ORIGINAL RESEARCH article
Front. Pharmacol.
Sec. Neuropharmacology
Striatal M4 muscarinic receptors determine the biological rhythm of activity with a supportive role of M1 muscarinic receptors
Provisionally accepted- 1First Faculty of Medicine, Charles University, Prague, Czechia
- 2Akademie ved Ceske republiky, Prague, Czechia
Select one of your emails
You have multiple emails registered with Frontiers:
Notify me on publication
Please enter your email address:
If you already have an account, please login
You don't have a Frontiers account ? You can register here
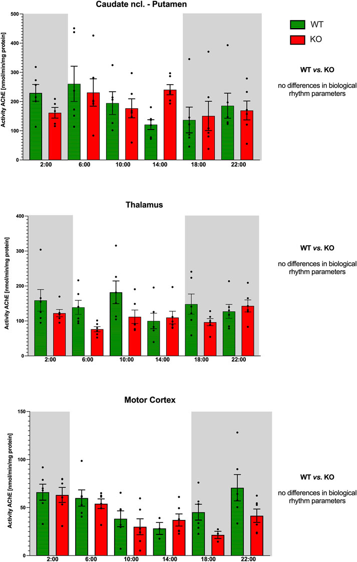
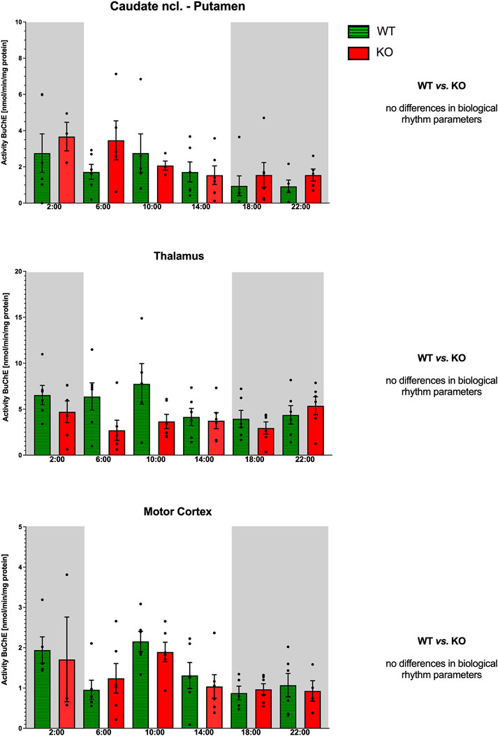
M4 muscarinic receptors (mAChRs) knockout changed the female activity biological rhythm parameters. Here, we focus on the biological rhythms of mAChRs (total + M1 mAChRs), acetylcholinesterase, and butyrylcholinesterase in M4 mAChR knockouts (M4KO) and wild-type mice (WT) in specific brain areas. Female mice were sacrificed every four hours, brains were removed, mAChRs were determined by autoradiography, and punching was used for the measurement of acetylcholinesterase and butyrylcholinesterase activity. The density of mAChRs was correlated with locomotor activity. Ultradian rhythm in total mAChRs was found in the suprachiasmatic nucleus (both M4KO and WT). M4KO had a positive correlation between the number of mAChRs and locomotor activity. This rhythm was changed to circadian in WT with a peak in the active phase, to circadian rhythm in M4KO with phase shifts to the inactive/active phase in the intergeniculate leaflet (positive correlation in KO), subparaventricular zone (negative correlation in WT), and posterior hypothalamic area (positive correlation in WT). The thalamus reveals circadian rhythms in WT and M4KO, with a peak in the active phase (no correlation). The striatum, i.e., caudate ncl.- putamen (decrease in M4KO, positive correlation both in WT and KO) and the motor cortex (no This is a provisional file, not the final typeset article correlation) showed circadian rhythms (peak in active phase). Caudate ncl.-putamen M1 mAChRs rhythm in WT was circadian, while M4KO animals revealed an ultradian rhythm. Cholinesterases revealed ultradian and circadian rhythms in different areas. We conclude that muscarinic receptor-directed biological rhythm of activity is determined in the striatum (caudate ncl.-putamen) as a key structure mainly by M4 mAChRs with a supportive role of M1 mAChRs.
Keywords: M1 muscarinic receptors, M4 muscarinic receptors, Cholinesterases, biologicalrhythm, Intergeniculate leaflet, Subparaventricular zone, Suprachiasmatic Nucleus
Received: 22 Aug 2025; Accepted: 05 Nov 2025.
Copyright: © 2025 Janisova, Uhlirova, Forczek and Myslivecek. This is an open-access article distributed under the terms of the Creative Commons Attribution License (CC BY). The use, distribution or reproduction in other forums is permitted, provided the original author(s) or licensor are credited and that the original publication in this journal is cited, in accordance with accepted academic practice. No use, distribution or reproduction is permitted which does not comply with these terms.
* Correspondence: Jaromir Myslivecek, jmys@lf1.cuni.cz
Disclaimer: All claims expressed in this article are solely those of the authors and do not necessarily represent those of their affiliated organizations, or those of the publisher, the editors and the reviewers. Any product that may be evaluated in this article or claim that may be made by its manufacturer is not guaranteed or endorsed by the publisher.
