CLINICAL TRIAL article
Front. Pharmacol.
Sec. Drug Metabolism and Transport
This article is part of the Research TopicIntegrated PK/PD and Drug Metabolism Approaches in Drug Development and EvaluationView all 10 articles
Population pharmacokinetics/pharmacodynamics and safety of YPEG-rhGH in elderly subjects
Provisionally accepted- 1Huazhong University of Science and Technology Tongji Medical College Union Hospital, Wuhan, China
- 2Hubei University of Chinese Medicine, Wuhan, China
Select one of your emails
You have multiple emails registered with Frontiers:
Notify me on publication
Please enter your email address:
If you already have an account, please login
You don't have a Frontiers account ? You can register here
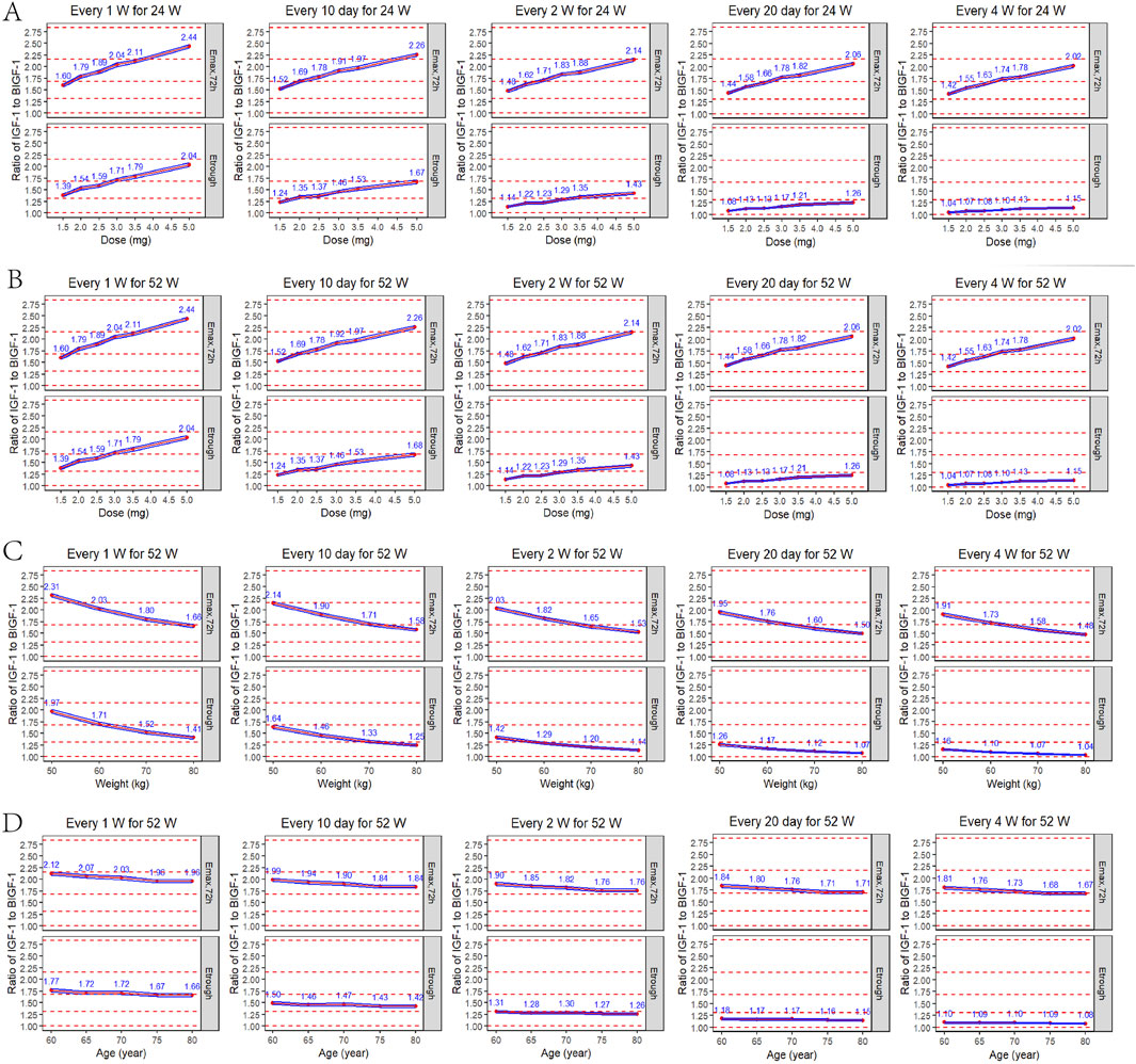
Abstract: Y-shape branched PEGylated recombinant human growth hormone (YPEG-rhGH) is a suitable drug for the treatment of growth hormone deficiency (GHD). The aim of this study was to establish a population pharmacokinetics/pharmacodynamics (PopPK/PD) model of YPEG-rhGH in the elderly. The safety and tolerability of the drug were investigated, and the possibility of flexible dosing regimen was explored. A total of 16 healthy elderly subjects and 36 healthy adults participated in the PopPK analysis. Only elderly subjects were included in the PopPK/PD analysis. After subcutaneous injection of the drug, serum samples were collected to analyze the time course of YPEG-rhGH concentrations and insulin-like growth factor-1 (IGF-1) levels. Additionally, the safety and tolerability of the investigational drug were evaluated. Results show that the pharmacokinetics of serum YPEG-rhGH after subcutaneous injection can be better described by a two-compartment model with first-order absorption and nonlinear elimination. The indirect response model (IDR) demonstrated good predictive capability for the relative baseline ratio of IGF-1 levels in elderly subjects following YPEG-rhGH administration. The magnitude of the increase in the relative baseline ratio of IGF-1 decreased with increasing weight, and increasing age marginally reduced the increase in the baseline ratio of YPEG-rhGH-increased IGF-1 in elderly people, but the effect decreased with increasing dosing intervals. All reported adverse reactions were mild. In the final model, AGE was identified as a significant covariate for Ka, V1/F, and Vmax, while WEIGHT significantly influenced Vmax. The IDR model was consistent with the PK/PD profile of elderly subjects. The safety and tolerability of YPEG-rhGH injections in elderly subjects were favorable. Clinical Trials Registration: CTR20230176.
Keywords: Y-shape branched PEGylation recombinant human growth hormone, Population pharmacokinetic/ pharmacodynamic analysis, long-acting growth hormone, growth hormone deficiency, the indirect response model
Received: 21 Jun 2025; Accepted: 20 Oct 2025.
Copyright: © 2025 He, Zeng, Yang, You and Zhai. This is an open-access article distributed under the terms of the Creative Commons Attribution License (CC BY). The use, distribution or reproduction in other forums is permitted, provided the original author(s) or licensor are credited and that the original publication in this journal is cited, in accordance with accepted academic practice. No use, distribution or reproduction is permitted which does not comply with these terms.
* Correspondence:
Qiuyun You, 1471@hbtcm.edu.cn
Xuejia Zhai, zhaixuejia@163.com
Disclaimer: All claims expressed in this article are solely those of the authors and do not necessarily represent those of their affiliated organizations, or those of the publisher, the editors and the reviewers. Any product that may be evaluated in this article or claim that may be made by its manufacturer is not guaranteed or endorsed by the publisher.
