Your new experience awaits. Try the new design now and help us make it even better

ORIGINAL RESEARCH article

Front. Sustain. Food Syst., 22 September 2023

Sec. Nutrition and Sustainable Diets

Volume 7 - 2023 | https://doi.org/10.3389/fsufs.2023.1171654

This article is part of the Research TopicNutrition and Sustainable Development Goal 2: Zero HungerView all 24 articles

Strength and weakness of the National Nutrition Improvement Program in Rural and Nomadic Women: findings from a policy triangle framework

Naser KalantariNaser Kalantari1Morteza AbdollahiMorteza Abdollahi2Parisa AmiriParisa Amiri3Farid ZayeriFarid Zayeri4Neda Ezzeddin
Neda Ezzeddin5*
  • 1Department of Community Nutrition, National Nutrition and Food Technology Research Institute, Faculty of Nutrition Sciences and Food Technology, Shahid Beheshti University of Medical Sciences, Tehran, Iran
  • 2National Nutrition and Food Technology Research Institute, Faculty of Nutrition Sciences and Food Technology, Social Determinants of Health Research Centre, Shahid Beheshti University of Medical Sciences, Tehran, Iran
  • 3Research Centre for Social Determinants of Health, Research Institute for Endocrine Sciences, Shahid Beheshti University of Medical Sciences, Tehran, Iran
  • 4Proteomics Research Centre and Department of Biostatistics, Faculty of Allied Medical Sciences, Shahid Beheshti University of Medical Sciences, Tehran, Iran
  • 5Department of Community Nutrition, Faculty of Nutrition Sciences and Food Technology, Shahid Beheshti University of Medical Sciences, Tehran, Iran

Introduction: Nutrition-sensitive agriculture (NSA) is a comprehensive, inter-sectoral approach to improve food security and nutrition. In Iran, “National Nutrition Improvement Program in Rural and Nomadic Women” has been developed and implemented as a NSA program. The main purpose of this study was analysis of this program using the Policy Triangle Framework.

Methods: This was a qualitative policy analysis study, which was conducted retrospectively. The study population included policymakers and executors at macro (Tehran Province) and micro levels (County and village) from the two involved ministries, as well as rural women in Tehran province. The collected data included the program document (N = 210), in-depth semi-structured interviews (N = 40), as well as focus group discussions (N = 8). Data was analyzed using MAXQDA 2010 software with a deductive approach.

Results: The findings of this study indicated that the underlying factors including social, economic and cultural status, health, structural-environmental and political are associated to the development of the program. The current program is a multi-faceted, in accordance with the existing needs, which provides opportunities to improve nutrition and community health, empower women, strengthen socio-economic status at the micro and macro levels and pave the way for other projects, by connecting the nutrition sector to agriculture. The analysis has also shown that the content of this program requires more consideration in budget and motivational measures. Although developing an NSA program based on inter-sectoral collaboration is a valuable step, it needs to be improved in the areas of sustainability, inter-sectoral collaboration, resources and facilities, monitoring and evaluation, as well as needs assessment.

Conclusion: The findings of the present study can be used as evidence by policymakers and planners in redesigning and implementing the program, or developing other NSA programs.

1. Introduction

Food security exists when all people, at all times, have physical, social, and economic access to sufficient, safe, and nutritious food that meets their dietary needs and food preferences for an active and healthy life based on the Food and Agriculture Organization (FAO) definition (Food and Agriculture Organization, 2010). When these conditions are not met, food insecurity exists which usually related to poverty (Ivers and Cullen, 2011). Food insecurity is recognized as a major cause of malnutrition (McDonald et al., 2015; Gkiouras et al., 2020) which also predispose food-insecure households to obesity and the Noncommunicable diseases (NCDs) because of consuming micronutrient-poor diets (Seligman and Schillinger, 2010; Heerman et al., 2016). Studies indicate a high prevalence of food insecurity in rural areas of Iran, for instance 69% in Kohgiluyeh and Boyer-Ahmad (Zera'at Kish and Kamaei, 2017), 59.4% in Khoy (Sharafkhani et al., 2011), 40.9% in Neishabour (Gholami et al., 2013) and 68% in Kermanshah (Rostami et al., 2014).

Nutrition-sensitive agriculture (NSA) is a comprehensive, inter-sectoral food-based system approach to improve food security and nutrition (Di Prima et al., 2022). In fact, the NSA considered by governments, Non-Government Organizations (NGOs) and development agencies as a way to achieve Sustainable Development Goals (SDGs) (Bhutta et al., 2013; Moumin et al., 2017). NSA programs integrate complementary components such as agriculture, health, social support, education, water, and health, which influence key nutrition determinants, including poverty, food insecurity, lack of access to adequate health care and water resources (Maxwell et al., 2010).

Homestead Food Production (HFP) is a kind of NSA program (Ruel et al., 2013), which has positive effects on household food security, dietary diversity and receiving more essential micronutrients, and can also be associated with revenue generation through the sale of additional products (Verbowski, 2015). Increasing the availability and consumption of nutritious foods through HFP is considered a sustainable approach, as it enables women and households to take ultimate responsibility for the quality of their diet (Talukder et al., 2010). Increasing women’s authority on financial resources could also help empower them in gender equality (Olney et al., 2013; Haselow et al., 2016). Studies show that women empowerment associated with better food security and dietary diversity of the household members including women and children (Sharaunga et al., 2016; Kassie et al., 2020; Baye et al., 2021). So, the target group of NSA programs is usually women (Talukder et al., 2010; Olney et al., 2013; Schreinemachers et al., 2016; Nielsen et al., 2018). Because of the importance role of women in household nutrition in Iran too, a program entitled “Nutrition Improvement of Rural and Nomadic Women” was developed in 2017 to pursue the goal two of SDG: “End hunger, achieve food security and improved nutrition and promote sustainable agriculture” (The Sustainable Development Goals Report, 2017; Instructions for the Implementation of Healthy Nutrition Education and Promotion in Rural and Nomad Women [in Farsi], 2018).This program Promoting healthy diet and production of vegetables, poultry and eggs among rural and nomadic women are the goals of this program, which can also be effective in reducing the incidence of NCDs (Instructions for the Implementation of Healthy Nutrition Education and Promotion in Rural and Nomad Women [in Farsi], 2018).

The history of implementation of NSA programs is not many in Iran, so its related studies are limited. Based on Ghodsi study, home garden has been considered as a component of a multi-sectoral program entitled “National Program for Improving Nutritional Status of Children in Iran,” but it has not been implemented full filly because of resource limitation (Ghodsi et al., 2017). The “Nutrition Improvement of Rural and Nomadic Women” is one of the inter-sectoral programs in Iran, which focuses more on establishing vegetable home garden (Instructions for the Implementation of Healthy Nutrition Education and Promotion in Rural and Nomad Women [in Farsi], 2018), but it had not been analyzed or evaluated until the current study. Analysis of the health policies, provide the proper understanding of policy process and its nature. In addition, it provides evidence for evidence-based policy-making. Researchers apply different models and theories to analyze health policies, which health policy triangle is one of the most used, especially in developing countries (Behzadifar et al., 2022). This model examines the health policies from the different dimensions (content, actors, process and context) and identifies existing gaps (Edalati et al., 2020). The purpose of this study was also to analyze the mentioned program, in order to identify its strengths, weaknesses, considerations and suggestions for its improvement. Examining the contextual factors also reflects a clear picture of the issues that caused the formation of the program. Ultimately, the results of this study may be useful for policymakers and planners in redesigning the program or developing other NSA programs as well.

1.1. Conceptual framework

In the current study, the policy triangle framework has been used to analysis the Nutrition Improvement Program in Rural and Nomadic Women in Iran (Figure 1). This framework was developed by Walt and Gilson in 1994 and evaluates policies from four dimensions as key issues (Doshmangir and Ravaghi, 2015). These four dimensions include: (1) the objectives and strategies of the program (content), (2) underlying factors associated with the program development (Context), (3) Key individuals and organizations involved in the program (actors), and (4) agenda setting, formation, implementing and evaluating the program (process). In this study, the content and implementation process of the program were assessed to show strengthens, weakness, considerations and suggestions. In addition, the recognition of involved actors and their role in the program.

FIGURE 1
www.frontiersin.org

Figure 1. Policy triangle framework.

In order to determine how to put the issue on the agenda, a complementary conceptual framework including Kingdons’ Multiple Streams Approach (MSA) was applied. The framework consists of three independent streams, including the “problem,” “policy” and “politic” streams that open a window of opportunity if converged. Problem stream indicates the health challenges and their characteristics that address issues. Policy stream represents the existing solutions and patterns to address the issue, and politic stream refers to the political context that influences the policy-making process (Kingdon and Thurber, 1984).

2. Methods

2.1. Study design and population

Our work was a qualitative policy analysis study, which was conducted retrospectively. The study population in this project included policy makers and executors at macro (Tehran Province) and micro levels (County and village) from the two involved ministries, as well as rural women in Tehran province. A total of twenty villages from eight counties (Varamin, Pakdasht, Pishva, Rey, Malard, Pardis, Eslam Shahr and Tehran) in which the Nutrition Improvement Program was implemented have been assessed. This study was approved by the Ethics Committee of the University of Medical Sciences, 26 July 2020 (ethical code: IR.SBMU.NNFTRI.REC.1399.021).

2.2. Data collection

2.2.1. Documents

Documents, in-depth semi-structured interviews and Focus Group Discussions (FDG) were employed to gathering data. Relevant documents (at national, province and county levels) have been collected from the beginning of this program (February 2017) until March 2021, including the program memorandums, executive instructions and operational plans, correspondence, minutes, progress reports, trainings for educators and rural women, educational workshops and conference reports. A total of 210 documents were gathered and analyzed. These documents were obtained directly from the Ministry of Health and Medical Education, health deputy of universities of medical sciences, counties health network and Ministry of Agriculture-Jahad.

2.2.2. Semi-structured interviews

In-depth semi-structured interviews (N = 40) were conducted according to the interview guide protocol from October 2020 to August 2021 (Supplementary Tables S1, S2). The questions of interview guide were open-ended and developed based on the study objectives (the analysis of the program by used frameworks), by the research team. Then it was modified by a 7- member panel of experts (including community nutrition, food and nutrition policy, rural development and agriculture development).

Interviewees including policy makers, executers and facilitators were selected using snowball sampling as a purposeful method (Table 1). All participants were informed about the objectives of the study, interview subject and privacy. In addition, the informed consent form was signed by all participants. The subjects that were interviewed by the policy makers and the executive managers included information about the formulation of the program, the strengths and weaknesses of the content and its implementation, financial and human resources, etc., while the front of line executives interviews were more concerned about the status of the program implementation, trainings, resources and facilities, etc. The details of the interviews are provided in the Supplementary Tables S1, S2. For this study, 10 face-to-face interviews were conducted and 29 interviews were performed by telephone due to limitations that occurred during the COVID-19 pandemic. The use of telephone interviews has been shown to increase in recent years (Block and Erskine, 2012). On the day of the interview, participants were reminded by phone or message, and after confirmation, the interview began and was recorded by the callX app. The researcher also took conservation notes during the interview and probes were performed if necessary.

TABLE 1
www.frontiersin.org

Table 1. Interviewees’ position in the program.

One of the participants was interviewed by e-mail at her own request. For this purpose, questions were sent to her and she was asked to respond the questions and specify the ambiguities that need further explanation. Then, the received answers were reviewed by the researcher and the final file was achieved after the interaction between the participant and the researcher.

The first three interviews were conducted experimentally with minor modifications. Based on the responses, further questions were asked if needed and interviews continued until data saturation was reached, where no new relevant information (codes or themes) were emerged in data. The interviews lasted an average of about half an hour. All the steps, including conducting interviews, listening to the recorded interviews, reading the drafts and transcribing them, were performed by a researcher (NE).

2.2.3. Focused group discussions

Eight FDGs were connected by teleconference on 29 women in eight villages (February 2021), by a researcher (NE). This researcher had previous knowledge and experience to hold FDGs.

The characteristics of the participants are presented in Table 2. A FDGs was conducted with women who covered by the program, which were selected based on their availability. Individuals were told about the objectives of the study, privacy considerations, and how to join. The best agreed time for group discussion was determined by asking rural women and on FDG day, two reminders (a few hours before and less than half an hour before) were sent to the participants. However, a small number of women were excluded due to unforeseen personal issues.

TABLE 2
www.frontiersin.org

Table 2. The characteristic of women participated in FGDs (N = 29).

FDGs were performed based on an interview guide with open-ended questions, which designed according to the study objectives by the research team, and modified by a panel of experts, explained in previous section. In FDGs, women were discussed about the status of receiving training, its quality, application, resources and facilities, etc., the details of which are given in the Supplementary Table S3. The women were asked to talk freely about the topics, but whenever they went off topic or remained silent, they were brought back to the discussion with a probe. The first two FDGs were performed experimentally with minor changes, including reordering some questions. FDGs were continued until theoretical saturation, where no new relevant information (codes or themes) were emerged in data.

2.3. Data analysis

All interviews and FDGs were carefully transcribed (converting the audio to the written form, word to word) and then documents and transcripts were analyzed simultaneously by using the MAXQDA software (2010 version). Thematic content analysis was performed with the combination of inductive and deductive approaches. In this regard, the analysis initiated by open-ended coding. Next, conceptually similar codes were grouped as subcategories (axial coding), and the main themes emerged by incorporating these categories (selective coding) (inductive approach). Eventually, these categories formed the components of the policy triangle by subject (deductive approach). Constant Comparison Method (CCM) was employed during the data analytic process. The Guba and Lincoln’s evaluation criteria (Lincoln and Guba, 1985) were also used to ensure the reliability of the study, and triangulation was applied to ensure the validity.

Triangulation was applied to ensure credibility. The research team consisted of experts in qualitative and quantitative research methods with a background in executive management and project evaluation in the fields of social, health, food and nutrition. In fact, in our study, a variety of program-related resources (documents, field notes and interviews), participants from different levels and organizations, and several data collection procedures (in-depth semi-structured and focus group discussions) were applied. To ensure confirmability and transferability all documents were maintained during the process and activities were clearly recorded in sufficient detail. For dependability, all data were analyzed and encoded a few months after the initial coding and compared with the initial coding. For further dependability, about 30% of the data were also randomly analyzed and compared by another expert. In comparing the analyses, more than 70% agreement was reached. Conflicting cases were agreed upon through discussion or involvement of a third researcher.

3. Results

3.1. Content

This inter-sectoral program was concluded between the Ministry of Health and Medical Education (Department of Community Nutrition) and the Ministry of Agriculture-Jahad (Office for Development of Agricultural Activities of Rural and Nomadic Women) in February 2018 for a period of 5 years. The target group of the program includes the executives of these two organizations, community health workers in villages, Agriculture-Jahad experts, rural women facilitators, and rural and nomadic women.

The overall objectives of the program include (a) Achieving Goal two of UN Sustainable Development Goals; “End hunger, achieve food security and improved nutrition and promote sustainable agriculture,” (b) Promoting healthy eating habits among rural and nomadic women, (c) Facilitate job creation, especially home-based ones in rural and nomadic areas, and income generation, (d) Promote the homestead food production including vegetables, poultry and eggs, and finally (e) Provide the required consultations to promote a healthy eating pattern, improve the nutritional status of rural women and households, produce healthy products and create home gardens. Furthermore, the specific objectives of the operational plan also include (a) Improving the nutritional awareness of rural and nomadic women up to 50%, (b) Improving the nutritional attitude and performance of rural and nomadic women by 20%, (c) Increasing home gardens by 10%, and (d) Increasing the food production by rural and nomadic women based on healthy food criteria. Strategies to achieve these mentioned have included strengthening internal and external collaborations, training target and influencing groups on rural and nomadic women, as well as monitoring and evaluation.

3.1.1. Strengths and weaknesses

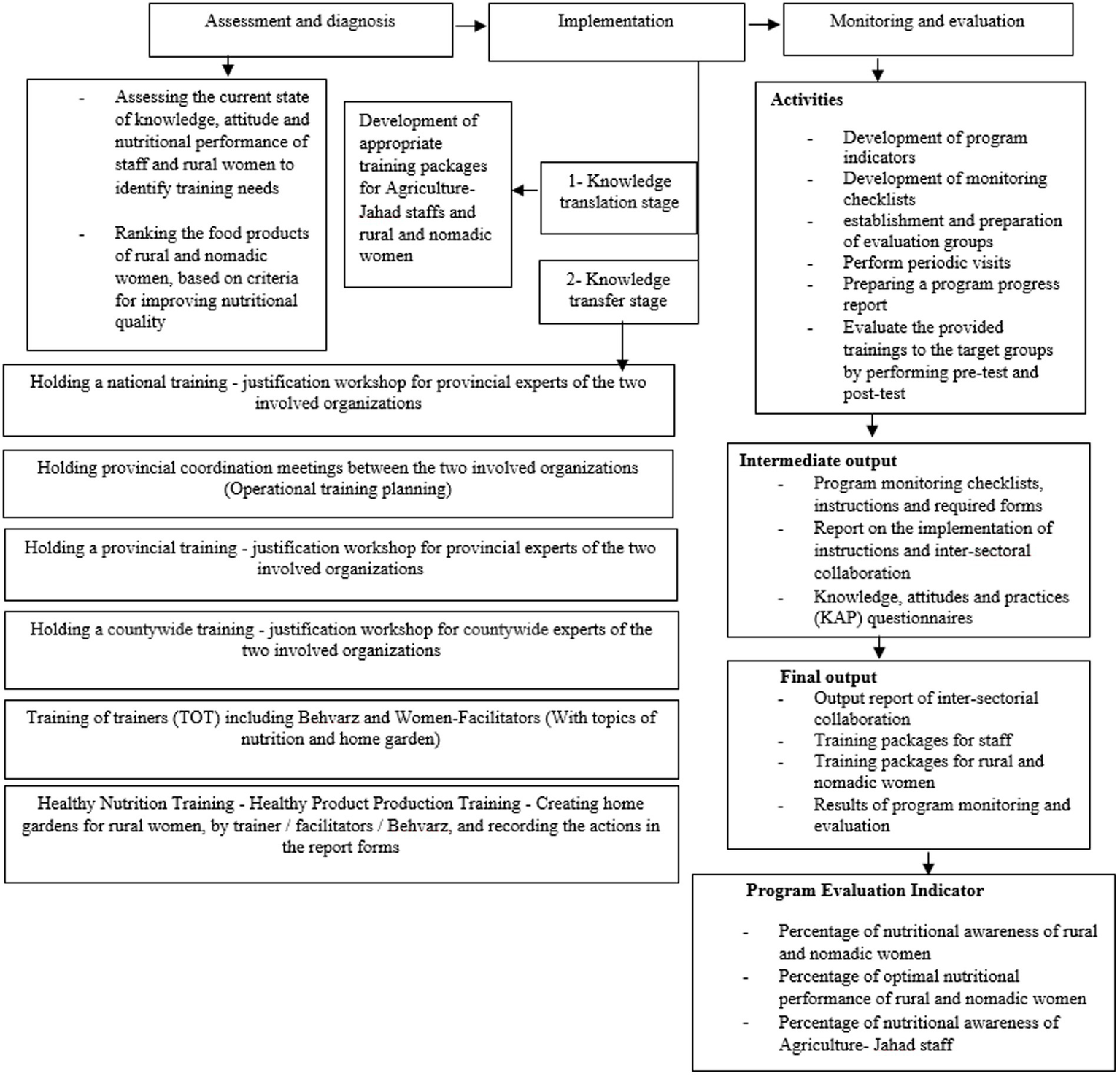
The structure of the program is designed based on Systematic Comprehensive Health Education and Promotion (SHEP) model. This model consists of three main stages including evaluation and diagnosis (review of literature, selection of study topic, and preparation of training content), implementation (designing of visual training aids, training of trainers, and training of target audiences) and monitoring and evaluation (in the short, medium and long term). Training in this model is hierarchical (Mirzaii et al., 2017). The schematic diagram of the Nutrition Improvement Program in Rural and Nomadic Women based on the SHEP model is presented in the Figure 2.

FIGURE 2
www.frontiersin.org

Figure 2. A schematic diagram of the program based on SHEP model.

The strengths of the program content are comprehensiveness and generality based on inter-sectoral collaboration and NSA to meet existing needs and the possibility of localization. Explaining the implementation process of the program in the instructions and operational plan are other strengths of the program. Considering the local active individuals in the implementation of the program, such as women-facilitators who were familiar with the context and inhabitants of the village has also been a positive aspect of the program. Furthermore, considering the experienced human resources such as Behvarz who provided health services in rural health houses, including nutrition training and visiting agricultural lands and homes was also one of the benefits of this program. One of the Behvarzs said:

“… Since we work as Behvarz in this village, we generally have visits like this, for example, to their gardens (of residents) and their homes… We also provide our routine trainings…”

The content of the program is opportunistic, so it can provide opportunities to improve nutrition and community health, empower women, strengthen socio-economic status at the micro and macro levels, and pave the way for other projects in the health and other fields. However, there have been some weaknesses in the content of the program, such as less attention to the financial resources and incentives for executives. One of the main executives said about the budget limitation:

“Financial resources are very limited, unless the existing facilities such as personnel, etc. are used… It has not been given specific credit…”

Also, the limited number of gardens specified in the guidelines (10 garden in each province), cannot have a significant positive effect on improving rural nutrition.

3.1.2. Considerations and suggestions

Considerations that require attention to the content of the program are divided into two categories:

1. The instructions should be updated based on the new goals of the organizations involved, as well as review and transparency in expectations. For instance, some villages have foreign inhabitants who have to decide on the status of their participation. In some cases, women have also requested the participation of their husbands. Since the implementation of the program leads to production, it seems necessary to pay attention to economic measures and facilities. One of the policy makers of the program said:

“… one of the updates of the program can be to strengthen communication with economic sectors… or consider facilities for the exchange of agricultural products… these can accelerate access to the goals of the program in providing healthy nutrition, as well as empowering Empowerment by strengthening their financial status.”

Also, due to difference in climate and development rate of villages, the instructions need to be localized.

1. Resources and facilities:

• Considering incentives for executives and sufficient budget:

Although seeds are distributed among women in this program, but its insufficiency has been seen in some cases. One of the executives said:

“… it is very important that they consider the financial resources of the program… for example, when we go to the village to train women, we give them seeds at least, …then we tell them to plant these, give them water, take care them etc…”

• Updating the required training for rural women:

It is also necessary to provide some training topics such as including water management, compost production and local foods promotion. One of the rural women who participated in the program, said about the importance of receiving training on how to grow vegetables in cold seasons:

“Well, there are many women who have a garden in their yard, but they cannot grow vegetables in the winter season because of the cold… If they are taught how to grow vegetables in the cold season, it will be great…”

Suggestions have also been made for the content of the program, which includes the expanding training topics such as wild and medicinal plants cultivation, and the expanding other empowerment projects for rural women such as local food production and handicrafts. Expanding the target group to pregnant and lactating women, adolescents and men is also recommended.

3.2. Context

Contextual factors affecting the formation and development of the program include social, economic and cultural status, health status, structural and environmental status and political status.

3.2.1. Social, economic and cultural status

There are training needs in rural areas due to low educational and nutritional literacy. Receiving training by rural women can be useful in home gardening as well as agriculture. Less access to nutritious food in rural areas is another factors that highlights the importance of developing this program. One of the main executors of the program said about the economic restrictions in the access to nutritious food in the village:

“… Due to the high cost of protein foods and less access to fruits, vegetables, and dairy products, the share of these foods in the tables of the villagers is very low…”

Culturally, rural and nomadic women are a priority in the target group due to their important role in production. They manage the family’s nutrition and have the ability to pass on the training to future generations. One of the documents reviewed in this study showed that:

“… Women who manage nutrition in the family can play an important role in improving poor eating habits and behaviors as well as preventing the spread of diseases caused by contaminated and unhealthy foods in the family. Considering the importance of culturalization of proper nutrition and its role in society’s health, the design and implementation of nutrition training interventions for women, especially rural and nomadic women, is the priority of programs to improve food security and nutrition in the country.”

3.2.2. Health status

Reducing optimal food consumption and proper dietary guidelines has been associated with increasing the consumption of fast foods, fats and sugars and reducing the consumption of fruits, vegetables, dairy and eggs. The consequences of this condition are manifested by increasing prevalence of obesity and overweight in different age groups, which can be associated with an increase in the prevalence of NCDs. One of the documents reviewed in this study showed that:

“… According to the results of surveys, about 50% of women in the country are overweight or obese. The trend of overweight and obesity in children and teenagers is also increasing.”

On the other hand, food insecurity and micronutrient deficiency in rural areas have led to weight loss among children. Low birth weight is also more common in women with malnutrition, which can lead to obesity and overweight in children. Another health issue that can pose a risk to public health is food safety concerns due to residual fertiliser residues and chemical toxins in vegetables or the use of unhealthy water in vegetable irrigation.

3.2.3. Structural and environmental status

Restriction of continuous access to fresh vegetables in rural areas is a structural factor influencing the program development. Furthermore, growers also do not plant vegetables in the winter, which reduces the availability of fresh vegetables. One of the rural women said about the difficulty of accessing fresh vegetables in the village:

“…Our village is a small village… a vegetable shop has been opened here several times, but it was closed due to lack of customers… a mobile vegetable shop comes here, but not regularly… every time it comes, I buy vegetables from it… But whenever it does not come, I am left without vegetables, so I have to travel a distance by car or on foot to buy vegetables…”

Some structural support factors for program development are also noteworthy, including the use of unused land in rural areas and the entry of nutritionists into the health system. The need to strengthen inter-sectorial collaboration is another structural factor for program development, due to its essential role in achieving many health-related goals, such as dealing with NCDs and nutrition-related challenges. This collaboration structure has existed between the two involved organizations due to previous collaboration in the “multidisciplinary interventional program for improvement of nutritional status of children in Iran.”

3.2.4. Political status

In international commitments such as the goal two UN sustainable development, the 5th (2011–2016) and the 6th (2016–2021) National Development Program of the Islamic Republic of Iran, the Iranian Food-based dietary guidelines, the Iran’s 20-year vision plan, the Iran’s National Nutrition and Food Security Policy (2012–2020), the resolutions of the High Council for Health and Food Security and the law of increasing the Productivity in Agriculture and Natural Resources (2010), emphasize food security and safety.

3.3. Actors

In this program, participants are present in three levels of the working group from the national to the county level. The two ministries involved in the development and implementation of the program were the Ministry of Health and Medical Education (Department of Community Nutrition) and the Ministry of Agriculture-Jahad (Office for Development of Agricultural Activities of Rural and Nomadic Women). Managers and the experts of these offices formed a national working group to develop and implement the program. The tasks of this working group included policy-making and planning, development of executive instructions, training programs, monitoring and documenting activities.

At the provincial level, two organizations, health deputy of universities of medical sciences and the Agriculture Organization of Tehran province, also participated. The provincial working group included the Agricultural Jihad Educational Deputy, Coordinating Director of the Agricultural Education and Extension Institute, Head of Rural Women’s Affairs of the province, researchers in Agricultural Research, Education and Extension Organization, representative of the Plant Protection Organization, representative of the Office of Environment and Food Health, head of community nutrition at health Vice-Chancellor, head of Bevarz’s training. Provincial working group activities included holding provincial coordination meetings, implementation of the program in the province, planning for trainings of trainers (TOT), holding trainings courses for rural and nomadic women and selecting counties and villages to implement the program. In addition, other tasks of this group include continuous monitoring, documenting activities and sending reports to ministries.

At a lower level, the county working group consists of two offices, county Agriculture-Jahad office and county health network. Positions involved in the county Agriculture-Jahad office include the head of the extension office, an expert on agricultural education and extension, an expert on rural women’s affairs. Additionally, the county health network also includes the head of the county network, the head of the county health centre, the head of community nutrition, the head of Bevarz’s affairs and the head of family health. Planning and implementing healthy nutrition, vegetable cultivation and creating home gardens for rural and nomadic women has been the responsibility of the counties working group. Additionally, they have also been responsible for sending activity documents to the senior managers of the provincial working group. Nutrition training for rural women was also provided by the head of community nutrition and officials of the county Agriculture-Jahad office also attended the training courses.

The role of health workers (Behvarz) in rural areas has been to implement the program, coordination and information for rural women and training the principles of healthy nutrition. Nutrition training was sometimes provided by the nutritionists of the county health centres. Rural women-facilitators were responsible for tasks such as coordinating and paying attention to rural women, training vegetable cultivation, seed distribution, and providing practical training in vegetable cultivation.

3.4. Process

3.4.1. Agenda setting and program formulation

In Figure 3, the findings of the current study are presented based on the Kingdons’ framework and it also explains how the “problem,” “policy” and “politic” streams have resulted in the inclusion of the “Nutrition Improvement Program in Rural and Nomadic Women” on the policy agenda. The three mentioned streams were accompanied by the beginning of a correspondence between the Ministry of Health and Medical Education (Department of Community Nutrition) and the Ministry of Agriculture-Jahad (Office for Development of Agricultural Activities of Rural and Nomadic Women) in order to draw a long-term plan in the target group.

FIGURE 3
www.frontiersin.org

Figure 3. Kingdons’ framework to provide three involved streams in agenda setting.

3.4.2. Implementation, monitoring and evaluation

After concluding the memorandum in February 2017 with the presence of 300 agricultural experts of Agriculture-Jahad, nutrition directors of medical universities, deputies of involved ministries, the next steps were taken and national working group was formed to prepare executive instructions and training packages at the ministerial level. Then a national-level training workshop was held to provide instructions to executives (July 2018). Provincial committees were formed in the provinces to plan and implement the program. According to the instructions, at the end of each 6-month period, at least 40 rural and nomadic women must be trained for each facilitator or Behvarz, as well as 10 created home gardens per each province should have been achieved. The approvals of the provincial working group were notified to the relevant officials in the counties and an order was issued to hold counties committees to implement the program. This program was implemented in all 31 provinces and is still ongoing.

Program documentation includes activity reports in the villages, minutes of the working groups, performance form of the program, forms containing the names of rural women and trainers in the workshops, images of theoretical and practical meetings and cultivated vegetables in the home gardens.

3.4.2.1. Strengths and weaknesses

Holding high quality training workshops for the executors at the beginning of the program, the allocation of high quality modified seeds and low cost of the program implementation were among the strengths of resources and facilities. This program developed and strengthened the inter-sectoral infrastructure, with collaboration at the policy-making level. In implementation the program, the suggestions and experiences of involved organizations, such as the World Health Organization (WHO), were used. The program had a pilot phase, and policymakers were satisfied with the positive feedbacks on its implementation.

The weaknesses of program implementation are also presented in the Table 3.

TABLE 3
www.frontiersin.org

Table 3. Weaknesses of program implementation.

3.4.2.2. Considerations and suggestions

Considerations in the program implementation are as follows:

1. Resources, facilities and infrastructure:

• Improving input provision, increasing facilities and infrastructure, budget increasing and supply of committed human resource. One of the executive said about the need to provide enough human source:

“… I am single-hand here… Then we have multiple program tasks… We need more human resources to fully implement the program… If a human resource with less tasks is considered for this program, much more can work on… and it has better efficiency…”

• Justifying and continuing the training of executors and rural women; employing experts to train rural women and provide and use of training aids. One of the executive said about the need to provide more training session:

“… It would be better if we could do more nutrition training… the number of our training sessions should increase, so that the trainings can be learned in depth…”

1. Inter-sectoral collaboration: strengthen the coordination and commitment of the involved organizations.

2. Monitoring and evaluating: evaluate the results of the program.

3. Sustainability and expansion: allocating sufficient time for implementation; taking measures to increase the commitment of executives; promote the call of the program; and adopt incentive measures for rural women. One of the facilitators said about the need to allocate enough time and continue the implementation of the program:

“It must be continuous… they must be patient so that people are attracted to the program… they have little patience, they expect that everyone participate with one call… it cannot be done all at once… they expect to see the program outcomes by holding a course…”

1. Need assessment: selection of villages based on need assessment.

Suggestions for improving program performance were also extracted from the documents and interviews, presented in Table 4.

TABLE 4
www.frontiersin.org

Table 4. Suggestions of program implementation.

4. Discussion

The present retrospective study was performed to analyze “Nutrition Improvement Program in Rural and Nomadic Women” in Iran, to identify its strengths, weaknesses, considerations and suggestions for its improvement (both content and implementation of the program). It was also indicated the contextual factors associated with development of the program. Based on the results, underlying factors including social, economic and cultural status, health, structural-environmental and political are associated to the development of the program. The analysis showed that the content of the program requires consideration of specific budgets and motivational actions for executors. Although the implementation of the program has strengths such as holding the high quality workshops for executors at the beginning of the program, developing inter-sectoral infrastructure for a NSA program, and supporting from several organizations, but in areas such as needs assessment, resources and facilities, inter-sectoral collaboration, monitoring and evaluation needs improvement.

Inter-sectoral collaboration is vital to the successful implementation and sustainability of programs (World Health Organization, 1978), and according to the WHO, it is defined as “the alignment of strategies and resources between actors from two or more policy sectors to achieve complementary objectives” (Statistics W, 2016). Creating inter-sectoral collaboration is essential to implementing a multidimensional program such as NSA (Maluf et al., 2015; van den Bold et al., 2015). Although the Agriculture-Jahad Organization was responsible for creating vegetable home gardens as part of the “Multidisciplinary Interventional Program for Improvement of Nutritional Status of Children in Iran,” but based on the evaluation conducted by Ghodsi et al., it had poor performance and received less attention, (Ghodsi, 2016). This collaboration has been more focused and extensive in the “Nutrition Improvement Program in Rural and Nomadic Women.” Based on the results of the present project, there was satisfaction with inter-sectoral collaboration at the policy-making level, but decreased at the executive level (provincial to rural levels). Poor coordination has made it difficult for front-line executives to conduct joint training in rural areas. From the executives’ point of view, the importance and responsibility of inter-sectoral programs is less for the involved organizations. In previous studies by Loloei et al. in the salt reduction policy analysis (Loloei et al., 2019), Edalati et al. in nutrition labelling policy (Edalati et al., 2020) and Pourghaderi et al. in Iran’s National Food Assistance Program (Pourghaderi et al., 2022), have also shown weaknesses in inter-sectoral collaboration in other implemented programs in Iran. Strengthening inter-sectoral collaboration in community health plans is essential (Shams et al., 2018; Damari et al., 2020; Atashbahar et al., 2021; Omidvar et al., 2021). Due to the different nature of the two involved organizations in the present study, it seems necessary to take measures to strengthen the collaboration.

Adequate, continuous, and timely funding is a prerequisite for the success of NSA programs (Zamora et al., 2013; Hodge et al., 2015; Mensah, 2018). Financial resources were not fully considered in the development of program, and it was generally determined that they would be provided from other ongoing projects. This has been accompanied by a reduction in resources and facilities in the implementation of the program. More seed distribution among rural women could lead to more vegetable sites. The problem of lack of sufficient budget or its management is not limited to the present study. Ghodsi et al. study also shows the lack of sufficient financial resources to promote vegetable home gardens (Ghodsi, 2016). Insufficient resources and financial resources have also been reported in the National Program for Improving Nutritional Status of Children in Iran (Ghodsi et al., 2017). Furthermore, in a study conducted by Hodge et al., the lack of funding has been a major constraint on the implementation of the NSA program in East Africa. The authors argued that nutrition-related programs are less important to governments and are usually funded by donors (Hodge et al., 2015). Also in a systematic review conducted by Di Prima et al. in low- and middle-income countries on the implementation of NSA programs, financial shortage were reported in seven out of 12 studies (Di Prima et al., 2022). On the contrary, sustainable governmental funding (due to government priorities) led to the successful implementation of the NSA program in the Philippines (Zamora et al., 2013). Lack of funding for programs may be associated with a lack of incentive for executives, and it has been shown that the ongoing participation of executors depends on their motivation (Sharma et al., 2021). In this program, rural women-facilitators were employed as vegetable cultivation trainers. Employing women as “facilitators” is done to build capacity and movement in rural societies (Hajiloo et al., 2018). Based on previous observations, trainings at the facilitator’s level either stops or are progressed slowly. The actions of women-facilitators are done voluntarily and without any specific income or commitment, therefore, considering financial incentives can be associated with increasing motivation and the program success. Considering financial and non-financial incentives for other executives can also increase their motivation.

When a program is based on needs assessment, community participation is more likely and it also helps to better resources management and provide the basics status for evaluation in the program (Li et al., 2009). Needs assessment is one of the components of the training model in the program development, however it has received less attention, both in terms of nutrition training and vegetable cultivation. In some more developed villages, women’s nutritional literacy has been higher due to the improvement of women’s education and the use of the Internet and social networks, so the received training was less useful. Increased interaction of rural women with health centers also increased awareness of nutrition literacy. In addition, in some villages, vegetable cultivation was usually done by rural women, so the received training was considered lower than their ability. In some villages, due to the possibility of obtaining vegetables from local farmers, the need to grow vegetables has been less. Because of the top-down approach of the program, consultation with Behvarz or women-facilitators in the villages or with agriculture-Jahad experts in the counties were ignored. Behvarz in health centers are equipped with an integrated health system, and routinely monitor the nutritional status of referrals, therefore, needs assessment is possible in this way. They also have frequent visits to farms and rural women homes. Women-facilitators who are natives to the village can also be used in the needs assessment. These need-assessments can also determine the number of training sessions required for women. One-session (Schreinemachers et al., 2016) or multi-session trainings have been reported in previous studies (Olney et al., 2009; Nielsen et al., 2018), along with regular follow-up and visits. According to our findings, the level of nutrition literacy varies in different villages. Some may need more training in nutrition and some in vegetables cultivation. For instance, women in rural areas with more urban structure should receive more training in vegetable cultivation. However, the follow-up of the participants, including frequent visits to the home garden, should not be ignored.

The present study is one of the few policy analysis studies on NSA in Iran. Various methods such as reviewing the program documentation, interviewing stakeholders from the policy-making level in ministries to the front-line executives in rural areas, and focus group discussions with rural women have been used to analysis this program. However, the COVID-19 pandemic had an inhibitory effect on the project implementation process, including the possibility of conducting face-to-face interviews or focus group discussions. Therefore, non-attendance methods were replaced to maintain health protocols. Another limitation of the qualitative studies including the present study, is the controversies that exist in generalizing the results of the study. However, the goal of many qualitative studies is not generalization and includes a rich and contextual understanding of different aspects of the subject under study (Polit and Beck, 2010).

5. Conclusion

In conclusion, the National Nutrition Improvement Program in Rural and Nomadic Women in Iran is a valuable step in the direction of NSA programs, which can be a suitable strategy to reduce the malnutrition in rural areas. Creating and strengthening the inter-sectoral collaboration is critical to the success of such programs. However, the present analysis showed that this program needs more attention in the areas of need-assessment, resources and facilities, inter-sectoral collaborations, sustainability, monitoring, and evaluation. The results of the study could be used as evidence for policy makers and planners in the field of food and nutrition policy.

Data availability statement

The datasets presented in this study can be found in online repositories. The names of the repository/repositories and accession number(s) can be found below: according to the research project contract, the researchers are not allowed to share the data directly, but the data will be available through correspondence with the Vice-Chancellor of Research Affairs (TXBham91aGVzaEBzYm11LmFjLmly).

Ethics statement

The studies involving humans were approved by this study was approved by the Ethics Committee of the National Nutrition and Food Technology Research Institute, Shahid Beheshti University of Medical Sciences, 26 July 2020 (ethical code: IR.SBMU.NNFTRI.REC.1399.021). The studies were conducted in accordance with the local legislation and institutional requirements. The participants provided their written informed consent to participate in this study.

Author contributions

NE participated in research design, gathering and analyzing the data, and preparing the manuscript. NK participated in research design, guiding and monitoring the implementation of research and critically reviewing the manuscript. PA, MA, and FZ participated in research design, providing advices on implementation, and critically reviewing the manuscript. All authors contributed to the article and approved the submitted version.

Funding

This research is part of the Ph.D. thesis, has received funding from the Faculty of Nutrition Sciences and Food Technology, Shahid Beheshti University of Medical Sciences (code: 457, date of approval: 6 July 2020).

Acknowledgments

The authors are thankful to the Office of Community Nutrition/Ministry of Health and education and Office for Development of Agricultural Activities of Rural and Nomadic Women/Ministry of Agriculture-Jahad for valuable cooperation.

Conflict of interest

The authors declare that the research was conducted in the absence of any commercial or financial relationships that could be construed as a potential conflict of interest.

Publisher’s note

All claims expressed in this article are solely those of the authors and do not necessarily represent those of their affiliated organizations, or those of the publisher, the editors and the reviewers. Any product that may be evaluated in this article, or claim that may be made by its manufacturer, is not guaranteed or endorsed by the publisher.

Supplementary material

The Supplementary material for this article can be found online at: https://www.frontiersin.org/articles/10.3389/fsufs.2023.1171654/full#supplementary-material

References

Atashbahar, O., Sari, A. A., Takian, A., Olyaeemanesh, A., Mohamadi, E., and Barakati, S. H. (2021). Integrated early childhood development policy in Iran: a stakeholder analysis. BMC Health Serv. Res. 21:971. doi: 10.1186/s12913-021-06968-2

PubMed Abstract | CrossRef Full Text | Google Scholar

Baye, K., Laillou, A., and Chitekwe, S. (2021). Empowering women can improve child dietary diversity in Ethiopia. Matern. Child Nutr. :e13285. doi: 10.1111/mcn.13285

PubMed Abstract | CrossRef Full Text | Google Scholar

Behzadifar, M., Ghanbari, M. K., Ravaghi, H., Bakhtiari, A., Shahabi, S., Doshmangir, L., et al. (2022). Health policy analysis in eastern Mediterranean region using a health policy triangle framework: historical and ethical insights from a systematic review. J. Prev. Med. Hyg. 63, E351–E373. doi: 10.15167/2421-4248/jpmh2022.63.2.2450

PubMed Abstract | CrossRef Full Text | Google Scholar

Bhutta, Z. A., das, J., Rizvi, A., Gaffey, M. F., Walker, N., Horton, S., et al. (2013). Evidence-based interventions for improvement of maternal and child nutrition: what can be done and at what cost? Lancet 382, 452–477. doi: 10.1016/S0140-6736(13)60996-4

PubMed Abstract | CrossRef Full Text | Google Scholar

Block, E. S., and Erskine, L. (2012). Interviewing by telephone: specific considerations, opportunities, and challenges. Int J Qual Methods 11, 428–445. doi: 10.1177/160940691201100409

CrossRef Full Text | Google Scholar

Damari, B., Abdollahi, Z., Pourghaderi, M., and Mohammadi-Nasrabadi, F. (2020). An evaluation of four years implementation of National Nutrition and food security policy in Iran: lessons learned. Int. J. Prev. Med. 11:173. doi: 10.4103/ijpvm.IJPVM_405_19

PubMed Abstract | CrossRef Full Text | Google Scholar

Di Prima, S., Wright, E. P., Sharma, I. K., Syurina, E., and Broerse, J. E. W. (2022). Implementation and scale-up of nutrition-sensitive agriculture in low- and middle-income countries: a systematic review of what works, what doesn’t work and why. Glob. Food Sec. 32:100595. doi: 10.1016/j.gfs.2021.100595

CrossRef Full Text | Google Scholar

Doshmangir, L., and Ravaghi, H. (2015). Theories and models of policymaking for doing health policy analysis. Hakim Res. J. 18, 68–82. Available at: http://hakim.tums.ac.ir/article-1-1487-en.html.

Google Scholar

Edalati, S., Omidvar, N., Haghighian Roudsari, A., Ghodsi, D., and Zargaraan, A. (2020). Development and implementation of nutrition labelling in Iran: a retrospective policy analysis. Int. J. Health Plann. Manag. 35, e28–e44. doi: 10.1002/hpm.2924

PubMed Abstract | CrossRef Full Text | Google Scholar

Food and Agriculture Organization (2010). The State of Food Insecurity in the World: Addressing Food Insecurity in Protracted Crises.

Google Scholar

Ghodsi, D. (2016). A Study of Program Analysis, Effectiveness and Cost Analysis of Multidisciplinary Interventional Program for Improvement of Nutritional Status of Children in Iran.

Google Scholar

Ghodsi, D., Omidvar, N., Rashidian, A., Raghfar, H., Eini-Zinab, H., and Ebrahimi, M. (2017). Key informants’ perceptions on the implementation of a National Program for improving nutritional status of children in Iran. Food Nutr. Bull. 38, 78–91. doi: 10.1177/0379572116682870

PubMed Abstract | CrossRef Full Text | Google Scholar

Gholami, A., Sani, T. R., Askari, M., Jahromi, Z. M., and Dehghan, A. (2013). Food insecurity status and associated factors among rural households in north-east of Iran. Int. J. Prev. Med. 4, 1018–1024.

PubMed Abstract | Google Scholar

Gkiouras, K., Cheristanidis, S., Papailia, T. D., Grammatikopoulou, M. G., Karamitsios, N., Goulis, D. G., et al. (2020). Malnutrition and food insecurity might pose a double burden for older adults. Nutrients 12:2407. doi: 10.3390/nu12082407

PubMed Abstract | CrossRef Full Text | Google Scholar

Hajiloo, F., Khani, F., Taghavi, N., and Moghaddam Vahed, M. (2018). Factors influencing the success of Iranian women facilitators in forming rural women independent groups: a case study of East Azarbaijan Province Fattaneh Hajiloo, Fazileh Khani, Nematollah Taghavi. Village Dev. 10, 113–138.

Google Scholar

Haselow, N. J., Stormer, A., and Pries, A. (2016). Evidence-based evolution of an integrated nutrition-focused agriculture approach to address the underlying determinants of stunting. Matern. Child Nutr. 12, 155–168. doi: 10.1111/mcn.12260

PubMed Abstract | CrossRef Full Text | Google Scholar

Heerman, W. J., Wallston, K. A., Osborn, C. Y., Bian, A., Schlundt, D. G., Barto, S. D., et al. (2016). Food insecurity is associated with diabetes self-care behaviours and glycaemic control. Diabet. Med. 33, 844–850. doi: 10.1111/dme.12896

PubMed Abstract | CrossRef Full Text | Google Scholar

Hodge, J., Herforth, A., Gillespie, S., Beyero, M., Wagah, M., and Semakula, R. (2015). Is there an enabling environment for nutrition-sensitive agriculture in East Africa?: stakeholder perspectives from Ethiopia, Kenya, and Uganda. Food Nutr. Bull. 36, 503–519. doi: 10.1177/0379572115611289

PubMed Abstract | CrossRef Full Text | Google Scholar

Instructions for the Implementation of Healthy Nutrition Education and Promotion in Rural and Nomad Women [in Farsi] (2018). Ministry of Health and Medical Education, Office of Community Nutrition AND Ministry of Jihad Agriculture, Nomad & Rural Women Agriculture Activities Development Office (NRWAAD). Available at: https://www.google.com/url?sa=t&rct=j&q=&esrc=s&source=web&cd=&cad=rja&uact=8&ved=2ahUKEwi9zNDokpiBAxWkTeUKHdVuB8gQFnoECBoQAQ&url=https%3A%2F%2Fwww.skums.ac.ir%2FDorsaPax%2Fuserfiles%2FSub19%2Frostaeii1.doc&usg=AOvVaw2Ezl_nYzNpHj98oJyOO84P&opi=89978449.

Google Scholar

Ivers, L. C., and Cullen, K. A. (2011). Food insecurity: special considerations for women. Am. J. Clin. Nutr. 94, 1740S–1744S. doi: 10.3945/ajcn.111.012617

PubMed Abstract | CrossRef Full Text | Google Scholar

Kassie, M., Fisher, M., Muricho, G., and Diiro, G. (2020). Women’s empowerment boosts the gains in dietary diversity from agricultural technology adoption in rural Kenya. Food Policy 95:101957. doi: 10.1016/j.foodpol.2020.101957

CrossRef Full Text | Google Scholar

Kingdon, JW, and Thurber, JA. Agendas, Alternatives, and Public Policies. Little, Brown, Boston; (1984).

Google Scholar

Li, Y., Cao, J., Lin, H., Li, D., Wang, Y., and He, J. (2009). Community health needs assessment with precede-proceed model: a mixed methods study. BMC Health Serv. Res. 9:181. doi: 10.1186/1472-6963-9-181

PubMed Abstract | CrossRef Full Text | Google Scholar

Lincoln, Y. S., and Guba, E. G. (1985). Naturalistic inquiry. Beverly Hills, Calif.: Sage Publications.

Google Scholar

Loloei, S., Pouraram, H., Majdzadeh, R., Takian, A., Goshtaei, M., and Djazayery, A. (2019). Policy analysis of salt reduction in bread in Iran. AIMS Public Health 6, 534–545. doi: 10.3934/publichealth.2019.4.534

PubMed Abstract | CrossRef Full Text | Google Scholar

Maluf, R. S., Burlandy, L., Santarelli, M., Schottz, V., and Speranza, J. S. (2015). Nutrition-sensitive agriculture and the promotion of food and nutrition sovereignty and security in Brazil. Ciênc. Saúde Coletiva 20, 2303–2312. doi: 10.1590/1413-81232015208.14032014

PubMed Abstract | CrossRef Full Text | Google Scholar

Maxwell, D., Webb, P., Coates, J., and Wirth, J. (2010). Fit for purpose? Rethinking food security responses in protracted humanitarian crises. Food Policy 35, 91–97. doi: 10.1016/j.foodpol.2009.10.002

CrossRef Full Text | Google Scholar

McDonald, C. M., McLean, J., Kroeun, H., Talukder, A., Lynd, L. D., and Green, T. J. (2015). Household food insecurity and dietary diversity as correlates of maternal and child undernutrition in rural Cambodia. Eur. J. Clin. Nutr. 69, 242–246. doi: 10.1038/ejcn.2014.161

PubMed Abstract | CrossRef Full Text | Google Scholar

Mensah, C. (2018). Incentivising smallholder farmer livelihoods and constructing food security through home-grown school feeding: evidence from northern Ghana. Revista de Direito Int. 15, 491–504. doi: 10.5102/rdi.v15i3.5922

CrossRef Full Text | Google Scholar

Mirzaii, K., Nesari Ashkezari, S., Khadivzadeh, T., and Shakeri, M. T. (2017). The effect of education based on systematic comprehensive health education and promotion model to health volunteers on their female clients’ knowledge regarding breast cancer screening. J. Midwifery Reprod. Health 5, 998–1007. doi: 10.22038/jmrh.2016.7979

CrossRef Full Text | Google Scholar

Moumin, N. A., Hou, K., Michaux, K. D., Stormer, A., Mundy, G., Porter, K., et al. (2017). Impact of an enhanced homestead food production program on household food production and dietary intake of women aged 15-49 years and children aged 6-59 months: a pragmatic delayed cluster randomized control trial protocol. Int. J. Clin. Trials 4, 157–165. doi: 10.18203/2349-3259.ijct20174863

CrossRef Full Text | Google Scholar

Nielsen, J. N., Olney, D. K., Ouedraogo, M., Pedehombga, A., Rouamba, H., and Yago-Wienne, F. (2018). Process evaluation improves delivery of a nutrition-sensitive agriculture programme in Burkina Faso. Matern. Child Nutr. 14:e12573. doi: 10.1111/mcn.12573

PubMed Abstract | CrossRef Full Text | Google Scholar

Olney, D. K., Talukder, A., Iannotti, L. L., Ruel, M. T., and Quinn, V. (2009). Assessing impact and impact pathways of a homestead food production program on household and child nutrition in Cambodia. Food Nutr. Bull. 30, 355–369. doi: 10.1177/156482650903000407

PubMed Abstract | CrossRef Full Text | Google Scholar

Olney, D. K., Vicheka, S., Kro, M., Chakriya, C., Kroeun, H., Hoing, L. S., et al. (2013). Using program impact pathways to understand and improve program delivery, utilization, and potential for impact of Helen Keller International’s homestead food production program in Cambodia. Food Nutr. Bull. 34, 169–184. doi: 10.1177/156482651303400206

CrossRef Full Text | Google Scholar

Omidvar, N., Babashahi, M., Abdollahi, Z., and Al-Jawaldeh, A. (2021). Enabling food environment in kindergartens and schools in Iran for promoting healthy diet: is it on the right track? Int. J. Environ. Res. Public Health 18:4114. doi: 10.3390/ijerph18084114

PubMed Abstract | CrossRef Full Text | Google Scholar

Polit, D. F., and Beck, C. T. (2010). Generalization in quantitative and qualitative research: myths and strategies. Int. J. Nurs. Stud. 47, 1451–1458. doi: 10.1016/j.ijnurstu.2010.06.004

PubMed Abstract | CrossRef Full Text | Google Scholar

Pourghaderi, M., Omidvar, N., Takian, A., Ville, A. S., Kangarani, H. M., and Eini-Zinab, H. (2022). Who really counts in Iran’s National Food Assistance Program? Lessons from multi-stakeholder processes in the wicked policy area of food security. Cad. Saude Publica 38:e00341820. doi: 10.1590/0102-311x000341820

PubMed Abstract | CrossRef Full Text | Google Scholar

Rostami, F., Shahmoradi, M., and Baghaei, S. (2014). Factors affecting on rural households food security (case study: Karnachy Village in Kermanshah County). Iran. J. Agric. Econ. Dev. Res. 45, 725–737. doi: 10.22059/ijaedr.2014.53846

CrossRef Full Text | Google Scholar

Ruel, M. T., and Alderman, H., Maternal and Child Nutrition Study Group (2013). Nutrition-sensitive interventions and programmes: how can they help to accelerate progress in improving maternal and child nutrition? Lancet 382, 536–551. doi: 10.1016/S0140-6736(13)60843-0

PubMed Abstract | CrossRef Full Text | Google Scholar

Schreinemachers, P., Patalagsa, M. A., and Uddin, M. N. (2016). Impact and cost-effectiveness of women’s training in home gardening and nutrition in Bangladesh. J. Dev. Eff. 8, 473–488. doi: 10.1080/19439342.2016.1231704

CrossRef Full Text | Google Scholar

Seligman, H. K., and Schillinger, D. (2010). Hunger and socioeconomic disparities in chronic disease. N. Engl. J. Med. 363, 6–9. doi: 10.1056/NEJMp1000072

PubMed Abstract | CrossRef Full Text | Google Scholar

Shams, L., Yazdani, S., Takian, A., and Nasiri, T. (2018). Multi-sectoral requirements of non-communicable diseases stewardship in Iran. Revista Publicando 5, 134–151.

Google Scholar

Sharafkhani, R., Dastgiri, S., Gharaaghaji Asl, R., and Ghavamzadeh, S. (2011). Prevalence of the household food insecurity and its influencing factors: a cross-sectional study (Khoy CityI-Qaresoo-2009). Urmia Med. J. 22, 123–128.

Google Scholar

Sharaunga, S., Mudhara, M., and Bogale, A. (2016). Effects of ‘women empowerment’ on household food security in rural KwaZulu-Natal province. Dev Policy Review 34, 223–252. doi: 10.1111/dpr.12151

CrossRef Full Text | Google Scholar

Sharma, I. K., Essink, D., Fumado, V., Mridha, M. K., Bhattacharjee, L., and Broerse, J. E. W. (2021). What influences the implementation and sustainability of nutrition-sensitive agriculture interventions? A case study from southern Bangladesh. Sustainability 13:12049. doi: 10.3390/su132112049

CrossRef Full Text | Google Scholar

Statistics W. (2016). Monitoring Health for the SDGs Sustainable Development Goals. World Health Organization: Geneva.

Google Scholar

Talukder, A., Haselow, N. J., Osei, A. K., Villate, E., Reario, D., Kroeun, H., et al. (2010). Homestead Food Production Model Contributes to Improved Household Food Security and Nutrition Status of Young Children and Women in Poor Populations. Lessons Learned from Scaling-up Programs in Asia (Bangladesh, Cambodia, Nepal and Philippines). Field Actions Science Reports. The Journal of Field Actions. Available at: http://journals.openedition.org/factsreports/404 (Accessed January 31, 2019).

Google Scholar

The Sustainable Development Goals Report (2017). New York: United Nations. Available at: https://unstats.un.org/sdgs/files/report/2017/TheSustainableDevelopmentGoalsReport2017.pdf.

Google Scholar

van den Bold, M., Kohli, N., Gillespie, S., Zuberi, S., Rajeesh, S., and Chakraborty, B. (2015). Is there an enabling environment for nutrition-sensitive agriculture in South Asia? Stakeholder perspectives from India, Bangladesh, and Pakistan. Food Nutr. Bull. 36, 231–247. doi: 10.1177/0379572115587494

PubMed Abstract | CrossRef Full Text | Google Scholar

Verbowski, V. C. (2015). The Effect of Plant-Based Homestead Food Production with and Without Small-Scale Aquaculture on Dietary Intake of Women Farmers and their Children in Prey Veng, Cambodia.

Google Scholar

World Health Organization (1978). Declaration of alma-ata. International Conference on Primary Health Care. Regional Office for Europe.

Google Scholar

Zamora, O. B., Guzman, L. E. P., Saguiguit, S. L. C., Talavera, M. T. M., and Gordoncillo, N. P. (2013). Leveraging agriculture to improve nutrition in the Philippines. Food Secur. 5, 873–886. doi: 10.1007/s12571-013-0306-4

CrossRef Full Text | Google Scholar

Zera'at Kish, S. Y., and Kamaei, Z. (2017). Factors affecting food security of rural farming households in Kohkiluyeh and Boyer-Ahmad Province of Iran. J. Food Technol. Nutr. 14, 77–86.

Google Scholar

Keywords: nutrition-sensitive agriculture, policy triangle framework, rural development, malnutrition, homestead food production

Citation: Kalantari N, Abdollahi M, Amiri P, Zayeri F and Ezzeddin N (2023) Strength and weakness of the National Nutrition Improvement Program in Rural and Nomadic Women: findings from a policy triangle framework. Front. Sustain. Food Syst. 7:1171654. doi: 10.3389/fsufs.2023.1171654

Received: 22 February 2023; Accepted: 04 September 2023;
Published: 22 September 2023.

Edited by:

Imtiaz Ahmed, University of Kashmir, India

Reviewed by:

Moslem Savari, Khuzestan University of Agricultural Sciences and Natural Resources, Iran
Eleonore Heil, University of Giessen, Germany

Copyright © 2023 Kalantari, Abdollahi, Amiri, Zayeri and Ezzeddin. This is an open-access article distributed under the terms of the Creative Commons Attribution License (CC BY). The use, distribution or reproduction in other forums is permitted, provided the original author(s) and the copyright owner(s) are credited and that the original publication in this journal is cited, in accordance with accepted academic practice. No use, distribution or reproduction is permitted which does not comply with these terms.

*Correspondence: Neda Ezzeddin, bmVkYS5lemVkaW5AeWFob28uY29t

Disclaimer: All claims expressed in this article are solely those of the authors and do not necessarily represent those of their affiliated organizations, or those of the publisher, the editors and the reviewers. Any product that may be evaluated in this article or claim that may be made by its manufacturer is not guaranteed or endorsed by the publisher.