Your new experience awaits. Try the new design now and help us make it even better

ORIGINAL RESEARCH article

Front. Sustain. Food Syst., 01 July 2022

Sec. Land, Livelihoods and Food Security

Volume 6 - 2022 | https://doi.org/10.3389/fsufs.2022.892818

Farming Systems, Food Security and Farmers' Awareness of Ecosystem Services in Inland Valleys: A Study From Côte d'Ivoire and Ghana

  • 1Environmental Economics and Natural Resources, Department of Social Sciences, Wageningen University, Wageningen, Netherlands
  • 2Plant Production Systems, Department of Plant Sciences, Wageningen University, Wageningen, Netherlands
  • 3Sustainable Livestock Systems, International Livestock Research Institute (ILRI), Nairobi, Kenya
  • 4Policy, Innovation Systems and Impact Assessment Program, Africa Rice Center (AfricaRice), Bouaké, Côte d'Ivoire
  • 5Sustainable Productivity Enhancement Program, Africa Rice Center (AfricaRice), Bouaké, Côte d'Ivoire

Inland valleys (IVs) in West African countries have increasingly been used for crop production, including rice cultivation. Though it is widely assumed that IVs have a high potential to contribute to food security of West African countries, a comprehensive assessment of farming systems addressing agricultural, institutional, food security, poverty, and ecosystem indicators is still lacking. This study characterizes IVs' smallholder farm households at the regional and farm type level using Rural Household Multiple Indicator Survey (RHoMIS) data collected from 733 randomly selected farm households in four agro-ecological regions, i.e., Bouaké and Gagnoa in Cote d'Ivoire, and Ahafo Ano North and Ahafo Ano South in Ghana. A farm typology is developed, and farm households are characterized with regard to demographic, agricultural, economic, and institutional indicators. Furthermore, farm households' food security and poverty status, and the importance of rice in the portfolio of crops, is assessed. Finally, farmers' awareness of different ecosystem services (ES) for their food security is examined. Four farm types are identified, i.e., farmers who rent all the land cultivated, farmers who own some land and rent extra land, farmers who own and cultivate all their land, and farmers cultivating only a part of the land they own. We find that the variation in farm households' demographic, economic, and institutional characteristics is greater between regions than within regions. Crop production, either for direct consumption or marketing, especially rice production, is the main contributor to daily energy intake, followed by wild food consumed. Still, a substantial percentage of the farm households (16–38%) in all regions cannot meet minimum daily energy requirements. Farmers of all farm types, and in all regions, attach high relevance to IVs' provisioning ES, particularly the ability to provide food. A majority of farmers in all regions highlighted the relevance of regulating ES, including climate regulation, water storage, and groundwater values for their wellbeing. In contrast, farmers attached relatively lower relevance to cultural ES. Interventions to improve national rice production need to acknowledge and preserve the diversity ES that IVs provide to smallholder farm households.

Introduction

Smallholder-based farming is a major source of livelihood for the rural population in West Africa. Farm households in this region derive their food and income mainly through crop production, livestock rearing (Thornton et al., 2010; Kuivanen et al., 2016b), and fish farming (Kiepe, 2006; Sanni and Juanich, 2006). Notwithstanding, in most West African countries, food and nutrition insecurity has remained a severe problem (FAO, 2017), with a high prevalence in rural areas (Livingston et al., 2011). Inland Valleys (IVs), being seasonally flooded wetlands, including hydromorphic fringes and valley bottoms (Rodenburg et al., 2014), have increasingly been used for crop production, in particular for rice. Still, there is little insight into the structure of farming systems at the regional level, which is a prerequisite for informed decision-making on the use of IVs for food production.

Though rice makes an important contribution to peoples' diets, self-sufficiency in rice production in West African countries is not yet achieved (Van Oort et al., 2015; Fontan Sers and Mughal, 2020; Soullier et al., 2020a). On the contrary, West African countries import rice from the international market to bridge the gap between domestic rice demand and supply (Mendez del Villar and Lançon, 2015). In recent years, several West African countries have started National Rice Development Strategies (NRDS) to intensify IV rice production (Soullier et al., 2020b). Yet farmers' rice yields are on average <2 t/ha—far below the rainfed lowland rice production potential yield of 6.5 t/ha (Saito et al., 2015; Niang et al., 2017).

Besides being used for food production, IVs provide diverse market and non-market goods and services called ecosystem services (ES), from which local communities derive various benefits. Following the Millennium Ecosystem Assessment (MEA, 2005), ES can generally be categorized into four types: provisioning, regulating, cultural, and supporting ES. Food production can be characterized as a provisioning ES offered by IVs. Intensifying food production in IVs can improve smallholder farmers' food security in West African countries. Until now, however, IV farm households' awareness of ES, and the relevance they assign to ES for sustaining their livelihoods, are poorly understood. Unraveling farmers' perception of the relevance of ES can be a useful entry point for future development of the region, and ensure that policy efforts for IV cultivation are accepted by IVs users. Furthermore, food production must be balanced with the maintenance of ES to ensure the long-term sustainability of IV resource use. Establishing sustainable food production systems in IVs requires, therefore, understanding of how ES contributes to farmers' wellbeing and if and how food production can be combined with other ES. This requires a comprehensive characterization of farming systems in and around IVs.

Though several studies have analyzed options for sustainably intensifying food production in IVs (e.g., Schmitter et al., 2015; Dossou-Yovo et al., 2017), an in-depth assessment of farming systems in terms of the agricultural and institutional indicators is not available. Besides, farm households' food security status and smallholder farmers' perceptions of the relevance of ES provided by IVs have not been investigated yet.

The aim of this paper is to characterize IV's farming systems in West Africa according to household demographic, agricultural, economic, and institutional indicators and assess the relevance of ES for farmers. We use an extended version of the Rural Household Multiple Indicator Survey tool (RHoMIS), which has been widely applied and verified in Sub-Saharan Africa (Frelat et al., 2016; Hammond et al., 2017; Wichern et al., 2018) and Asian countries (e.g., India) (Lopez-Ridaura et al., 2018). Specific attention is given to the importance of rice cultivation in the portfolio of crops, given the local and national importance as food crop. This allows us to develop a farm typology for the selected countries and regions and to systematically characterize farm households in IVs in West Africa. Farm households in rural West Africa are highly diverse regarding resource endowments and demography (e.g., Falconnier et al., 2015; Kuivanen et al., 2016b). Moreover, biophysical conditions, such as rainfall, temperature, and soil types, differ among regions (Iizumi and Ramankutty, 2015), affecting farm households' agricultural productivity (Falconnier et al., 2015; Kuivanen et al., 2016b). Next, we analyze household food security, the poverty status and the relative importance that farm households attach to different ES across farm types and regions. This will facilitate the development of design of interventions sustainable food production systems in IVs and design interventions that provide a wide range of options suitable for different farm households as mentioned by Castro et al. (2011), Shoyama et al. (2013), Douxchamps et al. (2016), Hammond et al. (2017), and Lopez-Ridaura et al. (2018).

Materials and Methods

Selection of Study Regions and Inland Valleys

Data collection was conducted in four regions, two in Côte d'Ivoire (Bouaké and Gagnoa regions) and two in Ghana (Ahafo Ano North and Ahafo Ano South regions) (Figure 1). These regions are major rice-growing areas that differ for their agricultural potential due to their different biophysical and socioeconomic characteristics (Table 1). In Ghana, the study areas are named districts, while in Côte d'Ivoire, they represent Sub-Prefectures; here, we use the term 'region' for simplicity.

FIGURE 1
www.frontiersin.org

Figure 1. Map of the study area with the four regions and eight inland valleys selected in each region (A) Bouaké [top left], (B) Ahafo Ano North [Top right], (C) Gagnoa [bottom left], and (D) Ahafo Ano South [bottom right].

TABLE 1
www.frontiersin.org

Table 1. Main characteristics of the selected regions in Côte d'Ivoire and Ghana (2018–2019).

A database of all IVs in the selected regions, including the geo-referenced position, was provided by national research institutions, the National Centre for Agricultural Research/(CNRA), and the National Agency for Rural Development (ANADER) in Côte d'Ivoire and the Council for Scientific and Industrial Research—Soil Research Institute (CSIR-SRI) in Ghana. Four selection criteria were identified based on scientific literature, information from partners, and transect walks in three IVs in Gagnoa (Table 2). We used a simple multi-criteria analysis (MCA) by assigning scores from 1 to 3 to each of the four selection criteria characterizing IVs together with members of the national partner institutions, where 1 indicates a low and 3 a high relevance. The scores were summed to one overall score for each IV, resulting in a ranking of IVs per region. In total, 32 IVs, the eight highest-scoring IVs in each region, were selected (Figure 1), out of 46 IVs in Gagnoa, 29 IVs in Bouaké, 40 IVs in Ahafo Ano North, and 17 IVs in Ahafo Ano South.

TABLE 2
www.frontiersin.org

Table 2. Criteria to select inland valleys in Côte d'Ivoire and Ghana.

Household Surveys

From July to August 2018, a socioeconomic and agronomic household survey was conducted in the 32 selected IVs of Côte d'Ivoire and Ghana using the Rural Household Multiple Indicator Survey (RHoMIS). Farm households were selected randomly, keeping the sample size per IV proportional to the size of the population. In line with the household survey ethics, farm households were offered the option of written informed consent to participate or not. In total, 733 smallholder farmers (361 in Côte d'Ivoire and 372 in Ghana) were interviewed.

RHoMIS supports data storage and analysis (van Wijk et al., 2020) and reports with focus indicators are automatically generated (Hammond et al., 2017). This enables an effective and transparent assessment of farm performance and comparison of household data across countries and regions. We extended RHoMIS with questions based on our specific research goals related to farming practices, rice production, institutional and governance structures, farmers' awareness of ES, and market variables. The selection of variables was based on the findings of previous studies, which showed that site and household-specific variables such as household resource endowment, land tenure, market, institutional, agricultural, and economic conditions directly influence the opportunities and the constraints for farm household development (e.g., Righi et al., 2011; Mutoko et al., 2014; Kamau et al., 2018; Lacoste et al., 2018). Additionally, an in-depth analysis of agricultural and institutional indicators facilitates a better understanding of the current farming practices and of the diversity of livelihood activities. The questionnaire was pre-tested, adapted, and implemented using the Open Data Kit (ODK) data collection tool and installed on Android-based tablets. Enumerators were trained, and the data were collected using face-to-face interviews.

Development of a Farm Typology

We constructed a farm typology based on the survey data using a principal component analysis (PCA) and expert knowledge from researchers, extension agents, and farmers. First, the PCA was used to reduce the dataset to the non-correlated indicators and to gain insight into the major sources of variability among households. Secondly, the local experts contributed to the selection of key indicators, which served as discriminating criteria for developing the farm typology for the selected regions. The typology was discussed with farmers and they acknowledged it. Household income was converted into US$ using the purchasing power parity (PPP) conversion factor in the year of study based on the world development indicator to facilitate country-wise comparison (World Bank, 2020b). Household cash income was calculated based on the income received by farm households in the form of cash from the sale of farm produce food crops, livestock sold, wild foods collected and sold, and off-farm activities as reported by farmers.

Assessment of Food and Nutrition Security and Poverty

The “potential food availability (PFA)-energy” and the household dietary diversity score (HDDS) were used as proxies to assess farm households' food and nutrition security, respectively. Both have been widely used to assess food availability and nutritional quality of household's diets in different studies in Sub-Saharan Africa (Ritzema et al., 2017; Wichern et al., 2018) and Asia (e.g., India) (Lopez-Ridaura et al., 2018). The PFA, expressed in kcal per male adult equivalent (MAE) per day (MAE−1 d−1), is a supply-based estimate of the potential amount of food generated through on- and off-farm activities (Frelat et al., 2016; Hammond et al., 2017; Ritzema et al., 2017) and is provided by the RHoMIS tool. Farm households with <2,500 kcal MAE−1 d−1 are considered food insecure (UNU WHO, 2004; Smith and Subandoro, 2007). The HDDS was computed from the frequency of food groups consumption during a 4-week recall period (Hammond et al., 2017; van Wijk et al., 2020). According to FAO (2006), HDDS scored ≤ 3 as low dietary diversity, 4–5 as a medium, and ≥6 as high. The poverty level was assessed using the World Bank international poverty line of US$ 1.90 per person per day. According to the World Bank (2020a), extreme poverty is measured as the number of people living on < US$ 1.90 per day (in 2011, international PPP).

Assessment of Ecosystem Services

To identify ES categories to be used in the survey, we adopted a four-step approach. First, we defined four ES categories: provisioning, regulating, supporting and cultural services. Second, a list of 21 ES (seven provisioning ES, seven regulating, one supporting, and six cultural ES) provided by IVs was constructed based on the scientific literature on ecosystem service valuation, focusing on wetlands (MEA, 2005; Wangai et al., 2016; Costanza et al., 2017) (Supplementary Table 1). Thirdly, the survey was tested with 25 IV farm households in the Bouaké region. Using farmers' feedback, the rather academic terms for different ES were translated into formulations that farm households can better understand. Fourth, we allowed farmers to add ES not included in our list. The respondents scored the ES on a Likert scale of 1–5 (1 = not at all important to 5 = very important). The scores allowed analyzing the perceived importance of ES between regions and farm types within regions.

Statistical Analysis

Descriptive statistics were employed to analyze the indicators of farm households per region and farm types. Data were analyzed using Stata SE 16 (StataCorp LLC, 2017) and R 3.6.1 (R Development Team, 2018). Quantitative variables between regions and farm types were compared using a one-way analysis of variance (ANOVA). The median and interquartile values were reported where the variable was not normally distributed. The (non-parametric) Kruskal-Wallis H one-way analysis of variance was employed to compare the median significance difference between regions or farm types. To analyze differences between regions or farm types within a region, mean values were tested for significance using the post-hoc Bonferroni correction test at P < 0.05. The post-hoc Dunn test with Bonferroni adjusted test at P < 0.05 was used for the median. Finally, Kendall's W test was used to rank the crops that farmers perceived important among the portfolio of crops cultivated in IVs of each region. The importance of cultivated crops as perceived by the respondents was rated using a Likert scale of 1–5 (1 = not at all important to 5 = very important). The reliability, internal consistency, and sample adequacy of the Likert scale values for ES farm households' awareness were tested with a Cronbach's alpha test. Besides, the relationship between the ES categories were assessed using Spearman's correlation coefficients.

Results

Comparison of Farm Households' Characteristics Across Regions

Table 3 shows the farm households' basic characteristics in the four regions in Côte d'Ivoire and Ghana organized according to demographic, agricultural, economic, and institutional indicators.

TABLE 3
www.frontiersin.org

Table 3. Farm household characteristics in the four study regions based on the household baseline survey 2018–2019; (proportion or means ± standard deviation).

Household Demography

Farm household demographic indicators varied between regions within each country. Farm household heads in all regions were predominantly male and significantly more so in Côte d'Ivoire than in the Ghanaian regions. The education level was significantly higher in Ghana than in Côte d'Ivoire. Family size was larger in Côte d'Ivoire, and it was significantly larger in Bouaké than in Gagnoa.

Agricultural Production Systems

The agricultural production systems differed significantly (P < 0.001) among regions in terms of land owned, land cultivated, crop intensity, presence of perennial crops, rice cultivation, and use of IV bottom (Table 3B). The area of land owned in Bouaké (5.9 ha) was significantly larger than in Gagnoa (3.6 ha), which was again significantly larger than in Ahafo Ano North and Ahafo Ano South (both 1.7 ha). In contrast, the cultivated land area in Gagnoa (3.7 ha) was significantly larger compared with that in the three other regions. On average, farm households cultivated two to three crops per year in each region. The share of farm households owning perennial crops was largest in Gagnoa (60%), followed by Bouaké (46%) and then both Ghanaian regions (34 and 35%). Regions differed significantly in the share of farmers growing rice in the order with Gagnoa the most (86%), then Ahafo Ano South, Bouaké, and Ahafo Ano North the least (45%). The highest share of IV bottom users was in Gagnoa and Ahafo Ano North, while the smallest share was in Bouaké and Ahafo Ano South. The share of farmers cultivating rice is smaller than the share of farmers using the valley bottoms in all regions, except Gagnoa, where it is similar.

Socioeconomic Characteristics

Farming was the main source of income for all households. None of the economic indicators related to household income differed significantly between regions due to the large observed variation within each region. There is a slight difference between households' farm income and total income. The difference between both incomes varies from 87 US$ year−1 (Bouaké) to 805 US$ year−1 (Ahafo Ano South). Activities such as livestock and hiring out labor were marginal contributions to household income. However, the proportion of households hiring labor varied significantly (P < 0.001) between regions and was significantly higher in Bouaké and Ahafo Ano North than in the other regions.

Institutional Services

All institutional service indicators varied significantly (P < 0.001) across regions (Table 3D). The share of farm households with access to extension services was higher in both Ghanaian regions (50%) than in Côte d'Ivoire (29%). In contrast, a relatively large share of farmers had access to credit in Bouaké and Gagnoa compared with Ahafo Ano North and Ahafo Ano South. A relatively large share of households had access to a market in Bouaké and Ahafo Ano North compared with the other regions.

Main Crops Cultivated in the Study Regions

Most farm households cultivated between two and three crops per year. The importance of crops related to their economic value and home consumption, indicated on a scale from 0 to 12, varied between regions (Supplementary Table 2). The variation of cultivated crops may be explained by the regions' biophysical conditions, the diet habits of households, and market demand in each region. Rice, both a food and a cash crop, scored highest in all regions, followed by cocoa, a perennial cash crop in Gagnoa and Ahafo Ano North. In contrast, a food crop, yam and maize were ranked as second crop, respectively in Bouaké and Ahafo Ano South. The third crop is a perennial cash crop in all regions except Ahafo Ano North, where maize has a third place.

Comparison of Farm Household Characteristics Across Farm Types

Farm Typology

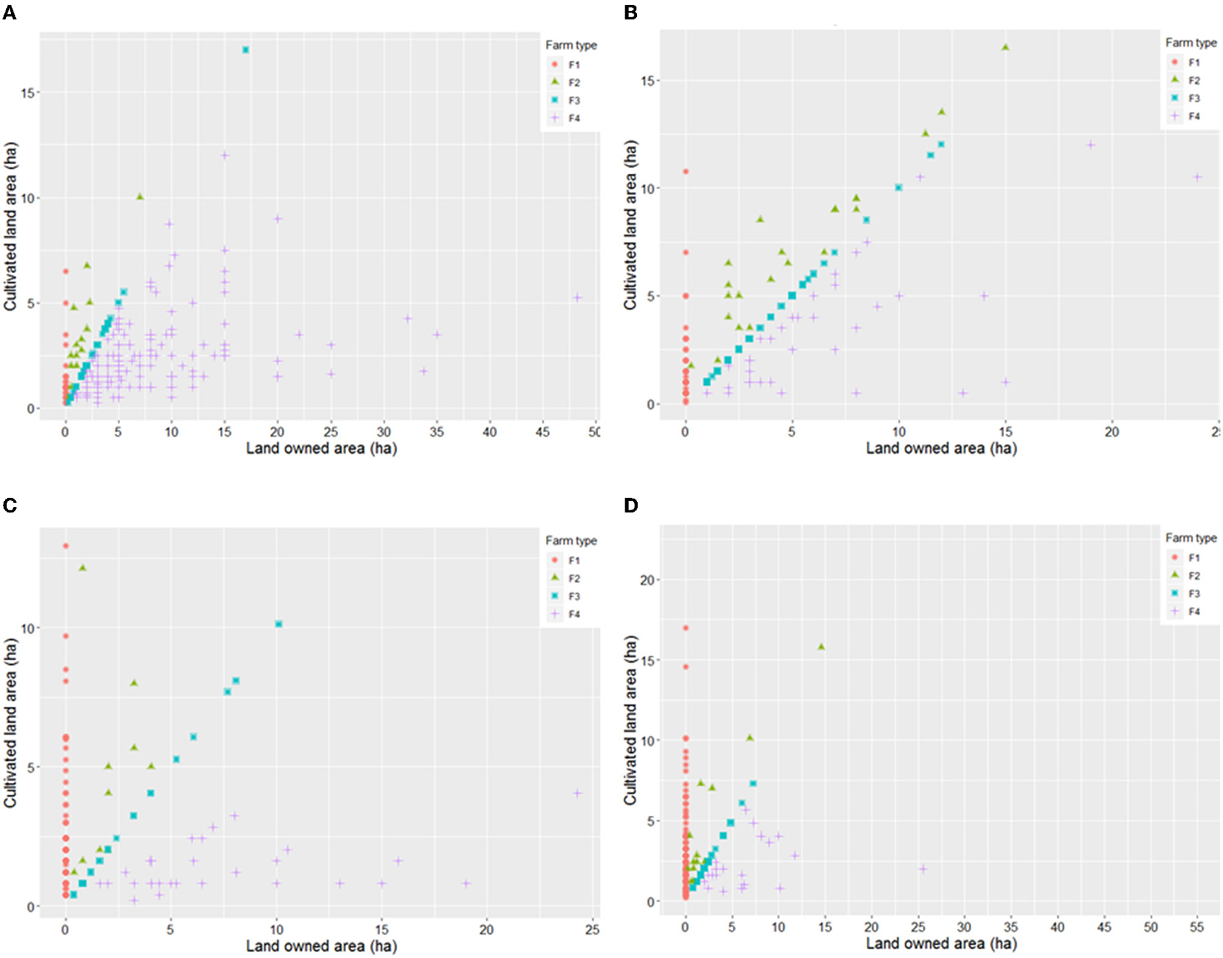
KMO test on indicators of surveyed farmers was significant (P > 0.001) and its value in each region was >0.5 (Table 4), which is appropriate to proceed to factor analysis. The PCA identified the indicators with the highest loading Eigenvalues, which were: “cultivated land,” “land owned,” “household size,” “cultivated land: household size ratio,” and “land owned: household size in MAE ratio” (Supplementary Figure 1). In consultation with local experts, we classified households into farm types by land tenure (owned or rented) and land use (cultivated or not cultivated by the owner). Four farm types (FT) were identified: FT1 farmers who rent all the land they cultivate (most of them, but not all, being immigrants), FT2 farmers own some land and rent extra land (rent-in land), FT3 farmers own and cultivate all their land; FT4 farmers cultivate only parts of the land they own (Figure 2).

TABLE 4
www.frontiersin.org

Table 4. Result of the KMO test.

FIGURE 2
www.frontiersin.org

Figure 2. Cultivated area against land owned for all farm households in (A) Bouaké [top left], (B) Gagnoa [top right], (C) Ahafo Ano North [bottom left], and (D) Ahafo Ano South [bottom right].

Differences Between Farm Types Across Regions

Tables 5, 6 summarize key indicators of the four farm types across the four regions. They show that there are no consistent significant differences between farm types over all regions. Each region has its own specific characteristics. The farm household head's education level differed in all regions except Bouaké. The crop intensity of farm types within each region was similar except for Bouaké. In Gagnoa and Ahafo Ano South, more farmers in FT2 and FT4 cultivated perennials, and in Ahafo Ano South also FT3. The share of farm households growing rice did not differ among farm types, except for Ahafo Ano South, where the farm types with a high score on perennials scored lower on rice cultivation. Access to credit only differed between farm types in Gagnoa, while in Ahafo Ano North, access to extension service varied.

TABLE 5
www.frontiersin.org

Table 5. Farm household indicators (proportion and means ± standard of deviation) for the four farm types in selected regions of Côte d'Ivoire, based on the RHoMIS household baseline survey (2018–2019).

TABLE 6
www.frontiersin.org

Table 6. Farm household indicators (proportion and means ± standard deviation) for the four farm types in selected regions of Ghana, based on the RHoMIS household baseline survey (2018–2019).

In Bouaké, 66% of the farmers cultivated less land than they own (FT4). Famers renting extra land (FT2) constituted only 6% of the sample. The farmers renting all their land (FT1) and the large farmers cultivating only part of their land (FT4) had a larger income than FT2 and FT3 farmers. Besides, a larger number of farmers belonging to FT1 and FT4 were hired in labor. Of the farmers renting extra land, 80% depended on farming, while this percentage was 95% or more for farmers of the other farm types. Although the difference was not significant, fewer farmers renting all their land tended to cultivate rice, use land in the valley bottom, and use extension services despite their higher income.

In Gagnoa, the farmers are distributed more or less evenly across farm types, although the farmers renting extra land (FT2) comprised only 13% of the surveyed farmers. The farmers cultivating only part of their land (FT4) were better educated. Similar to Bouaké, farmers renting extra land (FT2) depended on farming for 80% of their income. For the other farm types, this was above 90%, on average, but none depended solely on farming. Only a small share of FT1 had perennial crops because this group of farmers has a land-sharing contract with perennial tree crop owners. In contrast to Bouaké, more of them tended to cultivate rice and used land in the valley bottom, although it was also not significant. More farmers renting all their land (FT1) and farmers renting-in extra land (FT2) had to access credit.

In Ahafo Ano North, 65% of the surveyed farmers rented all their land (FT1), and farmers renting extra land (FT2) were only 5%. The FT1 farmers were younger than the others, although not significantly different from the farmers renting-in extra land (FT2). The number of years of education of the FT1 farmers was smaller than for the other farmers. A smaller share of the FT4 farmers used to cultivate the valley bottom, and fewer tended to grow rice. Farmers of all farm types depended 95% or more on farming for their income.

In Ahafo Ano South, 62% of the surveyed farmers rented all their land (FT1), and 7% rented extra land (FT2). A larger part of the FT1farmers and the farmers cultivating only part of their land (FT4) was male than in farm types 2 and 3. The number of years of education of farmers renting all their land (FT1) and farmers renting extra land (FT2) was less than for farmers cultivating all their land (FT3) and those cultivating part of their land (FT4). Those farmers (FT1 and FT2) cultivated more rice than FT3 and FT4. The farmers renting extra land (FT2) owned substantially more livestock than the other farmers. These are also farmers that entirely depend on agriculture for their living. The other farm types are less dependent on farming, with FT4 the least, for 70%. In all regions except Bouaké, a large percentage of the FT4 farmers cultivated perennial crops, which is one of the upland crops, and specifically in Ghana, FT4 farmers cultivated less on IV bottomlands. Farmers with limited land ownership (FT1, FT2) tended to a large extent to cultivate the IV bottom; overall, more than 75% of them.

Food Security

Potential Food Availability Across Regions and Farm Types

Figure 3 illustrates the contribution of crop and livestock products, wild food consumed and sold, and off-farm income to the potential food availability (PFA) in different regions. Daily calorie consumption was below the recommended minimum level for about 32% of the households in Bouaké, 16% in Gagnoa, and 38% in both Ahafo Ano North and Ahafo Ano South. In all regions, crops (consumed and sold) were the main contributors to the PFA, followed by wild food consumed. The contribution of food crops sold to the overall daily energy supply increased with an increase in PFA. In Gagnoa, this applies only to households with the lowest PFA (Supplementary Figure 2). Other income sources (livestock, wild food sold, off-farm activities) were of minor importance for satisfying farm households' food needs, but they also increased with the PFA (Supplementary Figure 2).

FIGURE 3
www.frontiersin.org

Figure 3. The overall distribution of food availability across all study households in (A) Bouaké [top left], (B) Gagnoa [top right], (C) Ahafo Ano North [bottom left], (D) Ahafo Ano South [bottom right]. Each vertical bar represents one household, the colors represent its energy sources, and the height represents total food availability. The red dotted line indicates the minimum energy intake of 2,500 kcal MAE−1 d−1 for food security. Thus, 32, 16, 38, and 38% of the households in Bouaké, Gagnoa, Ahafo Ano North, and Ahafo Ano South are below the minimum energy intake, respectively.

Further analysis of PFA at farm-type level (Supplementary Figure 3) showed that the fraction of households being food insecure was less in FT4 (between 22 and 30%, respectively). One exception was observed for farmers in Gagnoa, where only a small proportion of farm households belonging to FT3 had an average food consumption below the recommended minimum calorie intake (4%). In contrast, farm households in FT3 appeared to be the most food insecure of all farm types in all other regions. In Ahafo Ano North, the contribution of wild food collected and sold was high for FT1 and FT4, whereas in Ahafo Ano South, it was high for FT3.

Poverty Across Regions and Farm Types

The actual cash income (US$ MAE−1 day−1) for each region is shown in Figure 4. Between 11 and 13% of the farm households had no cash income during the 12 months prior to the survey. Moreover, 60% of households in Bouaké, 55% in Gagnoa, and 42% in Ahafo Ano North and Ahafo Ano South lived below the poverty line of US$ 1.9 MAE−1 day−1 (World Bank, 2017, 2020a). Hence, about half of IV farm households fell below the poverty line in all regions. Across all regions, crop sales were the most important source of income to farm households. The poverty status and the actual cash income of farmers for each farm type per region are presented in Supplementary Figure 4. In general, the percentage of farm households living below the poverty line was high (>50%) for all farm types. The contribution of wild food sold was greater for FT1 than for other farm types. The contribution of off-farm income was small.

FIGURE 4
www.frontiersin.org

Figure 4. Cash income of individual farm households (A) Bouaké [top left], (B) Gagnoa [top right], (C) Ahafo Ano North [bottom left], and (D) Ahafo Ano South [bottom right]. Individual farm households are ordered on the x-axis. The blue dotted line represents the poverty line of $1.9 day−1 based on the World Bank international poverty line (World Bank, 2017).

Household Dietary Diversity Across Regions and Farm Types

HDDS scores in all farm types across regions were higher in a good season than in a bad season (Supplementary Figure 5). The median HDDS during the good season was classified high in all regions and farm types, except for FT2 and FT3 in Bouaké, where it was medium. It should be noted that the variability of the HDDS between households was large irrespective of the season.

Farm Households' Awareness of Ecosystem Services (ES)

Overall the pattern of the awareness of farm households ES was remarkably similar within a region for the different FTs (Figure 5, Supplementary Table 3). Generally, farm households acknowledged the importance of ES for their wellbeing. Except for flood prevention, differences between regions for all ES scores were significant (Supplementary Table 3). ES scores attached to a particular category (provisioning, regulating, supporting and cultural) differed more considerably among regions than between farm types. Farm households in all regions considered the provisioning service “food” to contribute most to their welfare.

FIGURE 5
www.frontiersin.org

Figure 5. Ecosystem services at farm level in different in (A) Bouaké [top left], (B) Ahafo Ano North [bottom left], (C) Gagnoa [top right], and (D) Ahafo Ano South [bottom right]. P, R, S and C indicate provisioning, regulating, supporting, and cultural ecosystems services, respectively. Firew_C: Firewood and Charcoal, Habitat_Pr: habitat provision, Consmat: Construction material, Medp: Medicinal plants, Waterd: Water for domestic use, Climater: Climate regulation, Waters: Water storage, Wastedis: Waste disposal, Fldp: Flood protection, Gwtr: Groundwater recharge, Erosionc: Erosion control, Pollination: Pollination insects, Soilfor: Soil formation, Handicra: Handicrafts, Aesthetic: Aesthetic values, Recreation: Recreational values, Religious: Religious values.

Regarding the other provisioning ES, the differences between regions are more obvious than between farm types within each region. Whereas in Bouaké, medicinal plants, firewood charcoal, and habitat provision appeared to be moderately relevant to all households, this was only the case for habitat provision for FT2 in Gagnoa. In contrast, farm households perceived water for domestic use more relevant in Ahafo Ano South. Households belonging to FT2 in Ahafo Ano South considered medicinal plants and habitat provision relevant, whereas these ES received low scores in Ahafo Ano North. Regarding supporting ES, soil formation is relatively important and larger in FT3 in all regions except Ahafo Ano North. In Ahafo Ano, North soil formation is higher in FT3.

Water storage, a regulating ES, seems to be important in all regions, though there were differences among FTs within regions. FT4 households assigned the highest scores to water storage in Ahafo Ano North and Ahafo Ano South, while this ES was most relevant for FT1 in Bouaké and FT2 in Gagnoa. Moreover, groundwater regulation was an important ES in all regions except Gagnoa. In Ahafo Ano North and Bouaké, FT1, FT2, and FT3 households perceived water regulation as particularly important. Bouaké was the only region where households also indicated climate regulation to be the least perceived ES. However, scores varied considerably between FTs. Finally, insect pollination received moderate scores by FTs in both regions in Ghana. However, it was considered low relevance by FTs in both regions in Côte d'Ivoire.

Regarding cultural ES, recreation was perceived as moderately relevant by all FTs in Bouaké. In contrast, the importance attached by FTs located in Gagnoa was mixed, and in Ahafo Ano North and Ahafo Ano South in Ghana, recreation did not seem to play a major role. Education is perceived structurally more relevant by farm households in Bouaké; relatively little awareness for this ES seems to exist in Gagnoa and the Ghanaian regions. Spearman's correlation coefficients regarding the relationship between the ES categories indicated a significant and strong positive correlation between provisioning and regulating ES (r = 0.57, P ≤ 0.01). There were also positive between regulating and supporting ES (r = 0.67, P ≤ 0.01) and provisioning and supporting ES (r = 0.35, P ≤ 0.01), as well as positive correlations between provisioning and cultural ES (r = 0.54, P ± 0.01) (Supplementary Table 4).

Discussion

Household Diversity Between and Within Regions

The observed variation in farm systems was larger between regions than within a region. Regions differed in terms of biophysical conditions, population density, education level, farm systems, and presence of institutional services, while within a region, these were more or less similar. A high homogeneity between the farm types within regions was also observed by Righi et al. (2011) in Uruguay. However, in sub-Saharan Africa, other studies found a much larger farm diversity than in our study regions (Tittonell et al., 2010; Giller et al., 2011; Mutoko et al., 2014). In those studies, wealth or resource endowment was taken as a classification criterion. We identified land tenure and cultivated area as discriminating criteria. In our study regions, a relatively large group of farmers cultivate all or parts of the land. Others own large areas but do not cultivate it all. This results in a large variation of the cultivated land area within each farm type. As an illustration, in Bouaké, the farmers renting all land cultivated a land area between 0.5 and 6 ha, and it ranged from 0.7 to 12 ha for the farmers with excess land. This is also reflected in the large variation in income within each farm type, as income, which is largely from agriculture in our study regions, is often related to the area of cultivated land.

A larger share of the households owning land, cultivated high-value perennial tree crops (i.e., cocoa and rubber) and occupied upland and IV bottom, while farmers who rented land mainly cultivated annual crops in the IV bottom. For example, in the Brong Ahafo region (Ghana), migrant farmers cultivated mainly food crops on rented land (Adjei-Nsiah et al., 2004). The share of households renting all of their land (FT1) was larger in both Ghanaian regions than in those in Côte d'Ivoire. The country-specific land tenure system might explain this. Around 80% of the land is under customary rights in Ghana (Pande and Udry, 2005), where land belongs to the royal family and is governed by the traditional local chief. Most royal bloodline farmers have access to land by inheritance, whereas others have access land through renting and sharecropping arrangements (Adjei-Nsiah et al., 2004; Abdulai et al., 2011). In Côte d'Ivoire, private land ownership predominates, and households have also access to land through sales (Abdulai et al., 2011; Colin, 2013). Based on our analysis, two sharecropping systems were identified in the study areas. First, land access arrangements where the tenant cultivates food crops and pays the landlord with part of the harvest. In our study, some said to pay 50 to 200 kg of rice or maize depending on the area of the rented land. The second system involved a contract to establish new cocoa or rubber plantations or manage an existing plantation between the usually autochthonous landlord and an allochtone “caretaker”). The complexity of land arrangements under the customary tenure system sometimes results in land conflicts (Adjei-Nsiah et al., 2008; Lambrecht and Asare, 2016), which is an additional constraint to resource-poor farmers. In Ahafo Ano North, we observed that a large area was allocated to one enterprise, and farmers cultivating that land complained they would have to leave the land within a short period. Insecure access to land is a major factor that prevents farmers from investing in soil fertility and perennial crops (Adjei-Nsiah et al., 2004; Abdulai et al., 2011). Land ownership influences decisions on-farm management, such as the choice of crop and the input use.

Food Security and Poverty

As expected, rice, both a food and cash crop, was confirmed by the farmers to be the most important crop in all regions, followed by perennial cash crops (cocoa, cashew) and other food crops (maize, yam). In the regions with limited market access, the share of farmers growing rice was significantly larger. The importance of rice, particularly for household consumption, was also highlighted in other studies in West African countries (Giertz et al., 2012; Seck et al., 2012). In this context, the large percentage of farmers renting all their land who cultivated mainly food crops in the IV bottom land, suitable for rice cultivation, may explain the importance attached to rice in the study regions. Besides, rice cultivation is stimulated by the demand from elsewhere, with an increasing dietary preference for rice (Balasubramanian et al., 2007) and population growth (Seck et al., 2012) and urbanization (Soullier et al., 2020b).

Despite the focus on food crops, in our case specifically rice, a substantial percentage of the farm households in all regions (16–38%) could not meet their minimum daily energy requirements in terms of food availability. This is in line with several other studies suggesting that food insecurity remains widespread in West and East Africa (Hengsdijk et al., 2014; Frelat et al., 2016; Fraval et al., 2019). In Gagnoa, a relatively small percentage of farm households was food insecure compared to the other three regions. Furthermore, many farmers were involved in perennial tree cultivation with high-value produce, except the landless farmers. Also, farm income tended to be above that in Bouaké for all farm types. Even though there was a higher share of food secure households, the dietary diversity was less in Gagnoa, both in good and bad seasons. Across all study regions, food crops were the main energy supply, both through direct consumption and sale, as was also observed elsewhere (see, e.g., Frelat et al., 2016; Ritzema et al., 2017). Livestock and wild foods also played a role in human diets.

It was remarkable that households derived their income mainly from farming activities, especially from arable farming. In addition, the contribution of wild foods consumed and sold for FT1 was large. The contributions of livestock and off-farm activities to income were negligible in all regions. Kuivanen et al. (2016a) made a similar observation about the lack of off-farm opportunities in Northern Ghana. This is markedly different from a study by Davis et al. (2017), who reported that rural households in 22 countries in Sub-Saharan Africa on-farm income contributed on average 63% to total income. Similar results for SSA were reported by Giller et al. (2021). For instance, off-farm activities contributed around 30–40% to the total income of cocoa farmers in the Western and Brong Ahafo region in Ghana (Wongnaa and Badu, 2020). The high dependence on farming is a risk to the financial and food security of farmers in IV's in case of crop failure due to flood events. At the start of the growing season, IV farmers focused on soil preparation and bunding, especially in the bottom valley fields for water storage. These are labor-intensive operations. In addition, labor wages were low (Haefele et al., 2000) and hence less attractive for farmers.

About half of the surveyed population lived below the poverty line, in Ghana, 42% and in Côte d'Ivoire, 55%. This is above the national average of about 25% in Ghana (2016) and 40% in Côte d'Ivoire (2018) (World Bank, 2020b). In all regions examined, very few off-farm job opportunities existed. However, it should be noted that the estimation of cash income focused on revenues from crops, livestock, and off-farm income only. We also considered remittances, but they were just minor. Similarly, a recent study by Harris et al. (2021), conducted in five African countries (Mali, Niger, Ethiopia, Burkina Faso and Kenya), found that the productivity is not sufficient to reach the poverty line ($1.90 per capita and day).

Ecosystem Services

Our results point to some interesting differences in farmers' perceptions of ES between regions and also highlight similar patterns among farm types.

We observed that provisioning ES, particularly IVs' ability to provide food, are considered highly important by farm households of all regions. This is perhaps not surprising since satisfying food needs is a primary concern to farm households, as observed elsewhere [e.g., Lhoest et al. (2019) in Cameroon, Hartter (2010) in Uganda, and Dave et al. (2017) in Madagascar]. Farmers' awareness of other provisioning ES differed across regions. In particular, charcoal was important in urban regions (Ahafo Ano South and, to some extent in Bouaké), where it is a scarce resource (Yang et al., 2019). The sparse livestock population explains the low importance of fodder provision. Medicinal plants are important in Ahafo Ano North and Bouaké, indicating their role in primary health care in these regions where access to health care services is limited.

So far, little attention has been given to the relevance of ES in developing IVs for increasing food production. Our results show that farmers are aware of the relevance of ES for their wellbeing. We find that farmers in all regions were aware of regulating ES, particularly climate regulation, water storage, groundwater, and insect pollination. This demonstrates that water is particularly vital for farm households in IVs. It is also crucial for rice production and food security, as rice strongly depends on water availability in the valley bottom (Egoh et al., 2012). Furthermore, farmers who perceive the benefits of pollination services provided by insects may refrain from using insecticides (Zhang et al., 2016). In contrast, IVs modulate floods and reduce flood hazards caused by heavy precipitation events through reducing the runoff fraction seems to be of minor importance to all farm types. This may be explained by keeping in mind that farmers producing in or around IVs are experienced with flood events. Besides, most of the IVs in our sample were not well developed, and the water management systems were poor. Soil formation was well perceived by farmers across regions and farm types, but it was generally rated low compared to other ES. Farmers' awareness of cultural ES was observed to be low compared to the other two categories. In Bouaké, farmers' awareness of the cultural ES tourism was relatively stronger than in the other regions. This contrasts with studies arguing that African communities generally attribute a high value to land as a means for strengthening cultural identity (Cocks et al., 2012; Egoh et al., 2012).

We observe a significant positive correlation between farmers' awareness of provisioning, regulating, and cultural ES. Provisioning ES had a strong relationship with regulating ES, and regulating ES had a strong relationship with supporting ES. This illustrates that farmers recognize the need to maintain a balance between ES in order to ensure the long-term sustainability of ecosystems. It is important to note, however, that the detailed relationships between individual ES cannot be explained by simple correlations alone but would require further research.

Our analysis does not provide an exhaustive picture of farming systems and cannot claim to be representative for all West African countries, nor for the whole of Ghana and Côte d'Ivoire. The RHoMIS survey is a one-off survey and uses cross-sectional data based on farm household recall. As such, it cannot fully capture the highly dynamic and complex structure of farming systems in West African IVs. The contribution of our study is to provide interesting new insights into the diversity of IV farming systems in West Africa, and about current practices of farm households in the selected regions. Furthermore, our results offer a comprehensive picture of food security, poverty, and farmers' awareness of ES in these regions. This lays the ground for exploring long-term strategies for sustainable agricultural development of West African IVs.

Conclusions

Our study of IVs revealed important new insights concerning the diversity of farming systems and the importance of ES. The defined farm types differed more between regions than within regions. The main differences within regions were related to land tenure. Land ownership encouraged the cultivation of perennials, although, in Côte d'Ivoire, management arrangements between landowners and land users opened up opportunities for perennial crops and sometimes for cultivating even large pieces of land. Hence, the variation in farm size within the four farm types was large, and so was the variation in income and potential food availability.

Arable farming was the most prominent contributor to food security and household income, with few alternative job opportunities. In all regions, rice was perceived to be the most important crop, contributing to both household food and cash provision. However, a substantial part of households could not meet their daily energy requirements, and about half was below the poverty line in all regions.

Most farmers were aware of the relevance of food provisioning by IVs on their wellbeing. Furthermore, farmers clearly perceived the role of regulating ES for food production. The awareness of other ES differed between regions, reflecting the specific local conditions of farmers' livelihoods. Farm households' awareness of cultural ES was low compared to the other three categories of ES.

Overall, our findings indicate that interventions to improve national rice production need to acknowledge and preserve the diversity of ES that IVs provide to smallholder farm households. More detailed research is needed to assess what portfolio of management practices may work best for what kind of farm type to increase agricultural production while preserving ES.

Data Availability Statement

The raw data supporting the conclusions of this article will be made available by the authors, without undue reservation.

Ethics Statement

Ethical review and approval was not required for the study on human participants in accordance with the local legislation and institutional requirements. The patients/participants provided their written informed consent to participate in this study.

Author Contributions

TA and GA designed the research, conceptual development, designed context-related survey questions, collected and analyzed the data, and wrote the manuscript. SG, GV, and KG designed the research and wrote the manuscript. JH developed the survey tool, indicators, and data curation. AA and ED-Y supported the data collection and provided expert input to the drafting of the manuscript. All authors contributed to the article, read and approved the final manuscript, and agreed with its submission to “Land, Livelihoods and Food Security, a section of the journal Frontiers in Sustainable Food Systems”.

Funding

This research was funded by the International Fund for Agricultural Development (IFAD) (Grant Agreement Number: 2000001206) under the auspices of the AfricaRice.

Author Disclaimer

The article's findings and conclusions are those of the authors and do not necessarily reflect IFAD's positions or policies.

Conflict of Interest

The authors declare that the research was conducted in the absence of any commercial or financial relationships that could be construed as a potential conflict of interest.

Publisher's Note

All claims expressed in this article are solely those of the authors and do not necessarily represent those of their affiliated organizations, or those of the publisher, the editors and the reviewers. Any product that may be evaluated in this article, or claim that may be made by its manufacturer, is not guaranteed or endorsed by the publisher.

Acknowledgments

The support provided by Centre National de Recherche Agronomique (CNRA, Côte d'Ivoire), the Agence Nationale d'Appui au Développement Rural (ANADER, Côte d'Ivoire), and the Council for Scientific and Industrial Research—Soil Research Institute (CSIR-SRI, Ghana) are gratefully acknowledged. We thank Mohammed Moro Buri, Ernest Depieu, Boris Kouasi, and Aaron Mahamah for their support while conducting the survey and Djagba Justin for the study area map. We also acknowledge the collaboration of smallholder farmers participating in the survey and enumerators involved in the data collection. Finally, support by Mark van Wijk (ILRI) is gratefully acknowledged.

Supplementary Material

The Supplementary Material for this article can be found online at: https://www.frontiersin.org/articles/10.3389/fsufs.2022.892818/full#supplementary-material

References

Abdulai, A., Owusu, V., and Goetz, R. (2011). Land tenure differences and investment in land improvement measures: theoretical and empirical analyses. J. Dev. Econ. 96, 66–78. doi: 10.1016/j.jdeveco.2010.08.002

CrossRef Full Text | Google Scholar

Adjei-Nsiah, S., Leeuwis, C., Giller, K., Sakyi-Dawson, O., Cobbina, J., Kuyper, T., et al. (2004). Land tenure and differential soil fertility management practices among native and migrant farmers in Wenchi, Ghana: implications for interdisciplinary action research. NJAS-Wagen. J. Life Sci. 52, 331–348. doi: 10.1016/S1573-5214(04)80020-4

CrossRef Full Text | Google Scholar

Adjei-Nsiah, S., Leeuwis, C., Giller, K. E., and Kuyper, T. W. (2008). Action research on alternative land tenure arrangements in Wenchi, Ghana: learning from ambiguous social dynamics and self-organized institutional innovation. Agric. Human Values 25, 389–403. doi: 10.1007/s10460-008-9133-1

CrossRef Full Text | Google Scholar

Balasubramanian, V., Sie, M., Hijmans, R. J., and Otsuka, K. (2007). increasing rice production in sub-Saharan Africa: challenges and opportunities. Adv. Agron. 94, 55–133. doi: 10.1016/S0065-2113(06)94002-4

CrossRef Full Text | Google Scholar

Castro, A. J., Martín-López, B., García-Llorente, M., Aguilera, P. A., López, E., and Cabello, J. (2011). Social preferences regarding the delivery of ecosystem services in a semiarid Mediterranean region. J. Arid Environ. 75, 1201–1208. doi: 10.1016/j.jaridenv.2011.05.013

CrossRef Full Text | Google Scholar

Cocks, M. L., Dold, T., and Vetter, S. (2012). “God is my forest”: Xhosa cultural values provide untapped opportunities for conservation. S. Afr. J. Sci. 108, 52–59. doi: 10.4102/sajs.v108i5/6.880

CrossRef Full Text | Google Scholar

Colin, J.-P. (2013). Securing rural land transactions in Africa. An Ivorian perspective. Land Use Policy 31, 430–440. doi: 10.1016/j.landusepol.2012.08.006

CrossRef Full Text | Google Scholar

Costanza, R., de Groot, R., Braat, L., Kubiszewski, I., Fioramonti, L., Sutton, P., et al. (2017). Twenty years of ecosystem services: how far have we come and how far do we still need to go? Ecosyst. Serv. 28, 1–16. doi: 10.1016/j.ecoser.2017.09.008

CrossRef Full Text | Google Scholar

Dave, R., Tompkins, E. L., and Schreckenberg, K. (2017). Forest ecosystem services derived by smallholder farmers in northwestern Madagascar: storm hazard mitigation and participation in forest management. For. Policy Econ. 84, 72–82. doi: 10.1016/j.forpol.2016.09.002

CrossRef Full Text | Google Scholar

Davis, B., Di Giuseppe, S., and Zezza, A. (2017). Are African households (not) leaving agriculture? Patterns of households' income sources in rural Sub-Saharan Africa. Food Policy 67, 153–174. doi: 10.1016/j.foodpol.2016.09.018

PubMed Abstract | CrossRef Full Text | Google Scholar

Dossou-Yovo, E. R., Baggie, I., Djagba, J. F., and Zwart, S. J. (2017). Diversity of inland valleys and opportunities for agricultural development in Sierra Leone. PLoS ONE 12:e0180059. doi: 10.1371/journal.pone.0180059

PubMed Abstract | CrossRef Full Text | Google Scholar

Douxchamps, S., Van Wijk, M. T., Silvestri, S., Moussa, A. S., Quiros, C., Ndour, N. Y. B., et al. (2016). Linking agricultural adaptation strategies, food security and vulnerability: evidence from West Africa. Reg. Environ. Change 16, 1305–1317. doi: 10.1007/s10113-015-0838-6

CrossRef Full Text | Google Scholar

Egoh, B. N., O'Farrell, P. J., Charef, A., Josephine Gurney, L., Koellner, T., Nibam Abi, H., et al. (2012). An African account of ecosystem service provision: use, threats and policy options for sustainable livelihoods. Ecosyst. Serv. 2, 71–81. doi: 10.1016/j.ecoser.2012.09.004

CrossRef Full Text | Google Scholar

Falconnier, G. N., Descheemaeker, K., Van Mourik, T. A., Sanogo, O. M., and Giller, K. E. (2015). Understanding farm trajectories and development pathways: two decades of change in southern Mali. Agric. Syst. 139, 210–222. doi: 10.1016/j.agsy.2015.07.005

CrossRef Full Text | Google Scholar

FAO (2006). Baseline survey report protecting and improving household food security and nutrition in HIV/AIDS affected areas in Manica and Sofala Province, Maputo, Mozambique. Int. J. Health Sci. Res. 6, 385.

Google Scholar

FAO (2017). Regional Overview of Food Security and Nutrition in Africa 2017. The Food Security and Nutrition–Conflict Nexus: Building Resilience for Food Security, Nutrition and Peace.

Google Scholar

Fontan Sers, C., and Mughal, M. (2020). Covid-19 outbreak and the need for rice self-sufficiency in West Africa. World Dev. 135, 105071. doi: 10.1016/j.worlddev.2020.105071

PubMed Abstract | CrossRef Full Text | Google Scholar

Fraval, S., Hammond, J., Bogard, J. R., Ng'endo, M., van Etten, J., Herrero, M., et al. (2019). Food access deficiencies in sub-Saharan Africa: prevalence and implications for agricultural interventions. Front. Sustain. Food Syst. 3:104. doi: 10.3389/fsufs.2019.00104

CrossRef Full Text | Google Scholar

Frelat, R., Lopez-Ridaura, S., Giller, K. E., Herrero, M., Douxchamps, S., Djurfeldt, A. A., et al. (2016). Drivers of household food availability in sub-Saharan Africa based on big data from small farms. Proc. Nat. Acad. Sci. U. S. A. 113, 458–463. doi: 10.1073/pnas.1518384112

PubMed Abstract | CrossRef Full Text | Google Scholar

Ghana Statistical Service. (2014). The 2010 Ghana Population and Housing Census District Analytical Report.

Google Scholar

Giertz, S., Steup, G., and Schönbrodt, S. (2012). Use and constraints on the use of inland valley ecosystems in central Benin: results from an inland valley survey. Erdkunde 239–253. doi: 10.3112/erdkunde.2012.03.04

CrossRef Full Text | Google Scholar

Giller, K. E., Delaune, T., Silva, J. V., van Wijk, M., Hammond, J., Descheemaeker, K., et al. (2021). Small farms and development in sub-Saharan Africa: farming for food, for income or for lack of better options? Food Sec. 13, 1431–1454. doi: 10.1007/s12571-021-01209-0

CrossRef Full Text | Google Scholar

Giller, K. E., Tittonell, P., Rufino, M. C., Van Wijk, M. T., Zingore, S., Mapfumo, P., et al. (2011). Communicating complexity: integrated assessment of trade-offs concerning soil fertility management within African farming systems to support innovation and development. Agric. Syst. 104, 191–203. doi: 10.1016/j.agsy.2010.07.002

CrossRef Full Text | Google Scholar

Haefele, S., Johnson, D., Diallo, S., Wopereis, M., and Janin, I. (2000). Improved soil fertility and weed management is profitable for irrigated rice farmers in Sahelian West Africa. Field Crops Res. 66, 101–113. doi: 10.1016/S0378-4290(00)00066-6

CrossRef Full Text | Google Scholar

Hammond, J., Fraval, S., van Etten, J., Suchini, J. G., Mercado, L., Pagella, T., et al. (2017). The Rural Household Multi-Indicator Survey (RHoMIS) for rapid characterisation of households to inform climate smart agriculture interventions: description and applications in East Africa and Central America. Agric. Syst. 151, 225–233. doi: 10.1016/j.agsy.2016.05.003

CrossRef Full Text | Google Scholar

Harris, D., Oduol, J., and Hughes, K. (2021). Poverty alleviation through technology-driven increases in crop production by smallholder farmers in dryland areas of Sub-Saharan Africa: how plausible is this theory of change? Front. Sustain. Food Syst. 5:723301. doi: 10.3389/fsufs.2021.723301

CrossRef Full Text | Google Scholar

Hartter, J. (2010). Resource use and ecosystem services in a forest park landscape. Soc. Nat. Resour. 23, 207–223. doi: 10.1080/08941920903360372

CrossRef Full Text | Google Scholar

Hengsdijk, H., Franke, A., Van Wijk, M., and Giller, K. E. (2014). How Small is Beautiful?: Food Self-Sufficiency and Land Gap Analysis of Smallholders in Humid and Semi-Arid Sub Saharan Africa. Wageningen: Plant Research International, Business Unit Agrosystems Research.

Google Scholar

Iizumi, T., and Ramankutty, N. (2015). How do weather and climate influence cropping area and intensity? Glob. Food Sec. 4, 46–50. doi: 10.1016/j.gfs.2014.11.003

CrossRef Full Text | Google Scholar

INS (2014). Institut National de la Statistique, Republique de C?te d'Ivoire. Available online at: https://www.citypopulation.de/en/ivorycoast/admin/ (accessed March 12, 2020).

Google Scholar

Kamau, J. W., Stellmacher, T., Biber-Freudenberger, L., and Borgemeister, C. (2018). Organic and conventional agriculture in Kenya: a typology of smallholder farms in Kajiado and Murang'a counties. J. Rural Stud. 57, 171–185. doi: 10.1016/j.jrurstud.2017.12.014

CrossRef Full Text | Google Scholar

Kiepe, P. (2006). “Integrating aquaculture into agroecosystems in West Africa: the roles of Warda–the Africa rice center and the inland valley consortium,” in Integrated Irrigation and Aquaculture in West Africa, 159.

Google Scholar

Kone, N., Asare-Bediako, E., Koita, O., Kone, D., and Winter, S. (2017). Seasonal and spatial variation in the prevalence of viral diseases and associated aphid-borne viruses in cucurbits in Cote d'Ivoire. Ann. Agri. Sci. 62, 227–234. doi: 10.1016/j.aoas.2017.12.005

CrossRef Full Text | Google Scholar

Kuivanen, K., Alvarez, S., Michalscheck, M., Adjei-Nsiah, S., Descheemaeker, K., Mellon-Bedi, S., et al. (2016a). Characterising the diversity of smallholder farming systems and their constraints and opportunities for innovation: a case study from the Northern Region, Ghana. NJAS-Wagen. J. Life Sci. 78, 153–166. doi: 10.1016/j.njas.2016.04.003

CrossRef Full Text | Google Scholar

Kuivanen, K. S., Michalscheck, M., Descheemaeker, K., Adjei-Nsiah, S., Mellon-Bedi, S., Groot, J. C. J., et al. (2016b). A comparison of statistical and participatory clustering of smallholder farming systems – a case study in Northern Ghana. J. Rural Stud. 45, 184–198. doi: 10.1016/j.jrurstud.2016.03.015

CrossRef Full Text | Google Scholar

Lacoste, M., Lawes, R., Ducourtieux, O., and Flower, K. (2018). Assessing regional farming system diversity using a mixed methods typology: the value of comparative agriculture tested in broadacre Australia. Geoforum 90, 183–205. doi: 10.1016/j.geoforum.2018.01.017

CrossRef Full Text | Google Scholar

Lambrecht, I., and Asare, S. (2016). The complexity of local tenure systems: a smallholders' perspective on tenure in Ghana. Land Use Policy 58, 251–263. doi: 10.1016/j.landusepol.2016.07.029

CrossRef Full Text | Google Scholar

Lhoest, S., Dufrêne, M., Vermeulen, C., Oszwald, J., Doucet, J.-L., and Fayolle, A. (2019). Perceptions of ecosystem services provided by tropical forests to local populations in Cameroon. Ecosyst. Serv. 38, 100956. doi: 10.1016/j.ecoser.2019.100956

CrossRef Full Text | Google Scholar

Livingston, G., Schonberger, S., and Delaney, S. (2011). “Sub-Saharan Africa: the state of smallholders in agriculture,” in Paper presented at the IFAD Conference on New Directions for Smallholder Agriculture (Citeseer), 25.

Google Scholar

Lopez-Ridaura, S., Frelat, R., van Wijk, M. T., Valbuena, D., Krupnik, T. J., and Jat, M. (2018). Climate smart agriculture, farm household typologies and food security: an ex-ante assessment from Eastern India. Agric. Syst. 159, 57–68. doi: 10.1016/j.agsy.2017.09.007

PubMed Abstract | CrossRef Full Text | Google Scholar

MEA (2005). MillenniumEcosystem Assessment (MEA): Ecosystems and Human Well-Being: Synthesis. Washington, DC: Island Press.

Google Scholar

Mendez del Villar, P., and Lançon, F. (2015). West African rice development: beyond protectionism versus liberalization? Glob. Food Sec. 5, 56–61. doi: 10.1016/j.gfs.2014.11.001

CrossRef Full Text | Google Scholar

Mutoko, M. C., Hein, L., and Shisanya, C. A. (2014). Farm diversity, resource use efficiency and sustainable land management in the western highlands of Kenya. J. Rural Stud. 36, 108–120. doi: 10.1016/j.jrurstud.2014.07.006

CrossRef Full Text | Google Scholar

Niang, A., Becker, M., Ewert, F., Dieng, I., Gaiser, T., Tanaka, A., et al. (2017). Variability and determinants of yields in rice production systems of West Africa. Field Crops Res. 207, 1–12. doi: 10.1016/j.fcr.2017.02.014

CrossRef Full Text | Google Scholar

Pande, R., and Udry, C. (2005). Institutions and Development: A View From Below. Yale University Economic Growth Center Discussion Paper.

Google Scholar

R Development Team (2018). R: A Language and Environment for Statistical Computing. Vienna: R Foundation for Statistical Computing.

Google Scholar

Righi, E., Dogliotti, S., Stefanini, F., and Pacini, G. (2011). Capturing farm diversity at regional level to up-scale farm level impact assessment of sustainable development options. Agric. Ecosyst. Environ. 142, 63–74. doi: 10.1016/j.agee.2010.07.011

CrossRef Full Text | Google Scholar

Ritzema, R. S., Frelat, R., Douxchamps, S., Silvestri, S., Rufino, M. C., Herrero, M., et al. (2017). Is production intensification likely to make farm households food-adequate? A simple food availability analysis across smallholder farming systems from East and West Africa. Food Sec. 9, 115–131. doi: 10.1007/s12571-016-0638-y

CrossRef Full Text | Google Scholar

Rodenburg, J., Zwart, S. J., Kiepe, P., Narteh, L. T., Dogbe, W., and Wopereis, M. C. (2014). Sustainable rice production in African inland valleys: seizing regional potentials through local approaches. Agric. Syst. 123, 1–11. doi: 10.1016/j.agsy.2013.09.004

CrossRef Full Text | Google Scholar

Saito, K., Dieng, I., Toure, A. A., Somado, E. A., and Wopereis, M. C. (2015). Rice yield growth analysis for 24 African countries over 1960–2012. Glo. Food Sec. 5, 62–69. doi: 10.1016/j.gfs.2014.10.006

CrossRef Full Text | Google Scholar

Sanni, D., and Juanich, G. (2006). “A feasibility study of rice-fish farming in Western Africa,” in Integrated Irrigation and Aquaculture in West Africa–Concepts, Practices and Potential, Vol. 6, eds. M. Halwart, and A. van Dam (Rome: FAO), 75–78.

Google Scholar

Schmitter, P., Zwart, S. J., Danvi, A., and Gbaguidi, F. (2015). Contributions of lateral flow and groundwater to the spatio-temporal variation of irrigated rice yields and water productivity in a West-African inland valley. Agric. Water Manag. 152, 286–298. doi: 10.1016/j.agwat.2015.01.014

CrossRef Full Text | Google Scholar

Seck, P. A., Diagne, A., Mohanty, S., and Wopereis, M. C. (2012). Crops that feed the world 7: rice. Food Sec. 4, 7–24. doi: 10.1007/s12571-012-0168-1

CrossRef Full Text | Google Scholar

Shoyama, K., Managi, S., and Yamagata, Y. (2013). Public preferences for biodiversity conservation and climate-change mitigation: a choice experiment using ecosystem services indicators. Land Use Policy 34, 282–293. doi: 10.1016/j.landusepol.2013.04.003

CrossRef Full Text | Google Scholar

Smith, L. C., and Subandoro, A. (2007). Measuring Food Security Using Household Expenditure Surveys. Washington, D.C: International Food Policy Research Institute.

Google Scholar

Soullier, G., Demont, M., Arouna, A., Lançon, F., and Del Villar, P. M. (2020a). The state of rice value chain upgrading in West Africa. Glob. Food Sec. 25, 100365. doi: 10.1016/j.gfs.2020.100365

PubMed Abstract | CrossRef Full Text | Google Scholar

Soullier, G., Demont, M., Arouna, A., Lançon, F., and Mendez del Villar, P. (2020b). The state of rice value chain upgrading in West Africa. Glob. Food Sec. 25, 100365. doi: 10.1016/j.gfs.2020.100365

PubMed Abstract | CrossRef Full Text | Google Scholar

StataCorp LLC (2017). Stata: Release 15. Statistical Software. Stata Treatment-Effects Reference Manual. College Station, TX: StataCorp LLC.

Google Scholar

Thornton, A., Nel, E., and Hampwaye, G. (2010). Cultivating Kaunda's plan for self-sufficiency: is urban agriculture finally beginning to receive support in Zambia? Dev. South. Afr. 27, 613–625. doi: 10.1080/0376835X.2010.508604

CrossRef Full Text | Google Scholar

Tittonell, P., Muriuki, A., Shepherd, K. D., Mugendi, D., Kaizzi, K., Okeyo, J., et al. (2010). The diversity of rural livelihoods and their influence on soil fertility in agricultural systems of East Africa–a typology of smallholder farms. Agric. Syst. 103, 83–97. doi: 10.1016/j.agsy.2009.10.001

CrossRef Full Text | Google Scholar

UNU and WHO (2004). Human Energy Requirements: Report of a Joint FAO/WHO/UNU Expert Consultation: 17–24 October 2001. Rome: Food and Agriculture Org.

Google Scholar

Van Oort, P., Saito, K., Tanaka, A., Amovin-Assagba, E., Van Bussel, L., Van Wart, J., et al. (2015). Assessment of rice self-sufficiency in 2025 in eight African countries. Glob. Food Sec. 5, 39–49. doi: 10.1016/j.gfs.2015.01.002

CrossRef Full Text | Google Scholar

van Wijk, M., Hammond, J., Gorman, L., Adams, S., Ayantunde, A., Baines, D., et al. (2020). The Rural Household Multiple Indicator Survey, data from 13,310 farm households in 21 countries. Sci. Data 7, 46. doi: 10.1038/s41597-020-0388-8

PubMed Abstract | CrossRef Full Text | Google Scholar

Wangai, P. W., Burkhard, B., and Müller, F. (2016). A review of studies on ecosystem services in Africa. Int. J. Sustain. Built Environ. 5, 225–245. doi: 10.1016/j.ijsbe.2016.08.005

CrossRef Full Text | Google Scholar

Wichern, J., van Heerwaarden, J., de Bruin, S., Descheemaeker, K., van Asten, P. J., Giller, K. E., et al. (2018). Using household survey data to identify large-scale food security patterns across Uganda. PLoS ONE 13:e0208714. doi: 10.1371/journal.pone.0208714

PubMed Abstract | CrossRef Full Text | Google Scholar

World Bank (2017). World Development Indicators 2017. Washington, DC: ©World Bank. Available online at: [WWW Document] https://openknowledge.worldbank.org/handle/10986/26447. doi: 10.1596/26447 (accessed January 20, 2021).

CrossRef Full Text | Google Scholar

World Bank (2020a). Poverty and Shared Prosperity 2020: Reversals of Fortune. Washington, DC: World Bank. Available online at: [WWW Document] https://openknowledge.worldbank.org/bitstream/handle/10986/34496/9781464816024.pdf (accessed January 20, 2021).

Google Scholar

World Bank (2020b). Poverty Headcount Ratio at National Poverty Lines (% of Population). Washington, DC: World Bank. Available online at: https://data.worldbank.org/indicator/SI.POV.NAHC (accessed October 8, 2020).

Google Scholar

Yang, S., Zhao, W., Pereira, P., and Liu, Y. (2019). Socio-cultural valuation of rural and urban perception on ecosystem services and human well-being in Yanhe watershed of China. J. Environ. Manage. 251, 109615. doi: 10.1016/j.jenvman.2019.109615

PubMed Abstract | CrossRef Full Text | Google Scholar

Zhang, W., Kato, E., Bhandary, P., Nkonya, E., Ibrahim, H. I., Agbonlahor, M., et al. (2016). Awareness and perceptions of ecosystem services in relation to land use types: evidence from rural communities in Nigeria. Ecosyst. Serv. 22, 150–160. doi: 10.1016/j.ecoser.2016.10.011

CrossRef Full Text | Google Scholar

Keywords: ecosystem services, farming system, farm types, food security, inland valleys, rice cultivation, West Africa

Citation: Alemayehu T, Assogba GM, Gabbert S, Giller KE, Hammond J, Arouna A, Dossou-Yovo ER and Ven GWJvd (2022) Farming Systems, Food Security and Farmers' Awareness of Ecosystem Services in Inland Valleys: A Study From Côte d'Ivoire and Ghana. Front. Sustain. Food Syst. 6:892818. doi: 10.3389/fsufs.2022.892818

Received: 09 March 2022; Accepted: 27 May 2022;
Published: 01 July 2022.

Edited by:

Federico Cammelli, ETH Zürich, Switzerland

Reviewed by:

Jules Bayala, World Agroforestry (Burkina Faso), Burkina Faso
Gideon Danso-Abbeam, University for Development Studies, Ghana

Copyright © 2022 Alemayehu, Assogba, Gabbert, Giller, Hammond, Arouna, Dossou-Yovo and Ven. This is an open-access article distributed under the terms of the Creative Commons Attribution License (CC BY). The use, distribution or reproduction in other forums is permitted, provided the original author(s) and the copyright owner(s) are credited and that the original publication in this journal is cited, in accordance with accepted academic practice. No use, distribution or reproduction is permitted which does not comply with these terms.

*Correspondence: Tesfahun Alemayehu, dGVzZmFodW4uYmVsZXdAd3VyLm5s

These authors have contributed equally to this work and share first authorship

Disclaimer: All claims expressed in this article are solely those of the authors and do not necessarily represent those of their affiliated organizations, or those of the publisher, the editors and the reviewers. Any product that may be evaluated in this article or claim that may be made by its manufacturer is not guaranteed or endorsed by the publisher.