ORIGINAL RESEARCH article
Front. Quantum Sci. Technol.
Sec. Quantum Engineering
This article is part of the Research TopicAdvanced Material Design and Post-Treatment Techniques for Enhancing Color Centers in Quantum TechnologiesView all 3 articles
Optimizing Ensemble NV-Spin Properties of Fluorescent Diamond Microparticles by Systematic Low Pressure High Temperature Annealing
Provisionally accepted- 1Adamas Nanotechnologies, Inc., Raleigh, United States
- 2NC State University, Raleigh, United States
- 3Department of Chemistry, North Carolina State University, Raleigh, United States
Select one of your emails
You have multiple emails registered with Frontiers:
Notify me on publication
Please enter your email address:
If you already have an account, please login
You don't have a Frontiers account ? You can register here
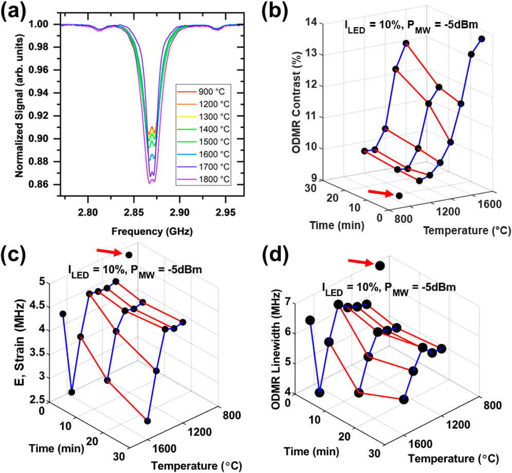
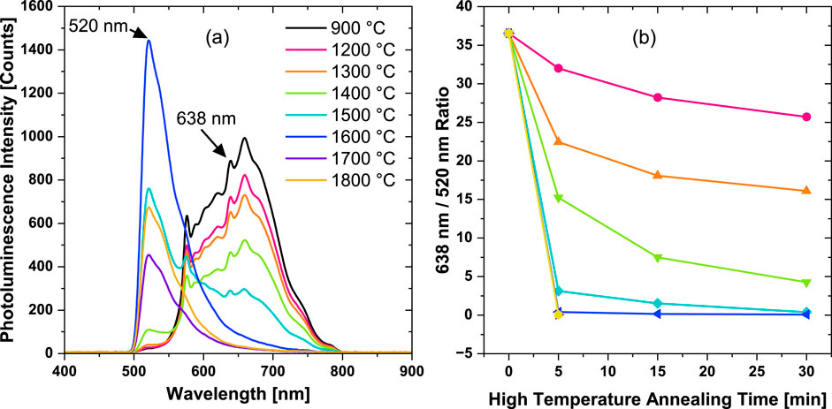
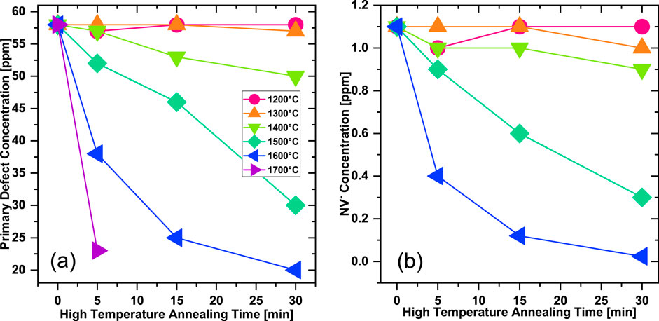
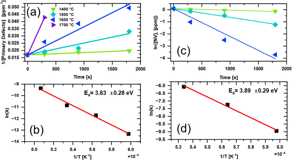
Low pressure high temperature annealing is a means for driving nitrogen and defect diffusion in diamond to reduce internal lattice damage without the need for technically complicated high-pressure cells. Herein, we perform a systematic time (5, 15, and 30 min) and temperature (1200 – 1800 °C) study of effects of low-pressure high temperature annealing on photoluminescence, spin concentrations, and spin relaxation properties of NV centers in ca. 3 µm synthetic type 1b diamond particles. Annealing in the temperature range of ca. 1400 -1700 °C for even 5 min leads to a higher optically detected magnetic resonance contrast as compared to standard annealing at 900 °C for 2 h. Particles annealed at 1700 °C for 5 min exhibit a contrast close to about 13% as compared to about 9% for those annealed at 900 °C for 2 h. A reduction in the zero-field splitting strain parameter from E≈ 4.5 MHz to ≈ 2.5 MHz and spectral linewidth from Δ𝜈 ≈ 7 MHz to ≈ 4 MHz are observed even after 5 min annealing at 1700 °C. Improvements in these spectral parameters resulted in a roughly 2-fold reduction in the noise level of temperature monitoring experiment utilizing an ensemble of NV centers in the particles. Annealing in the temperature range of 1600 °C for 15 or 30 min or 1700 °C for 5 min resulted in NV T1 relaxation times approaching ca. 5 ms typically observed for bulk diamond. Quantitative electron paramagnetic resonance (EPR) allowed for estimations of thermal activation energies of paramagnetic center annihilation. Monitoring the primary defect concentration (P1 and other defects with half integer spins) and utilizing second order kinetic modeling, an activation energy of 3.63 ± 0.28 eV was estimated. Alternatively, using the NV half field EPR signal and first order kinetic modeling, a similar activation energy 3.89 ± 0.29 eV was estimated.
Keywords: Photoluminescence, Optically Detected Magnetic Resonance (ODMR), electron paramagnetic resonance (EPR), NV centers, High temperature annealing, Quantum sensing, Spin relaxation, Diamond particles
Received: 19 Sep 2025; Accepted: 06 Nov 2025.
Copyright: © 2025 Nunn, Marek, Torelli, Smirnov and Shenderova. This is an open-access article distributed under the terms of the Creative Commons Attribution License (CC BY). The use, distribution or reproduction in other forums is permitted, provided the original author(s) or licensor are credited and that the original publication in this journal is cited, in accordance with accepted academic practice. No use, distribution or reproduction is permitted which does not comply with these terms.
* Correspondence:
Nicholas Nunn, nnunn@adamasnano.com
Olga A. Shenderova, oshenderova@adamasnano.com
Disclaimer: All claims expressed in this article are solely those of the authors and do not necessarily represent those of their affiliated organizations, or those of the publisher, the editors and the reviewers. Any product that may be evaluated in this article or claim that may be made by its manufacturer is not guaranteed or endorsed by the publisher.
