Abstract
Several studies have highlighted associations between adverse life events and the dysphoric character of dream experiences. This degree of continuity between waking-life and dream content seems partly attributed to the emotional and personal attachment linked to the incorporated waking experiences. Numerous changes in the processing of emotion-related stimuli are also reported across different human developmental stages. Therefore, we were interested in testing whether age would modulate the impact of recent troubling experiences on dream characteristics. Two hundred sixty participants, evenly distributed in five developmental stages, matched for gender and their exposure to a troubling experience, were selected from a large sample collected for a previous normative study of dreams of Canadians. Participants completed a dream questionnaire from which independent judges subsequently scored the dreams. We observed no interactions between the experience of troubling events and age. However, individuals who experienced a recent troubling event reported a higher frequency of nightmares and their dreams were more emotionally negative. Participants who experienced a moderately severe troubling event were also more likely to experience a dream whose maximal threat severity was of moderate intensity. Adolescents and young adults had dreams with a higher level of oneiric threats compared to older adults (>40 years old). Young adults also reported a higher frequency of nightmares compared to older adults. Our findings have implications for modern dream theories. They also suggest that dysphoric dreams might serve as potential proxies of mental health status and developmental stages. Future studies are now needed to explore the implications of these findings for psychological adaptation.
Introduction
There is evidence for a certain degree of continuity between waking-life and dream content. It is postulated that dream features reflect waking-life experiences and/or that dreams impact psychological adaptation. The former concern dream formation theories and the latter dream function theories. Several specific proposals on how this occurs have been formulated and fall under the umbrella of what is best known as the continuity hypothesis (CH) of dreams [see an overview by (1)]. Research so far suggests that the reflection of waking life in dreams is mostly selective, distorted and that features, such as reading and writing (i.e., mundane tasks), very seldomly find their way into dreams (2). More specifically, continuity between dream content and waking life was observed within complex individual characteristics, such as personality (3, 4), physical health (5), social roles (6) and individual concerns (7, 8). It was also found that changes in psychological well-being are correlated with similar changes in emotional dream content (9) and significant life experiences such as pregnancy can be well represented with distortions in dreams (10). Schredl (11) has proposed a mathematical model of families of influencing factors and their interactions that mediate incorporation into dreams. Of overall interest is the observation that, once the proper physiological substrate and cognitive capacity are achieved, dream construction prioritizes emotional waking-life experiences and concerns with a negative bias (12, 13).
Along the same line, stressful life experiences have been shown to be preferentially incorporated into dreams (14, 15). There is strong evidence of this effect in those who have experienced a traumatic or severe adverse life event and subsequently suffered from post-traumatic nightmares (16, 17). Indeed, several studies have found a relationship between traumatic experiences during waking-life and the subsequent development of dysphoric dreams and chronic nightmares (18–21). Interestingly, current research examining the impact of the 2019 Coronavirus (COVID-19) has reported increased nightmares, anxiety, and threats in dreams (22–25). Mounting evidence supports the idea that personally and emotionally difficult waking experiences, which may vary in temporal proximity, can have a long-lasting impact on the everyday oneiric experience. For example, a history of severe childhood trauma in undergraduate women was associated with more frequent disturbing dreams, higher nightmare distress and augmented psychopathology (26). Similarly, a recent study reported that the dreams of war prisoners during World War II had long-lasting incorporations of war-related themes, threatening elements, and negative emotions (27). Adverse life events may thus be overrepresented in dreams because they continue to represent real-life concerns and are of personal significance (28). From a dream construction perspective, these two elements have been identified as factors that affect the degree of continuity between waking-life and dream content (28).
According to the Threat Simulation Theory (TST), dreaming is thought to have evolved as an adaptive mechanism to simulate oneiric threats drawn from waking-life experiences, and the repetition of these threats in dreams were thought to improve survival skills (29). Although the TST was proposed to explain the evolutionary function of dreaming in our previous human ancestors, the theory has been investigated in modern life and societies. For instance, those who have a more active threat simulation system (TSS), such as those who have endured a trauma, have been shown to report more severe dream threats (30). Other studies have also found that the frequency and severity of waking-life threatening events are associated with the severity and frequency of dream threats (31, 32). Additionally, pre-sleep negative emotions were shown to be associated with threats in dreams (31), suggesting that waking life emotional experiences influence the menacing characteristics of dreams. In sum, the CH and the TST offer an explanation for the incorporation of waking-life events into dreams. The TST goes further by postulating that dreams served an evolutionary biological function in ancestral times (33). This phylogenetic function is impossible to directly test in modern days, as recognized by the TST (33, 34). However, what can be tested is whether threatening dreams form following adverse life experiences.
Nightmares are defined as elaborated and highly dysphoric dreams whose content is threatening and accompanied by intense negative emotions (35). While several recent models of nightmare formation have been developed from a psychological (36) to a neurochemical (37) perspective, a predominant view of interest for the current study stems from the neurocognitive model of nightmares [NMN; (38)]. It proposes that nightmares result from a dysfunction in a network of affective processes that typically serve the adaptive function of fear-memory extinction during dreaming (38). Thus, “normal dreaming” would facilitate fear-memory extinction through memory-element activation (e.g., deconstruction of memories into isolated elements); memory-element recombination (e.g., new elements are combined with isolated memory-specific elements to be inconsistent with real memories and offer novelty for enhanced emotional processing); and emotional expression [e.g., attentional focus on dream imagery to downregulate negative emotional arousal; (38)]. The link between adverse life experiences and nightmares is thus explained by a disruption in these dream processes caused by the accumulation of stress and negative affect from these life events (i.e., high affective load). This would ultimately lead to more incorporation of distressing memories into dreams. The relationship between adverse life events and nightmares may also be modulated by age. For example, it was reported that early life exposure to negative adverse events is associated with later nightmares and dysphoric dream experiences (26, 39–41). Moreover, the frequency of nightmares also changes with age. The direction of this change remains, however, to be clarified, as some cross-sectional studies observed with advancing age an increase (39, 42), a decrease (43–46), or no changes (47) for the frequency of nightmares. Nevertheless, more studies seem to point in the direction of a general decline in nightmares frequency with advancement in age. Congruently, in a study investigating non-trauma exposed adults, it was shown that the younger the participants were, the higher were the frequency of dream threats (48). To date, our understanding of the potential age-related effects on dysphoric characteristics of dreams in those who experienced a negative adverse event is limited and has not been investigated in an ontogenetic manner.
Although there are no theories to explain these age-related differences, neurodevelopmental changes associated with brain maturation and aging may explain differences in perceptual processing and memory storage of negative stimuli. For instance, compared to older adults, adolescents demonstrate greater activity in areas of the brain responsible for processing emotions, specifically areas implicated in the fear response (e.g., amygdala), when viewing negative stimuli (49–51). These findings suggest that adolescents are more emotionally reactive to negative stimuli than older adults. Additionally, older adults demonstrate lower activation in these regions (52, 53) or a stronger coupled activation with prefrontal areas of the brain compared to younger adults when viewing negative stimuli (54), signifying better emotion regulation and less negative emotionality. Adolescents and young adults may demonstrate higher fear responses when viewing negative stimuli because their limbic structures, such as their amygdala, are more developed than prefrontal structures during this life stage, and thus functional connectivity between these regions in the brain are weaker, limiting the capacity for emotion regulation (55). These differences in fear responses when viewing negative stimuli are also associated with biases in memory retrieval. Indeed, younger adults are more likely to recall negative stimuli (56), while older adults are more likely to recall positive stimuli (57–59). Taken together, these findings suggest that neurodevelopmental processes may underlie age-related differences in experiencing threatening and dysphoric elements in dreams and nightmares. More specifically, adolescents and younger adults may be more likely to perceive situations or elements of their environment as more threatening and be more likely to recall these events, leading to higher incorporation of these memories into their dreams. Furthermore, some of their affective processes are limited, such as emotion regulation, due to brain immaturity in frontal regions, which may impede the facilitation of fear-extinction processes that naturally occur during “normal dreaming,” resulting in fear-enhancing dreams (i.e., nightmares).
Although associations have been found between adverse life events and the disturbing and threatening nature of dreams, it remains unclear if those who have experienced a common (e.g., a death, a separation, interpersonal difficulties, an accident) and recent (i.e., within the past year) troubling personal event would report more nightmares, have a higher level of threat and negative emotions in their dreams. Furthermore, the degree to which there is continuity between the severity of recent adverse events and the threat severity of dreams remains unclear in a community-based population. Finally, despite observations of age-related differences in negative dream characteristics, studies have yet to take a developmental approach.
The main objective of the current study was thus to investigate the potential interaction between age and the experience of a recent troubling event on the dysphoric characteristics of dreams. In terms of dream characteristics, we were interested in the frequency of nightmares, the “threatening tone” of dreams, and the level of positive and negative dream emotions. We selected these variables as they measure the dysphoric experience of dreams at the level of monthly occurrence, actual threatening content, and emotions, respectively. Finally, our last objective was to assess which relevant dream theory (i.e., CH, TST, NMN) would best explain our findings.
Hypotheses and Predictions
The CH (11) and TST (33) posit a certain degree of continuity between waking negative experiences and subsequent dream content. Thus, we predicted that, compared to participants who did not experience a recent troubling event, those who did will have more dysphoric dreams, which will manifest through a higher frequency of nightmares, higher level of oneiric threat, higher negative dream emotions and lower positive emotions. We also predicted that the severity of troubling events will be associated with the severity of dream threats: minor troubling experiences will be associated with minor oneiric threats, moderately troubling experiences will be associated with moderate oneiric threats, and severe troubling experiences will be associated with severe oneiric threats. It should be noted that, for the current study, the predictions drawn from the CH and TST cannot be differentiated.
The NMN (21, 38) proposes that the accumulation of stressful and negative emotional experiences (i.e., affect load) during wakefulness can entail the experience of disturbing dreams. Consequently, we predict that, compared to participants who did not experience a recent troubling event, those who did will have a higher frequency of nightmares and a higher level of negative emotions in their dreams. Of note, the NMN postulates that dreams regulate fear-related emotions by recombining fear-memories with non-fearful mnemonic elements into dreams. Therefore, we propose that this mechanism could be observed at the level of dream emotions, where the positive and negative emotions would tend toward a “relative” equilibrium in their intensities to regulate the impact of negative dream emotions. Thus, compared to individuals who did not experience a recent troubling event, those who did should have either a comparable or higher level of positive emotions in their dreams to match or outmatch their expected higher level of negative emotions. To the best of our knowledge, this prediction has never been tested before.
The neurodevelopmental paradigm highlights multiple changes in the perception and processing of emotion-related stimuli from adolescence to older ages (60–63), and the dream formation literature points to a link between waking-life and dream experiences (11, 33, 38). Moreover, age-related differences have been found in the frequency of nightmares (43–47) and oneiric threats (48). Collectively, these led to the prediction that adolescents and younger adults will report a higher frequency of nightmares and level of dream threats compared to middle-aged and older adults. This effect will be magnified in those who had a recent troubling experience.
Method
Participants and Protocol Overview
Two hundred sixty participants were selected from a large sample collected between 2004 and 2017 for a normative study of the dreams of Canadians (64, 65). Therefore, it was completed before the COVID 19 pandemic. Participants were between the ages of 12–90 years old (Mean = 38.0, SD = 21.3) and were devised into five age groups according to key developmental stages: adolescence (12–17 years old), early adulthood (18–24 years old), adulthood (25–39 years old), middle adulthood (40–64 years old), and late adulthood (65 years old and older). There were 52 participants who were matched for gender and exposure to a recent troubling experience within the past year in each age group (N = 260, men = 127; women 133; exposed = 129; non-exposed = 129). Of those who experienced a recent troubling event over the past year, most experiences were categorized as psychological, social, or economic adverse events (n = 79, 61%), followed by minor events (n = 32, 25%), deadly (n = 13, 10%), and physical (n = 5, 4%). All age groups included 52 participants who were matched for gender (men = 127; women = 133) and their exposure to a troubling experience within the past year (non-exposed = 131; exposed = 129). Chi-square tests confirmed that the proportion of gender (χ2(4) = 0.25, p = 0.99) and exposure to a troubling experience (χ2(4) = 3.45, p = 0.49) were similar across age groups. The study was approved by the Research Ethics Boards (REB) at the University of Ottawa.
Participants were recruited using the following approaches: through personal contacts at school boards, advertisements displayed at a Canadian university, advertisements on social media, at public presentations and conferences, at retiree associations, and word of mouth. All participants were unaware of the purposes of the study and provided written consent. After obtaining participant's consent, they were instructed to complete a dream questionnaire using pen and paper until at least two dreams were reported, for a maximum period of ten days. The dream questionnaire (DQ) included several sections, some of them described below are based on existing questionnaires, most notably on dream recall and nightmare frequency. No new validation procedure was applied. It was developed for the Normative Study of the dreams of Canadians that has led to several publications [see (64–66)]. The first section contained the consent form and instructions regarding how to fill out the questionnaire. The other sections contained sociodemographic questions and subsections about the characteristics of their dreams. The subsections of the questionnaire used in the current study are described below.
Measures
Sociodemographics and Troubling Events
The DQ included a sociodemographic questionnaire in which the participants were asked to provide a detailed account regarding general information about them (e.g., age, gender, marital status, profession, education). Participants also had to report whether they had experienced any troubling events (e.g., a death, a separation, interpersonal difficulties, an accident) over the past year and, if so, to describe them.
Frequency of Nightmares
Next, the questionnaire required the participants to self-report their monthly frequency of nightmares, similar to the one for dream recall frequency, by checking one of the following categories: Less than once a month, Approximately once a month, Approximately once every two weeks, Approximately once a week, Many times a week, and Almost every night. These categories were recoded from 1 (i.e., less than once a month) to 6 (i.e., almost every night) and were used to conceptualize the frequency of nightmares.
Dream Reports and Emotions
Following this, participants filled out the morning section of the DQ and describe the narrative of their dream as soon as they wake up in the morning. The mean word count of dream narratives was 145.18 (range: 50–531; SD = 84.68). After describing the dream, they were instructed to assess the degree of joy, happiness, apprehension, anger, sadness, confusion, fear and anxiety [the dream emotion categories used by Hall et al. (67)] experienced in their dream on a four-point Likert scale (1 = not at all, 2 = a little, 3 = moderate, 4 = a lot). Participants' ratings of their dream emotions were recoded to range between 0 and 3, such that the level “not at all” started with a value of “0” to denote the absence of emotional experience. Then, the ratings of apprehension, anger, sadness, fear, and anxiety were averaged to form a mean intensity measure of the dream's negative emotions. The ratings of joy and happiness were averaged to produce the mean level of the dream's positive emotions. Cronbach's alpha of the positive and negative emotion scores were 0.91, 0.67, respectively.
Dream Threat Scale and Threat Severity Scale
For evaluating participant's threats in dreams, the third section of the Dream Threat Scale was used (68), which relates to the severity of the threats for the self. As in previous studies (31, 32), the definitions of this subscale (Life-threatening event; socially, psychologically or financially severe threat; physically severe threat; and a minor threat) were used for the identification of threats in the DQ. The level of threat severity was further rated on a four-point scale (0 = not threatening, 1 = somewhat threatening, 2 = moderately threatening, 3 = highly threatening). This allowed the assessment of the dream threats severity regardless of its qualitative nature. A similar scale was used in a previous study investigating aggressions in dreams of soldiers, gamers, and control participants (69). Given the relationship between the frequency of dream components and the reports length (64, 65), the frequency of dream threats were divided by the word count for the purpose of the analyses. Moreover, the most severe dream threat was selected as the measure of threat severity. A global measure of the dream's “threatening tone” was computed by conducting a z-transformation of the threat severity and frequency scores. After this transformation, both scores were averaged to create a threats composite score with higher values reflecting more severe and frequent dream threats. Cronbach's alpha was 0.81 for the threat composite score.
Scoring Procedure of Threat Characteristics of Adverse Events and Dreams
All participant's dreams were coded for the presence of oneiric threats. The dreams were coded by two independent judges who received instructions on how to identify the threats in the reports and how to evaluate their severity. The judges were trained on reports from other sources before starting the scoring of the participant's dreams. The threatening components in dreams were considered as such on the basis that both judges had identified the same elements as menacing using the aforementioned definitions in the DTS. If both judges disagreed on the threatening nature of an event, the scoring of this event was discussed until they reached an agreement. The inter-rater reliability was evaluated for the level of threats severity using the intraclass correlation coefficient's (ICC) average measure parametrized for an absolute agreement definition. All ICC values ranged from 0.90 to 0.94, suggesting excellent reliability between the judge's scoring. The same procedure was undertaken for the scoring of the troubling events experienced within the past year. The ICC for the severity level of threats was 0.78, suggesting good reliability. Following the scoring phase, the first dream containing a minimum of 50 words and a maximum of 550 words was retained for analyses. Five participants (1.92%) were excluded from analyses as they reported dreams with an insufficient word count. Therefore, 255 participants were retained and included in the main analyses.
Data Analytical Plan
For the main analysis, a series of 2 (recent troubling event: yes or no) by 5 (age group: 12–17 years old; 18–24 years old; 25–39 years old; 40–64 years old; and 65 years or older) between-subjects ANOVAs were conducted to examine the relationship between experiences of recent troubling events and age on the threatening tone of dreams, frequency of nightmares, and emotional levels of dreams (positive and negative). Bonferroni adjustments were applied to post-hoc tests. To examine whether the severity of a recent troubling event is associated with severity of oneiric threats, a 3 by 3 (somewhat threatening, moderately threatening, and highly threatening) chi-square test of independence was conducted in those who experienced a recent troubling event and had dreams that contained threatening events. Only those with a threatening dream were included in this analysis as we were interested in whether the severity of troubling events during wakefulness was associated with the maximal severity of threatening events in dreams. This allowed us to test the degree of continuity between the severity of threatening experiences during wakefulness and dreaming. Bonferroni corrections were applied to post-hoc comparisons (0.05/3 = 0.0166). All statistical analyses were conducted using IBM SPSS v27 (SPSS, 2021) and figures were created using GraphPad Prism v9 (2021) for Windows.
For a between-subjects ANOVA with two factors, an a priori power analysis using G*Power (70) recommended a sample size of 223 participants for detecting a medium effect size with power of 0.70 and an alpha of 0.05, thus our goal was to reach this sample size. For a two-tailed 3 by 3 Chi-square test of independence, an a priori power analysis using G*Power (70) recommended a sample size of 108 participants for detecting a medium effect size with a power of 0.70 and an alpha of 0.05.
Results
Preliminary Analyses
Regarding data cleaning, missing data were not imputed; therefore, participants with missing data were omitted from certain ANOVA analyses (n = 4 excluded; three from the exposed group and one from the non-exposed group; N = 255 for the final sample). Some participants were missing data due to variations in questionnaire packages over the duration of the data collection period for the normative study and thus did not have the opportunity to self-report on all outcomes of interest in the current study. Univariate outliers were winsorized. There were no multivariate outliers. Assumptions for the 2 (recent troubling event) by 5 (age group) between-subjects ANOVAs for the main analyses for normality and homogeneity of variance were examined through scatterplots and tests of homogeneity of variance. The assumption for homogeneity of variance was met across all outcomes. There were minor violations of normality; however, transformations were not applied considering that analysis of variance tests are robust to non-normality (71), especially in cases where group variances are similar (72). Means and standard deviations for all outcomes of interest are displayed in Table 1.
Table 1
| Group | 12–17 AE | 12–17 No AE | 18–24 AE | 18–24 No AE | 25–39 AE | 25–39 No AE | 40–64 AE | 40–64 No AE | 65 + AE | 65+ No AE |
|---|---|---|---|---|---|---|---|---|---|---|
| Mean (SD) severity of AE | 2.31 (0.65) | – | 2.00 (0.82) | – | 2.25 (0.79) | – | 1.93 (0.98) | – | 2.10 (0.94) | – |
| Mean (SD) nightmare frequency | 2.10 (1.19) | 1.86 (1.00) | 2.62 (1.56) | 2.13 (1.00) | 2.13 (1.51) | 1.77 (1.14) | 1.48 (0.94) | 1.58 (0.99) | 1.69 (1.11) | 1.05 (0.23) |
| Mean (SD) positive emotions in dreams | 1.18 (1.23) | 1.02 (1.02) | 0.74 (0.96) | 0.78 (0.89) | 0.63 (0.77) | 0.90 (1.12) | 1.04 (1.04) | 0.60 (0.90) | 1.18 (1.17) | 0.74 (1.09) |
| Mean (SD) negative emotions in dreams | 1.11 (0.57) | 0.91 (0.64) | 1.23 (0.61) | 0.96 (0.65) | 0.91 (0.81) | 0.98 (0.80) | 0.91 (0.74) | 0.66 (0.68) | 0.94 (0.92) | 0.53 (0.60) |
| Mean (SD) threatening tone of dreams | 0.28 (0.91) | 0.64 (1.13) | 0.26 (0.85) | 0.21 (0.74) | 0.15 (0.79) | −0.14 (0.77) | −0.43 (0.84) | −0.30 (0.75) | −0.20 (0.83) | −0.47 (0.76) |
| Mean (SD) max severity of threats in dreams | 2.11 (0.76) | 2.29 (0.75) | 2.00 (0.91) | 1.92 (0.74) | 1.95 (0.89) | 1.88 (0.81) | 1.92 (0.86) | 1.47 (0.74) | 1.76 (0.83) | 2.00 (0.87) |
Descriptive statistics stratified by adverse event exposure within the past year (AE) and age group.
Main Analyses
Differences in the Threatening Tone of Dreams: Threats Composite Score
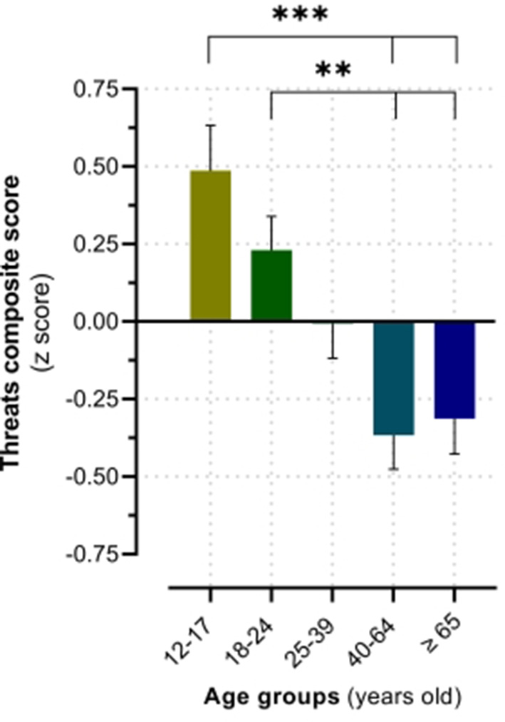
A 2 (recent troubling event) by 5 (age group) ANOVA demonstrated a non-significant main effect of recent troubling event, F(1, 245) = 0.55, p = 0.815, = 0.000, a significant main effect of age group, F(4, 245) = 8.94, p = <0.001, =0.127, and a non-significant interaction between recent troubling event and age group, F(4, 245) = 1.31, p = 0.269, = 0.021, for the composite score of oneiric threats. As shown in Figure 1, pairwise comparisons revealed that 12–17 year old's significantly had more severe and frequent oneiric threats compared those who were 40 years old or older (40–64 years old: p = <0.001; 65 years old or older: p = <0.001). Similarly, 18–24 year old's had significantly more severe and frequent oneiric threats compared those who were 40 years old or older (40–64 years old: p = 0.004; 65 years old or older: p = 0.009). No other age differences emerged.
Figure 1

Age group differences in the threatening tone of dreams. The values are expressed as means ± SEM, N = 255. **p < 0.01, ***p < 0.001.
Differences in Frequency of Nightmares
A 2 (recent troubling event) by 5 (age group) ANOVA demonstrated a significant main effect of recent troubling event, F(1, 240) = 4.74, p = 0.030, = 0.019, a significant main effect of age group, F(4, 240) = 5.66, p = <0.001, = 0.086, and a non-significant interaction between recent troubling event and age group, F(4, 240) = 0.67, p = 0.614, = 0.011, for the monthly frequency of nightmares. Pairwise comparisons revealed that those who experienced a recent troubling event reported a higher frequency of nightmares compared to those who did not (p = 0.030; see Figure 2A). Additionally, as depicted in Figures 2B, 18–24 year old's had significantly more nightmares compared to those who were 40 years old or older (40–64 years old: p = 0.005; 65 years old or older: p = 0.002). No other age differences emerged.
Figure 2

Group differences in the frequency of nightmares. (A). Main effect of the experience of troubling events over the past year. (B). Main effect of age. The values are expressed as means ± SEM, N = 250. *p < 0.05; **p < 0.01; ***p < 0.01.
Differences in Positive Dream Emotions
A 2 (recent troubling event) by 5 (age group) ANOVA demonstrated a non-significant main effect of recent troubling event, F(1, 243) = 1.22, p = 0.270, =0.005 (see Figure 3A), a non-significant main effect of age group, F(4, 243) = 1.00, p = 0.407, = 0.016, and a non-significant interaction between recent troubling event and age group, F(4, 243) = 1.12, p = 0.348, = 0.018, for positive emotions felt in dreams. Pairwise comparisons were not examined due to non-significant main effects.
Figure 3

Main effect of the experience of a recent troubling event on emotion levels in dreams. (A). Level of positive emotions. (B). Level of negative emotions. The values are expressed as means ± SEM, N = 253. *p < 0.05, ns = p > 0.05.
Differences in Negative Dream Emotions
A 2 (recent troubling event) by 5 (age group) ANOVA demonstrated a significant main effect of recent troubling event, F(1, 243) = 5.55, p = 0.019, = 0.022, a non-significant main effect of age group, F(4, 243) = 2.23, p = 0.067, = 0.035, and a non-significant interaction between recent troubling event and age group, F(4, 243) = 0.71, p = 0.588, = 0.011, for negative emotions experienced in dreams. Pairwise comparisons revealed that those who experienced a recent troubling event had a significantly higher level of negative emotions in their dreams than those who did not have a recent troubling experience, p = 0.046 (see Figure 3B).
Associations Between Severity of a Recent Troubling Event and Severity of Oneiric Threats
In those who recently experienced a troubling event and had a threatening dream (N = 125), a 3 (severity of troubling event) by 3 (severity of oneiric threat) chi-square test of independence was conducted to examine the association between severity of the event and maximal severity of threats in dreams. This analysis revealed that the severity of a recent troubling event and severity of threats in dreams are significantly associated, X2(4) = 11.09, p = 0.026. Post-hoc comparisons demonstrated that recently experiencing a moderately threatening event during waking was significantly associated with moderate severity for the maximal threat in dreams, p = 0.002 (see Figure 4).
Figure 4

Associations between the severity of a recent troubling event and severity of oneiric threats. The values are expressed as count. N = 125. **p < 0.01.
Discussion
In the context of recent dream formation theories, the objective of the current study was to examine whether common and recent adverse events were related to dysphoric dream characteristics. Given that the perception and processing of emotion-related stimuli undergo several changes from adolescence to older ages (60–63), we were also interested in examining whether age would modulate the influence of recent adverse experiences on subsequent dream characteristics. Aligned with our hypotheses, our results suggest that having a recent troubling experience is associated with reporting more nightmares monthly and experiencing a higher level of negative dream emotions. However, these adverse experiences were not related to the experience of dreams with a higher threatening tone. Additionally, we only observed a small degree of continuity between the severity of troubling events experienced within the last year and severity of threats in dreams, as this relationship was only present when the adverse event and dream threat were of moderate intensity. Furthermore, adolescents and younger adults had a higher level of threats in dreams compared to older age groups. Younger adults also self-reported a higher frequency of nightmares than adults older than 40 years old. Contrary to our hypotheses and predictions, no interactions between the experience of troubling personal events and age group were observed for any dream characteristic. The absence of significant interactions in the presence of both factors' significant main effects thus suggests a dissociation between these variables, which show specific and different impacts on the dreaming experience. Results are more thoroughly discussed and interpreted through the lens of three relevant modern dream theories in the following sections.
Effects of Recent Troubling Events on Dream Characteristics
The NMN (21, 38) postulates that a higher level of affect load during wakefulness could precipitate the occurrence of disturbing dreams. One could safely speculate that experiencing a troubling event within the previous year may manifest through dysphoric emotions and stress levels experienced in daily life. Thus, as predicted by the NMN, we observed that individuals who experienced a recent troubling event self-reported a higher frequency of nightmares compared to those who did not report such an experience. Although this result aligns with the literature on trauma and nightmares (16), our results add to the latter by showing that even the experience of common and recent troubling events can significantly increase the monthly frequency of nightmares in a community-based sample. Moreover, the NMN (38) proposes that dreams regulate fear-infused emotions by a recombination of fearful memories with non-fearful mnestic elements into dreams. Another contribution of our study was to show that, compared to individuals who did not report a recent experience of troubling event, those who did had a higher level of negative emotions with a similar level of positive ones (see Figure 3A). This mixture of emotional intensity could reflect an attempt to down-regulate negative emotions and memories through dreaming. Indeed, maintaining a “normal level” of positive emotions in the presence of an increased level of negative affects could dilute the latter within the global emotional tone of dreams, allowing their down-regulation as proposed by Perlis and Nielsen (73) and Menz et al. (74). Thus, our findings seem coherent and add to the literature on the NMN and the emotional regulation theory of dream (75).
Both the CH (11) and TST (33, 76) predict that the exposition to adverse life events would lead to more dysphoric characteristics in dreams, such as a higher frequency of nightmares, higher level of oneiric threats, and higher level of negative dream emotions. Thus, the increased frequency of nightmares and higher level of negative oneiric emotions in those who experienced a recent troubling event lends some support to both theories, but the fact that such afflicting events did not affect the threatening tone of dreams does not. Additionally, when specifically looking at dreams containing threats, the only significant associations was found for individuals having experienced a moderately severe troubling event who were more likely to experience a dream whose maximal threat severity was of moderate intensity. This suggests that, following moderately severe troubling events, the dream-production system would generate dreams with a symmetrical level of threat severity between waking and oneiric experiences. This is consistent with the TST proposing that the intensity of the oneiric threat simulations should be proportional to the magnitude of personal threat experienced during waking-life events (33). However, the fact that this association was only found for moderately, and not highly, severe troubling events does not completely align with the TST. Indeed, highly adverse experiences are postulated to be most relevant for the activation of the TSS, entailing more severe and persistent threatening dreams. This finding regarding the association between moderately threatening troubling events and moderately threatening oneiric threats also partly supports the CH due to the continuity between waking-life experiences and dream experiences. However, according to this theory, we would have expected to observe similar patterns for the other troubling events' severities, which was not the case. However, as proposed by the CH (11), the incorporation rate of waking-life experiences into dreams may depend on the time interval between both. Because the troubling event reported by our participants could have happened anytime within the last year preceding the dream report, this varying delay might have limited the degree of continuity between the waking-life troubling events and dream experiences in our study. Overall, the effects of recent troubling events on the distressing character of dream experiences seem best explained by the NMN, and offer mixed support for the TST and CH.
Effects of Age on Dream Characteristics
No theories of dreaming have specifically addressed the ontogenetic patterns of dream experiences. For this reason, our results regarding the effects of age on dream features will be interpreted in relation to previous relevant findings. Some evidence supports a progressive declining pattern of the disturbing character of dreams across life. For instance, a linear decrease from adolescence to older age was reported for the frequency of nightmares (45), which is consistent with a previous study comparing young and older adults (46). This is congruent with our findings such that young adults reported a higher frequency of nightmares compared to older adults (>40 years old). Furthermore, our group (64, 65) previously investigated the ontogenetic patterns of several components of dream content, such as the characters, interactions, activities, and emotions of both men and women. One consistent result was the significant decrease across the lifespan of the frequency of aggressive interactions in dreams. Similarly, a study found that younger participants reported a higher frequency of dream threats, although in their study few participants were older than 40 years old (n = 11) (18). Together, these findings suggest a possible decrease in the frequency of oneiric threats with advancing age. Consistent with this hypothesis, we observed that adolescents and young adults reported dreams containing a higher level of oneiric threats compared to older adults (>40 years old).
Collectively, our findings suggest that the disturbing character of dreams, at the occurrence- and content-level, seem to deplete with aging. One could nonetheless speculate that the reduction in dream recall observed with advancing age (77) might explain the lower frequency of nightmares of older adults. However, it would not explain the previous and current findings of the less threatening nature of dreams in the older age groups. As it was recently proposed that dream mentation could mirror neurocognitive development across the lifespan (78, 79), one could hypothesize that such developmental processes might influence the content of dreams at different levels. For example, numerous changes pertaining to the perception of emotions, emotional processing, and regulation are incurred with advancing age. These might result from changes in the trajectories of personality traits (80), structural and functional brain changes (55, 60, 63), and coping strategies (81, 82), to name a few. Future studies will thus be required to investigate whether these developmental changes in the processing of emotion-related stimuli might relate to the declining experience of dysphoric dreams with aging. Such inquiries can bring valuable insights to theories of dreaming, shedding light on the possible mechanisms underlying their formation and function.
Limitations and Future Directions
The main limitation of our study is the fact that the participants were not required to report the date of when the troubling experience took place in the preceding year. Therefore, it was not possible to control for the potential acute effect of the recency of the adverse experience on dream features. Future studies could thus specifically assess how the level of recency of troubling experiences progressively influences subsequent dreams' dysphoric nature and the temporal sources of these dreams (32). Additionally, we did not score the troubling events according to their nature. Instead, they were scored based on their severity as a threatening experience. Thus, we cannot determine whether the troubling events' nature could have modulated the effects observed in our study. Future studies should consider the nature of different common adverse life events and determine whether it influences the dysphoric characteristics of dreams. Another limitation is that we did not assess participant's personality traits, which may have influenced the perception of dream threats, their severity, and the negative affect elicited by them. Given that the experience of a troubling event was self-reported, individuals with a dispositional susceptibility to emotional reactivity and distress might have been more prone to report both a troubling life event and more distressing dreams (83). Indeed, it was previously shown that trait-like factors were associated with the frequency of nightmares (84, 85), oneiric threats (48) and the emotional tone (86) of dreams. Future research should incorporate questionnaires assessing personality traits and test their influence on the relationship between adverse life events and dreams. Finally, as we were interested in the potential interaction between age and the experience of a troubling personal event, and to maximize statistical power, we did not focus on the effect of gender on our results. Although previous research highlighted an impact of gender on dream characteristics (66, 87), we minimized this potential confounding effect by gender-matching our groups.
Conclusion
Our findings lend partial support to the CH and TST but seem to favor the NMN with respect to dream formation. One exciting result is the observation of a specific mixture of oneiric emotional intensities in individuals having experienced a troubling personal event within the past year. This mixture, composed of a heightened level of negative emotions with a “normal” level of positive emotions, could serve an adaptive emotion regulation function. Future studies should investigate whether such an emotional mixture in dreams would predict better outcomes for this population's following morning mood. Furthermore, our findings may have implications beyond the understanding of dream formation to the mental health and developmental fields. Indeed, we highlighted the impact of experiencing common and recent troubling events on oneiric negative emotions and the monthly occurrence of nightmares. The recurrence of nightmares can induce waking-life distress during the following day (3). However, some evidence suggests that lucid dreaming techniques might serve as a potential intervention to reduce nightmares' occurrence (88), representing a promising avenue for future studies aiming to treat nightmare disorders. We also validated emerging evidence suggesting a decline of the disturbing character of dream experiences accompanying the advancement in age. We propose that such decline could depict the well-detailed changes in the processing of emotion-related stimuli across the human lifespan. Future studies are thus needed to further explore the potential implications of these findings for psychological adaptation in the context of adverse life events and development.
Funding
This study was supported by a grant from the Social Sciences and Humanities Research Council of Canada.
Publisher's Note
All claims expressed in this article are solely those of the authors and do not necessarily represent those of their affiliated organizations, or those of the publisher, the editors and the reviewers. Any product that may be evaluated in this article, or claim that may be made by its manufacturer, is not guaranteed or endorsed by the publisher.
Statements
Data availability statement
The raw data supporting the conclusions of this article will be made available by the authors, without undue reservation.
Ethics statement
The studies involving human participants were reviewed and approved by the Ethics Committee of the University of Ottawa. Written informed consent to participate in this study was provided by the participants' legal guardian/next of kin.
Author contributions
AL, JD, KB, and HB all contributed to the conception and design of the study. AL, HB, and EC carried out the analyses of the dreams. HB wrote an Honors Thesis in French on the basis of part of this study and collated the data in preparation of the statistical analyses. KB, AL, and HB carried out the statistical analyses. AL, KB, and JD prepared the final manuscript. JD obtained the funding for the study and acted as mentor the work. All authors contributed to the article and approved the submitted version.
Conflict of interest
The authors declare that the research was conducted in the absence of any commercial or financial relationships that could be construed as a potential conflict of interest.
References
1.
Schredl M . Continuity hypothesis of dreaming. In: ValliKHossR editiors. Dreams: Understanding Biology, Psychology, And Culture.Santa Barbara: ABC-CLIO (2019). p. 88–94.
2.
Domhoff GW . The Emergence of Dreaming:Mind-Wandering, Embodied Simulation, and the Default Network. New York, NY: Oxford University Press (2018). p. 64–7.
3.
Busby K De Koninck J . Short-term effects of strategies for self-regulation on personality dimensions and dream content. Percept Mot Skills. (1980) 50:751–65. 10.2466/pms.1980.50.3.751
4.
Hartmann E Elkin R Garg M . Personality and dreaming: the dreams of people with very thick or very thin boundaries. Dreaming. (1991) 1:311–24. 10.1037/h0094342
5.
King DB DeCicco TL . The relationships between dream content and physical health, mood, and self-construal. Dreaming. (2007) 17:127–39. 10.1037/1053-0797.17.3.127
6.
Lortie-Lussier M Schwab C De Koninck J . Working mothers versus homemakers:Do dreams reflect the changing roles of women?Sex Roles. (1985) 12:1009–21. 10.1007/BF00288101
7.
Delorme MA Lortie-Lussier M De Koninck J . Stress and coping in the waking and dreaming states during an examination period. Dreaming. (2002) 12:171–83. 10.1023/A:1021128326940
8.
Halliday G . Examination dreams. Percept Mot Skills. (1993) 77:489–90. 10.2466/pms.1993.77.2.489
9.
Pesant N Zadra A . Dream content and psychological well-being: a longitudinal study of the continuity hypothesis. J Clin Psychol. (2006) 62:111–21. 10.1002/jclp.20212
10.
Sabourin C Robidoux R Pérusse A De Koninck J . Dream content in pregnancy and post-partum:Refined exploration of continuity between waking and dreaming. Dreaming. (2018) 28:122–39. 10.1037/drm0000070
11.
Schredl M . Continuity between waking and dreaming: a proposal for a mathematical model. Sleep and Hyp. (2003) 5:38–52.
12.
De Koninck J . Sleep, dreams and dreaming. In: EspieCAMorinCM editiors. The Oxford Handbook Of Sleep And Sleep Disorders. New York, NY: Oxford (2012). p. 150–71. 10.1093/oxfordhb/9780195376203.013.0009
13.
Domhoff W . The neurocognitive theory of dreaming. In: ValliKHossR editiors. Dreams: Understanding Biology, Psychology, and Culture. Santa Barbara: ABC-CLIO (2019). p. 95–9.
14.
Koulack D . Dreams and adaptation to contemporary stress. In: MoffittA.KramerM.HoffmannR. edition. The functions of dreaming. New York, NY: State University of New York Press (1993). p. 321–40.
15.
Picchioni D Goeltzenleucher B Green DN Convento MJ Crittenden R Hallgren M et al . Nightmares as a coping mechanism for stress. Dreaming. (2002) 12:155–69. 10.1023/A:1020118425588
16.
Mysliwiec V Brock MS Creamer JL O'Reilly BM Germain A Roth BJ . Trauma associated sleep disorder:a parasomnia induced by trauma. Sleep Med Rev. (2018) 37:94–104. 10.1016/j.smrv.2017.01.004
17.
Phelps AJ Forbes D Creamer M . Understanding posttraumatic nightmares: an empirical and conceptual review. Clin Psych Rev. (2008) 28:338–55. 10.1016/j.cpr.2007.06.001
18.
Duval M Zadra A . Frequency and content of dreams associated with trauma. Sleep Med Clin. (2010) 5:249–60. 10.1016/j.jsmc.2010.01.003
19.
Gieselmann A Ait M Michelle A Anne C Gorzka R Holzinger B et al . Aetiology and treatment of nightmare disorder : state of the art and future perspectives. J Sleep Res. (2019) 28:e12820. 10.1111/jsr.12820
20.
Hartmann E Hartmann E . Nightmare after trauma as paradigm for all dreams : a new approach to the nature and functions of dreaming nightmare. Psychiatry. (2016) 61:223–38. 10.1080/00332747.1998.11024834
21.
Levin R Nielsen TA . Disturbed dreaming, posttraumatic stress disorder, and affect distress:a review and neurocognitive model. Psychol Bull. (2007) 133:482–528. 10.1037/0033-2909.133.3.482
22.
Kilius E Abbas NH McKinnon L Samson DR . Pandemic nightmares:COVID-19 lockdown associated with increased aggression in female university students' dreams. Front Psychol. (2021) 12:644636. 10.3389/fpsyg.2021.644636
23.
Schredl M Bulkeley K . Dreaming and the COVID-19 pandemic: a survey in a US sample. Dreaming. (2020) 30:189–98. 10.1037/drm0000146
24.
Barrett D . Dreams about COVID-19 versus normative dreams: trends by gender. Dreaming. (2020) 30:216–21. 10.1037/drm0000149
25.
Fränkl E Scarpelli S Nadorff MR Bjorvatn B Bolstad CJ Chan NY et al . How our dreams changed during the COVID-19 pandemic: effects and correlates of dream recall frequency - a multinational study on 19,355 adults. Nat Sci Sleep. (2021) 13:1573–91. 10.2147/NSS.S324142
26.
Duval M Mcduff P Zadra A . Nightmare frequency, nightmare distress, and psychopathology in female victims of childhood mistreatment. J Nerv Ment Dis. (2013) 201:767–72. 10.1097/NMD.0b013e3182a214a1
27.
Bergman M Macgregor O Olkoniemi H Owczarski W Revonsuo A Valli K . The holocaust as a lifelong nightmare: posttraumatic symptoms and dream content in polish Auschwitz survivors 30 Years after World War II. Am J Psychol. (2020) 133:143–67. 10.5406/amerjpsyc.133.2.0143
28.
Malinowski J Horton CL . Evidence for the preferential incorporation of emotional waking-life experiences into dreams. Dreaming. (2014) 24:18–31. 10.1037/a0036017
29.
Revonsuo A . The reinterpretation of dreams: an evolutionary hypothesis of the function of dreaming. Behav Brain Sci. (2000) 23:877–901. 10.1017/S0140525X00004015
30.
Valli K Revonsuo A Pälkäs O Ismail KH Ali KJ Punamäki RL . The threat simulation theory of the evolutionary function of dreaming: evidence from dreams of traumatized children. Conscious Cogn. (2005) 14:188–218. 10.1016/S1053-8100(03)00019-9
31.
Bradshaw S Lafrenière A Amini R Lortie-lussier M De Koninck J . Threats in dreams, emotions and the severity of threatening experiences in waking. Int J Dream Res. (2016) 9:102–9. 10.11588/IJODR.2016.2.27214
32.
Lafrenière A Lortie-lussier M Dale A Robidoux R Koninck J De . Autobiographical memory sources of threats in dreams. Conscious Cogn. (2018) 58:124–35. 10.1016/j.concog.2017.10.017
33.
Valli K Revonsuo A . The threat simulation theory in light of recent empirical evidence: a review. Am J Psychol. (2009) 122:17–38. 10.2307/27784372
34.
Valli K Revonsuo A . Recurrent dreams: recurring threat simulations?Conscious Cogn. (2006) 15:464–9. 10.1016/j.concog.2005.05.001
35.
American Psychiatric Association . Diagnostic And Statistical Manual Of Mental Disorders5th ed. Arlington: American Psychiatric Association (2013). 10.1176/appi.books.9780890425596
36.
Hartmann E . The Nightmare: The Psychology And Biology Of Terrifying Dreams. HartmannE edition New York, NY: Basic Books (1984).
37.
Sikkis IG . The possible mechanism of the appearance of nightmares in post-traumatic stress disorder and approaches to their prevention. Neurochem J. (2019) 13:320–34. 10.1134/S1819712419030127
38.
Levin R Nielsen T . Nightmares, bad dreams, and emotion dysregulation: a review and new neurocognitive model of dreaming. Curr Dir Psychol Sci. (2009) 18:84–8. 10.1111/j.1467-8721.2009.01614.x
39.
Csóka S Simor P Szabó G Kopp MS Bódizs R . Early maternal separation, nightmares, and bad dreams: results from the hungarostudy epidemiological panel. Attach Hum Dev. (2011) 13:125–40. 10.1080/14616734.2011.553991
40.
Nielsen T Carr M Picard-Deland C Marquis LP Saint-Onge K Blanchette-Carrière C et al . Early childhood adversity associations with nightmare severity and sleep spindles. Sleep Med. (2019) 56:57–65. 10.1016/j.sleep.2019.03.004
41.
Nielsen T . The stress acceleration hypothesis of nightmares. Front Neurol. (2017) 8:201. 10.3389/fneur.2017.00201
42.
Sandman N Valli K Kronholm E Ollila HM Revonsuo A Laatikainen T et al . Nightmares: prevalence among the Finnish general adult population and war veterans during 1972-2007. Sleep. (2013) 36:1041–50. 10.5665/sleep.2806
43.
Schredl M . Nightmare frequency in a representative German sample. Intern J Dream Res. (2013) 6:565–70. 10.11588/ijodr.2013.2.11127
44.
Schredl M Lahl O Göritz AS . Nightmare frequency and femininity/masculinity. Percept Mot Skills. (2010) 111:60–4. 10.2466/02.09.PMS.111.4.60-64
45.
Nielsen TA Stenstrom P Levin R . Nightmare frequency as a function of age, gender, and September 11, 2001: findings from an internet questionnaire. Dreaming. (2006) 16:145–58. 10.1037/1053-0797.16.3.145
46.
Salvio M Wood JM Eichling PS Schwartz J . Nightmare prevalence in the healthy elderly. Psychol Aging. (1992) 7:324–3255. 10.1037/0882-7974.7.2.324
47.
Schredl M . Nightmare frequency and nightmare topics in a representative German sample. Eur Arch Psychiatry Clin Neurosci. (2010) 260:565–70. 10.1007/s00406-010-0112-3
48.
Mathes J Schredl M . Threats in dreams: are they related to waking- life?Int J Dream Res. (2016) 9:58–66. 10.11588/ijodr.2016.1.27499
49.
Ernst M Nelson EE Jazbec S Mcclure EB Monk CS Leibenluft E et al . Amygdala and nucleus accumbens in responses to receipt and omission of gains in adults and adolescents. Neuroimage. (2005) 25:1279–91. 10.1016/j.neuroimage.2004.12.038
50.
Guyer AE Monk CS Mcclure-tone EB Nelson EE Roberson-nay R Adler AD et al . Developmental examination of amygdala response to facial expressions. J Cogn Neurosci. (2008) 20:1565–82. 10.1162/jocn.2008.20114
51.
Monk CS Mcclure EB Nelson EE Zarahn E Bilder RM Leibenluft E et al . Adolescent immaturity in attention-related brain engagement to emotional facial expressions. Neuroimage. (2003) 20:420–8. 10.1016/S1053-8119(03)00355-0
52.
Mather M Canli T English T Whitfield S Wais P Ochsner K et al . Amygdala responses to emotionally valenced stimuli in older and younger adults. Psychol Sci. (2004) 15:259–63. 10.1111/j.0956-7976.2004.00662.x
53.
Reed AE Carstensen LL . The theory behind the age-related positivity effect. Front Psychol. (2012) 3:339. 10.3389/fpsyg.2012.00339
54.
Jacques PS Dolcos F Cabeza R . Effects of aging on functional connectivity of the amygdala during negative evaluation: a network analysis of fMRI data. Neurobiol Aging. (2010) 31:315–27. 10.1016/j.neurobiolaging.2008.03.012
55.
Somerville LH Jones RM Casey B . A time of change:Behavioral and neural correlates of adolescent sensitivity to appetitive and aversive environmental cues. Brain Cogn. (2010) 72:124–33. 10.1016/j.bandc.2009.07.003
56.
Kensinger EA Garoff-eaton RJ Schacter DL . Effects of emotion on memory specificity in young and older adults. J Gerontol Psychol Sci. (2007) 62:208–15. 10.1093/geronb/62.4.P208
57.
Emery L Hess TM . Viewing instructions impact emotional memory differently in older and young adults. Am Psychol Assoc. (2008) 23:2–12. 10.1037/0882-7974.23.1.2
58.
Kensinger EA Schacter DL . Memory and emotion. In: LewisMHaviland-JonesJMBarrettLF editors. Handbook of Emotions. New York, NY: The Guilford Press (2008). p. 601–17.
59.
Ziaei M Fischer H . Emotion and aging: the impact of emotion on attention, memory, and face recognition in late adulthood. In: AbsherJRCloutierJ editors. Neuroimaging Personality, Social Cognition, And Character. Elsevier Academic Press (2016). p. 259–78. 10.1016/B978-0-12-800935-2.00013-0
60.
Casey BJ . Beyond simple models of self-control to circuit-based accounts of adolescent behavior. Annu Rev Psychol. (2015) 66:295–319. 10.1146/annurev-psych-010814-015156
61.
Casey BJ Heller AS Gee DG Cohen AO . Development of the emotional brain. Neurosci Lett. (2019) 693:29–34. 10.1016/j.neulet.2017.11.055
62.
Mather M . The affective neuroscience of aging. Annu Rev Psychol. (2016) 67:213–38. 10.1146/annurev-psych-122414-033540
63.
Martin RE Ochsner KN . The neuroscience of emotion regulation development:Implications for education. Curr Opin Behav Sci. (2017) 10:142–8. 10.1016/j.cobeha.2016.06.006
64.
Dale A Lafrenière A Koninck J De . Dream content of Canadian males from adolescence to old age:An exploration of ontogenetic patterns. Conscious Cogn. (2017) 49:145–56. 10.16/j.concog.2017.01.008
65.
Dale A Lortie-Lussier M Koninck J De . Ontogenetic patterns in the dreams of women across the lifespan. Conscious Cogn. (2015) 37:214–24. 10.16/j.concog.2015.09.008
66.
Dale A Lortie-Lussier M Wong C De Koninck J . Dreams of Canadian students:Norms, gender differences, and comparison with American norms. J Cross Cult Psychol. (2016) 47:941–55. 10.1177/0022022116655788
67.
Hall CS Van De Castle RL . The Content Analysis Of Dreams. New York: Appleton-Century-Crofts. (1966).
68.
Revonsuo A Valli K . Dreaming and consciousness: Testing the threat simulation theory of the function of dreaming. Psyche. (2000) 6:8.
69.
Dale A Murkar A Miller N Black J . Comparing the effects of real versus simulated violence on dream imagery. Cyberpsychol Behav Soc Netw. (2014) 17:536–41. 10.1089/cyber.2013.0494
70.
Faul F Erdfelder E Lang A-G Buchner A . G*Power 3: a flexible statistical power analysis program for the social, behavioral, and biomedical sciences. Behav Res Methods. (2007) 39:175–91. 10.3758/BF03193146
71.
Blanca MJ Alarcon R Arnau J Bono R Bendayan R . Non-normal data: is ANOVA still a valid option?Psicotherma. (2017) 29:552–7. 10.7334/psicothema2016.383
72.
Kirk RE . Experimental Design: Procedures for the Behavioral Sciences4th ed. Thousand Oaks: Sage Publications (2013). 10.4135/9781483384733
73.
Perlis ML Nielsen TA . Mood regulation, dreaming and nightmares: evaluation of a desensitization function for REM sleep. Dreaming. (1993) 3:243–57. 10.1037/h0094383
74.
Menz MM Rihm JS Buchel C . REM sleep is causal to successful consolidation of dangerous and safety stimuli and reduces return of fear after extinction. J Neurosci. (2016) 36:2148–60. 10.1523/JNEUROSCI.3083-15.2016
75.
Malinowski JE Horton CL . Emotion regulation in dreaming. In: VallKHossR editiors. Dreams: Understanding Biology, Psychology, and Culture. Santa Barbara: ABC-CLIO (2019). p. 105–12.
76.
Revonsuo A Valli K . How to test the threat-simulation theory. Conscious Cogn. (2008) 17:1292–6. 10.1016/j.concog.2008.01.007
77.
Nielsen T . Variations in dream recall frequency and dream theme diversity by age and sex. Front Neurol. (2012) 3:106. 10.3389/fneur.2012.00106
78.
Mangiaruga A . Spotlight on dream recall : the ages of dreams. Nat Sci Sleep. (2018) 10:1. 10.2147/NSS.S135762
79.
Scarpelli S Bartolacci C D'Atri A Gorgoni M De Gennaro L . Mental sleep activity and disturbing dreams in the lifespan. Int J Environ Res Public Health. (2019) 16:3658. 10.3390/ijerph16193658
80.
Costa PT Mccrae RR Corinna EL . Personality across the life span. Annu Rev Psychol. (2019) 70:423–48. 10.1146/annurev-psych-010418-103244
81.
Amirkhan J Auyeung B . Coping with stress across the lifespan: absolute vs. relative changes in strategy. J Appl Dev. (2007) 28:298–317. 10.1016/j.appdev.2007.04.002
82.
Isaacowitz DM Livingstone KM Castro VL . Aging and emotions:experience, regulation, and perception. Curr Opin Psychol. (2017) 17:79–83. 10.1016/j.copsyc.2017.06.013
83.
Nielsen T Levin R . Nightmares: a new neurocognitive model. Sleep Med. (2007) 11:295–310. 10.1016/j.smrv.2007.03.004
84.
Schredl M Goeritz AS . Nightmare frequency and nightmare distress: socio-demographic and personality factors. Sleep Sci. (2019) 12:178–84. 10.5935/1984-0063.20190080
85.
Schredl M Goritz AS . Stability of nightmare frequency and its relation to neuroticism: a longitudinal study. J Sleep Res. (2020) 30:e13126. 10.1111/jsr.13126
86.
Samson-Daoust E Julien SH Beaulieu-Prévost D Zadra A . Predicting the affective tone of everyday dreams: a prospective study of state and trait variables. Sci Rep. (2019) 9:14780. 10.1038/s41598-019-50859-w
87.
Schredl M Reinhard I . Gender differences in nightmare frequency: a meta-analysis. Sleep Med Rev. (2011) 15:115–21. 10.1016/j.smrv.2010.06.002
88.
de Macêdo TCF Ferreira GH de Almondes KM Kirov R Mota-Rolim SA . My dream, my rules:can lucid dreaming treat nightmares?Front Psych. (2019) 10:2618. 10.3389/fpsyg.2019.02618
Summary
Keywords
dreams, troubling experiences, nightmares, emotions, dream formation, neurocognitive model of nightmares, threat simulation theory, continuity hypothesis
Citation
Barbeau K, Lafrenière A, Ben Massaoud H, Campbell E and De Koninck J (2022) Dissociated Effects of Age and Recent Troubling Experiences on Nightmares, Threats and Negative Emotions in Dreams. Front. Psychiatry 13:770380. doi: 10.3389/fpsyt.2022.770380
Received
03 September 2021
Accepted
18 January 2022
Published
03 March 2022
Volume
13 - 2022
Edited by
Seog Ju Kim, Sungkyunkwan University, South Korea
Reviewed by
Michael Schredl, University of Heidelberg, Germany; Sérgio Arthuro Mota-Rolim, Federal University of Rio Grande do Norte, Brazil
Updates
Copyright
© 2022 Barbeau, Lafrenière, Ben Massaoud, Campbell and De Koninck.
This is an open-access article distributed under the terms of the Creative Commons Attribution License (CC BY). The use, distribution or reproduction in other forums is permitted, provided the original author(s) and the copyright owner(s) are credited and that the original publication in this journal is cited, in accordance with accepted academic practice. No use, distribution or reproduction is permitted which does not comply with these terms.
*Correspondence: Joseph De Koninck jdekonin@uottawa.ca
†These authors share first authorship
‡These authors share senior authorship
This article was submitted to Sleep Disorders, a section of the journal Frontiers in Psychiatry
Disclaimer
All claims expressed in this article are solely those of the authors and do not necessarily represent those of their affiliated organizations, or those of the publisher, the editors and the reviewers. Any product that may be evaluated in this article or claim that may be made by its manufacturer is not guaranteed or endorsed by the publisher.