REVIEW article
Front. Pharmacol.
Sec. Ethnopharmacology
This article is part of the Research TopicMedicinal Plants from the Americas: A Source of Biologically Active Extracts and MetabolitesView all 7 articles
Cryptocarya alba (Peumo): an endemic Chilean tree with phytochemicals with bioactive potential
Provisionally accepted- 1SAPHYCHEM, Santiago, Chile
- 2Programa de Doctorado en Políticas Públicas, Universidad Mayor, Santiago, Chile
- 3Departamento de Ciencias del Ambiente, Facultad de Química y Biología, Universidad de Santiago de Chile, Santiago, Chile
- 4Centro de Investigación en Sociedad y Salud, Facultad de Ciencias Sociales y Artes, Universidad Mayor, Santiago, Chile
- 5Núcleo Milenio en Sociomedicina (SocioMed), Santiago, Chile
- 6Centro de Investigación en Ingeniería de Materiales, Universidad Central de Chile,, Santiago, Chile
- 7Facultad de Ciencias Sociales y Artes, Psicología, Universidad Mayor, Santiago, Chile
- 8Centro de Gerociencia para la Salud Cerebral y el Metabolismo, Santiago, Chile
Select one of your emails
You have multiple emails registered with Frontiers:
Notify me on publication
Please enter your email address:
If you already have an account, please login
You don't have a Frontiers account ? You can register here
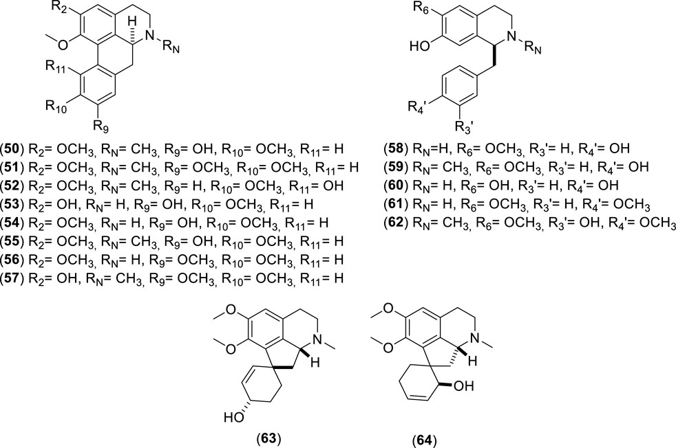
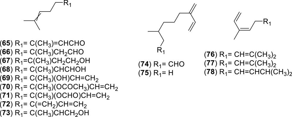
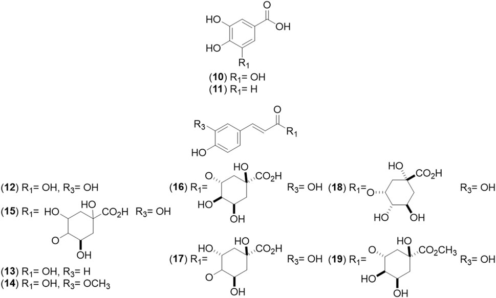
Background: Cryptocarya alba (Mol.) Looser [Lauraceae], known as peumo, is an endemic species of the central Chilean landscape. C. alba has an essential ecological role in the threatened sclerophyllous forest, with traditional uses of leaves, bark, and fruits, and the biotechnological and pharmacological potential of its phytochemicals. Purpose: The aim is to present the first comprehensive review of the current state of knowledge regarding traditional uses, ethnopharmacology, chemical composition, pharmacokinetic profile, and biological activities of C. alba. Methodology: Literature data on the traditional uses, ethnopharmacology, chemistry, and bioactivity of C. alba were primarily obtained from digital databases, including Scopus®, ScienceDirect®, SciFinder®, PubMed®, SciELO, and Google Scholar®, as well as from the scientific journal publishers' platforms associated with these databases. Results and discussion: Traditional uses include its role as a food source for prehistoric populations and ethnomedicinal applications for liver diseases, rheumatism, and infections. The aerial parts are rich in polyphenols, including chlorogenic acid, epicatechin, procyanidins, quercitrin, rutin, and hyperoside, as well as essential oils derived from the leaves. While it contains various alkaloids, only reticuline is present in significant amounts, contributing to the species' highly variable chemical composition. Studies evaluating the biological and pharmacological properties of its extracts and constituents are limited to a few in vitro and in vivo studies; to date, no preliminary or clinical studies are available. Conclusion: The review highlights the entire existing ethnographic and cultural context of C. alba, revealing a significant gap in information about the species." Although there is a strong historical component, it supports the bioactivity of its main secondary metabolites, given its chemical and pharmacological profile. Given the limited nature of current biological and pharmacological evaluation studies, future research should focus on advancing preclinical and clinical trials, as well as toxicology studies, to ensure the safe and effective use of this approach.
Keywords: Cryptocarya genus, Cryptocarya alba, Peumo, phytochemistry, Alkaloids, essential oils, phenolic compounds, Pharmacology
Received: 14 Jul 2025; Accepted: 12 Nov 2025.
Copyright: © 2025 Fuentes-Barros, Castro-Saavedra, Montalva, Mellado, Diaz-Valdés, Guerrero and Echeverria. This is an open-access article distributed under the terms of the Creative Commons Attribution License (CC BY). The use, distribution or reproduction in other forums is permitted, provided the original author(s) or licensor are credited and that the original publication in this journal is cited, in accordance with accepted academic practice. No use, distribution or reproduction is permitted which does not comply with these terms.
* Correspondence: Javier Echeverria, javier.echeverriam@usach.cl
Disclaimer: All claims expressed in this article are solely those of the authors and do not necessarily represent those of their affiliated organizations, or those of the publisher, the editors and the reviewers. Any product that may be evaluated in this article or claim that may be made by its manufacturer is not guaranteed or endorsed by the publisher.
