- 1Agroecology Program, Department of Agricultural Sciences, Universidad de Antioquia, Medellín, Colombia
- 2Global Program Genetic Resources, International Potato Center, Lima, Peru
- 3Agricultural Genetics Institute, International Center for Tropical Agriculture, Hanoi, Vietnam
- 4Grupo Yanapai, Concepción, Junín, Peru
Farmer seed systems are considered pivotal to adaptation to climate change and the on-farm conservation of agrobiodiversity in centers of crop origin. To better understand their distinct role, we conducted a multipronged analysis of potato seed exchange networks in Peru's central Andes distinguishing between cultivar groups and farmer types following cropping seasons with and without acute stress. Cultivar groups involved (i) bred varieties, (ii) commercial floury landraces, (iii) non-commercial floury landraces (single cultivars), (iv) non-commercial floury landraces (mixed cultivars), and (v) bitter landraces. Farmer types involved (i) general farmers, (ii) seed specialists, and (iii) custodian farmers. Documentation of seed acquisition and provision without differentiating between farmers and cultivar groups may not accurately reflect the fine-grained dynamics underlying seed networks. To test this, a semi-structured survey of 336 households was conducted in 2014–2015 to study seed procurement in two research sites. Results confirm that seed networks are uneven and distinct for cultivar groups and farmer types. Commercial floury landraces and bred varieties were dominant when it came to frequency of transactions, volumes and overall availability. Bitter landraces represent an extreme opposite case, being procured infrequently. Non-commercial floury landraces represent an intermediate case as they are regularly procured in comparatively small volumes. The influence of general farmers and traders within seed networks is essential for overall seed access. The role of specialists and custodians is less omnipresent; yet, both fulfill a unique role. Specialists as providers of large volumes of certified seed of commercial floury landraces and bred varieties. Custodians as a source of diverse non-commercial floury landraces. Seed networks did re-organize following seasons with acute seed stress. A notable shift involved a contraction of seed networks within sub-regional clusters. Following stress, the directionality of seed provision vs. acquisition inverted. While average seed volumes acquired per transaction nearly halved, farmers' net seed acquisitions surpassed provisions in response to stress. We suggest that the self-regulatory capacity of farmer seed networks represents a strong safety net through which smallholders can respond to crop failure and seed stress. Seed system interventions aimed at genetic resources conservation or relief should build on these seed networks.
Introduction
Farmer seed systems across the developing world are recognized as pivotal to food security, nutrition, crop genetic diversity, and resilience in the face of climate change (Badstue et al., 2007; Bellon et al., 2011; McGuire and Sperling, 2016). Their dynamics involves activities and institutions along a seed supply cycle consisting of production, management, selection, storage and distribution (Almekinders and Louwaars, 1999; De Haan and Thiele, 2004). The pervasiveness of farmer seed systems outside formal or institutionalized regulation through informal seed exchange networks not only contrasts with the overall challenges of seed certification programs but also highlights some key strengths sustaining these systems. These frequently include their decentralized nature, accessibility, efficient varietal dissemination, genetic diversity, and commonly acceptable seed quality (Thiele, 1999; Jones et al., 2001; Coomes et al., 2015).
Drivers underlying seed renewal include crop failure, seed degeneration and varietal change (Scheidegger et al., 1988; Bentley and Vasques, 1998; Kansiime and Mastenbroek, 2016). Although seed production, initial selection, storage and distribution up till the farm gate are generally farmer-managed, the informal seed system involves other actors and institutions as well (Brush et al., 1981; Zimmerer, 1991). Different types of brokers, markets, networks and exchange mechanisms partake in seed trade. These, in turn, are a response to different socioeconomic and regulatory environments (Almekinders, 2000; Almekinders and Louette, 2000; Sperling et al., 2013). Social network analysis provides a unique lens to study seed exchange and has been widely used recently to understand gender inequalities (Tatlonghari et al., 2012; Wencélius et al., 2016), crop species distribution (Zimmerer, 2003; Abizaid et al., 2016), resilience to stress (Violon et al., 2016), genetic diversity (Poudel et al., 2015), and epidemiological risk (Andersen et al., 2017; Buddenhagen et al., 2017), among other aspects of seed flows.
The application of social network analysis is particularly relevant and useful to the study of the seed exchange dynamics underlying crop landrace and genetic diversity (Delêtre et al., 2011; Bonnave et al., 2016; Labeyrie et al., 2016). However, in-depth investigations of farmer seed systems through social network approaches have largely remained constrained to the village-level and only partially addressed distinct farmer types and cultivar groups involved (Abay et al., 2011; Ricciardi, 2015). Others have geographically broadened the scale of seed system analysis but still focus on seed procurement at the crop species level (Hirpa et al., 2010). In centers of crop origin, documentation of seed exchange dynamics by distinguishing between farmer types and cultivar groups can potentially leverage our understanding of the differential mechanisms that underpin the use of intraspecific diversity. There is a knowledge gap as to how seed networks in the high Andes differ following seasons with and without seed insecurity. It is largely unknown whether networks and responses are dissimilar for the types of farmers and cultivar groups that characterize them. This study directly addresses this gap through a multipronged, in-depth analysis of potato seed exchange networks in Peru's central Andes following cropping seasons with and without acute stress.
In the Andes the potato is the backbone of smallholder diets, culture, and economies (Brush et al., 1981; Devaux et al., 2010). Genetically, the vegetatively propagated potato maintains its identity from one generation to the next as a clone. Since the late 1970s, concerns about seed quality and crop productivity have led to increased research and development in smallholder-managed potato seed systems (Scheidegger et al., 1988; Prain, 1990; Thiele, 1999). Nevertheless, the participation of formally certified potato seed of registered varieties is estimated to represent less than 0.5% of Peru's annual seed volume (Mateus-Rodriguez et al., 2013). This is mainly related to the technological and institutional challenges of making formal seed tuber production an economically viable business and the consequent high cost of certified planting materials. However, there are other reasons. For example, most landraces are not formally registered and can therefore not be certified as seed. The importance of farmer seed systems is thus very significant for potato in Peru as landrace diversity is high (De Haan and Rodriguez, 2016).
The notion that farmer seed is of inferior quality has to a certain extent been overcome in Andean countries through its recognition in national legislations and quality declared certification schemes (FAO, 2006; Jalil et al., 2012; INIA, 2015). The boundaries between so-called informal and formal systems is overall highly permeable. For example, formal seed producers may only certify a relatively small part of their total production area yet apply similar management practices overall. Or small initial volumes of certified seed of newly released potato varieties can be rapidly diffused through farmer seed systems (Scheidegger and Prain, 2000; Camacho-Henriquez et al., 2015). While quality standards for certified potato seed are stipulated in formal regulations, farmer seed systems commonly involve locally recognized quality parameters for seed selection (Urrea-Hernandez et al., 2016). In addition, trust is an important aspect underpinning the acquisition of seed. It can be based on kinship, community relations or experience (Delêtre et al., 2011; Kawa et al., 2013; Pautasso et al., 2013).
Farmer seed systems sustain the management, reproduction and conservation of landraces in centers of crop origin (Carney, 1980; Louette et al., 1997; Zimmerer, 2003; Fuentes et al., 2012). The varietal diversity of potato in Peru is very large with an estimated 2,800–3,300 landraces nationally (De Haan and Rodriguez, 2016). In addition, more than 90 bred varieties have been released since the launch of Peru's first bred variety Renacimiento in 1952. Five broadly defined cultivar groups can be differentiated: (i) bred varieties, (ii) commercial floury landraces, (iii) non-commercial floury landraces grown as single cultivars, (iv) non-commercial floury landraces grown as mixed cultivars, and (v) bitter landraces. Seed of bred varieties and commercial floury landraces are managed through both formal and farmer seed systems. These two cultivar groups represent less than 3% of the total varietal diversity managed on-farm by Peruvian smallholder farmers. Most of the varietal diversity pertains to non-commercial landraces, either single landraces, mixed lots (chalo, chaqru or waychuy in Quechua), or bitter landraces. These three categories are exclusively reproduced as part of farmer seed systems (De Haan and Thiele, 2004; De Haan, 2009).
Potato seed production in the Andes typically involves different types of actors in the formal and informal sectors (Cromwell, 1990; Prain, 1990; Thiele, 1999; Iriarte et al., 2000). Specialized farmers, government, private enterprise, and non-governmental organizations commonly play key roles in the formal system, specifically in the development of new varieties, their dissemination, reproduction of clean seed tubers following quality standards and control mechanisms, and certification (Bentley and Vasques, 1998; Kromann et al., 2016; Orrego and Andrade-Piedra, 2016). The informal sector commonly involves farmers, transporters and traders. Most farmers in the Andes manage and reproduce potato outside of the formal supply chain. While farmers may operate in and link to both formal and informal systems, there are noteworthy distinctions among them. Basically, when it comes to seed, three types of farmers can be distinguished: seed specialists, custodians, and general farmers.
Seed specialists are engaged in the formal system through seed production of bred varieties and commercial floury landraces. They multiply and distribute certified seed following defined quality standards, but also may supply non-certified seed of some potato cultivars. Diversity among seed specialists typically does not exceed five cultivars, a combination of bred varieties and commercial floury landraces. Custodian farmers, on the other hand, are renowned for managing high levels of diversity (Gruberg et al., 2013; Sthapit et al., 2013). They typically grow numerous varieties, including commercial floury landraces, non-commercial floury landraces, and bitter landraces (Fonseca et al., 2014; Pando Gomez et al., 2015). Custodian farmers frequently manage diversity in mixed lots (chaqru) but also grow single landraces that are in highest demand. They commonly use traditional management practices and follow their own criteria for seed selection. General farmers represent the bulk of the potato growers. They neither specialize in seed production following formal quality standards nor conserve its vast genetic diversity. General farmers navigate the seed system largely as occasional procurers of seed of common bred varieties and landraces.
Rainfed cropping in the high Andes is a risk-prone activity with hail, frost, pest and diseases frequently affecting production and leading to crop failure and seed insecurity. Seed stress refers to deficits in farmers' seed stocks as a consequence of crop damage caused by biotic or abiotic stressors. Acute seed stress compromises a household's ability to plant the next season's crop. Chronic seed stress, on the other hand, refers to seed insecurity associated with poverty or resource deprivation (Sperling and Cooper, 2003). It can be exacerbated by acute stress (Phiri et al., 2004). Although Andean farmers manage a suite of risk mitigation strategies (Orlove and Godoy, 1986; Goland, 1993; Oswald et al., 2009; Parsa et al., 2011; Condori et al., 2014) the increasing intensity and frequency of extreme weather at high altitude can place a strain on the capacity to overcome shocks, thus possibly compromising the next season's plantings (Sietz et al., 2012; Sparks et al., 2014; Meldrum et al., 2018). Similarly, the altitudinal range expansion of potato pests and diseases under climate change has resulted in higher levels of biotic stress (Giraldo et al., 2010; Kroschel et al., 2013).
A key challenge for smallholders following acute seed stress is access to an adequate supply of seed that meets their desired quality and varietal preferences (Louwaars and Tripp, 1999; McGuire, 2007; Sperling, 2008). In the aftermath of crop failure, farmers can respond through diverse procurement mechanisms—either provision or acquisition—to replenish seed stocks. These can involve barter, gifts, loans or monetary purchases and commonly involve social networks and markets (McGuire and Sperling, 2008; De Haan et al., 2009). Having access to different sources of seed helps farmers absorb shocks and restock their planting material (McGuire and Sperling, 2013; Violon et al., 2016). In situations of severe seed shortfalls, traders, private and public institutions can play a significant role as seed providers (Walsh et al., 2004; Kansiime and Mastenbroek, 2016). Seed systems can be resilient when they involve strong social networks, market connections or access to recognized seed production areas (Longley et al., 2002; Sperling et al., 2013; Zimmerer et al., 2015).
Our study specifically examines differences between networks involving seed provision and acquisition across the distinct cultivar groups and farmer types following cropping seasons with stress and without stress. We hypothesize that distinct cultivar groups are characterized by different networks, and that seed networks differ for each farmer type. Discerning network differences at this fine-grained level pursues two significant objectives. In terms of policy applications for seed system development and genetic resources conservation, detailed insights can help identify priorities and possible entry points to enhance smallholder seed access to the distinct cultivar groups. Additionally, it can aid the design of response options that are commensurate with the shocks predicted to increasingly affect farmers' seed systems due to climate change.
Materials and Methods
Study Site
This study was conducted in two sites with distinct socioeconomic and agricultural risk profiles (Figure 1, Table 1). The first site covers the eastern flanks of the Andes on the border of Pasco and Junín regions in central Peru (which we split into two separate regions for specific analyses). Potato cropping systems here are characterized by the intensive use of external inputs, such as fertilizers and fungicides, and high incidence of late blight disease (Phytophthora infestans). The second site is located on the central plateau of Huancavelica region where potato cropping occurs at extremely high altitudes, and hail and frost commonly cause damage and crop failure. Crop management in Huancavelica is characterized by the limited use of external inputs. Both study sites are known for their high levels of potato genetic diversity while being distanced from the main production areas of certified seed (i.e., Jauja and Huasahuasi).

Figure 1. The two study sites: Pasco-Junín border region and Huancavelica region. Map elaborated by Franklin Plasencia, International Potato Center (CIP).
The size of the nine communities included in the study ranged from 50 to 300 households. Communities were located between 12 km (nearest) and 50 km (farthest) from weekly markets where farmers, traders and wholesalers buy and sell ware and seed potato. For Pasco-Junín region we included the markets at Paucartambo and Carhuamayo. For Huancavelica region the markets of Paucará, Yauli and the capital city of Huancavelica (Figure 1) were involved.
Sample Selection
Communities were selected based on multiple criteria, including potato cropping area, cultivar diversity, presence of different farmer types, access to weekly agricultural markets, and finally the approval of field research by local authorities. We excluded communities which did not meet these requirements simultaneously. Three farmer types and five potato cultivar groups were identified for the farmer surveys (Tables 1, 2). Purposive sampling was used to capture information specific to each farmer type: (i) seed specialists, (ii) custodians, and (iii) general farmers. Custodians and seed specialists specifically were identified through the information provided by local farmers, key informants and institutions (municipal government, NGOs). For general farmers, at the household level and independent of gender, we asked for the person in the household who was knowledgeable of tuber seed procurement. Respondents across the three farmer categories were not necessarily the head of household but rather he or she who was either nominated (custodians, seed specialists) or self-identified as being aware of and able to respond our questions regarding seed procurement. Due to the relative scarcity of custodians and seed specialists, sample sizes for these two farmer types were considerably lower, and localities other than the nine core communities were included (Table 1).
Farmer Surveys
We conducted semi-structured surveys with 336 farmers between October 2014 and February 2015. The surveys were carried out in accordance with the guidelines on Research Ethics for the Social Sciences, Humanities and Arts provided by the Central Committee on Research Ethics at the University of Antioquia, Medellín and in collaboration with two research-for-development institutions based in Peru: the International Potato Center (CIP) and the NGO Grupo Yanapai. Ethics approval was not required for this research by the aforementioned institutions or national regulations as it involved human subjects in non-invasive survey procedures. We sought and obtained the approval of community authorities prior to the implementation of the surveys. We described the objectives of the study, the methodology, the oral prior informed consent option, voluntary nature and confidentiality of households participating during a community assembly. Community authorities from the nine communities selected agreed to participate. Households were surveyed only after community-level approval. This is an appropriate procedure due to the non-invasive nature of the questionnaire (inquiry about potato seed) and the Andean context of communal decisions. Consent was sought verbally for persons to participate (yes, no) and this was always respected. Trained local teams implemented the surveys, either in the Quechua language (Huancavelica) or Spanish (Pasco-Junín). Surveys collected both quantitative and qualitative information about the socio-economic conditions of households and seed procurement following cropping seasons with and without acute stress. Farmers self-determined the most recent seasons with and without acute stress, specified the cause of the stress (i.e., frost, hail, late blight, drought), and described seed transactions for each season. Recalled seasons with and without acute stress varied among respondents and did not necessarily represent the same cropping season (year). For each farmer, only one season per stress condition (with / without acute stress) was documented and analyzed. The survey consisted of ten sections: (i) socioeconomic data; (ii) cropping season; (iii) cultivar-level procurement; (iv) seed volumes; (v) specific seed sources and sinks; (vi) social relationship to providers and clients; (vii) seed transaction types; (viii) place (s) of seed transaction; (ix) seed destination/origin; (x) quality guarantee of seed (including certification). For each respondent, every single transaction of seed acquisition and provision was recorded as a separate entry.
Data
To analyze seed procurement (provision + acquisition) and perform social network mapping we structured the data into node (actor) and tie (event of seed exchange or transaction) attributes (Subedi et al., 2003; Clark, 2006; Poudel et al., 2009; Abay et al., 2011; Pautasso, 2015). Of 336 survey respondents 27 isolates were removed. These farmers neither acquired nor provided seed in any season. For remaining farmers (n = 309), each person or institution indicated as a seed source/sink became a node in the network. A total of 450 nodes and 755 ties for seasons with stress, and 527 nodes and 939 ties for seasons without stress were included in analyses. Each node was categorized as one of ten types: (1) custodian; (2) seed specialist, (3) general farmer, (4) trader, (5) farmer association, (6) market, (7) government, (8) NGO, (9) company, or (10) other. For each tie, cultivars were coded and classified into one of five cultivar groups (Table 2). We also identified and coded the seed transaction as one of six different types: (1) sale/purchase, (2) barter, (3) gift, (4) payment-in-kind, (5) loan, or (6) institutional donation. Seed volume for each transaction was entered in kilograms. A total of 46 transaction locations was recorded in the dataset.
Seed Network Analysis
Data were transformed into VNA format and analyzed using UCINET 6 and NetDraw version 2.157 (Borgatti, 2002; Borgatti et al., 2002). The networks were directed (asymmetric) because tie originators were known. Data were dichotomized and normalized to enable interpretation and comparison across networks. Standard centrality (node-level) and centralization (network-level) parameters were measured to study network structure and connectivity (Hanneman and Riddle, 2005; Ekboir et al., 2013). We analyzed centrality using in-degree (number of links ending in a node), out-degree (number of links originating in a node), and betweenness (number of shortest paths between other pairs of nodes passing through a node). Specifically, betweenness centrality served to identify nodes that were most influential in the network (Freeman, 1977). Further, we analyzed network cohesion (average degree, out/in centralization, density, average geodesic distance, diameter) and sub-structures (main components, n-cliques, k-cores). Main components are the largest network structures, whereby nodes are connected to each other with at least one tie. N-cliques, in contrast, indicate a closely connected group of nodes. For example, a “2-clique” means that each node can reach any other node in the group through two other connecting nodes. K-cores also represent areas of high connectivity (Ekboir et al., 2013). In this case, nodes belong to a group if they have ties to at least k other members.
Seed network maps were created for cropping seasons following years with and without acute stress according to (i) region, (ii) node type, and (iii) cultivar group. Node sizes corresponded to normalized betweenness centrality, indicating their intermediary power.
Statistical Analyses
Descriptive statistical analyses were performed using R statistical computing software version 3.4.1 (R. Core Team, 2017). We calculated the number and proportion of farmers acquiring and providing seed by farmer type (Table 1) and cultivar group (Table 2) following cropping seasons with and without stress. Averages for number of seed transactions (events of provision and acquisition) and total volume (kg) content per transaction were determined per household, differentiating by farmer type and cultivar group following seasons with and without stress. Further, for each season the types of seed sources and sinks were analyzed as percentages of total transactions. We drew these last calculations from the kind of social relationship to providers and clients reported for each seed transaction (see item (vi) under “Farmer surveys”), which included: family, friend, neighbor, farmer from neighboring community, recognized seed producer, trader, government, NGO, and other.
To characterize farmers' seed exchange behavior, the metric net trade volume was calculated for each farmer and potato cultivar reported in each season (with/without stress) separately by subtracting the volume of potatoes acquired from the volume provided. Only farmers with either positive or negative net trade volumes were used for further analysis since farmers with a zero balance did not engage in seed provision or acquisition for the specific cultivar group and season in question. We observed that for bitter landraces, equal and relatively insignificant volumes were often provided and acquired following seasons with and without stress, therefore data from this cultivar group was disregarded, while the remaining four cultivar groups—bred varieties, commercial floury landraces, non-commercial floury landraces (single cultivars), and non-commercial floury landraces (mixed cultivars)—were chosen for further statistical analysis. Based on their resulting net trade volumes for each cultivar group and season, farmers were classified into two classes: farmers with a negative trade volume were classified as group one, while farmers with a positive net trade volume were classified as group two. Within the same season (e.g., stress), a farmer could have a negative net trade volume for one cultivar group (e.g., bred varieties) but a positive net trade volume for another (e.g., native-floury landrace). Whereas in the other season (e.g., non-stress), that same farmer did not necessarily classify in the same way depending on the cultivar group. Step wise logistic regression was subsequently performed to identify the significant influence of factors such as farmer type (seed specialist/custodian/general farmer), gender (male/female), season (with/without stress), or region (disaggregated into Pasco/Junín/Huancavelica) on the net trade volume classification for each cultivar group. Both backward and forward methods were used for stepwise regression, and the model that yielded the lowest AIC score was selected. A chi-square test was performed to compare the selected model, a model with interactions, and a full model (with all the explanatory variables) and check for significant differences between them. Odds ratio was calculated by exponentiating the confidence intervals and the coefficients of the selected model. All analyses above were performed in R statistical computing software version 3.4.1 (R. Core Team, 2017). Additionally, package “CARET” in R version 3.4.1 was used to assess the predictive power of the selected model (Kuhn, 2017). The dataset for each category was randomly divided into 60% training (to train the selected model) and 40% validation (to test the model) subsets. A “downsampling” approach was used to cover for sample size imbalances in each of the classes of the dependent variable (i.e., net trade volume). R package “pROC” was used to calculate the confusion matrix and the AUC (area under curve) values (Robin et al., 2011). Only those models that received an AUC value above 0.7 were selected and discussed further. Logistic regression analysis was not performed for the cultivar group of bitter landraces, since procurement data collected for this group was extremely limited.
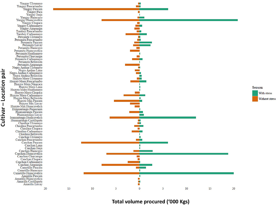
To investigate differences in the total procured volumes for cultivars at specific locations, and to compare across seasons (with and without stress), those cultivars whose frequency of occurrence in the dataset was more than or equal to 10 were selected (13/14 cultivars following seasons with /without stress), and the volumes of all procurements for each of those selected cultivars at a specific location (Cultivar-Location) were summed, separately for each season. Cultivar-Location pairs with the highest values (top 50) of total volume procured following seasons with and without stress were visualized in a barplot. The barplot was constructed using package “ggplot2” in R statistical computing software version 3.4.1 (Wickham, 2011). The top 50 Cultivar-Location pairs with largest volumes procured resulted in a total of 15 and 13 locations, and 11 and 12 cultivars following seasons with and without stress respectively. To gain a broader understanding of summed procurement volumes and the number of transactions, for all those cultivars pre-selected for the barplot, at their respective locations, a heatmap-like matrix-based visualization (Supplementary Material 3) was produced, using the package “plotluck” in R statistical computing software version 3.4.1 (Schroedl, 2016). Further, to understand if there was a significant association between the cultivars pre-selected for the barplot and the transaction type for each season, a chi-square statistical test was performed, and the results were visualized using an association plot (Supplementary Material 2) with package “vcd” in R statistical computing software version 3.4.1 (Meyer et al., 2017).
Results
Farmers, Seasons and Stressors
Of the 336 survey respondents, 20.2% were female. The average age of respondents was 42 years for females and 47 years for males. Average household size was 4.4 members. Nearly half (48.8%) of farmers had primary-level education, 23.5% finished secondary school, and 3.0% had post-secondary school education (technical school, agronomy degree). Among male respondents 6.3% had no formal education; among female respondents this proportion was 29.4%. Disaggregated by region, 46.7% of farmers were from Huancavelica, 36.9% from Pasco, and 16.4% from Junín. By farmer type, 85.7% of survey respondents were general farmers, 10.1% were custodians, and 4.2% were seed specialists. Of the 27 farmers that neither acquired nor provided seed following both seasons (with/without stress) 23 were general farmers and 4 were custodians. Final respondent numbers included for further analyses were: 265 (85.8%) general farmers, 30 (9.7%) custodians, and 14 (4.5%) seed specialists.
Most cropping seasons with stress fell between 2007 and 2015 (93.2%) with a few respondents recalling years back to 2000. Cropping seasons without stress pre-dominantly fell between 2009 and 2015 (93.5%) with a few going as far back as 2001. The medians for seasons with/without stress were 2012 and 2013 respectively. Frost was nominated as the stressor leading to seed insecurity in 47.2% of farmer responses, followed by late blight (27.0%), hail (24.3%) and pests and drought (1.5%).
Intensity of Seed Procurement Across Seasons
In the years following stress seasons, the number of seed provisions from households in the network decreased by 68% and the number of seed acquisitions increased by 59% compared to seasons without stress. The number of farmers acquiring seed increased by 45% compared to seasons without stress (Table 3) and the most procured cultivar groups were bred varieties and commercial floury landraces. The number of farmers providing seed dropped sharply following stress seasons: by 55% for bred varieties and by 68% for commercial floury landraces. There was a comparable decrease in the number of farmers providing seed of non-commercial floury landraces for single (−56%) and mixed cultivars (-74%). In contrast, the number of farmers acquiring seed of bred varieties and commercial floury landraces following stress increased by 28 and 43% respectively. This effect was even more notable for the other cultivar groups as the number of farmers acquiring seed of non-commercial floury landraces increased significantly for single (+229%) and mixed (+190%) cultivars following stress. Bitter landraces only involved one farmer providing seed following a season without stress and five farmers acquiring seed following stress.

Table 3. Number of farmers acquiring and providing seed per farmer type and cultivar group following cropping seasons (A) with stress (B) without stress.
The intensity of transactions was strikingly different depending on the type of cultivar group involved across seasons (Supplementary Material 1). Commercial floury landraces represented the highest proportion of seed transactions across the network following seasons with and without stress: 53.2 and 53.6% respectively. Bred varieties were also widely diffused through the network, representing about a quarter of the transactions following both seasons: 27.3 and 26.8%. Respectively, the networks of non-commercial floury landraces (mixed cultivars), non-commercial floury landraces (single cultivars) and bitter landraces were generally restricted, representing 12.1, 10.2, 6.8% and 9.3, 0.6, 0.1% of the total number of transactions following seasons with and without stress.
There was more seed procurement activity when providers and clients lived close to each other and when intermediaries were present. Even in small farmer clusters, intermediaries who acted as seed facilitators enabled the connections for seed acquisition and provision to occur. There were 226 and 176 such clusters, or “2-cliques,” following seasons with and without stress respectively. Hence, a farmer (source or sink) could reach any other in its cluster through two connections. The largest 2-cliques emerged in Pasco-Junín region across seasons. These were a 46-node cluster following seasons with stress and a 38-node cluster following seasons without stress. In both cases, the potato-growing district of Ulcumayo, Junín, acted as a central seed source.
Most farmers were only directly connected to one other farmer. Our analysis of k-cores showed that 79 and 76% of nodes classified as 1-cores following seasons with and without stress respectively. Higher order clusters whereby farmers were connected to two (2-core) and three (3-core) other farmers represented 20 and 1%, and 21 and 3% of farmers following seasons with and without stress respectively.
Mechanisms of Seed Procurement Across Seasons
Most transactions involved cash payments. Following seasons with stress, seed provisions (n = 187 transactions) and acquisitions (n = 568 transactions) respectively occurred through sales (63%/86%), gifts (20%/2%), barter (11%/3%), loans (3%/3%), payment-in-kind (3%/4%), and institutional donations (0%/2%). Following seasons without stress, seed was provided (n = 582 transactions) and acquired (n = 357 transactions) respectively through sales (65%/92%), gifts (19%/3%), barter (14%/0.6%), payment-in-kind (1.4%/0.6%), loans (0.7%/0.8%), and institutional donations (0%/3%).
Some cultivars were more likely to be sold while others were more likely to be gifted, bartered, or paid-in-kind (Supplementary Material 2). The non-commercial floury landraces (mixed cultivars) or chaqru and the commercial floury landrace Huamantanga were the least likely to be sold following stress. They were also the most likely to be procured through alternative mechanisms: barter and gift for chaqru, and only as gift for Huamantanga (Supplementary Material 2A). Following non-stress seasons the same applied to chaqru and Huamantanga (Supplementary Material 2B). Only the commercial floury landraces Chaulina and Huayro moro showed propensities to be sold (Supplementary Material 2B). No other significant associations between cultivar and transaction type emerged following seasons without stress.
Institutional donations were minimal and relatively insignificant as a transaction type following both seasons. These involved the commercial floury landraces Huamantanga and Huayro mix. Following stress, only modest amounts of Huamantanga (ranging from 12 to 100 kg per transaction) were donated to farmers in Huancavelica region through a government scheme.
Volumes of Seed Procurement Across Seasons
The total volume of seed procured (acquired + provided) in the network decreased by 11% following seasons with stress. This difference in volume (−149,386 kg) was not statistically significant (p = 0.39). We compared the average total seed volumes procured per household across farmer types and cultivar groups following seasons with and without stress (Tables 4A,B). The highest acquired and provided seed volumes following seasons without stress corresponded to bred varieties and commercial floury landraces for all farmer types. Seed specialists by far provided the bulk of seed of these two cultivar groups and non-commercial floury landraces (single cultivars). The volumes of bred varieties, commercial landraces and non-commercial landraces (single cultivars) provided by seed specialists were 50, 47, and 6-fold higher during seasons with stress compared to the combined volume provided by general and custodian farmers. The pattern was similar but less pronounced following non-stressed seasons, with 18, 14 and 15-fold higher volumes of the three cultivars groups provided by specialists.

Table 4A. Average total seed volumes (kg) per household by farmer type and cultivar group following cropping seasons with stress.

Table 4B. Average total seed volumes (kg) per household by farmer type and cultivar group following cropping seasons without stress.
Following seasons with stress, general farmers both acquired and provided lower volumes of seed for all cultivar groups except the bitter landraces. By contrast, the volumes provided by seed specialists increased for bred varieties (+23.6%) and commercial floury landraces (+124.2%). Custodians, on the other hand, presented an increase in the volume provided of non-commercial floury landraces (single cultivars, +132.6%) and volume acquired of non-commercial floury landraces (mixed cultivars, +543.4%). Transactions for bitter landraces were minimum and involved extremely low volumes overall.
Patterns of Net Seed Volume Traded
We performed logistic regression to characterize influences of season, farmer type, gender and region on net trade volumes (volume provided – volume acquired) for each cultivar group separately (Table 5). Following seasons with stress, net seed acquisition surpassed net seed provision without distinction of farmer type, gender, or region. Farmer type and gender significantly influenced the net trade volumes for commercial floury landraces. Male farmers were twice as likely as females to provide more seed and acquire less in comparison to providing less and acquiring more; and seed specialists seven times more likely to do this relative to the other farmer types. Therefore, seed specialists and male farmers were net seed providers for this cultivar group across seasons.

Table 5. Output of the logistic regression models that were performed to characterize the influence of farmer type (custodian/seed specialist/general farmer), gender (male/female), season (with/without stress), and region (disaggregated into Pasco/Junín/Huancavelica) on net trade volume (volume provided – volume acquired) for the cultivar groups: bred varieties, commercial floury landraces, non-commercial floury landraces (single cultivars), and non-commercial floury landraces (mixed cultivars).
There were different patterns across the regions. In Pasco region, farmers were net seed acquirers of bred varieties, commercial floury landraces, and non-commercial floury landraces (mixed cultivars). But in Junín, farmers were providers of commercial floury landraces and acquirers of non-commercial floury landraces (mixed cultivars). Huancavelica region did not exert a significant influence on the net trade volume for any cultivar group.
Cultivars and Locations as a Function of Volume
Two bred varieties and two commercial floury landraces had the most significant total volumes procured in the same location (city of Huancavelica) across seasons. Following stress, these volumes nearly tripled (Figure 2). The number of total transaction locations also increased from 33 to 37. The smallest volume recorded (6 kg) in any one location went to the bitter landrace Yana manua following a season without stress. It was also a cultivar with only one source location recorded. By contrast, the common bred variety Yungay registered the maximum number of source locations (26) for seasons following stress.

Figure 2. Barplot contrasting total seed volumes procured (acquired + provided) for a potato cultivar in a specific location (Cultivar-Location pair). The plot visualizes the top 50 Cultivar-Location pairs with the highest values for total procured (acquired + provided) volumes following seasons with and without stress (see section Materials and Methods for more details).
Based on their total seed volumes procured per location, 11 and 12 cultivars made up the bulk, 96 and 95% of total volumes following seasons with and without stress respectively (Figure 2). Four were bred varieties and eight were commercial floury landraces. After stress the largest volumes procured in any one location went to the bred varieties Yungay (200,000 kg) and Canchan (180,000 kg) and the commercial floury landraces Camotillo (200,000 kg) and Huamantanga (120,000 kg) (Figure 2 and Supplementary Material 3A). These transactions coincided in the same location: the city of Huancavelica, the region's capital (Figure 2 and Supplementary Material 3A). Specifically, one seed specialist sold the total volume of these four cultivars to the regional government of Huancavelica following stress. Seed of the bred varieties was certified. Following seasons without stress the bred varieties Yungay and Canchan registered the largest seed volumes procured (Figure 2 and Supplementary Material 3B). These occurred in two main locations, the well-known rural Sunday market in Paucará, Huancavelica, and the city of Huancavelica (Figure 2 and Supplementary Material 3B). Only the commercial floury landrace Camotillo had a comparable volume of seed procured, also in the city of Huancavelica.
Network Actors, Institutions and Markets as Sources and Sinks Across Seasons
We compared the sources and sinks of seed reported by farmers as proportions of total seed acquisitions and provisions across seasons (Tables 6A,B). Following seasons both with and without stress, traders and to lesser extent general farmers from neighboring communities were a significant source and sink of seed overall, particularly for bred varieties and commercial floury landraces. General farmers were directly engaged in 80% of seed transactions across seasons. Family played an important role in both seed acquisitions and provisions for non-commercial floury landraces (mixed cultivars) more than the other cultivar groups following seasons without stress. However, following seasons with stress, they were prominent as a source of seed of bred varieties, commercial floury landraces, and non-commercial floury landraces (single cultivars). Seed of bitter landraces was only provided by family, friends, and neighbors.

Table 6A. Type of seed source/sink reported in surveys, as % of total transactions following cropping seasons with stress.

Table 6B. Type of seed source/sink reported in surveys, as % of total transactions following cropping seasons without stress.
Seed specialists accounted for 13.4% of seed provisions following seasons without stress and 24.1% following seasons with stress. Their role involved trade with government programs and NGOs, more so than other actors who emerged in the network (i.e., traders). The main sinks of seed from specialists were government institutions (32.1%), general farmers (30.8%), and other seed specialists (15.4%). Following seasons with stress they involved government (28.9%), general farmers (28.9%), farmer associations (15.6%), NGOs (13.3%), traders (11.1%), and one mining company. Government institutions, specifically ministries, development programs and municipalities from Huancavelica region, only acquired certified seed from specialists. In the same region, different NGOs also pre-dominantly sourced seed from seed specialists, and smaller volumes from general and custodian farmers. Except for one seed loan to a municipality, all transactions between specialists and government institutions involved sales.
Regional markets also were notable sources and sinks of seed across seasons. Procurement in weekly regional markets represented 33 and 30% of all transactions following seasons with and without stress respectively. Following seasons with stress, seed procurement at markets involved 59% commercial floury landraces, 26% bred varieties, 11% non-commercial floury landraces (single cultivars), and 4% non-commercial floury landraces (mixed cultivars). In the absence of stress, general farmers used these markets to provide seed to other (mostly anonymous) farmers. Following stress, the intensity of these provisions lowered and at a weekly market in Junín (Carhuamayo), the biggest sink across seasons, the number of seed provisions by general farmers dropped by 52% following stress. By contrast, the intensity of seed acquisitions increased following stress. For example, at the weekly Sunday market of Paucará, Huancavelica, the number of seed acquisitions increased by 400% compared to seasons without stress. Along with traders, markets showed the highest betweenness centrality or intermediary influence regardless of season (Figures 3A,B). Not coincidentally, the centrality of traders in both networks (with / without stress) depended on their presence in these weekly regional markets.

Figure 3. Institutional depiction of seed network following cropping seasons (A) with stress and (B) without stress. Node sizes reflect betweenness values. green = general farmer1; yellow = trader; blue = seed specialist; red = public institution; magenta = custodian; gray = market. 1Largest green node refers to the well-recognized seed potato producing district of Ulcumayo in Junín region, where surveyed farmers reported procuring seed with general (anonymous) farmers. All other green nodes refer to an individual, general farmer.
Structure of Seed Networks Across Seasons
We analyzed the structure of the seed network following cropping seasons with and without stress, and found the networks diminished following stress. Under both conditions the network was composed of two main regional clusters: Pasco-Junín and Huancavelica (Figures 4A,B). In the absence of stress, the network was composed of 527 nodes (number of actors) and 939 ties (number of transactions). The average in-degree (number of people a node received seed from) was 1.08 (±1.74) and out-degree (number of people a node provided seed to) was 1.08 (±2.58). Succeeding seasons with stress the two main clusters became disconnected. The network contracted to 450 nodes and 755 ties, a 15 and 20% decrease in number of actors and ties respectively. Average in-degree and out-degree post-stress also decreased to 1.01 (±1.04) and 1.01 (±3.26) respectively. The average betweenness (intermediary power) in the network declined from 8.78 to 2.44 after stress. Insofar as they connected others and enabled seed flow, there were fewer intermediaries acting in the network following seasons with stress.

Figure 4. Regional depiction of seed network following cropping seasons (A) with stress and (B) without stress. Node sizes reflect betweenness values. green = Huancavelica; red = Pasco; blue = Junín; light blue = Huanuco; yellow = Lima, magenta = Apurimac; brown = Ayacucho.
Network cohesion parameters were compared following seasons with and without stress (Table 7). Average degree, calculated from a node's total ties in either direction, was similar across both networks and their main clusters (C1s, C2). We also examined out and in-centralization measures to discern any (un)evenness in the distribution of ties relative to an archetypal “star network” of the same size, which would be the most centralized network possible (Baker and Faulkner, 1993; Hanneman and Riddle, 2005). Out-centralization indicated the degree of seed provision concentration by any one farmer or number of farmers in the network. In the absence of stress, this parameter equaled 8.4% of the maximum centralization scenario for the main cluster. It increased to 27.9% in the Pasco-Junín cluster (C1) and to 18.5% in the Huancavelica cluster (C2) succeeding seasons with stress, suggesting higher centralization of seed provision. Seed provisioning events became less evenly distributed across the network and now tended to concentrate in the regional clusters. In-centralization, or the degree of seed acquisition concentration, on the other hand, varied little in the main clusters across seasons: from 2.2% with stress (C2) to 5.4% without stress (C1).
Regardless of the season, the networks were comparably, sparsely connected. The density parameter, or the degree of interconnection and ease of seed / information transfer, was low for both networks and main clusters. This is partly expected considering the size of the network, because it is not possible for all farmers to interact with each other across regions (Ekboir et al., 2013). In contrast, the average distance measure indicated emerging sub-regional clusters with higher inter-connectivity. This was especially the case in the Pasco-Junín cluster (C1) following seasons with stress, where the minimum number of connections (steps for shortest geodesic path) needed for seed to travel from any one farmer to another was shortened from 2.8 to 1.6. This reduction in (geodesic) distance pointed to an increased capacity to diffuse seed and information among farmers in the cluster.
Discussion
Stressors and Their Influence on the Seed Network
Frost, late blight and hail as main causes of acute stress and seed insecurity differ in intensity and range of incidence between seasons. Seed insecurity led to contraction of the network and a disconnect between the main regions studied. The total number of nodes (actors) and ties (transactions) diminished, as did the in-degree, out-degree and betweenness. Following stress, the total number of farmers engaging in seed procurement decreased, the total volumes procured declined, and the directionality of seed provisions vs. acquisitions was inverted. Farmers' net seed acquisitions, as revealed by the analysis of net trade volumes, surpassed provisions in response to stress. Although the average number of transactions for those involved in seed procurement remained roughly the same, the average volume acquired per individual transaction was nearly halved following seasons with stress.
Independent of the type of stress, all farmers surveyed partially restored seed stocks by securing small volume acquisitions from multiple sources. Tapping into local resources including social networks and markets allows for coping capabilities and seed security even in adverse climate-induced crises. Such adaptive capacity has also been reported in other contexts (Mortimore and Adams, 2001; Longley et al., 2002; Kansiime and Mastenbroek, 2016). The total number of seed acquisitions following seed stress surpassed provisions for custodians and general farmers. The number of acquisitions by seed specialists, on the other hand, was lower than their seed provisions following stress. This is a likely consequence of specialists' capacity to replenish seed from their own stocks, because of their comparatively large cropping areas and their responsiveness to increased demand from institutions following seed insecurity.
Following stress, seed provisioning concentrated in sub-regional clusters that linked farmers based on geographic proximity. This suggests that seed was locally available and accessible in most cases, a situation that might change when stress is widespread and affecting a whole region (De Haan et al., 2009). Other studies have documented that seed insecurity is followed by a geographical extension of the network (Violon et al., 2016), but acquiring bulky potato seed from far away is relatively expensive and a farmer might venture into long-distance renewals of planting materials only when the household can afford it. Differences in socioeconomic status have been reported to affect the geographical diversity of seed sources and seed diversity in smallholder seed networks (Stromberg et al., 2010; Wencélius et al., 2016). In this study, the acquisition of smaller volumes from nearby sources suggests that economic access likely played a role.
The Mechanisms That Mediate Seed Procurement
Regardless of the season, seed dealings involved mostly monetary transactions in the marketplaces frequented by farmers. This finding coincides with reports from other contexts where farmer seed systems were also found to be highly market-driven and mediated by cash transactions (McGuire and Sperling, 2016). Monetary transactions overwhelmingly involved bred and commercial floury landraces, while non-commercial floury landraces (single and mixed cultivars) were only minimally exchanged through monetary transactions in markets following stress.
In Huancavelica region especially, chaqru mixtures of non-commercial landraces continue to be procured through non-monetary exchanges with family, friends and traders. This group was commonly procured through traditional mechanisms for seed distribution involving barter and seed-gifting through networks based on social kinship (Brush et al., 1981; Zimmerer, 2003; De Haan, 2009). After stress, but especially following seasons without stress, chaqru mixtures were intensively exchanged through non-monetary mechanisms. Gifting seed in the aftermath of an event leading to scarcity became an important seed access channel for farmers. This was not exclusive to chaqru mixtures and included other cultivar groups. Receiving seed as a gift from neighbors in times of stress has been reported elsewhere (McGuire and Sperling, 2013; Kansiime and Mastenbroek, 2016). Given the variable seed-saving and economic profiles of households, it is not uncommon for more resourceful farmers to supply relatives and neighbors in times of need (McGuire, 2007).
Unevenness of Intraspecific Diversity Within the Seed System
Farmer seed systems involve ample procurement of bred varieties and commercial floury landraces independent of season and region. On their own, commercial floury landraces accounted for more than half of seed transactions across seasons. The seed procurement networks were dominated by four bred varieties and eight commercial floury landraces in terms of seed volumes traded and presence in multiple transaction locations. Excluding the intraspecific diversity contained in chaqru mixtures, these twelve cosmopolitan cultivars represented nearly half of the total cultivar diversity registered across seasons. The market-oriented prioritization and wide circulation of a limited number of landraces while most intraspecific diversity remains constrained to few households and incidences of seed diffusion was also found by Kawa et al. (2013) and Bonnave et al. (2016) in their studies of manioc (Manihot esculenta) and oca (Oxalis tuberosa) varietal diversity in farmer networks. Therefore, the bulk of seed transactions involve few cultivar groups and a reduced portfolio of cultivars.
Non-commercial floury landraces (single and mixed cultivars) showed only modest volumes of seed procurement across seasons. One out of five general farmers and one out of three custodian farmers provided small volumes of non-commercial floury landraces (mixed cultivars). Farmers located in Pasco-Junín region consistently demanded small volumes of mixed non-commercial floury landraces, independent of the season. This finding shows the coexistence of selective cultivar production for the market with landrace diversity (Stromberg et al., 2010; Zimmerer, 2013). Farmers' cultivar choices are indeed influenced by a suite of factors including food preferences, cultural norms, experimentation for desired traits, and sheer appetite for variation (De Haan, 2009; Skarbø, 2014).
Interestingly, following stress more farmers turned to non-commercial floury landraces of single and mixed cultivars for seed. Possibly, with a reduced supply of the most common cultivars, farmers' seed choices were constrained to the less popular, non-commercial cultivars that were available in their networks. Another plausible explanation may involve farmers going back to more diverse species and varietal portfolios to spread risk (Meldrum et al., 2018). Indeed, frost accounted for nearly half of the stress events reported by farmers and can be partially managed using intraspecific diversity (Condori et al., 2014). However, seed procurement of the frost-tolerant bitter landraces was very infrequent and barely noticeable in the seed network.
The Role of Different Farmer Types in the Seed System
General farmers in Peru's central highlands play an important and unique role in the seed network. Unlike studies showing farmer centrality to be determinant for efficient seed distribution (see Ricciardi, 2015; Buddenhagen et al., 2017), we demonstrate that general farmers have a decentralized and equally significant capacity to frequently provide and acquire relatively small amounts of all the cultivar groups. Importantly, general farmers were accessible sources of seed to other farmers in weekly regional markets and farmer-recognized localities (i.e., seed-producing district of Ulcumayo). Particularly in Pasco-Junín region, general farmers from Ulcumayo were routinely sought after by farmers from neighboring districts. Geographical origin does equip general farmers with a strong quality marker for seed provision. Our study shows that general farmers are a reliable source of seed for diverse cultivar groups, albeit in modest volumes, following acute seed stress.
Custodian farmers play a distinct role in the seed system as sources and sinks of relatively small volumes of unique cultivars. They are, in a sense, the primary reservoirs of the intraspecific diversity inherent in chaqru mixtures (De Haan, 2009). Subedi et al. (2003) and Bonnave et al. (2016) have referred to such farmers as “nodal” or “guardian” due to their important role in the maintenance and flow of a large diversity of genetic material in the context of rice (Oryza sativa) and oca (Oxalis tuberosa) seed systems. Once demand following seed stress drove seed prices up custodians seized the opportunity to also sell seed of non-commercial floury landraces (single cultivars). For this cultivar group, the seed volumes provided by custodians more than doubled in post-stress years. Yet, in parallel, the “collector's logic” led custodians to secure seed stocks of rare landraces, and the volumes they acquired of non-commercial floury landraces (mixed cultivars) increased by more than five times following stress.
The role of specialized seed producers has been highlighted in other smallholder contexts for their ability to link the informal and formal systems and disseminate new crop varieties in a cost-effective way, albeit involving relatively small seed volumes (Otsyula et al., 2004; Nasirumbi et al., 2008; Khanal and Maharjan, 2014). In Peru's central highlands, the comparative advantage of seed specialists relates to their capacity to provide large volumes of seed of a limited number of common cultivars to specific users. Specialists generally manage larger areas and are well-connected. Even though seed specialists provided planting materials to general farmers following stress, their largest sales were to formal institutions, and they were the only farmer type consistently engaging with government. These required certified seed and formal receipts that non-specialists were not able to provide. Of the three farmer types, specialists were particularly active in the seed network as sources of commercial floury landraces and bred varieties following seed stress. The volumes they provided substantially exceeded those provided by other farmer types.
The Differential Influence of Actors and Institutions
Potato seed networks in Peru's central highlands are to a large extent self-regulatory. Independent of the season, farmers consistently procured seed of different cultivar groups from traders, neighboring farmers, and family, making them regular sources in the seed network. In situations without stress, farmers typically obtain the bulk of their seed on-farm yet access to additional off-farm seed remains important due to farmers' desire to “refresh” stocks of existing varieties or experiment with new cultivars for their agronomic and end-use qualities (Urrea-Hernandez et al., 2016). Seed refreshment is likely partially due to degeneration or virus infection at lower altitudes (Thomas-Sharma et al., 2015). Following stress, such off-farm sources become especially crucial for partially filling shortages in seed availability. Our findings affirm those of other studies showing that farmer seed networks are efficient and open but also selective in seed provisioning in terms of varietal portfolios and access (Badstue et al., 2007; Bellon et al., 2011; Coomes et al., 2015; Violon et al., 2016). Both traders and general farmers from neighboring communities pre-dominantly provided seed of commercial floury landraces. Family tended to provide seed of all the cultivar groups, including otherwise infrequently-exchanged cultivars.
Markets are central hubs for seed procurement and involved a third of all transactions, independent of the season. They fulfill a role as social and economic spaces where farmers, traders, and buyers from different locations interact to access seed, inputs and information. In diverse contexts, markets have emerged as pivotal to seed access, security, and stability following stress (Sperling et al., 2004; Almekinders et al., 2010; Easley and Kleinberg, 2010; McGuire and Sperling, 2016). A clear strength of the markets in the central highlands of Peru concerns their capacity to link supply and demand of seed of all cultivar groups except seed of bitter landraces. Even though commercial landraces and bred varieties together represented the overwhelming majority of transactions at markets, procurement of non-commercial landraces was still appreciable.
Traders are important brokers who facilitate access to seed of all cultivar groups (except bitter landraces) from either renowned geographic locations or seed specialists. Although most seed transactions mediated by traders involved commercial floury landraces and bred varieties across seasons and regions, following stress traders also engaged in regular seed provisions of non-commercial floury landraces (single and mixed cultivars). Despite the seed quality concerns often associated with this group of stakeholders, traders that farmers trust occupy a significant market niche in the informal system and deliver seed through local supply channels in times of seed stress (Bentley and Vasques, 1998; Walsh et al., 2004). Farmers engaged with traders at markets to buy and sell big potatoes (primera) for consumption and medium to small-sized tubers (segunda) for seed. Farmers from Pasco-Junín region turned specifically to one trader. This person accounted for about one fifth of seed provision following seasons with and without stress. He frequently traveled to known seed production areas within the Pasco-Junín region, but also to Huancavelica and more distant regions to source seed potato. Movement of seed by traders from distant places has been reported as a key attribute adding to seed system resilience (Hirpa et al., 2010; McGuire and Sperling, 2013). In the Huancavelica region, too, traders were key intermediaries at markets across seasons.
Independent of the cultivar group, trust was fundamental for seed acquisitions and transactions are frequently based on social ties and geographical origin. Such types of informal guarantees have been observed to occur in other cropping and farmer systems (Stromberg et al., 2010; Delêtre et al., 2011; Pautasso et al., 2013). Clearly, seed from high-altitude geographies such as Huancavelica and Ulcumayo were generally regarded by farmers to be of high quality. The association between origin and altitude commonly involves seed health rationales (Thomas-Sharma et al., 2015; Bertschinger et al., 2017). As shown by Urrea-Hernandez et al. (2016), farmer perception of seed quality involves an additional repertoire of criteria, including size and physically observable traits.
Formal government participation in the seed networks was modest. These findings are consistent with the weak articulations that have typically characterized the nexus between farmer-based and formal systems in the Andes (Bentley and Vasques, 1998; Thiele, 1999). Governmental institutions exclusively purchased certified seed of a few commercial floury landraces and bred varieties from seed specialists. Government acquisitions of certified seed from seed specialists tripled for bred varieties and nearly doubled for commercial floury landraces following stress. Government agencies subsequently donated these seeds to farmers, yet in our study donations only minimally figure as a modality of seed acquisition following seasons with stress. This contrasts with the relative importance of seed donations by government in the aftermath of the regional out-of-season frost that impacted the Huancavelica region in 2007 (De Haan et al., 2009). However, government interventions were not restricted to post-stress relief. Procurement of seed also took place following seasons without stress and involved donations and sales of specific cultivars. These transactions were linked to varietal diffusion from breeding programs or special projects. The NGOs that emerged as actors in this study were primarily engaged in seed acquisitions of commercial and non-commercial floury landraces following seasons without stress. Their sources were mostly seed specialists, but also involved small volumes of non-commercial floury landraces (mixed cultivars) from custodians in Huancavelica. The NGOs mostly sought landraces with pigmented pulp for niche market value chain development (Devaux et al., 2011; Tobin et al., 2016). Their role in seed relief following stress was negligible for all regions.
Limitations of the Study
It has been suggested that studying the seed procurement network over a single year provides a misrepresentation of the dynamics underlying social networks (Violon et al., 2016). Our study overcomes this limitation by adopting a recall approach in which farmers provided information based on the most recent cropping season with and without acute stress. These years will vary from farmer to farmer, and this may be seen as a limitation of the study. The temporal aggregation of farmers' responses for each season assumes that nodes and ties for the different networks represent two extremes for seed procurement with all farmers being exposed or non-exposed to seed stress. The fact that seasons with and without acute stress were not replicated for each farmer and that farmer recall data may not accurately represent traded seed volumes, for up to seven years ago in some cases, admittedly limit the reach of our findings. Without additional information on individual farmers' seed procurement mechanisms for more than the one season with and without acute stress that we evaluated it is assumed that farmers' behavior under each scenario does not vary. Farmers' recalled volumes of seed provided and acquired may further under or overestimate the actual content of seed transactions while the relatively small sample sizes for custodians and seed specialists compromise the statistical relevance of differences between the farmer groups. This sampling limitation is a result of the inherent scarcity of these two farmer types in the potato seed systems of the central Peruvian highlands. It has also been highlighted that to understand social seed networks at a fine-grained level, intrahousehold dynamics must be accounted for because decisions regarding seed are not uniform across household members (Wencélius et al., 2016). Importantly, household-level data conceal the influence of age, gender, and kinship systems on patterns of seed procurement. The role of women as key facilitators of seed exchange and as agents of emergency response in periods of stress has also been recognized (Labeyrie et al., 2016; Violon et al., 2016). However, in this study our findings based on seed transactions per farmer by household did not support gender-differentiated patterns or centrality in the network. Lastly, while our study provides insights into the dynamic nature and unevenness of networks involving different cultivar groups, farmer types, and seasons with and without acute stress, it does not include any network modeling of future scenarios under climate change and shifting intensities of the stress factors typically affecting central highland communities (i.e., frost, late blight).
Conclusion
Our main hypotheses were confirmed by our findings. Seed procurement networks are uneven and highly distinct depending on the cultivar group and farmer type. Commercial floury landraces and bred varieties were ubiquitous and dominant in the seed network in terms of their frequency of transactions, volumes exchanged, location occurrences and overall availability. They outweigh the non-commercial floury landraces (mixed and single cultivars) and bitter landraces by far when it comes to regular seed supply and demand. All farmer types engaged in seed procurement of these two cultivar groups. Bitter landraces represent an extreme opposite case, being procured infrequently and nearly invisible in the network. Possible explanations relate to the limited cropping area this special cultivar group occupies and its limited varietal diversity. Changes in Andean livelihoods and food systems, in combination with less predictable dry-season frosts needed to process bitter landraces, have likely led to diminished demand. Seed networks of non-commercial floury landraces (single and mixed cultivars) represent an intermediate situation. They are regularly procured in comparatively small volumes by general and custodian farmers. This is important as most of the potato's varietal diversity is encapsulated within this cultivar group.
The influence of general farmers and traders within seed networks is significant and essential for overall widespread and decentralized access to planting material. Independent of the season, general farmers have the capacity to provide seed of the main cultivar groups. The role of seed specialists and custodian farmers is less omnipresent and versatile. Yet, both occupy a unique role and niche market. Seed specialists as providers of comparatively large volumes and formally certified seed of commercial floury landraces and bred varieties. Custodian farmers as a noteworthy source of uncommon and diverse non-commercial floury landraces. Seed specialists are the only farmer type regularly linking to government institutions. Custodian farmers maintain specific informal networks through which genetic diversity is regenerated and redistributed.
Seed networks did re-organize following seasons with acute seed stress. However, not necessarily as anticipated. Traders and markets remained significant sources and sinks of seed regardless of season. Farmer-recognized geographically-defined sources of seed also remained equally important. In the absence of seed stress farmers still practice partial seed renewal to “refresh” seed stocks of common varieties or to experiment with new cultivars. A significant shift in response to acute stress included a contraction and concentration of seed networks within sub-regional clusters with shorter path length between sources and sinks. This contrasts with other studies (De Haan et al., 2009; Violon et al., 2016), and is possibly explained by the non-regional extent of stress and local availability of seed. Following stress, the directionality of seed provisions vs. acquisitions inverted. The total number of seed provisions decreased, while the number of acquisitions increased. Although average seed volumes acquired per transaction nearly halved, farmers' net seed acquisitions surpassed provisions in response to stress.
The self-regulatory capacity of farmer seed systems and flexible portfolio of connections intrinsic to its networks clearly represent a strong safety net through which smallholder farmers can adapt to climate change or respond to crop failure and resulting seed stress. However, we cannot ignore its potential vulnerabilities. The farmer seed network is currently dominated by twelve cultivars while bitter landraces are virtually absent. Since intraspecific diversity will be instrumental for climate change adaptation, it remains important to regularly monitor the extent of conservation. Timeline comparisons of seed networks can aid such efforts. From an on-farm conservation perspective, the identification of leverage points to strengthen farmer seed systems and, where needed, build linkages with actors in the formal sector requires integrating farmer demands and creating opportunities for innovations. Multiple interventions that could build on existing farmer seed networks have been proposed. These include biodiversity seed fairs, community seed banks, positive selection, quality declared seed schemes, among others. Future seed relief in the central Andes could also link more effectively to existing farmer seed networks. Government institutions currently only source from seed specialists, but simple adaptations that open opportunities to general farmers may make a big difference.
Building on existing seed networks and their strengths is a clear policy opportunity. Making sure that locally available seed of diverse varietal portfolios and informal provenance link with seed relief interventions is actionable for national and local policy makers. Finally, the finding that seed procurement networks are uneven raises the question of whether such differences also exist for other single crop species in their respective centers of origin. For example for sweet and bitter cassava in the Amazon or paddy and sticky rice in Southeast Asia. Understanding the conservation dynamics of diverse varietal portfolios warrants attention to differential seed systems.
Data Availability Statement
The datasets generated for this study are available in the Dataverse URL: https://doi.org/10.7910/DVN/FY2XIB.
Author Contributions
AA and SdH conceived and designed the study. AA led the development of household surveys, organized the database, performed descriptive statistics and social network analysis. RC supported with survey implementation and data collection. DB carried out statistical analyses and contributed to results interpretation and manuscript revision. AA and SdH wrote the manuscript. All authors read and approved the final manuscript.
Funding
The McKnight Foundation's Collaborative Crop Research Program financially supported this research project under grant number 09-033. The International Potato Center (CIP) provided a grant under the project number 1134-CGIA (Integrated in-situ conservation strategy and methodology) for the main author to conduct her research in Peru.
Conflict of Interest Statement
The authors declare that the research was conducted in the absence of any commercial or financial relationships that could be construed as a potential conflict of interest.
Acknowledgments
The authors thank the smallholder farmers and community authorities of Huancavelica, Pasco and Junín who collaborated with us and made this research possible. We are very grateful to Mary Luz Solórzano for assisting us with the training of survey teams and field implementation of the project. We also thank Gordon Prain at the International Potato Center (CIP) for his valuable contributions to the study design, and Genowefa Blundo Canto at the French Agricultural Research Centre for International Development (CIRAD) for providing advice on social network analysis. Thank you to Maria Scurrah from Grupo Yanapai for facilitating the research grant from the McKnight Foundation. We are indebted to Claire Nicklin at the McKnight Foundation for her support of this research project. We thank Kien Tri Nguyen at the International Center for Tropical Agriculture (CIAT-Vietnam) for his data management support. We are grateful to Toss Gascoigne from Econnect Communication for his helpful review of the manuscript.
Supplementary Material
The Supplementary Material for this article can be found online at: https://www.frontiersin.org/articles/10.3389/fsufs.2018.00043/full#supplementary-material
References
Abay, F., De Boef, W., and Bjørnstad, Å. (2011). Network analysis of barley seed flows in Tigray, Ethiopia: supporting the design of strategies that contribute to on-farm management of plant genetic resources. Plant Genet. Resour. 9, 495–505. doi: 10.1017/S1479262111000773
Abizaid, C., Coomes, O. T., and Perrault-Archambault, M. (2016). Seed sharing in amazonian indigenous rain forest communities: a social network analysis in three Achuar villages, Peru. Hum. Ecol. 44, 577–594. doi: 10.1007/s10745-016-9852-7
Almekinders, C. (2000). The Importance of Informal Seed Sector and its Relation with the Legislative Framework. in Paper presented at GTZ-Eschborn, July 4-5, 2000. (Eschborn), 16.
Almekinders, C., Cavatassi, R., Terceros, F., Pereira Romero, R., and Salazar, L. (2010). “Potato seed supply and diversity: dynamics of local markets of cochabamba province, bolivia - a case study,” in Seed Trade in Rural Markets: Implications for Crop Diversity and Agricultural Development, eds L. Lipper, C. L. Anderson, and T. J. Dalton (London: FAO and Earthscan), 75–94.
Almekinders, C. J. M., and Louwaars, N. P. (1999). Farmers' Seed Production: New Approaches and Practices. London: Intermediate Technology Publications Ltd.
Almekinders, C., and Louette, D. (2000). “Examples of innovations in local seed systems in Mesoamerica,” in Encouraging Diversity: The Conservation and Development of Plant Genetic Resources, eds C. Almekinders and W. de Boef (London: Intermediate Technology Publications Ltd), 219–222.
Andersen, K. F., Buddenhagen, C. E., Rachkara, P., Gibson, R., Kalule, S., Phillips, D., et al. (2017). Analyzing key nodes and epidemic risk in seed networks: sweetpotato in Northern Uganda. bioRxiv 107359, 1–26. doi: 10.1101/107359
Badstue, L. B., Bellon, M. R., Berthaud, J., Ramirez, A., Flores, D., and Juarez, X. (2007). The dynamics of farmers' maize seed supply practices in the central valleys of Oaxaca, Mexico. World Dev. 35, 1579–1593. doi: 10.1016/j.worlddev.2006.05.023
Baker, W. E., and Faulkner, R. R. (1993). The social organization of conspiracy: illegal networks in the heavy electrical equipment industry. Am. Sociol. Rev. 58, 837–860. doi: 10.2307/2095954
Bellon, M. R., Hodson, D., and Hellin, J. (2011). Assessing the vulnerability of traditional maize seed systems in Mexico to climate change. PNAS 108, 13432–13437. doi: 10.1073/pnas.1103373108
Bentley, J. W., and Vasques, D. (1998). The Seed Potato System in Bolivia: Organizational Growth and Missing Links. Network Paper No. 85. London.
Bertschinger, L., Bühler, L., Dupuis, B., Duffy, B., Gessler, C., Forbes, G. A., et al. (2017). Incomplete infection of secondarily infected potato plants – an environment dependent underestimated mechanism in plant virology. Front. Plant Sci. 8:74. doi: 10.3389/fpls.2017.00074
Bonnave, M., Bleeckx, T., Terrazas, F., and Bertin, P. (2016). Effect of the management of seed flows and mode of propagation on the genetic diversity in an Andean farming system: the case of oca (Oxalis tuberosa Mol.). Agric. Hum. Val. 33, 673–688. doi: 10.1007/s10460-015-9646-3
Borgatti, S. P., Everett, M. G., and Freeman, L. C. (2002). Ucinet for Windows: Software for Social Network Analysis.
Brush, S. B., Carney, H. J., and Huamán, Z. (1981). Dynamics of Andean potato agriculture. Econ. Bot. 35, 70–88. doi: 10.1007/BF02859217
Buddenhagen, C. E., Hernandez Nopsa, J. F., Andersen, K. F., Andrade-Piedra, J., Forbes, G. A., Kromann, P., et al. (2017). Epidemic network analysis for mitigation of invasive pathogens in seed systems: potato in ecuador. Phytopathology 107, 1209–1218. doi: 10.1094/PHYTO-03-17-0108-FI
Camacho-Henriquez, A., Kraemer, F., Galluzzi, G., De Haan, S., Jager, M., and Christinck, A. (2015). “Decentralized collaborative plant breeding for utilization and conservation of neglected and underutilized crop genetic resources,” in Advances in Plant Breeding Strategies: Breeding, Biotechnology and Molecular Tools, eds J. Al-Khayri, S. M. Jain and D. V. Johnson (Basel, Switzerland: Springer International Publishing), 25–61.
Carney, H. J. (1980). Diversity, Distribution and Peasant Selection of Indigenous Potato Varieties in the Mantaro Valley, Peru: a Biocultural Evolutionary Process. Lima. Available online at: http://www.cipotato.org/library/pdfdocs/WP18427.pdf
Clark, L. (2006). Network Mapping as a Diagnostic Tool Manual. La Paz, Bolivia: International Center for Tropical Agriculture (CIAT).
Condori, B., Hijmans, R. J., Ledent, J. F., and Quiroz, R. (2014). Managing potato biodiversity to cope with frost risk in the high andes: a modeling perspective. PLoS ONE 9:e81510. doi: 10.1371/journal.pone.0081510
Coomes, O. T., McGuire, S. J., Garine, E., Caillon, S., McKey, D., Demeulenaere, E., et al. (2015). Farmer seed networks make a limited contribution to agriculture? Four common misconceptions. Food Policy 56, 41–50. doi: 10.1016/j.foodpol.2015.07.008
Cromwell, E. (ed.). (1990). “Seed diffusion mechanisms in small farm communities: Lessons from Asia, Africa and Latin America,” in Network Paper-Agricultural Administration (Research and Extension) Network (London: Overseas Development Institute (ODI); Agricultural Administration Unit).
De Haan, S. (2009). Potato Diversity at Height: Multiple Dimensions of Farmer-Driven in-situ Conservation in the Andes. PhD thesis, Wageningen University, Wageningen.
De Haan, S., Almekinders, C., Thiele, G., Ccanto, R., and Scurrah, M. (2009). “Seed procurement of native potatoes in the central Andes of Peru: the role of farmer-to-farmer exchange, markets and seed fairs,” in Tropical Roots and Tubers in a Changing Climate: A Critical Opportunity for the World, Program and Abstracts of Papers. 15. Symposium of ISTRC. Lima (Peru). 1-6 Nov 2009 International Society for Tropical Root Crops (ISTRC) (Lima: International Potato Center (CIP); ISTRC; Universidad Nacional Agraria La Molina (UNALM)), 8–19.
De Haan, S., and Rodriguez, F. (2016). “Potato Origin and Production,” in Advances in Potato Chemistry and Technology, eds J. Singh and L. Kaur (London: Elsevier Inc.), 1–32.
De Haan, S., and Thiele, G. (2004). “In situ conservation and potato seed systems in the Andes,” in Seed Systems and Crop Genetic Diversity On-Farm. Pucallpa (Peru). 16-20 Sep 2003, eds D. I. Jarvis, R. Sevilla Panizo, J. L. Chavez Servia and T. Hodgkin (Rome: International Plant Genetic Resources Institute (IPGRI)), 126–132.
Delêtre, M., McKey, D. B., and Hodkinson, T. R. (2011). Marriage exchanges, seed exchanges, and the dynamics of manioc diversity. PNAS 108, 18249–18254. doi: 10.1073/pnas.1106259108
Devaux, A., Andrade-Piedra, J., Horton, D., Ordinola, M., Thiele, G., Thomann, A., et al. (2011). “Brokering Innovation for Sustainable Development: The Papa Andina Case,” in Innovation for Development: The Papa Andina Experience, eds A. Devaux, M. Ordinola and D. Horton (Lima: International Potato Center), 76–110.
Devaux, A., Ordinola, M., Hibon, A., and Flores, R. (2010). El sector papa en la región andina: Diagnóstico y elementos para una visión estratégica (Bolivia, Ecuador y Perú). Lima, Peru: Centro Internacional de la Papa (CIP).
Easley, D., and Kleinberg, J. (2010). Networks, Crowds, and Markets: Reasoning about a Highly Connected World. New York, NY: Cambridge University Press.
Ekboir, J., Canto, G. B., and Sette, C. (2013). Monitoring the Composition and Evolution of the Research Networks of the CGIAR Research Program on Roots, Tubers and Bananas. Series on Monitoring Research Networks No. 01. Rome, Italy.
FAO (2006). Quality Declared Seed System FAOPlant Production and Protection Paper 185. Rome Available online at: http://www.fao.org/docrep/009/a0503e/a0503e00.htm
Fonseca, C., Burgos, G., Rodríguez, F., Muñoa, L., and Ordinola, M. (2014). Catálogo de Variedades de Papa Nativa con Potencial Para la Seguridad Alimentaria y Nutricional de Apurímac y Huancavelica, 1st Edn. Lima, Peru: Centro Internacional de la Papa (CIP).
Freeman, L. C. (1977). A set of measures of centrality based on betweenness. Sociometry 40, 35–41. doi: 10.2307/3033543
Fuentes, F. F., Bazile, D., Bhargava, A., and Martínez, E. A. (2012). Implications of farmers' seed exchanges for on-farm conservation of quinoa, as revealed by its genetic diversity in Chile. J. Agric. Sci. 150, 702–716. doi: 10.1017/S0021859612000056
Giraldo, D., Juarez, H., Perez, W., Trebejo, I., Yzarra, W., and Forbes, G. (2010). Severity of the potato late blight (Phytophthora infestans) in agricultural areas of Peru associated with climate change. Rev. Peru. Geo Atmosferica 2, 56–67.
Goland, C. (1993). Field scattering as agricultural risk management: a case study from cuyo cuyo, department of Puno, Peru. Mt. Res. Dev. 13, 317–338. doi: 10.2307/3673760
Gruberg, H., Meldrum, G., Padulosi, S., Rojas, W., Pinto, M., and Crane, T. A. (2013). Towards a Better Understanding of Custodian Farmers and Their Roles: Insights From a Case Study in Cachilaya, Bolivia. La Paz: Bioversity International, Rome and Fundación PROINPA.
Hanneman, R. A., and Riddle, M. (2005). Introduction to Social Network Methods. Riverside, CA: University of California, Riverside.
Hirpa, A., Meuwissen, M. P. M., Tesfaye, A., Lommen, W. J. M., Oude Lansink, A., Tsegaye, A., et al. (2010). Analysis of seed potato systems in Ethiopia. Am. J. Potato Res. 87, 537–552. doi: 10.1007/s12230-010-9164-1
INIA (2015). Proyecto de Reglamento Especifico de Semilla de Papa. Resolución Jefatural 0272-2015. Lima.
Iriarte, V., Terrazas, F., Aguirre, G., and Thiele, G. (2000). “Local seed systems and PROINPA's genebank: Working to improve seed quality of traditional Andean potatoes in Bolivia and Peru,” in Participatory Approaches to the Conservation and Use of Plant Genetic Resources, eds E. Friis Hansen and B. Sthapit (Rome: International Plant Genetic Resources Institute (IPGRI)), 154–162.
Jalil, Y., Andrade-Piedra, J., and Larrea, S. (2012). “Encuentro Regional de Sistemas No Convencionales de Semillas. Santa Catalina, Ecuador, 26 y 27 de abril, 2012,” in Encuentro Regional de Sistemas No Convencionales de Semillas, eds J. Andrade-Piedra and S. Larrea (Quito), 48.
Jones, R. B., Audi, P. A., and Tripp, R. (2001). The role of informal seed systems in disseminating modern varieties. The Example of Pigeonpea from a semi-arid area of Kenya. Exp. Agric. 37, 539–548. doi: 10.1017/S0014479701000461
Kansiime, M. K., and Mastenbroek, A. (2016). Enhancing resilience of farmer seed system to climate-induced stresses: Insights from a case study in West Nile region, Uganda. J. Rural Stud. 47, 220–230. doi: 10.1016/j.jrurstud.2016.08.004
Kawa, N. C., McCarty, C., and Clement, C. R. (2013). Manioc varietal diversity, social networks, and distribution constraints in rural Amazonia. Curr. Anthropol. 54, 764–770. doi: 10.1086/673528
Khanal, N. P., and Maharjan, K. L. (2014). Factors influencing farmers' behavior in rice seed selling in the market: a case study in the Tarai region of Nepal. Agric. Food Econ. 2:14. doi: 10.1186/2193-7532-1-14
Kromann, P., Montesdeoca, F., and Andrade-Piedra, J. (2016). “Integrating formal and informal potato seed systems in Ecuador,” in Case Studies of Roots, Tubers and Bananas Seed Systems. RTB Working Paper No. 2016-3, eds Andrade-Piedra J., J. Bentley, C. Almekinders, K. Jacobsen, S. Walsh and G. Thiele (Lima, Peru: CGIAR Research Program on Roots, Tubers and Bananas (RTB)), 14–32.
Kroschel, J., Sporleder, M., Tonnang, H. E. Z., Juarez, H., Carhuapoma, P., Gonzales, J. C., et al. (2013). Predicting climate-change-caused changes in global temperature on potato tuber moth Phthorimaea operculella (Zeller) distribution and abundance using phenology modeling and GIS mapping. Agric. For. Meteorol. 170, 228–241. doi: 10.1016/j.agrformet.2012.06.017
Kuhn, M. (2017). caret: Classification and Regression Training. CRAN R-project. Available online at: https://cran.r-project.org/package=caret (Accessed January 21, 2018).
Labeyrie, V., Thomas, M., Muthamia, Z. K., and Leclerc, C. (2016). Seed exchange networks, ethnicity, and sorghum diversity. PNAS 113, 98–103. doi: 10.1073/pnas.1513238112
Longley, C., Dominguez, C., Saide, M. A., and Leonardo, W. J. (2002). Do farmers need relief seed? a methodology for assessing seed systems. Disasters 26, 343–355. doi: 10.1111/1467-7717.00211
Louette, D., Charrier, A., and Berthaud, J. (1997). In Situ conservation of maize in Mexico: genetic diversity and maize seed management in a traditional community. Econ. Bot. 51, 20–38. doi: 10.1007/BF02910401
Louwaars, N. P., and Tripp, R. (1999). “Regulatory aspects of seed security. in Restoring Farmers' Seed Systems in Disaster Situations,” in Proceedings of the International Workshop on Developing Institutional Agreements and Capacity to Assist Farmers in Disaster Situations, ed FAO (Rome: FAO Plant Production and Protection Paper No. 150), 228.
Mateus-Rodriguez, J. R., De Haan, S., Andrade-Piedra, J. L., Maldonado, L., Hareau, G., Barker, I., et al. (2013). Technical and economic analysis of aeroponics and other systems for potato mini-tuber production in Latin America. Am. J. Potato Res. 90, 357–368. doi: 10.1007/s12230-013-9312-5
McGuire, S. J. (2007). Vulnerability in farmer seed systems: farmer practices for coping with seed insecurity for sorghum in Eastern Ethiopia. Econ. Bot. 61, 211–222. doi: 10.1663/0013-0001(2007)61[211:VIFSSF]2.0.CO;2
McGuire, S. J., and Sperling, L. (2008). Leveraging farmers' strategies for coping with stress: seed aid in Ethiopia. Glob. Environ. Chang. 18, 679–688. doi: 10.1016/j.gloenvcha.2008.07.002
McGuire, S., and Sperling, L. (2013). Making seed systems more resilient to stress. Glob. Environ. Chang. 23, 644–653. doi: 10.1016/j.gloenvcha.2013.02.001
McGuire, S., and Sperling, L. (2016). Seed systems smallholder farmers use. Food Secur. 8, 179–195. doi: 10.1007/s12571-015-0528-8
Meldrum, G., Mijatović, D., Rojas, W., Flores, J., Pinto, M., Mamani, G., et al. (2018). Climate change and crop diversity: farmers' perceptions and adaptation on the Bolivian Altiplano. Environ. Dev. Sustain. 20, 703–730. doi: 10.1007/s10668-016-9906-4
Meyer, D., Zeileis, A., Hornik, K., Gerber, F., and Friendly, M. (2017). vcd: Visualizing Categorical Data. CRAN R-project. Available online at: https://cran.r-project.org/package=vcd (Accessed January 21, 2018).
Mortimore, M. J., and Adams, W. M. (2001). Farmer adaptation, change and “crisis” in the Sahel. Glob. Environ. Chang. 11, 49–57. doi: 10.1016/S0959-3780(00)00044-3
Nasirumbi, L., Rubyogo, J. C., Ugen, M., Namayanja, A., and Luyima, G. (2008). “Reaching farmers in remote areas with improved bean varieties: lessons from Uganda,” in Farmers, Seeds and Varieties: Supporting Informal Seed Supply in Ethiopia, eds M. H. Thijssen, Z. Bishaw, A. Beshir and W. S. De Boef (Wageningen: Wageningen International), 113–118.
Orlove, B. S., and Godoy, R. (1986). Sectoral fallowing systems in the Central Andes. J. Ethnobiol. 6, 169–204.
Orrego, R., and Andrade-Piedra, J. (2016). “Aeroponic seed and native potatoes in Peru,” in Case Studies of Roots, Tubers and Bananas Seed Systems. RTB Working Paper No. 2016-3, eds Andrade-Piedra J., J. Bentley, C. Almekinders, K. Jacobsen, S. Walsh and G. Thiele (Lima, Peru: CGIAR Research Program on Roots, Tubers and Bananas (RTB)), 33–45.
Oswald, A., De Haan, S., Sanchez, J., and Ccanto, R. (2009). The complexity of simple tillage systems. J. Agric. Sci. 147, 399–410. doi: 10.1017/S0021859609008545
Otsyula, R., Rachier, G., Ambitsi, N., Juma, R., Ndiya, C., Buruchara, R., et al. (2004). “The Use of Informal Seed Producer Groups for Diffusing Root-Rot Resistant Varieties during Periods of Acute Stress,” in Addressing Seed Security in Disaster Response: Linking Relief with Development, eds L. Sperling, T. Remington, J. M. Haugen and S. Nagoda (Cali: International Center for Tropical Agriculture), 69–89.
Pando Gomez, R., Villalobos Otiniano, E., Roca Infante, L., Cabrera Hoyos, H., Pérez Vásquez, J. M., Otiniano Villanueva, R., et al. (2015). Catálogo de Variedades de Papa Nativa de Chugay, La Libertad – Perú, 1st ed, ed Z. Portillo Martínez (Lima: Centro Internacional de la Papa (CIP), Asociación Pataz, Instituto Nacional de Innovación Agraria (INIA)), 1–199.
Parsa, S., Ccanto, R., and Rosenheim, J. A. (2011). Resource concentration dilutes a key pest in indigenous potato agriculture. Ecol. Appl. 21, 539–546. doi: 10.1890/10-0393.1
Pautasso, M. (2015). Network simulations to study seed exchange for agrobiodiversity conservation. Agron. Sustain. Dev. 35, 145–150. doi: 10.1007/s13593-014-0222-9
Pautasso, M., Aistara, G., Barnaud, A., Caillon, S., Clouvel, P., Coomes, O. T., et al. (2013). Seed exchange networks for agrobiodiversity conservation. A review. Agron. Sustain. Dev. 33, 151–175. doi: 10.1007/s13593-012-0089-6
Phiri, M. A. R., Chirwa, R., and Haugen, J. M. (2004). “A Review of Seed Security Strategies in Malawi,” in Addressing Seed Security in Disaster Response: Linking Relief with Development, eds. L. Sperling, T. Remington, J. M. Haugen and S. Nagoda (Cali: International Center for Tropical Agriculture), 135–157.
Poudel, D., Sthapit, B., and Shrestha, P. (2009). “Application of social network analysis to understand on farm agro biodiversity conservation: case study from Nepal,” in Paper Presented at 6th Conference on Applications of Social Network Analysis 2009, University of Zurich, 27–28 August 2009 (Zurich: University of Zurich), 1–17.
Poudel, D., Sthapit, B., and Shrestha, P. (2015). An analysis of social seed network and its contribution to on-farm conservation of crop genetic diversity in Nepal. Int. J. Biodivers. 13:312621. doi: 10.1155/2015/312621
Prain, G. (1990). “El estudio de un sistema “informal”: El caso de la semilla de papa,” in Taller Latinoamericano sobre Métodos para Estudiar la Comercialización Agrícola. Lima (Peru). 11-13 Jun 1990, eds G. J. Scott and J. E. Herrera (Lima: International Potato Center, (CIP.). IICA), 114–136.
R. Core Team (2017). R: A Language and Environment for Statistical Computing. Available online at: https://www.r-project.org/
Ricciardi, V. (2015). Social seed networks: identifying central farmers for equitable seed access. Agric. Syst. 139, 110–121. doi: 10.1016/j.agsy.2015.07.002
Robin, X., Turck, N., Hainard, A., Tiberti, N., Lisacek, F., Sanchez, J. C., et al. (2011). pROC: an open-source package for R and S+ to analyze and compare ROC curves. BMC Bioinformatics 12:77. doi: 10.1186/1471-2105-12-77
Scheidegger, U., Ezeta, F., Egger, P., Vittorelli, C., and Prain, G. (1988). “User-Friendly Potato Seed Programs in Peru,” in Nutrition and Development. Zurich (Switzerland). 21-23 Dec 1988 (Lima: International Potato Center (CIP)), 1–5.
Scheidegger, U., and Prain, G. (2000). “Support to diversity in potato seed supply,” in Encouraging Diversity: The Conservation and Development Of Plant Genetic Resources, eds C. Almekinders and W. De Boef (London: Intermediate Technology Publications Ltd.), 232–236.
Schroedl, S. (2016). plotluck: “ggplot2” Version of I'm Feeling Lucky! CRAN R-project. Available online at: https://cran.r-project.org/package=plotluck (Accessed January 21, 2018).
Sietz, D., Mamani Choque, S. E., and Lüdeke, M. K. B. (2012). Typical patterns of smallholder vulnerability to weather extremes with regard to food security in the Peruvian Altiplano. Reg. Environ. Chang. 12, 489–505. doi: 10.1007/s10113-011-0246-5
Skarbø, K. (2014). The cooked is the kept: factors shaping the maintenance of agro-biodiversity in the Andes. Hum. Ecol. 42, 711–726. doi: 10.1007/s10745-014-9685-1
Sparks, A. H., Forbes, G. A., Hijmans, R. J., and Garrett, K. A. (2014). Climate change may have limited effect on global risk of potato late blight. Glob. Chang. Biol. 20, 3621–3631. doi: 10.1111/gcb.12587
Sperling, L., Boettinger, S., and Barker, I. (2013). Planning for Scale Brief #3 Integrating Seed 1259 Systems. Available online at: https://seedsystem.org/wp-content/uploads/2014/03/Integrating-Seed-Systems-.pdf
Sperling, L., and Cooper, H. D. (2003). “Understanding seed systems and strengthening seed security,” in Improving the Effectiveness and Sustainability of Seed Relief. Proceedings of a Stakeholders' Workshop, Rome, 26-28 May 2003 (Rome: Food and Agriculture Organization of the United Nations), 1–33.
Sperling, L., Remington, T., and Haugen, J. M. (2004) “Overview of findings reflections,” in Addressing Seed Security in Disaster Response: Linking Relief with Development, eds L. Sperling, T. Remington, J. M. Haugen, S. Nagoda (Cali: International Center for Tropical Agriculture), 1–13.
Sthapit, B., Lamers, H., and Rao, R. (2013). “Custodian farmers of agricultural biodiversity: selected profiles from South and South East Asia,” in Proceedings of the Workshop on Custodian Farmers of Agricultural Biodiversity, 11-12 February 2013, New Delhi, India, eds B. Sthapit, H. Lamers and R. Rao (Rome: Bioversity International), 74.
Stromberg, P. M., Pascual, U., and Bellon, M. R. (2010). Seed systems and farmers' seed choices: the case of maize in the Peruvian Amazon. Hum. Ecol. 38, 539–553. doi: 10.1007/s10745-010-9333-3
Subedi, A., Chaudhary, P., Baniya, B. K., Rana, R. B., Tiwari, R. K., Rijal, D. K., et al. (2003). Who maintains crop genetic diversity and how? implications for on-farm conservation and utilization. Cult. Agric. 25, 41–50. doi: 10.1525/cag.2003.25.2.41
Tatlonghari, G., Paris, T., Pede, V., Siliphouthone, I., and Suhaeti, R. (2012). Seed and information exchange through social networks: the case of rice farmers of Indonesia and Lao PDR. Sociol. Mind 2, 169–176. doi: 10.4236/sm.2012.22022
Thiele, G. (1999). Informal potato seed systems in the andes: why are they important and what should we do with them? World Dev. 27, 83–99. doi: 10.1016/S0305-750X(98)00128-4
Thomas-Sharma, S., Abdurahman, A., Ali, S., Andrade-Piedra, J. L., Bao, S., Charkowski, A. O., et al. (2015). Seed degeneration in potato: the need for an integrated seed health strategy to mitigate the problem in developing countries. Plant Pathol. 65, 3–16. doi: 10.1111/ppa.12439
Tobin, D., Glenna, L., and Devaux, A. (2016). Pro-poor? Inclusion and exclusion in native potato value chains in the central highlands of Peru. J. Rural Stud. 46, 71–80. doi: 10.1016/j.jrurstud.2016.06.002
Urrea-Hernandez, C., Almekinders, C. J. M., and van Dam, Y. K. (2016). Understanding perceptions of potato seed quality among small-scale farmers in Peruvian highlands. NJAS - Wageningen J. Life Sci. 76, 21–28. doi: 10.1016/j.njas.2015.11.001
Violon, C., Thomas, M., and Garine, E. (2016). Good year, bad year: Changing strategies, changing networks? A two-year study on seed acquisition in northern Cameroon. Ecol. Soc. 21, 1–14. doi: 10.5751/ES-08376-210234
Walsh, S., Bihizi, J.-M., Droeven, C., Ngendahayo, B., Ndaboroheye, B., and Sperling, L. (2004). “Drought, Civil Strife, and Seed Vouchers and Fairs: The Role of the Trader in the Local Seed System,” in Addressing Seed Security in Disaster Response: Linking Relief with Development, eds L. Sperling, T. Remington, J. M. Haugen and S. Nagoda (Cali: International Center for Tropical Agriculture), 15–28.
Wencélius, J., Thomas, M., Barbillon, P., and Garine, E. (2016). Interhousehold variability and its effects on seed circulation networks: a case study from northern Cameroon. Ecol. Soc. 21, 1–12. doi: 10.5751/ES-08208-210144
Wickham, H. (2011). ggplot2. Wiley Interdiscip. Rev. Comput. Stat. 3, 180–185. doi: 10.1002/wics.147
Zimmerer, K. S. (1991). The regional biogeography of native potato cultivars in highland Peru. J. Biogeogr. 18, 165–178. doi: 10.2307/2845290
Zimmerer, K. S. (2003). Geographies of seed networks for food plants (Potato, Ulluco) and approaches to agrobiodiversity conservation in the Andean Countries. Soc. Nat. Resour. An Int. J. 16, 583–601. doi: 10.1080/08941920309185
Zimmerer, K. S. (2013). The compatibility of agricultural intensification in a global hotspot of smallholder agrobiodiversity (Bolivia). PNAS 110, 2769–2774. doi: 10.1073/pnas.1216294110
Keywords: smallholder farmers, seed networks, potato diversity, landraces, Andes, stress
Citation: Arce A, de Haan S, Burra DD and Ccanto R (2018) Unearthing Unevenness of Potato Seed Networks in the High Andes: A Comparison of Distinct Cultivar Groups and Farmer Types Following Seasons With and Without Acute Stress. Front. Sustain. Food Syst. 2:43. doi: 10.3389/fsufs.2018.00043
Received: 01 May 2018; Accepted: 03 July 2018;
Published: 30 July 2018.
Edited by:
Stephen Whitfield, University of Leeds, United KingdomReviewed by:
Conny Almekinders, Wageningen University & Research, NetherlandsKatrien Descheemaeker, Wageningen University & Research, Netherlands
Copyright © 2018 Arce, de Haan, Burra and Ccanto. This is an open-access article distributed under the terms of the Creative Commons Attribution License (CC BY). The use, distribution or reproduction in other forums is permitted, provided the original author(s) and the copyright owner(s) are credited and that the original publication in this journal is cited, in accordance with accepted academic practice. No use, distribution or reproduction is permitted which does not comply with these terms.
*Correspondence: Alejandra Arce, YWxlYXJjZWlAZ21haWwuY29t