CLINICAL TRIAL article
Front. Pharmacol.
Sec. Translational Pharmacology
This article is part of the Research TopicIntegrated PK/PD and Drug Metabolism Approaches in Drug Development and EvaluationView all 10 articles
Clinical trial on the pharmacokinetics, pharmacodynamics and safety of tolvaptan in healthy Chinese males: an open-label, single and multiple dosage, parallel group study
Provisionally accepted- 1Clinical Pharmacology Research Centre, Peking Union Medical College Hospital, Chinese Academy of Medical Sciences & Peking Union Medical College, Beijing, China
- 2Key Laboratory of Clinical Trial Research in Cardiovascular Drugs, Ministry of Health, Cardiovascular Institute and Fuwai Heart Hospital, Chinese Academy of Medical Sciences, Beijing, China
Select one of your emails
You have multiple emails registered with Frontiers:
Notify me on publication
Please enter your email address:
If you already have an account, please login
You don't have a Frontiers account ? You can register here
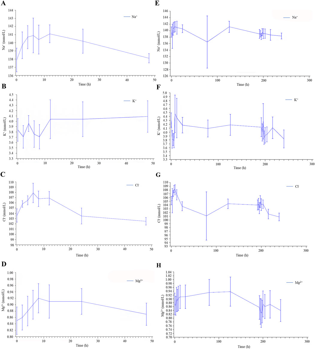
Background: To determine the pharmacokinetics (PK), pharmacodynamics (PD) and safety of tolvaptan in healthy Chinese males. Methods: Three separate clinical trials were carried out on healthy Chinese males aged 18 to 45 years. Fifty received a single dose of tolvaptan of 7.5, 15, 30, 60 and 120 mg. In addition, 36 received multiple doses of 7.5, 30 and 60 mg once a day for 7 days. The primary outcomes measured were the PK/PD parameters of 7.5 mg tolvaptan and its two metabolites (DM-4103, DM-4107). Secondary endpoints included serum electrolytes, urine volume and water intake, which were monitored as pharmacological indicators. The safety profile was also evaluated in detail. Results: After the administration of a single dose of tolvaptan, dose proportionality was observed for the area under the concentration-time curve (AUC) from 7.5 mg to 120 mg, but not for the maximum plasma concentration (Cmax). The mean (SD) Cmax from 7.5 mg to 120 mg were 69.8 (24.0), 102.0 (17.4), 245.5 (82.9), 323.9 (141.4), and 587.1 (364.0) ng/mL, respectively. Following multiple dose administration of 7.5, 30 and 60 mg tolvaptan once a day for 7 days, dose proportionality for the AUC was observed. The steady-state concentration was reached within 7 days of administration once a day. The accumulation ratios of AUCs were 1.23, 1.16 and 1.23 for the 7.5, 30 and 60 mg doses, respectively. Within the dosage range 7.5-120 mg, urine volume increased with dose after both single and multiple oral administrations of tolvaptan. No clinically significant changes in serum electrolytes (K+, Na+, Cl-, Mg2+) were detected following oral administration of 7.5 mg tolvaptan. The most common adverse events after single and multiple doses of 7.5 mg tolvaptan were thirst, dry mouth and pharyngeal discomfort, which were known and predictable effects of tolvaptan. Conclusion: Tolvaptan demonstrated good tolerability and efficacy after single doses up to 120 mg and multiple doses up to 60 mg per day for 7 days. Dose proportionality was observed for AUC from 7.5 mg to 120 mg, but not for Cmax. Similar PK profiles were observed between single and multiple doses with slight accumulation.
Keywords: Tolvaptan, pharmacokinetics, Pharmacodynamics, Safety, Urine volume
Received: 26 Sep 2025; Accepted: 10 Nov 2025.
Copyright: © 2025 Liu, Liu, Liu, Zheng, Zhong, Zhao, Jiang, Hu and Li. This is an open-access article distributed under the terms of the Creative Commons Attribution License (CC BY). The use, distribution or reproduction in other forums is permitted, provided the original author(s) or licensor are credited and that the original publication in this journal is cited, in accordance with accepted academic practice. No use, distribution or reproduction is permitted which does not comply with these terms.
* Correspondence: Yishi Li, liyishi202408@163.com
Disclaimer: All claims expressed in this article are solely those of the authors and do not necessarily represent those of their affiliated organizations, or those of the publisher, the editors and the reviewers. Any product that may be evaluated in this article or claim that may be made by its manufacturer is not guaranteed or endorsed by the publisher.
