- 1Center for Public Health and Ecosystem Research, Hanoi University of Public Health, Hanoi, Vietnam
- 2International Livestock Research Institute, Hanoi, Vietnam
- 3Department of Women's and Children's Health, Uppsala University, Uppsala, Sweden
- 4Institute of Environmental Health and Sustainable Development, Hanoi, Vietnam
- 5International Livestock Research Institute, Nairobi, Kenya
- 6Natural Resource Institute, University of Greenwich, London, United Kingdom
- 7Department of Clinical Sciences, Swedish University of Agricultural Sciences, Uppsala, Sweden
Traditional pork shops play an essential role in delivering pork, the most popular food in Vietnam, to consumers. Studies have shown the need for investment in training and equipment to improve the safety of pork sold at traditional shops. However, it remains unclear how consumers perceived improvement to the hygiene in pork shops and if they are ready to pay premium prices for safer products. This study used an experimental approach to determine consumers' perception and assessment of improved pork shops and their willingness to pay (WTP) for pork products. A total of 152 respondents in two provinces in Vietnam joined in a Becker–DeGroot–Marschak (BDM) mechanism experiment to collect data on WTP for pork from typical and upgraded pork shops. A questionnaire was used to record consumers' perceptions and assessments of the pork shops and products. Overall, consumers were willing to pay 20% more for upgraded fresh pork than for what is currently available on the market. Consumers trusted in the effectiveness of the upgraded intervention and the quality of pork at the pork shop, which increased their WTP for the upgraded pork. Concerns about contaminated pork had a negative impact on the WTP for typical pork, while the high frequency of pork consumption and the existence of elderly family members led to higher WTP for both products. The findings indicate the potential economic benefit of upgrading pork shops, which would be an important driver to motivate sellers to improve food safety.
Introduction
Rapid economic development in Vietnam has led to increased meat consumption in recent decades (Hansen, 2018). Nguyen et al. (2014) reported that consumers were highly concerned about the safety of meat, especially pork, which is the most popular meat in Vietnamese cuisine. There also seems to be cause for concern as many studies found a high prevalence of microbial contamination in pork in all types of retail establishments (Nhung et al., 2018; Dang-Xuan et al., 2019; Ngo et al., 2021). Modern retail is considered the key solution to improve the safety of pork (Wertheim-Heck et al., 2015; The World Bank, 2017), but the cost of improving food safety in this retail is significantly high (Ortega and Tschirley, 2017; Karanja et al., 2022). In addition, many consumers still prefer and trust traditional value chains (Maruyama and Trung, 2010; Unger et al., 2019; Wertheim-Heck and Raneri, 2020). Therefore, traditional pork retail still plays an important role and should be improved. In addition, there is a change in Vietnam's food safety policies, which shifts responsibility from the authorities to the food producers (Pham and Dinh, 2020) who need to be motivated to upgrade their facilities and practices. The most important motivation proposed is to emphasize the potential profit from the consumers' willingness to pay (WTP) for safe products. Therefore, it is suggested to investigate consumers' WTP and relevant factors to support investors such as governments, funders, or private sectors in estimating the benefit and sustainability of food safety programs.
Many studies have indicated a high demand from Vietnamese consumers for safe products and emphasized the credence of food quality as a critical factor that drives consumers to pay a higher price (Mergenthaler et al., 2009; Ifft et al., 2012; My et al., 2018; Ha et al., 2019; Tran et al., 2022). Labeling is a popular tool to deliver product attributes and increase consumer trust in food products (Ares et al., 2013; Fernqvist and Ekelund, 2014; Le et al., 2020). However, the habit of Vietnamese consumers relying on sensory evaluation (e.g., touching or smelling) to assess the quality of fresh food products (Cadilhon et al., 2002; Maruyama and Trung, 2010) makes it difficult to apply food packaging and labeling to retailed pork at traditional shops.
In the Vietnamese context, previous studies have measured the WTP of consumers for safe pork products through stated-preference surveys (Khai et al., 2018; Thi Nguyen et al., 2019), but this method tends to overestimate the WTP due to the absence of market discipline (Murphy et al., 2003; Lusk and Shogren, 2007). Moreover, the different attributes between safe and conventional pork in previous studies were explained vaguely to participants by citing national standards or suppliers' definitions without any sensory experiment on the products. Consequently, the elicited values from these surveys might be inconsistent. Thus, this study aimed to (1) measure the WTP of consumers for fresh pork from typical and upgraded pork shops by using an experimental methodology, (2) investigate the perception and assessment of consumers about food safety practices and pork shops, and (3) explore the influence of food safety perception, knowledge, and risk message on the WTP of consumers.
Methodology
Conceptual framework
To assess the influence of relevant determinants of the WTP, we develop a framework as presented in Figure 1. The WTP can be affected by internal and external factors. In our framework, we have grouped these factors into (1) consumer characteristics, (2) product assessment, and (3) environmental factors.
Many studies found an impact of demographic characteristics on consumers' decisions. At the household level, the number and attributes of family members would motivate the buyer to purchase safe food products (Zheng et al., 2018; Chege et al., 2019; Kytö et al., 2019; Neill and Holcomb, 2019). At the individual level, the age, education, and income of the buyer have contradictory effects on their WTP. While a higher level of education or income led to higher WTP (Angulo and Gil, 2007; Mergenthaler et al., 2009; Li et al., 2016; Zheng et al., 2018; Chege et al., 2019; Riccioli et al., 2020; My et al., 2021), the older consumers had a lower WTP for premium food products (Yu et al., 2014, 2018). In addition, the food consumption habit of the consumers also significantly increased the probability to purchase the food (Kytö et al., 2019). Angulo and Gil (2007) found that the level of beef consumption is a key factor that influences consumers' WTP for beef products, while Yu et al. (2018) and Zheng et al. (2018) found similar results for salmon and vegetable products. Researchers also reported the positive impact of risk perception about food-borne diseases on the WTP (Angulo and Gil, 2007; Mergenthaler et al., 2009; Yu et al., 2018; Neill and Holcomb, 2019), while the enhancement in food safety knowledge might correspond to increasing WTP for safe vegetables (Mergenthaler et al., 2009).
Furthermore, consumers' exposure to information about the food product's characteristics can significantly affect their WTP. For example, many studies showed that the product description on the label strongly motivated consumers to pay more for food (Meenakshi et al., 2012; Zhang et al., 2012; Jin et al., 2017; Chege et al., 2019; Liu et al., 2019; Katt and Meixner, 2020; Riccioli et al., 2020). Important information that enhances consumers' WTP in many studies was the certification of the food products (Owusu-Sekyere et al., 2014; Ortega and Tschirley, 2017; Wang and Tsai, 2019), even if it is not a government certificate (Liu et al., 2019). Therefore, some alternative methods to make consumers distinguish between the different attributes among products should be considered so that they may reveal their true WTP. Nonetheless, providing consumers with messages about food safety risks right before they make their decision might be a critical point that affects WTP. Britwum et al. (2019) found that the message about reported cases of disease due to microbial contamination in food motivated consumers to pay more for safe food, while Bruner et al. (2014) reported a reduction in WTP for traditional food products due to the information about the estimated risk of the new food products. In contrast, the experiment by Hayes et al. showed that consumers were not affected by providing the figure about the probability of food-borne diseases (Hayes et al., 1995).
Finally, consumers' assessment of food products and food stores was identified as important determinants of their WTP for food. Owusu-Sekyere et al. (2014) indicated the hygienic condition surrounding the shop significantly affected consumers' WTP for the food product, while Zheng et al. (2018) found that a high assessment of the food by consumers motivated them to purchase the product.
Experiment design
In this study, conducted between October and November 2021, we used a Becker–DeGroot–Marschak (BDM) mechanism with a full bidding approach to measure the WTP of consumers for raw pork at traditional pork shops in Vietnam. This experiment design creates a market environment where participants can incorporate market feedback and reveal their value for the product via a bid (Lusk and Shogren, 2007). In other words, the participants will use real money to purchase the product from a set-up market, which can improve the reliability of the study (Koschate-Fischer and Schandelmeier, 2014), especially when compared with survey methods where participants tend to hide their true behavior (Kytö et al., 2019). In addition, Jaffee et al. (2019) indicated that the precision of consumers' WTP could be improved by presenting alternative products and letting them make decisions under their usual budget constraints.
Study location
This study was part of a larger project (SafePORK) aiming to improve food safety at traditional markets focusing on pork (ACIAR, 2016) through food safety interventions at different levels, including upgrading pork shops. The experiments were implemented at three traditional markets where some pork shops had been upgraded as part of the interventions. Two markets were located in Thai Nguyen province and one in Hung Yen province in the North of Vietnam. Traditional markets represent the most popular retail channel in Vietnam for distributing fresh food such as animal-source food, vegetables, or fish (Nga et al., 2014; Unger et al., 2019). In each market, two pork shops were set up for the experiments, as described in the following section.
Participant selection
On the day prior to the experiment, the research team came to the selected markets to recruit participants from potential consumers. One out of every three consumers who visited the market was asked to participate in the study. Upon their consent, the respondents who intended to buy pork on the following day would be interviewed using a structured questionnaire. Once completed, they received a coupon and were invited to attend the experiment on the following day. In total, 152 consumers (Nhai market—Hung Yen, n = 52; Dong Quang—Thai Nguyen, n = 50, and Dan market—Thai Nguyen, n = 50) were recruited, finished the interview, and participated in the experiment.
Procedure
On the experiment day, two pork shops were set up at the selected markets. Each shop was supplied with 25 kg of pork shoulder sourced from the same slaughterhouse and delivered on the morning of the experiment day. The experiment was held on a day when the market was closed, to limit the interference of the market operation. According to previous studies (Nguyen-Viet et al., 2019; Thi Nguyen et al., 2019), pork shoulder is the most popular choice for Vietnamese consumers, so it was chosen as the product for the experiment. The experiment included two types of traditional pork shops: upgraded and typical pork shops. An upgraded pork shop had taken part in the food safety intervention from the SafePORK project. Both shops were equipped with fundamental tools for traditional pork shops, with a set of tools (cutting board, knives, scale, cloth to wipe hands, and other tools) and protection clothing (apron and mask) for the seller. The upgraded shop was provided with a disinfection package (sprayer, disinfection liquid for cleaning surfaces, and hand sanitation gel) and a poster to motivate the seller to frequently clean hands, surfaces, and tools, as well as to introduce recommended food safety practices to the consumers at a pork shop. In addition, the typical shop used paperboard to display pork on the granite table, while the upgraded shop displayed pork directly on the granite surface. The pork at both types of shops was supplied from the same slaughterhouse on the experiment day to make sure that the quality of pork was affected by the seller and the shop's facilities only.
The Becker–DeGroot–Marschak (BDM) mechanism (Becker et al., 1964; Lusk and Shogren, 2007), using a full bidding approach, was selected for this study. In this type of experiment, the participants compete against a random price by giving their full bid for 0.5 kg of shoulder pork. If the bid is higher than the random price, the consumer purchases the pork at the random price; if the bid is lower, the consumer does not purchase. To avoid demand reduction effects, only one type of pork shop was allowed for each individual buyer during the game (Lusk and Shogren, 2007). The BDM mechanism (Figure 2) had four main steps for each individual participants as follows:
- Step 1: On the first day, the participants were informed about the project and gave informed consent to participate in the study. Each participant filled in the questionnaire and was given a coupon equal to 100,000 Vietnam dong (VND) (~US$4.50). This coupon could be exchanged for a half kilogram of pork shoulder or an amount of money depending on the result of the experiment. The amount of money was not revealed to prevent participants from deliberately making high bids so that they would lose the game and receive the money instead of the pork.
- Step 2: Selected participants were instructed about the BDM process. To get familiar with the process, participants later practiced three rounds of the BDM mechanism with cakes and candy. Before the actual game was conducted with fresh pork, every second participant received a paper with the food safety warning message “On average, one out of five Vietnamese persons suffered salmonellosis (such as diarrhea and vomiting) due to consumption of typical pork from a traditional shop”. Then, the participants moved to observe both shops and assess their food safety condition, by giving a point on a scale from 0 (worst) to 10 (best). Subsequently, they offered a bid for pork in both shops.
- Step 3: Following this, the participants were asked to re-confirm their assessment and bids described earlier.
- Step 4: The enumerator randomly drew a piece of paper to select either an upgraded (A) or typical (B) shop. Based on the result of selecting the shop, another drawing step took place to define the price of pork. If the drawn price was higher than the participants' bid, this individual lost the game and got VND 100,000 (value of the coupon). Otherwise, participants won the game, and they had to buy the pork at the drawn price and then received the remaining money deducted from VND 100,000.
The random price of pork shoulder was 40,000 VND per half a kilogram, while the random price was generated following uniform distribution and not shared with the participants. The range of the random price was 10,000–80,000 VND to cover the potential values and not limit the winning opportunity of the participants with reasonably high valuations (Lusk and Shogren, 2007). The mechanism is illustrated in Figure 2.
Questionnaire
The research team developed a structured questionnaire that covered the potential variables in the conceptual framework and consisted of six parts: demographic information, pork preference, experience of food-borne diseases, perceptions about food safety, practices to prevent pork-borne diseases, and knowledge about pork safety. The demographic part included age, gender, occupation, education, and household characteristics (such as food expenditure and household size). The part assessing consumers' preference for pork covered their pork consumption habits (such as frequency, amount, or type of pork), while the experience of food-borne diseases focused on some common food poisoning symptoms (including stomachache, diarrhea, nausea, and vomiting).
The perception component comprised two parts: food safety practices at pork shops and the risk of pork-borne diseases. The first part included beliefs (measured by a five-level ordinal scale) in seven practices (that promote food safety) at the upgraded pork shop and one practice (that reduces food safety) at the typical one. The questions and results of this component are presented in Appendix A.
Practice to reduce the effect of pork-borne diseases was measured by asking the participants about the frequency and effectiveness of five practices on a five-level ordinal scale. The knowledge about pork safety was assessed by ordinal questions (yes/no/do not know) adapted from da Cunha et al. (2019), with 12 questions in total. The questions and answers on food safety knowledge are presented in Appendix B.
The internal consistency of the questions assessing perception about food safety at the pork shop (eight questions), practice to prevent pork-borne diseases (10 questions), and food safety knowledge (12 questions) was tested using Cronbach's alpha, with the results 0.903, 0.724, and 0.809, respectively, showing high internal consistency and adequate reliability of the questions (di lorio, 2005).
Data analysis
Interview data and experiment results were entered in Microsoft Excel. Descriptive analysis was applied to describe the characteristics of variables, while the mean WTP and pork shop assessment between different groups were compared using Wilcoxon signed rank test.
To assess the perception of consumers about the food safety practice of pork sellers, we calculated the overall score by adding up the score of each of the eight practices. The seven practices that promote food safety were graded from 1 to 5 points per question, while poor practice was graded from−5 up to−1 point. The overall perception score ranged from 2 to 34 points.
Regarding food safety knowledge, each response was marked 0 (for an incorrect answer) or one (for a correct answer) and then summed up to make the total score (ranging from 0 to 12 points). The Spearman rank correlation test was used to determine the relationship between the perception about food safety at pork shops, assessment of pork shops, food safety knowledge, and attitude about the risk of pork contamination.
Univariable analyses were implemented first to identify variables to include in the multivariable models. Variables were included if they had a p-value of ≤ 0.1 in univariable analyses. For the regression models, the dependent variables were the WTP (1,000 VND) for pork from the typical and upgraded shop and the difference in WTP for 0.5 kg between the two products. The linear quantile regression with the market variable as a random effect was implemented for all three models at 10, 50, and 90% quantile for the bids using the lqmm package in R (Geraci, 2014).
Ethical clearance
This study was reviewed and approved by the Institute Review Board at the Hanoi University of Public Health (No. 110/2018/YTCC-HD3). Verbal informed consent was obtained from each participant before conducting the interview.
Result
Sociodemographic characteristics
Table 1 describes the characteristics of the participants. The average respondent was of middle age (51.9 years old on average), with 9.22 years of education, and most were female (90.1%). Many participants were small-scale vendors (37.5%) and rice farmers (28.9%), followed by those who took care of the household (16.4%). The mean participants' household size was 3.98 with many of them not having any children or being elderly (73 and 50.7%, respectively). In other words, most of the household members were working-age adults. Furthermore, on average, they had 6.44 pork dishes per week and purchase 1.08 kg of pork per shopping time. The most purchased pork type was bacon (65.1%), followed by the shoulder (21.7%).
Experiences with food-borne disease, food safety practice, and knowledge
Table 2 presents the experiences of participants with food-borne disease and their food safety practice and knowledge. The participants reported that they rarely suffered from common food poisoning symptoms. The most regular symptoms among the respondents and their families were stomachache (15.8%), followed by diarrhea (10.5%), nausea (7.9%), and vomiting (4.6%). In addition, the respondents reported that they regularly implemented food safety practices at home, especially eating well-cooked pork only (96.7%) and separating raw pork and cooked food (94.7%). Furthermore, the participants' average knowledge score was 10.96 (out of a maximum score of 12), with a standard deviation of 2.03. Pork-borne diseases seemed to be a concern for respondents since more than 90% worried about eating contaminated pork while more than half of them (57.2%) believed that slaughtering on a grid, instead of the floor, can improve the safety of pork.
Perception and assessment about food safety practice at pork shops
Overall, participants gave positive feedback on the intervention packages at the upgraded pork shops. More than 80% of respondents believed that the suggested practices at upgraded shops would improve the safety of pork. In contrast, for the poor practice, which was carried out at the typical shop (placing the pork on the wooden table or carton board), half of the respondents believed this practice would improve the safety of pork, while only little more than one-third believed it would reduce the safety of pork. The details are presented in Appendix A. In addition, in the experiment, the participants evaluated the overall food safety condition of the upgraded shop (9.3/10) significantly higher than the typical one (7.6/10) (p < 0.05). The details are presented in Table 3.
The independence of variables was tested between pork shop assessment, food safety perception, and knowledge. The result showed a weak association between factors except for perception about food safety and concern about eating contaminated pork. The detailed correlation is presented in Table 4.

Table 4. Correlation (Spearman's rank correlation rho) between perception, knowledge and difference in shop assessment.
Willingness to pay and associated factors
The experiment showed that the typical pork received the mean bid at 32,500 VND per 0.5 kg, while the figure for upgraded pork was 39,000 VND per 0.5 kg. Thus, the respondents were willing to pay a premium of ~6,500 VND per 0.5 kg (or 20%) for the upgraded pork compared with the typical one. The detailed result is presented in Table 5.
Table 6 describes the relationship between relevant factors to the bids and the difference in the bids of the two pork types. Overall, the pork consumption habits and household characteristics had a strong impact on the WTP for both pork products while the risk message had no effect. On the other hand, the difference in food safety assessment between the two shops was the only indicator that significantly affected the deviation of the WTP for each product. In addition, the market cluster effect did not cause a significant impact on the WTP. The tendency of each coefficient for each variable across quantile levels is presented in Figures 3–5.

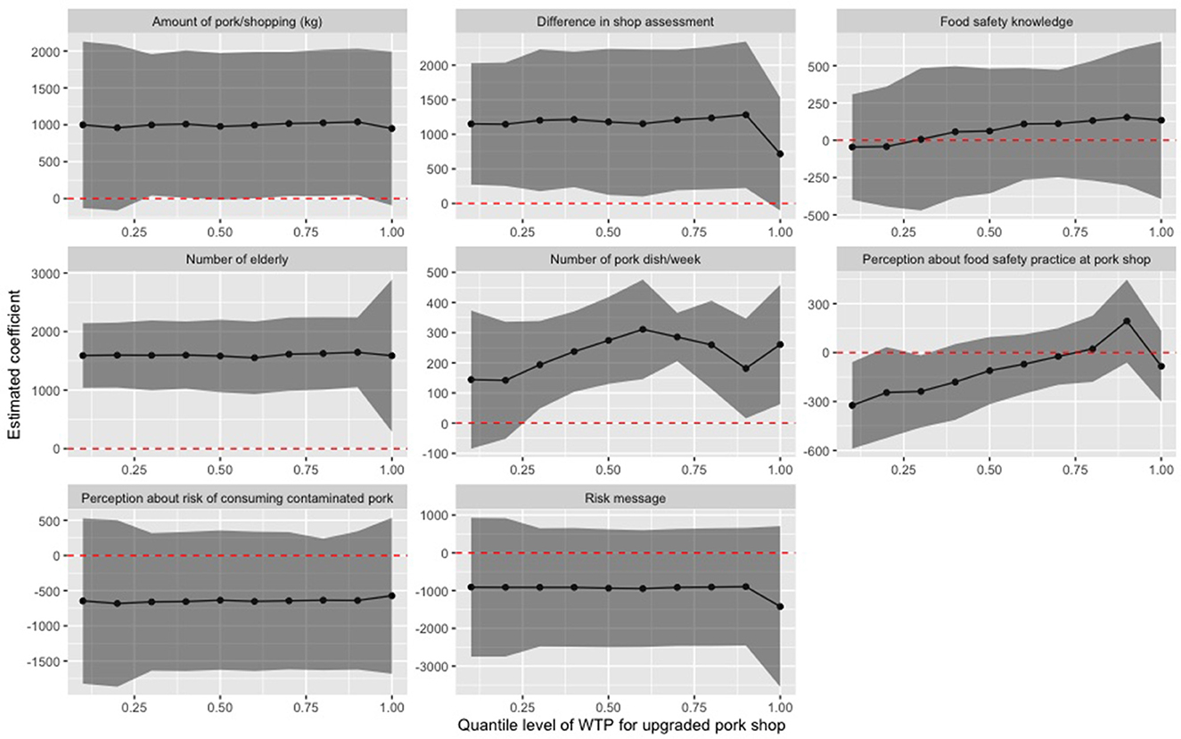
Figure 3. Estimated coefficients (black lines) and 95% confidence intervals (gray areas) at different quantiles of consumers' willingness to pay (WTP) for pork from upgraded pork shops.
For the upgraded pork, the number of pork dishes per week, the number of elderlies in the household, the difference in assessment between the two shops, and the perception about food safety practice significantly increased the consumers' WTP while the perception about food safety at pork shops show a negative impact. However, the number of pork dishes per week is not significant in the 25th percentile of WTP, whereas the perception score only affects in 25th percentile of WTP (Figure 3). Finally, the amount of pork in each shopping time, the participants' knowledge and perception about contaminated pork, and the risk message did not have any relationship with their WTP in any quantile.
The WTP for pork from typical shops was significantly affected by most variables except the knowledge score, the perception about food safety at pork shops, and the risk message. In detail, the consumption habit (the amount of pork in each shopping and the number of pork dishes per week) and the number of elderlies in the household caused a positive impact on WTP in all quantiles (Figure 4). On the contrary, concern about eating contaminated pork and the shop assessment difference had a negative effect, while the perception about pork shop practices only affects a low percentile of WTP (10th percentile).

Figure 4. Estimated coefficients (black lines) and 95% confidence intervals (gray areas) at different quantiles of consumers' willingness to pay (WTP) for pork from typical shops.
The difference in shop assessment, the number of pork dishes per week, and the perception score are the only factors that affect the difference in WTP between the two types of pork (Figure 5). Although both variables significantly increased the difference, the first had an impact on all percentile of WTP while the other two only have an impact on the 60th percentile or higher.

Figure 5. Estimated coefficients (black lines) and 95% confidence intervals (gray areas) at different quantiles of difference in consumers' willingness to pay (WTP) for pork products from the two shops.
Discussion
This is the first study to use an experimental economics approach to investigate the WTP of consumers for raw pork. The BDM mechanism creates a market environment that could motivate consumers to reveal their true behavior toward the research group. Overall, the consumers highly rated the upgraded pork shops and tended to pay a premium (20% higher) for those products. This figure is much lower than the finding of Khai et al. (2018) and Thi Nguyen et al. (2019) who found an increased WTP of 81.2 and 224.2%, respectively, for fresh pork products, but it was nearly similar to the result of 15% higher WTP for fresh chicken products by Ifft et al. (2012). A potential reason for this difference is the impact of the COVID-19 pandemic, which strongly affected food consumption not only during the time of the study (Eftimov et al., 2020) but also the studies by Thi Nguyen et al. and Khai et al. were conducted totally in urban areas where people may have higher income. Our study and the one by Ifft et al. may have estimates closer to the true WTP of consumers for food products due to the BDM mechanism, while non-market methods, such as those used in the study of Thi Nguyen et al. and Khai et al., might overestimate the consumers' WTP (Lusk and Shogren, 2007; Jaffee et al., 2019). However, the number is still low compared with other low-value products, such as rice at 33% (My et al., 2021) or Chinese mustard at 60% (Mergenthaler et al., 2009). This may indicate that pork is already more expensive, and the customers are not able to pay too much for it.
This study also consolidated the correlation between consumers' perception and their assessment about food safety at pork shops. In summary, consumers perceived that the hygiene packages at the upgraded pork shop were effective in improving food safety, which created a gap in their assessment of the two shops. In consequence, this different assessment motivated the consumers to pay more for the pork at upgraded shops and reduced their WTP for pork at the typical shops. This could be because the consumers are inclined to position the pork from the upgraded shop in a different segment rather than the typical one, which corresponds to the difference in price. This finding is consistent with the result from previous research (Angulo and Gil, 2007; Ortega and Tschirley, 2017; Zheng et al., 2018; Wang and Tsai, 2019; Riccioli et al., 2020) that the belief in the product's quality significantly increases the WTP. To create this effect, the consumers should be informed through some visible indicators such as a certificate, label (Ortega and Tschirley, 2017; Neill and Holcomb, 2019; Wang and Tsai, 2019), or appropriate risk message (Hayes et al., 1995; Bruner et al., 2014; Yu et al., 2018; Britwum and Yiannaka, 2019). Since it was not feasible to deliver this information via food package or label in our study, we communicated via posters, tools, and direct comparison between the two shops.
Furthermore, the respondents had good knowledge of food safety as well as reported regularly maintaining good practice in pork safety, but the regression results showed no effect of knowledge on the WTP of either pork product. In contrast, Khai et al. (2018) identified pork safety knowledge as a positive driver of consumers' WTP to safe pork. In addition, we found that concern about the risk of eating contaminated pork had a negative impact on the WTP for the pork from typical shops, which is confirmed in previous studies (Hayes et al., 1995; Yu et al., 2018). Similarly, the message about the risk of consuming pork did not affect the consumers' decision. This was explained by Hayes et al. (1995) that the consumers trust their prior perceptions more than new information about the odds of illness, and this belief is not biased by the researcher (Bruner et al., 2014). It is reasonable since the study population reported a low prevalence of food poisoning symptoms (4.6% for vomiting and 15.8% for stomachache), especially those related to pork consumption. This low figure may be the consequence of frequently applying food safety practices or bias in recalling information from memory (Prince, 2012; Lightle, 2016) and difficulty in diagnosing gastrointestinal disease (Culligan et al., 2009). It has earlier been shown that consumers in low- and middle-income countries do not always choose safe food even though they are concerned about food safety issues (Liguori et al., 2022).
In addition, the frequency of pork consumption and household characteristics are undoubtedly factors that increase consumers' WTP. We found that high pork consumption is associated with high WTP for both two products, which is different from the results of Thi Nguyen et al. who indicated the negative impact of pork consumption on WTP (Thi Nguyen et al., 2019). The difference in the study population and study design might explain this contrast. In addition, the experimental approach motivates the participants to reveal their true intention better than the hypothetical choice experiment (Noussair et al., 2004; Vecchio and Borrello, 2019). In addition, we found that the consumer tends to pay more for pork products if there is an elderly member in the household. This can be interpreted that the popularity of pork dishes in Vietnamese daily meals motivates them to pay more to reduce the risk of exposing the elderly, a vulnerable group to food-borne diseases through contaminated pork. This finding is consistent with the findings from Dang-Xuan et al. (2017) and Khai et al. (2018). However, we did not find a relationship between children, another vulnerable group, with the WTP while Neill and Holcomb found a significant effect (Neill and Holcomb, 2019).
Finally, the consumers seemed to be familiar with the technique of slaughtering on grids that we applied to improve food safety at the slaughter stage. It is a good signal for the higher price of pork products from upgraded shops since consumers often show a higher acceptance of new technology (Bruner et al., 2014; Britwum and Yiannaka, 2019).
Limitation
This study did not cover participants in urban areas where supermarkets and convenience stores are strong competitors to traditional pork shops. Further studies should be implemented to find additional information about this group. Another limitation is the limited choice of pork type in the study, which may not completely reflect consumers' preferences. However, this design helped us to reduce bias in consumers' decisions due to the demand reduction effect. Finally, the convenience sampling procedure with a small sample size in this study may cause bias in the estimate of the regression model.
Conclusion
Our study confirmed the potential profit from pork provided by upgraded pork shops among traditional pork retailers in Vietnam. Along with the popularity of pork in Vietnam and the increasing trend in pork consumption, this is a significant driver to encourage small-scale pork producers to invest in and maintain the food safety condition of their establishments. These are important signals to the consumer about the food safety of the product. However, further studies to analyze the cost-benefit need to be implemented to assess the sustainability of the investment.
Moreover, this study corroborated consumers' concerns toward pork safety, but this was not the driver to motivate them to purchase a safer product. Instead, they classified the products into different categories according to their characteristics (including food safety attributes) and then positioned them with different prices. In other words, the typical pork shops still have their own consumers, even though they may prefer buying from the upgraded pork shop. Hence, along with market mechanisms, other impacts from relevant stakeholders are required to considerably improve the safety of pork.
Finally, consumers showed concrete knowledge and regular practice in food safety that was not affected by a simple risk message. Therefore, an appropriate communication strategy is required to effectively enhance their perception about the risk of pork-borne diseases, especially for the vulnerable group in the household. This would be the key to consolidate the sustainability of local efforts to reduce the burden of pork-borne diseases.
Data availability statement
The raw data supporting the conclusions of this article will be made available by the authors, without undue reservation.
Ethics statement
The studies involving human participants were reviewed and approved by Institute Review Board at the Hanoi University of Public Health (No. 110/2018/YTCC-HD3). Written informed consent for participation was not required for this study in accordance with the national legislation and the institutional requirements.
Author contributions
HHTN, FU, HNV, SDX, DG, and PPD contributed to conception and design of the study. PNH and HLT organized the database. HHTN performed the data analysis and wrote the first draft of the manuscript. MM and JL wrote the discussion and introduction sections of the manuscript. SDX and FU wrote the methodology section. HHTN and TTHL wrote the result section. All authors contributed to manuscript revision, read, and approved the submitted version.
Funding
This study was part of the SafePORKProject, which was funded by the Australian Center for International Agricultural Research (ACIAR) (Grant Number: LPS/2016/143) and the CGIAR Research Program on Agriculture for Nutrition and Health (A4NH).
Acknowledgments
The authors would like to thank lecturers and students at the Faculty of Veterinary Sciences of Thai Nguyen University of Agriculture and Forestry and the local authorities and participating retailers and consumers in Thai Nguyen and Hung Yen for their support during the fieldwork. The authors also would like to acknowledge Dr. Oben K. Bayrak from the Swedish University of Agricultural Sciences, Dr. Pham Khanh Nam from the University of Economics Ho Chi Minh City, Mr. Luong Nguyen-Thanh from the Uppsala University, and Ms. Caitlin Herrington from the Michigan State University for their valuable comments in study design and data analysis, and Ms. Tezira Lore from ILRI for English editing.
Conflict of interest
The authors declare that the research was conducted in the absence of any commercial or financial relationships that could be construed as a potential conflict of interest.
Publisher's note
All claims expressed in this article are solely those of the authors and do not necessarily represent those of their affiliated organizations, or those of the publisher, the editors and the reviewers. Any product that may be evaluated in this article, or claim that may be made by its manufacturer, is not guaranteed or endorsed by the publisher.
Supplementary material
The Supplementary Material for this article can be found online at: https://www.frontiersin.org/articles/10.3389/fsufs.2023.1055877/full#supplementary-material
References
ACIAR (2016). SafePORK: Market Based Approaches to Improving the Safety of Pork in Vietnam. Available online at: https://aciar.gov.au/project/ls-2016-143 (accessed September 9, 2020).
Angulo, A. M., and Gil, J. M. (2007). Risk perception and consumer willingness to pay for certified beef in Spain. Food Qual. Prefer. 18, 1106–1117. doi: 10.1016/j.foodqual.2007.05.008
Ares, G., Giménez, A., Bruzzone, F., Vidal, L., Antúnez, L., and Maiche, A. (2013). Consumer visual processing of food labels: results from an eye-tracking study. J. Sens. Stud. 28, 138–153. doi: 10.1111/joss.12031
Becker, G. M., DeGroot, M. H., and Marschak, J. (1964). Measuring utility by a single-response sequential method. Behav. Sci. 9, 226–232. doi: 10.1002/bs.3830090304
Britwum, K., and Yiannaka, A. (2019). Consumer willingness to pay for food safety interventions: the role of message framing and issue involvement. Food Policy 86, 9. doi: 10.1016/j.foodpol.2019.05.009
Bruner, D. M., Huth, W. L., McEvoy, D. M., and Morgan, O. A. (2014). Consumer valuation of food safety: the case of postharvest processed oysters. Agric. Resour. Econ. Rev. 43, 300–318. doi: 10.1017/S1068280500004330
Cadilhon, J.-J., Fearne, A., Moustier, P., and Poole, N. (2002). Changes in the Organisation of Food Marketing Systems in South East Asia: A Preliminary Assessment. Available online at: https://citeseerx.ist.psu.edu/document?repid=rep1ctype=pdf&doi=dc5e89901197ed1a303b7db8285ef5582716c328 (accessed January 21, 2023).
Chege, C. G. K., Sibiko, K. W., Wanyama, R., Jager, M., and Birachi, E. (2019). Are consumers at the base of the pyramid willing to pay for nutritious foods? Food Policy 87, 101745. doi: 10.1016/j.foodpol.2019.101745
Culligan, E. P., Hill, C., and Sleator, R. D. (2009). Probiotics and Gastrointestinal Disease: Successes, Problems and Future Prospects. doi: 10.1186/1757-4749-1-19
da Cunha, D. T., de Rosso, V. V., Pereira, M. B., and Stedefeldt, E. (2019). The differences between observed and self-reported food safety practices: a study with food handlers using structural equation modeling. Food Res. Int. 125, 108637. doi: 10.1016/j.foodres.2019.108637
Dang-Xuan, S., Nguyen-Viet, H., Pham-Duc, P., Unger, F., Tran-Thi, N., Grace, D., et al. (2019). Risk factors associated with Salmonella spp. prevalence along smallholder pig value chains in Vietnam. Int. J. Food Microbiol. 290, 105–115. doi: 10.1016/j.ijfoodmicro.2018.09.030
Dang-Xuan, S., Nguyen-Viet, H., Unger, F., Pham-Duc, P., Grace, D., Tran-Thi, N., et al. (2017). Quantitative risk assessment of human salmonellosis in the smallholder pig value chains in urban of Vietnam. Int. J. Public Health 62, 93–102. doi: 10.1007/s00038-016-0921-x
di lorio, C. K. (2005). Measurement in Health Behavior and Health Education, (Sanfrancisco, CA: Jossey-Bass).
Eftimov, T., Popovski, G., Petković, M., Seljak, B. K., and Kocev, D. (2020). COVID-19 pandemic changes the food consumption patterns. Trends Food Sci. Technol. 104, 268–272. doi: 10.1016/j.tifs.2020.08.017
Fernqvist, F., and Ekelund, L. (2014). Credence and the effect on consumer liking of food - a review. Food Qual. Prefer 32, 340–353. doi: 10.1016/j.foodqual.2013.10.005
Geraci, M. (2014). Linear Quantile Mixed Models: The lqmm Package for Laplace Quantile Regression. Available online at: https://www.jstatsoft.org/article/view/v057i13 (accessed September 30, 2022).
Ha, T. M., Shakur, S., and Pham Do, K. H. (2019). Rural-urban differences in willingness to pay for organic vegetables: Evidence from Vietnam. Appetite 141, 4. doi: 10.1016/j.appet.2019.05.004
Hansen, A. (2018). Meat consumption and capitalist development: the meatification of food provision and practice in Vietnam. Geoforum 93, 57–68. doi: 10.1016/j.geoforum.2018.05.008
Hayes, D. J., Shogren, J. F., Shin, Y., and Kliebenstein, J. B. (1995). Valuing Food Safety in Experimental Auction Markets.
Ifft, J., Roland-Holst, D., and Zilberman, D. (2012). Consumer valuation of safety-labeled free-range chicken: Results of a field experiment in Hanoi. Agricul. Econ. 43, 607–620. doi: 10.1111/j.1574-0862.2012.00607.x
Jaffee, S., Henson, S., Unnevehr, L., Grace, D., and Cassou, E. (2019). The Safe Food Imperative: Accelerating Progress in Low and Middle-Income Countries (Washington, DC: World Bank Group).
Jin, S., Zhang, Y., and Xu, Y. (2017). Amount of information and the willingness of consumers to pay for food traceability in China. Food Control. 77, 163–170. doi: 10.1016/j.foodcont.2017.02.012
Karanja, A., Ickowitz, A., Stadlmayr, B., and McMullin, S. (2022). Understanding drivers of food choice in low- and middle-income countries: a systematic mapping study. Glob Food Sec. 32, 100615. doi: 10.1016/j.gfs.2022.100615
Katt, F., and Meixner, O. (2020). A systematic review of drivers influencing consumer willingness to pay for organic food. Trends Food. Sci. Technol. 100, 374–388. doi: 10.1016/j.tifs.2020.04.029
Khai, H. V., Duyen, T. T. T., and Xuan, H. T. D. (2018). The demand of urban consumers for safe pork in the Vietnamese mekong delta. J. Soc. Dev. Sci. 9, 47–54. doi: 10.22610/jsds.v9i3.2476
Koschate-Fischer, N., and Schandelmeier, S. (2014). A guideline for designing experimental studies in marketing research and a critical discussion of selected problem areas. J. Bus. Econ. 84, 793–826. doi: 10.1007/s11573-014-0708-6
Kytö, E., Virtanen, M., and Mustonen, S. (2019). From intention to action: Predicting purchase behavior with consumers' product expectations and perceptions, and their individual properties. Food Qual. Prefer 75, 1–9. doi: 10.1016/j.foodqual.2019.02.002
Le, A. T., Nguyen, M. T., Vu, H. T. T., and Nguyen Thi, T. T. (2020). Consumers' trust in food safety indicators and cues: the case of Vietnam. Food Control. 112, 107162. doi: 10.1016/j.foodcont.2020.107162
Li, X., Jensen, K. L., Clark, C. D., and Lambert, D. M. (2016). Consumer willingness to pay for beef grown using climate friendly production practices. Food Policy 64, 93–106. doi: 10.1016/j.foodpol.2016.09.003
Lightle, J. P. (2016). A rational choice model of the biased recall of information. Econ. Model 53, 487–493. doi: 10.1016/j.econmod.2015.10.048
Liguori, J., Trübswasser, U., Pradeilles, R., le Port, A., Landais, E., Talsma, E. F., et al. (2022). How do food safety concerns affect consumer behaviors and diets in low- and middle-income countries? A systematic review. Glob. Food Sec. 32, 100606. doi: 10.1016/j.gfs.2021.100606
Liu, R., Gao, Z., Nayga, R. M., Snell, H. A., and Ma, H. (2019). Consumers' valuation for food traceability in China: does trust matter? Food Policy 88, 101768. doi: 10.1016/j.foodpol.2019.101768
Lusk, J. L., and Shogren, J. F. (2007). Experimental Auctions: Methods and Applications in Economic and Marketing Research. New York, NY: Cambridge University Press.g
Maruyama, M., and Trung, L. V. (2010). The nature of informal food bazaars: empirical results for Urban Hanoi, Vietnam. J. Retail. Cons. Serv. 17, 1–9. doi: 10.1016/j.jretconser.2009.08.006
Meenakshi, J. V., Banerji, A., Manyong, V., Tomlins, K., Mittal, N., and Hamukwala, P. (2012). Using a discrete choice experiment to elicit the demand for a nutritious food: Willingness-to-pay for orange maize in rural Zambia. J. Health. Econ. 31, 62–71. doi: 10.1016/j.jhealeco.2012.01.002
Mergenthaler, M., Weinberger, K., and Qaim, M. (2009). The Role of Consumers' Perceptions in the Valuation of Food Safety and Convenience Attributes of Vegetables in Vietnam LEGVALUE View Project Neue Dialogformen zwischen Landwirtschaft und Gesellschaft für mehr Akzeptanz und Wertschätzung View Project. Available online at: https://www.researchgate.net/publication/239923879
Murphy, J. J., Allen, P. G., Stevens, T. H., and Weatherhead, D. (2003). A Meta-Analysis of Hypothetical Bias in Stated Preference Valuation, (Department of Resource Economics, University of Massachusetts Amherst).
My, N. H. D., Demont, M., van Loo, E. J., de Guia, A., Rutsaert, P., Tuan, T. H., et al. (2018). What is the value of sustainably-produced rice? Consumer evidence from experimental auctions in Vietnam. Food Policy 79, 283–296. doi: 10.1016/j.foodpol.2018.08.004
My, N. H. D., Demont, M., and Verbeke, W. (2021). Inclusiveness of consumer access to food safety: evidence from certified rice in Vietnam. Glob Food Sec. 28, 100491. doi: 10.1016/j.gfs.2021.100491
Neill, C. L., and Holcomb, R. B. (2019). Does a food safety label matter? Consumer heterogeneity and fresh produce risk perceptions under the Food Safety Modernization Act. Food Policy 85, 7–14. doi: 10.1016/j.foodpol.2019.04.001
Nga, N. T. D., Ninh, H. N., van Hung, P., and Lapar, M. L. (2014). Smallholder Pig Value Chain Development in Vietnam: Situation Analysis and Trends. Available online at: https://cgspace.cgiar.org/bitstream/handle/10568/53935/pr_situation_analysis_vietnam_web.pdf?sequence=7andisAllowed=y (accessed September 30, 2022).
Ngo, H. H. T., Nguyen-Thanh, L., Pham-Duc, P., Dang-Xuan, S., Le-Thi, H., Denis-Robichaud, J., et al. (2021). Microbial contamination and associated risk factors in retailed pork from key value chains in Northern Vietnam. Int. J. Food Microbiol. 346, 109163. doi: 10.1016/j.ijfoodmicro.2021.109163
Nguyen, V. P., Tran, H. C., and Mergenthaler, M. (2014). Effects of socio-economic and demographic variables on meat consumption in Vietnam. Asian J. Agric. Rural Dev. 4, 972–987. doi: 10.22004/ag.econ.198325
Nguyen-Viet, H., Dang-Xuan, S., Pham-Duc, P., Roesel, K., Huong, N. M., Luu-Quoc, T., et al. (2019). Rapid integrated assessment of food safety and nutrition related to pork consumption of regular consumers and mothers with young children in Vietnam. Glob Food Sec. 20, 37–44. doi: 10.1016/j.gfs.2018.12.003
Nhung, N. T., Van, N. T. B., Cuong, N., van Duong, T. T. Q., Nhat, T. T., Hang, T. T. T., et al. (2018). Antimicrobial residues and resistance against critically important antimicrobials in non-typhoidal Salmonella from meat sold at wet markets and supermarkets in Vietnam. Int. J. Food Microbiol. 266, 301–309. doi: 10.1016/j.ijfoodmicro.2017.12.015
Noussair, C., Robin, S., and Ruffieux, B. (2004). Revealing consumers' willingness-to-pay: a comparison of the BDM mechanism and the Vickrey auction. J. Econ. Psychol. 25, 725–741. doi: 10.1016/j.joep.2003.06.004
Ortega, D. L., and Tschirley, D. L. (2017). Demand for food safety in emerging and developing countries: a research agenda for Asia and Sub-Saharan Africa. J. Agribus Dev. Emerg. Econ. 7, 21–34. doi: 10.1108/JADEE-12-2014-0045
Owusu-Sekyere, E., Owusu, V., and Jordaan, H. (2014). Consumer preferences and willingness to pay for beef food safety assurance labels in the Kumasi Metropolis and Sunyani Municipality of Ghana. Food Control. 46, 152–159. doi: 10.1016/j.foodcont.2014.05.019
Pham, H. V., and Dinh, T. L. (2020). The Vietnam's food control system: achievements and remaining issues. Food Control 108, 106862. doi: 10.1016/j.foodcont.2019.106862
Prince, M. (2012). Core Psychiatry. Third Edition. Elservier. doi: 10.1016/B978-0-7020-3397-1.00046-X
Riccioli, F., Moruzzo, R., Zhang, Z., Zhao, J., Tang, Y., Tinacci, L., et al. (2020). Willingness to pay in main cities of Zheijiang provice (China) for quality and safety in food market. Food Control 108, 106831. doi: 10.1016/j.foodcont.2019.106831
The World Bank (2017). Vietnam Food Safety Risks Management: Challenges and Opportunities - Policy Note. Available online at: http://documents.worldbank.org/curated/en/157501490724011125/Vietnam-food-safety-risks-management-challenges-and-opportunities-policy-note (accessed September 30, 2022).
Thi Nguyen, H., Nguyen, Q. C., Kabango, A. N., and Pham, T. D. (2019). Vietnamese consumers' willingness to pay for safe Pork in Hanoi. J. Int. Food Agribus. Mark. 31, 378–399. doi: 10.1080/08974438.2018.1533506
Tran, D., Broeckhoven, I., Hung, Y., Diem My, N. H., de Steur, H., and Verbeke, W. (2022). Willingness to pay for food labelling schemes in Vietnam: a choice experiment on water Spinach. Foods 11, 722. doi: 10.3390/foods11050722
Unger, F., Nguyen, T. T., Pham, V. H., Le, T. T. H., Nguyen-Viet, H., and Dang-Xuan, S. (2019). Overview of Typical Pork Value Chains in Vietnam. Available online at: https://hdl.handle.net/10568/102172 (accessed September 27, 2022).
Vecchio, R., and Borrello, M. (2019). Measuring food preferences through experimental auctions: a review. Food Res. Int. 116, 1113–1120. doi: 10.1016/j.foodres.2018.09.055
Wang, E. S. T., and Tsai, M. C. (2019). Effects of the perception of traceable fresh food safety and nutrition on perceived health benefits, affective commitment, and repurchase intention. Food Qual. Prefer 78, 103723. doi: 10.1016/j.foodqual.2019.103723
Wertheim-Heck, S. C. O., and Raneri, J. E. (2020). Food policy and the unruliness of consumption: An intergenerational social practice approach to uncover transforming food consumption in modernizing Hanoi, Vietnam. Glob Food Sec. 26, 100418. doi: 10.1016/j.gfs.2020.100418
Wertheim-Heck, S. C. O., Vellema, S., and Spaargaren, G. (2015). Food safety and urban food markets in Vietnam: the need for flexible and customized retail modernization policies. Food Policy 54, 95–106. doi: 10.1016/j.foodpol.2015.05.002
Yu, H., Neal, J. A., and Sirsat, S. A. (2018). Consumers' food safety risk perceptions and willingness to pay for fresh-cut produce with lower risk of foodborne illness. Food Control 86, 83–89. doi: 10.1016/j.foodcont.2017.11.014
Yu, X., Gao, Z., and Zeng, Y. (2014). Willingness to pay for the “Green Food” in China. Food Policy 45, 80–87. doi: 10.1016/j.foodpol.2014.01.003
Zhang, C., Bai, J., and Wahl, T. I. (2012). Consumers' willingness to pay for traceable pork, milk, and cooking oil in Nanjing, China. Food Cont. 27, 21–28. doi: 10.1016/j.foodcont.2012.03.001
Keywords: food safety, willingness-to-pay, Becker-DeGroot-Marschak mechanism, market intervention, experimental auction
Citation: Ngo HHT, Dang-Xuan S, Målqvist M, Pham-Duc P, Nguyen-Hong P, Le-Thi H, Nguyen-Viet H, Le TTH, Grace D, Lindahl JF and Unger F (2023) Impact of perception and assessment of consumers on willingness to pay for upgraded fresh pork: An experimental study in Vietnam. Front. Sustain. Food Syst. 7:1055877. doi: 10.3389/fsufs.2023.1055877
Received: 28 September 2022; Accepted: 02 February 2023;
Published: 23 February 2023.
Edited by:
Maurizio Canavari, University of Bologna, ItalyReviewed by:
Ashkan Pakseresht, Brunel University London, United KingdomRiccardo Vecchio, University of Naples Federico II, Italy
Copyright © 2023 Ngo, Dang-Xuan, Målqvist, Pham-Duc, Nguyen-Hong, Le-Thi, Nguyen-Viet, Le, Grace, Lindahl and Unger. This is an open-access article distributed under the terms of the Creative Commons Attribution License (CC BY). The use, distribution or reproduction in other forums is permitted, provided the original author(s) and the copyright owner(s) are credited and that the original publication in this journal is cited, in accordance with accepted academic practice. No use, distribution or reproduction is permitted which does not comply with these terms.
*Correspondence: Hai Hoang Tuan Ngo, aGFpLm5nb0BrYmgudXUuc2U=;
dHVhbmhhaTA0MDJAZ21haWwuY29t
†These authors share last authorship