li, https://orcid.org/0000-0003-1539-2126; Xiaohong Ma, https://orcid.org/0000-0001-8625-237X
Disclaimer
All claims expressed in this article are solely those of the authors and do not necessarily represent those of their affiliated organizations, or those of the publisher, the editors and the reviewers. Any product that may be evaluated in this article or claim that may be made by its manufacturer is not guaranteed or endorsed by the publisher.