- FSBSI “Federal Scientific Agronomic and Engineering Center VIM”, Moscow, Russia
Introduction: The efficiency of potato production depends to a large extent on the production of quality seeds that meet the requirements of the growing region. The main component of this production includes breeding, which creates the genetic basis of seeds. The process of establishing patterns between the amount of fertilizer application (“Aquarin 12,” “Bona Forte,” “Osmocote Exact High K”), their type, and biometric characteristics of potato plants of the studied varieties “Guliver,” “Beauty of Meshchera,” and “Grand” was explored.
Methods: During the experimental studies, the methods of variation statistics, the technique of field experiment with the corresponding transformations to achieve normal distribution, and subsequent dispersion analysis were used.
Results: The results of the research on the evaluation of potato structural elements depending on the plant nutrition system of the studied varieties testify to the expediency of using nutrient solutions in potato cultivation irrespective of their type. In addition, it has been established that increasing the concentration of the nutrient base solution from 75 to 125% of the nutrient formula improves the quality indicators of minitubers, namely the content of starch, sugars, dry matter, crude protein, phosphorus, specific gravity, and ash content, which can contribute to obtaining high-quality potatoes.
Discussion: Thus, the use of morphological and physiological tools in closed ecosystems is informative for predicting key agricultural characteristics of potato plants. Additionally, integrating organic amendments and biofertilizers, as supported by other studies, could further enhance nutrient uptake and plant health, especially under conditions of low irrigation.
1 Introduction
The efficiency of potato production depends to a large extent on the production of quality seeds that meet the requirements of the growing region. The main component of this production includes breeding, which creates the genetic basis of seeds (Dorokhov et al., 2020; Jennings et al., 2020). Various potato varieties, in addition to the duration of the growing season and yield, possess such hereditary traits as starch yield, resistance to diseases and pests, unfavorable environmental factors, and many others (Pasaman and Zakharchuk, 2012; Salvage et al., 2024). Due to the complex introduction of machine technologies for the cultivation, harvesting, and post-harvest processing of potatoes and the duration of storage of tubers before their realization or planting, additional hereditary requirements (genetic traits) are imposed on the potato plant (Qi et al., 2024; Mwende Mutiso et al., 2024). The establishment of which at the stages of breeding new varieties contributes to the formation of varieties and hybrids resistant to diseases, including infectious diseases, as well as resistance to mechanical damage than environmental factors (El-Rahman and Magda, 2011; Wang et al., 2023; Zhang et al., 2024a). The increasing share of mechanical effects on tubers during cultivation, harvesting, and storage has determined the need to breed for increased potato endurance to mechanical stresses (Khura et al., 2011; Hameed et al., 2018). Establishing dependencies between the biometric parameters of potato plants in studies of different varieties will help preserve their genetic potential. This, in turn, will lead to increased productivity in new varieties or hybrids of potato plants (Indraja et al., 2019). Studies conducted at the Federal Scientific Agroengineering Center VIM, as part of the ESTP program “Development of Potato Breeding and Seed Production in the Russian Federation,” have shown significant results. The research found that using the tops of the main and lateral shoots of healthy plants in seedling cultivation increases tuber yield by 28.9–63.9% (Byshov et al., 2016). Additionally, plants grown from cuttings develop into powerful and compact forms.
Monitoring nutrient status ensures overall health and energy and is considered an important aspect of crop production (Zhang et al., 2024b; Thanh et al., 2023). Several researchers and governing bodies define plant nutrients and fertilizers differently. Dauberman et al. (2022) identified plant nutrients as an essential element, the absence of which can prevent plants from completing their life cycle, while Mee et al. (2017) emphasized the importance of plant nutrients as essential components for growth and viability. Kirkby (2023) reported that plants require 14 essential nutrients to complete their life cycle. On the other hand, fertilizers are defined as important additional substances that can help plants improve their growth, maintain their health, and increase productivity (Nahiyan et al., 2024; Wilmer et al., 2022).
It is necessary to understand the possible causes of lower crop productivity to increase crop yield. It is necessary to determine the rate of nutrient uptake by plants, which depends on the developmental stages and abiotic growth conditions as nutrient depletion is always progressive. Maruo et al. (2004) reported efficient nutrient uptake and vigorous growth of vegetables grown in low-concentration nutrient solutions as long as the concentrations of all elements were maintained above their proportional minimum. This minimum depends on the species and variety, temperature, light intensity, and composition of the nutrient solution. Consequently, nutrient uptake by a plant can vary significantly depending on a single factor or combination of factors when treated wastewater is used as a nutrient solution. The effects of individual factors may enhance or neutralize each other. For example, Hartz et al. (2007) observed significant changes in the nutrient composition of lettuce with age and decreased relative growth rate and attributed this to increased respiration losses.
On the contrary, Sosa et al. (2012) found that the accumulation of N, P, and K correlated linearly with biomass development throughout the growing period. Considering that research is currently being carried out to determine the biometric characteristics of crops, including potatoes, using digital phenotyping systems, the vast majority of options for assessing many quantitative traits can be carried out using traditional classical methods that do not require the use of expensive phenotyping platforms, especially at the stage pre-selection and in small agrocenoses (Berger et al., 2012).
For phenotyping potato plants, criteria such as the size and condition of the above-ground mass (De Jesus Colwell et al., 2021), traits associated with photosynthesis (Musse et al., 2021), and quantitative assessment of the color and shape of tubers (Neilson et al., 2021) are used. However, the need for phenotypic assessment of genotype–phenotype interactions in breeding programs do not decrease (Arius et al., 2018). Therefore, the scientific hypothesis of this study is to establish patterns between the amount of fertilizer application, their type, and the biometric characteristics of potato plants of the studied varieties. The research aims to determine correlations between biometric traits of potato plants of different varieties under balanced exposure to nutrient solution in comparison with biological treatment and to study the phenotypic variability of potato genotypes using visual morphological and physiological traits associated with yield. The objectives of this study were to assess the yield of new potato varieties across different varietal groups under the climatic conditions of Russia and to study their growth dynamics based on phenological indicators.
2 Materials and methods
The subjects of this research were potato varieties developed by the Federal Potato Research Center named after A.G. Lorkh, belonging to different maturity groups: early maturing varieties “Grand,” “Beauty of Meshchera,” and “Guliver.” The soil of the experimental plots of field trials on the evaluation of potato varieties in the test plot is characterized as sod-weak-podzolic sandy loam with high exchange and hydrolytic acidity (pH KCl = 4.4–4.9; Hg = 3.3–4.8 mg-eq./100 g of soil); the low sum of absorbed bases and their saturation degree (S = 1,5–3,9 mg-eq./100 g of soil; V = 31, 0–46.8%); high content of mobile phosphorus (267–354 mg/kg of soil) and below average content of exchangeable potassium (95–136 mg/kg of soil); low humus content (1.6–1.9% of humus). Changes in growth (plant height and stem diameter) were recorded as plant growth data. Plant height was recorded as the total length from the surface of the substrate to the highest point of plant growth. The stem diameter was measured 5 cm above the base of the tree using a digital caliper. Phenological phases of potato development included the duration of periods from the beginning of tuber planting to the emergence of the first shoots, from full shoots to the beginning of flowering and flowering. Plant height was measured proximally in 15–20 plants using a ruler. Growth dynamics were determined by plant height on the 30th, 40th, and 50th day and expressed in %. Chlorophyll contents were noticed with the use of chlorophyll meter CCM-200.
Potato productivity of each variety was assessed by total yield (t/ha), the number of tubers per plant (pcs.), and the average weight of one tuber (g). On the 35th day after the emergence of shoots, the following biometric parameters were measured and assessed: height, fresh and dry weight (FW and DW), proportion of dry matter, number of leaves, and leaf surface area. In total, 10 plants from each group were selected and noticed the data. Plant weight was determined using a Sartorius LA230S laboratory scale (Germany). To determine the dry matter, the samples were kept in an oven for 1 h at a temperature of 105°C. The dry mass of the leaves was determined after drying them to a constant weight at a temperature of 60°C and expressed as a percentage of the fresh mass. To measure physiological parameters, the lateral lobes of the compound leaf of the middle tier were collected from 15 to 20 plants of each variety. The leaves were cut and mixed, and three biological samples of 0.1–0.5 g each were taken from the combined mass, depending on the type of analysis. Each biological sample was analyzed three times. The data in the tables are presented as absolute values: as average values for a group of varieties on bar graphs and as average values of the measured parameters for each variety on scatter plots. To prove significant differences between the average values of morphophysiological parameters with normal data distribution, a one-way analysis of variance was used, and in cases of deviation from the normal distribution, the Kruskal–Wallis criterion was used. Discriminant analysis was used to establish differences between the selected groups of potato plants according to ecological or economic (yield) characteristics. Calculations were performed using Statistica 6.0 for Windows and Microsoft Excel 2007. The variety “Guliver” was obtained by breeders of the Federal Potato Research Center named after A.G. Lorkh in 1994. The variety is characterized by a short ripening period and high yield. The plant forms a densely lined bush, the height of which reaches 40 cm. Flowers were white and bushes were of medium size. Tubers have a pleasant tender yellow color, varying to brown, white flesh (Supplementary Figure 1). The fruits of the variety have a standard oval or rounded shape with a small number of eyes. Variety was “Beauty of Meshchera.” The plant forms low, semi-compact shrubs with many branching shoots. Leaves are disjointed, small in size, and intensely green in color. Leaf plates are mottled with relief veins. Beauty of Meshchera blooms abundantly, but the flowering period is very short. After the end of the flowering phase, it does not form green fruits on the pedicels. The inflorescence was small but very dense. Petals were colored in violet-pink tones, with a white border along their edge. Tubers were oval-round, with good marketable qualities (Supplementary Figure 2). The tubers were medium in size and weighed 100–150 g. The tuber shell was pink in color and had no roughness. The eyes were small in size, red, and shallowly buried. The flesh was white in color, tastes slightly sweet, and does not darken when cooked. The texture of the fruit is dense. The potato variety “Grand” is represented by an erect bush. However, after flowering, the stems bend a little, so they obstruct the inter-row. The bushes were not too large, with medium-sized potato-type leaves. They were deep green. Inflorescence was bright, blue, or purple in color. Flowering was not distinguished by abundance, but this in no way affects the intensity of tuber formation. Potatoes were oval-shaped, there were few eyes, and they were small, superficial. Tubers were characterized by a smooth skin of pink color, hence the name. The flesh on the cut was creamy; the shade did not disappear even after heat treatment. The fruit tastes sweet, which is very pleasant for children. Potatoes “Grand” weigh 200–250 g on average. The starch content was high—within 12–18%. Tubers were excellent for making mashed potatoes, fried potatoes, or French fries (Supplementary Figure 3).
Tubers of the studied varieties were planted on a drained peatland in the ISA branch of the Federal Scientific Agroengineering Center VIM (Ryazan region) on May 22, 2024. The area of the accounting plot was 5.8 m2, the planting scheme was 75 × 35 cm, the repetition was 3-fold, and the placement was randomized. In 2024, at the beginning of the summer period (June), the weather was cool with 50% of the precipitation norm. In the second half, it was moderately warm with precipitation at the level of average annual values. During the growing season, the average daily air temperature was close to the long-term average, precipitation in June was 70%, and in July and August, 189 and 125%, respectively, of the average data. In the third decade of June, cool weather with frosts at night was observed. In July–August, the average air temperature was above the multiyear average, reaching 40 degrees Celsius in the daytime. Precipitation in June and August was at or above the multiyear average, while July was characterized by severe drought. Potato plants of identical varieties were cultivated in the climatic chamber. Temperature conditions in the module for their cultivation were kept at the fixation of temperature and humidity regimes in the range of values indicated in Table 1.
All compartments of the module had supply and exhaust ventilation and means ensuring air circulation within the compartment, as well as independent means of control and measurement. The binder chamber with programmable temperature and humidity storage during the experiment was used as a microclimatic chamber for research. Internal overall dimensions of each zone had dimensions W × D × H: 500 × 500 × 500 mm. Each compartment was equipped with shelves for growing potato and vegetable plants weighing at least 20 kg, including in specialized boxes (Supplementary Figure 4).
Phenological observations were carried out during experimental studies and the yield structure of the grown products was determined. Statistical analysis of the research results was performed using the method of dispersion analysis according to V.A. Dospekhov. The nutrient composition shown in Table 2 was used as the main plot treatment.
The study of biochemical parameters of potato (Solanum tuberosum) minitubers during storage is an important and urgent task of agrochemistry and agrotechnics. Harvesting was carried out 90 days after planting (Sosa et al., 2012). Crop management practices, including pest and disease control, were applied throughout the growing season. Harvested minitubers were peeled with a dry towel before being sent to the laboratory (Bliedung et al., 2020). Changing the quantitative and qualitative composition of fertilizers changes the yield and stiffness of potato minitubers, as well as their chemical composition, which can lead to the formation of nitrates (Hu and Xiao, 2021). In turn, nitrates pose a great danger to human health, as they form nitrites and nitrate compounds in the human body, leading to malfunctioning of the gastrointestinal tract and the formation of methemoglobin, which blocks oxygen transport to cells, causing local necrosis and inflammation. The study of correlations between yield characteristics, dry weight, nitrate, vitamin C, and starch content is the main subject of research on the storage process of potato minitubers (Yang L. J. et al., 2012; Mu et al., 2022). Data on minituber dry matter (TDM), specific gravity (SG), starch content, phosphorus content, total sugar, crude protein (CP), and ash content were collected at harvest from randomly selected samples per plot. The dry matter of minitubers was determined by randomly selecting five minitubers from five plants from each plot and variety (Xue et al., 2010). They were cut into smaller pieces, mixed thoroughly, weighed at 200 g per sample, and dried in an oven at 60°C for 72 h until constant weight was reached. Total sugars were determined using the method described by AOAC (Bobobee et al., 2019). Approximately 0.2 g of sample was placed in a centrifuge tube and two drops of ethanol solution (80% vol/vol) and 5 mL of distilled water were added. Then about 25 mL of hot ethanol (80% vol/vol) was added to the sample and stirred on shaking. The sample was left for 5 min to cool and centrifuged. Assessment of biometric parameters of potato plants was carried out in automatic mode with photo and video recording of phenological phases of vegetation of potato plants of the studied varieties using IT-system, the process of collection of which is carried out as follows (Musse et al., 2021; Neilson et al., 2021). The image source [RGB camera and (or) camera with spectrozonal imaging function is mounted on the microclimatic camera] (Supplementary Figure 5).
The captured footage on the media is copied to the cloud storage system (CSRS) using the local terminal and original client software. After preprocessing, the image data is ready for thematic processing to extract meaningful information. The developed method of recording the phases of potato plant development is based on the use of distributed client software to collect images and transfer them to cloud storage (Ospina et al., 2002). Phenological phases of potato plant development were recorded for 3 months from the date of potato planting (Gupta et al., 1999). Climatic and agrometeorological conditions, the soil of the vegetation area, and the characterization and measures for planting and treatment of the studied potato plant samples correspond to the conditions of production of this crop. The selection of potato plants on the accounting plot was carried out in 10-fold repetition for each variety group. Non-destructive determination of chlorophyll content was performed using a CCM-200 (Chlorophyll Content Meter) by measuring the transmittance of the leaf at wavelengths of 931 nm (which depends on leaf thickness) and 653 nm (which depends on chlorophyll concentration) (Akhir and Sukra, 2002; Li et al., 2022).
3 Results
The topological parameters of potato plants were determined using a ruler and weights at a certain phase of plant development in 3-fold repetition (Tables 3–5). Plant height, average number of stems in a bush, average number of tubers in a bush, tuber weight of one plant, number of marketable tubers in a bush, and weight of marketable tubers from one plant were determined. Leaf dimensions, length L and width W, determining their area, were found for the fourth leaf, using a measuring ruler (division price 1 mm), overlapping it on the plant leaf, respectively, along the rachis and between the maximum spaced points of the leaf. Thickness for the same leaves was determined using a micrometer with an accuracy of 0.01 mm.
 
  Table 3. Indices of potato structural elements depending on the nutrition system of potato plants of potato variety “Guliver.”
 
  Table 4. Indices of potato structural elements depending on the plant nutrition system of potato variety “Beauty of Meshchera.”
 
  Table 5. Indices of potato structural elements depending on the plant nutrition system of potato variety “Grand.”
Graphical dependence of the change in plant height of potato varieties “Grand,” “Beauty of Meshchera,” and “Guliver” on the feeding system of the studied fertilizers is presented in Figure 1.
 
  Figure 1. Graphical dependence of variation of plant height of potato varieties “Grand,” “Beauty of Meshchera,” and “Guliver” depending on the feeding system [Each bar represents the mean ± SE (standard error), with the number of varieties indicated].
Analysis of the graphical dependence presented in Figure 2, reflecting the change in the height of potato plants of the studied varieties depending on the nutrition system allows us to state that in the variant without plant treatment prevails plant height of the variety “Guliver,” which is equal to 53.4 cm with the lowest value of this parameter in the variety “Beauty of Meshchera” in 51.7 cm, which can also be traced when using nutrient solutions of fertilizers “Aquarin 12,” “Bona Forte.”
 
  Figure 2. Graphical dependence of variation of the average number of stems in the bush of potato plants of potato varieties “Grand,” “Beauty of Meshchera,” and “Guliver” depending on the feeding system [Each bar represents the mean ± SE (standard error), with the number of varieties indicated].
The greatest effect of fertilizers on the studied trait is observed from the use of fertilizer “Bona Forte” in the section of potato varieties “Grand,” “Beauty of Meshchera,” and “Guliver” in the range of 57.8, 54.8, and 54.6 cm, respectively (Figure 2). The predominance of potato plants of the variety “Beauty of Meshchera” over other studied varieties was found when treated with the fertilizer of prolonged action “Osmocote Exact High K” by 1.1% from the variety “Grand.” Thus, it was found that regardless of the type of fertilizer used in the cultivation of potato plants of the studied varieties, there is an increase in the height of potato plants compared to the control on average by 3.4 cm.
Variation of the average number of stems in the bush of potato plants of varieties “Grand,” “Beauty of Meshchera,” and “Guliver” depending on the nutrition system is presented in Figure 3 and allows us to conclude that the change in the studied parameter is observed in all varieties of potato plants under the influence of fertilizers on average by 1.7 stems. In this case, the greatest effect of 3.5 plants from the effect of fertilizers is observed in the variety “Guliver” when treated with fertilizer “Bona Forte,” while the smallest value of an increase in the number of stems is observed from the effect of fertilizer “Aquarin 12” from 1.9 pcs for the variety “Beauty of Meshchera” to 2.3 pcs for the variety “Grand.” At the influence of fertilizers of prolonged action “Osmocote Exact High K,” an increase of the investigated parameter in comparison with control by 0.7 pc, 0.2 pc, and 1.3 pc for varieties “Grand,” “Krasa Meschera,” and “Guliver,” respectively, is observed.
 
  Figure 3. Graphical dependence of variation of the average number of tubers in the bush of potato plants of potato varieties “Grand,” “Beauty of Meshchera,” and “Guliver” depending on the feeding system [Each bar represents the mean ± SE (standard error), with the number of varieties indicated].
The results of determining the average number of tubers in the bush of potato plants of varieties “Grand,” “Beauty of Meshchera,” and “Guliver” from the feeding system are presented in Figure 3.
Analysis of the diagrams shown in Figure 4 allows us to assert that in comparison with the control increase in the number of tubers in the bush of potato plants of varieties “Grand,” “Beauty Meshera,” and “Guliver” increases depending on the type of fertilizer by 1.5 pcs. In terms of varietal affiliation, the greatest increase was observed in the potato variety “Guliver” 8.9 pcs from the impact of fertilizer “Aquarin 12,” and the lowest value in the variety “Beauty of Meshchera” under the influence of the same fertilizer. Increase in the number of tubers from the effect of the nutrition system represented by the fertilizer “Bona Forte” is observed in comparison with the control in the variety “Guliver” by 1.1 pcs, in the variety “Beauty of Meshchera” by 2.5 pcs and in the potato variety “Grand” by 2.1 pcs, that when treated with the fertilizer “Osmocote Exact High K” for the variety “Guliver” is higher by 0.5 pcs, for the variety “Beauty of Meshchera” is constant, and for the variety “Grand” is lower by 0.2 pcs.
 
  Figure 4. Graphical dependence of variation of tuber weight of one bush of potato plants of varieties “Grand,” “Beauty of Meshchera” and “Guliver” depending on the feeding system [Each bar represents the mean ± SE (standard error), with the number of varieties indicated].
The results of empirical studies of determining the weight of tubers of one bush of potato plants of varieties “Grand,” “Beauty of Meshchera,” and “Guliver” depending on the feeding system are reflected in Figure 4.
The change in tuber weight of potato plant bush vs. fertilizer treatment was observed for each of the studied varieties with an average of 75 g. In terms of varietal affiliation, it should be noted the highest weight gain of 917 g in the variety “Guliver” when exposed to fertilizer “Osmocote Exact High K,” which compared to the control is higher by 202 g. The greatest weight of tubers of potato plants of the variety “Grand” is observed at their treatment with fertilizers “Bona Forte” and makes 915 g and in comparison with the control is higher by 181 g. The smallest value of an increase in tuber weight per one potato plant bush is observed at treatment with fertilizers “Aquarin 112” and by varieties: 745 g for the variety “Guliver,” 756 g for the variety “Beauty of Meshchera,” and 748 g for variety “Grand,” which is higher by 30, 11, and 14 g in comparison with the control, respectively.
The results of determining the number of marketable tubers of potato varieties “Grand,” “Beauty of Meshchera” and “Guliver” are presented in Figure 5.
 
  Figure 5. Graphical dependence of variation in the number of marketable tubers of potato varieties “Grand,” “Beauty of Meshchera,” and “Guliver” depending on the feeding system [Each bar represents the mean ± SE (standard error), with the number of varieties indicated].
Analysis of this graphical dependence indicates that the greatest effect on the biometric parameter under study is observed in potato variety “Beauty of Meshchera” when treated with fertilizer “Bona Forte” and is 4.9 pcs, which in comparison with the control is higher by 1 tuber. A similar trend is observed for potato variety “Guliver” and “Grand” when treated with this type of fertilizer and is 4.7 pcs and 4.6 pcs, respectively, in comparison with the control higher by 1.1 pcs and 0.8 pcs. Upon treatment of potato plants with fertilizer “Aquarin 112,” yield of marketable tubers is as follows: for the variety “Guliver,” 3.7 pcs; for the variety “Beauty Meshera,” 4.2 pcs; and for the variety “Grand,” 4.4 pcs. The yield of potato tubers in the volume of 4.6 pcs for the variety “Guliver,” 3.8 pcs for the variety “Beauty of Meshchera,” and 4.2 pcs for the variety “Grand” at their treatment with fertilizer “Osmocote Exact High K.”
Weight yield of marketable tubers of potato plants from one bush of the studied varieties depending on the type of nutrition is presented in Figure 6.
 
  Figure 6. Graphical dependence of variation of weight of marketable tubers of potato varieties “Grand,” “Beauty of Meshchera,” and “Guliver” depending on the feeding system [Each bar represents the mean ± SE (standard error), with the number of varieties indicated].
The greatest intensity of the effect on the change in the weight of marketable potato tubers in comparison with the control is observed at treatment with fertilizer “Bona Forte” in the section by varieties: 1038 g variety “Grand,” 954 g variety “Beauty of Meshchera,” and 948 g in the variety “Guliver,” which is higher by 178 g, 96 g, and 92 g, respectively. The smallest value of change in the weight of marketable potato tubers is observed at their treatment with fertilizer “Aquarin 112,” which in the section by varieties is 834, 859, and 861 g for varieties “Guliver,” “Beauty of Meshchera,” and “Grand,” respectively. Treatment of potato plants with fertilizer “Osmocote Exact High K” allowed increasing the weight of marketable tubers in comparison with the control by 88, 42, and 98 g for varieties “Guliver,” “Beauty of Meshchera,” and “Grand,” respectively.
The results of the conducted researches on estimation of potato structural elements depending on the system of plant nutrition of the studied varieties testify to the expediency of using nutrient solutions in potato cultivation regardless of their type, which is confirmed by the data presented in Tables 2–4, as well as graphical dependencies in Figures 3–6. To determine the biometric traits of plants in the section of varietal affiliation using optical recognition systems, experimental studies were carried out to identify patterns between the increase in leaf area and biomass accumulation with obtaining a pixel map of emitted fluorescence, as well as obtaining photosynthetic status with the physiological state of the leaf according to the varietal affiliation of potato, since fluorescence images allow to assess the physiological state of photosynthetic apar. To obtain the main spectral features of potato plants by fluorescence methods, experimental studies were conducted both in laboratory (FSAC VIM) and field conditions in experimental fields of ISA—branch of “Federal Scientific Agroengineering Center VIM” (Moscow).
Chlorophyll content index (CCI, r.e.) was determined as the ratio of measured transmittance coefficients. The accuracy of the meter is 0.1 r.e. CCI. Experimental data were processed using EXCEL and STATISTICA programs. Data were checked for normality and appropriate transformation was conducted to achieve normal distribution. The results were subjected to ANOVA using SAS software version 9.4. The means of the treatments that differed significantly were separated using Tukey’s Honest Significant Difference (HSD) test at 5% p-value. Pearson correlation analysis was conducted to determine the relationship between the quality parameters.
Figure 7 shows the chlorophyll content of leaf tissue under different variants of the experiment.
 
  Figure 7. Chlorophyll content in leaves of potato plants [Each bar represents the mean ± SE (standard error), with the number of varieties indicated].
A higher chlorophyll content usually corresponds to a higher intensity of the photosynthesis process, although this dependence is not so unambiguous. The values found are not statistically different between the variants. The image of graphical dependences of changes in leaf density of plants of the studied varieties under their exposure to light in the spectral ranges of red (R), green (G), and blue (B) colors shows an increase in the studied trait regardless of varietal affiliation in the blue color spectrum from 1.74 to 1.8.
A higher chlorophyll content usually corresponds to a higher intensity of the photosynthesis process, although this dependence is not so unambiguous. The values found are not statistically different between the variants. A similar trend is observed for the optical density of leaves of the studied potato varieties in separate spectral ranges (Figures 8–12).
 
  Figure 8. Optical density of potato plant leaf in separate spectral bands in the “Control” variant [Each bar represents the mean ± SE (standard error), with the number of varieties indicated].
 
  Figure 9. Optical density of potato plant leaf in separate spectral ranges depending on “Aquarin 12” feeding system [Each bar represents the mean ± SE (standard error), with the number of varieties indicated].
 
  Figure 10. Optical density of potato plant leaf in separate spectral ranges depending on “Bona Forte” feeding system [Each bar represents the mean ± SE (standard error), with the number of varieties indicated].
 
  Figure 11. Optical density of potato plant leaf in separate spectral ranges depending on “Osmocote Exact High K” feeding system [Each bar represents the mean ± SE (standard error), with the number of varieties indicated].
 
  Figure 12. Correlation coefficient ( ) of nitrate concentration to total yield and its calculated value for boundary PDK ( ) [Each bar represents the mean ± SE (standard error), with the number of varieties indicated].
The image of graphical dependences of changes in leaf density of plants of the studied varieties under their exposure to light in the spectral ranges of red (R), green (G), and blue (B) colors shows an increase in the studied trait regardless of varietal affiliation in the blue color spectrum from 1.74 to 1.8.
When conducting laboratory studies of potato minitubers the correlation coefficient (KE) between yield and nitrate content was calculated, and as can be seen from the graphical dependence shown in Figure 11, the optimum value is possessed by the variety “Beauty of Meshchera,” the leading variety “Guliver” can be called high-nitrate, it is close to the threshold permissible values.
It should be noted that none of the tested varieties exceeded the limit of permissible nitrate concentrations, which is 250 mg/kg. In addition to the present product safety in terms of nitrate content, it is worth mentioning the effect of nitrates on good tuber preservation, which is described for other varieties and is to be proved in further studies. Evaluating the change in chemical composition of potato minitubers during the storage period, the concentration of vitamin C (Figure 13), ascorbic acid, one of the most important antioxidants in plants, was also determined.
 
  Figure 13. Starch and vitamin C content in potato tubers of the studied varieties [Each bar represents the mean ± SE (standard error), with the number of varieties indicated].
The vitamin C content of potato tubers is not so significant that the crop is a source of vitamin C, but changes in its concentration are an identifier of various biochemical processes in the plant. It should also be noted that the bioavailability of vitamins in plants is influenced by various factors: soil properties, agronomic conditions, climatic features, and storage conditions (Mo and Huang, 2012; Liu et al., 2021). It was found that the highest concentration of this antioxidant is possessed by potato tubers of the variety “Beauty of Meshchera.” It is necessary to note the fact that the content of vitamin C does not affect the productivity of varieties. In subsequent studies, the correlation between the change in vitamin concentration and the change in starch and nitrate content in tubers of experimental varieties will be studied. The results of laboratory studies of the mock-up sample of the microclimatic chamber indicate that the maximum yield is possessed by the potato variety «Guliver», which amounted to 230 c/ha. Potato variety “Grand” has the lowest yield (190 c/ha) (Figure 14).
 
  Figure 14. Dependence of yield and nitrate content in minitubers of potato varieties under study [Each bar represents the mean ± SE (is the number of varieties)].
However, it should be noted that the variety of minitubers of potatoes “Guliver” in comparison with other varieties under study exceeds in terms of nitrate content per kilogram of products.
Experimental studies on the effect of nutrient solutions on the qualitative parameters of potato minitubers have revealed changes in the chemical composition of the samples. The starch content decreases from a maximum of 17.8% in the “Guliver” variety to 15.9% in the “Beauty of Meshchera” variety, with the “Grand” variety showing an intermediate value of 17.4%. The concentration of vitamin C decreases inversely with starch content. Specifically, it measures 9.5% in “Guliver,” 11.2% in “Beauty of Meshchera,” and 11.9% in “Grand.” The nitrate content is directly proportional to the yield of potato minitubers. For the “Guliver” variety, nitrate content is 224 mg/kg with a yield of 230 c/ha. For “Beauty of Meshchera,” it is 159 mg/kg with a yield of 220 c/ha, and for “Grand,” it is 155 mg/kg with a yield of 190 c/ha. The correlation coefficient (КЕ) between nitrate concentration and total yield, as well as the calculated value for the boundary PDK (КPDK), exceeds the standard by 0.02 for “Guliver,” 0.38 for “Beauty of Meshchera,” and 0.22 for “Grand.” Additionally, a study was conducted to determine the starch, vitamin C, nitrate content, and yield of potato minitubers in the studied varieties, depending on the type of nutrient solution (Table 6).
 
  Table 6. Effect of nutrient solution concentration and varieties on minitubers dry matter, specific gravity, and starch content.
The increase of starch content in the studied variants of variety and nutrient solutions is presented in Table 6. Analysis of the obtained data indicates an increase in the content of starch, vitamin C, and nitrates regardless of the type of nutrient solution in comparison with the control. In terms of types of nutrient solutions, the highest starch content in tubers is provided by exposure of plants to the solution “Aquaria 12,” equal to 17.56 mg/kg, and the lowest 17.26, which in comparison with the control exceeds by 0.4 and 0.1 mg/kg, respectively.
The highest starch content regardless of the type of nutrient solution is provided in potato variety “Guliver” 18.1, 18.6, and 17.8 mg/kg, and the lowest in potato variety “Grand”—16.8 mg/kg, 16.8 mg/kg, and 16.6 mg/kg for nutrient solutions “Aquaria 12,” “Bona Forte,” and “Osmocote Exact High K,” respectively.
The increased content of vitamin C is observed in the treatment of potato plants with the solution “Osmocote Exact High K,” equal to 11.76 mg/kg, for the solution “Aquaria 12”—11.36 mg/kg and “Bona Forte” is 11.23 mg/kg. In the section of varietal affiliation, the highest value is traced in the potato variety “Grand,” with an average value of 12.06 mg/kg, for the variety “Beauty of Meshchera” has a value of 11.66 mg/kg, and for the variety “Guliver” it is 10.63 mg/kg.
The highest nitrate content in potato tubers was found in the potato tubers under the influence of the nutrient solution “Bona Forte,” equal to an average value of 210.66 mg/kg for the three varieties, and the lowest 193 mg/kg in the treatment with the solution “Osmocote Exact High K” with an average value of 202 mg/kg for the solution “Aquaria 12,” respectively, compared to the control, equal to a value of 179.33 mg/kg. The highest nitrate content was observed in potato variety “Guliver” equal to 268, 283, and 247 mg/kg in treatment with the nutrient solution “Aquaria 12,” “Bona Forte,” and “Osmocote Exact High K,” respectively. The lowest nitrate content was found in potato variety “Grand,” equal to 162, 171, and 164 mg/kg when treated with the nutrient solution “Aquaria 12,” “Bona Forte,” and “Osmocote Exact High K,” respectively. In addition to investigating the effect of nutrient solution concentration and potato varieties on starch, the effect of nutrient solution concentration on the content of total sugar in minitubers of potato varieties under study was also determined (Figure 15).
 
  Figure 15. Dependence of sugar content in potato minitubers of the studied varieties on the type of nutrient solution [Each bar represents the mean ± SE (standard error), with the number of varieties indicated].
Increasing the sugar content provided a pattern with increasing concentration of nutrient solution “Bona Forte” regardless of the varietal affiliation of the plant. Treatment of potato plants with the nutrient solution “Aquaria 12” with increased content of K2O provides the highest sugar content in minitubers of potatoes of the studied varieties in comparison with other nutrient solutions—"Bona Forte” and “Osmocote Exact High K” on average for varieties by 1.2%. Sugar content in minitubers of the studied varieties is determined in addition to the effect of nutrient solutions, and it is also determined by the environmental conditions of potato production and the genetic potential of the potato variety (Ospina et al., 2002; Pasaman and Zakharchuk, 2012). In the works of scientists (Qi et al., 2024) it is known that the increase in the application of nitrogen, phosphorus, and potassium fertilizers leads to an increase in the total sugar content in potato tubers. The highest sugar value of 30.8% is observed in potato variety “Grand,” the lowest value of 25.6% is also provided when exposed to nutrient solution “Aquaria 12,” which is only 0.8% higher compared to the control. The highest mean of 28.46% sugar value was observed in potato tubers when plants were treated with “Aquaria 12” nutrient solution and the lowest mean of 27.86% when exposed to Osmocote Exact High K.” The maximum difference of the investigated parameter is observed in potato varieties when exposed to the nutrient solution “Aquaria 12″ on average by 3.4%, and the lowest value of 1% is provided by the treatment of potatoes with “Osmocote Exact High K.” The average value of sugar content of potato tubers by varieties under the influence of the studied nutrient solutions is 29.56% for variety “Grand,” 27.43% for variety “Beauty of Meshchera,” 27.6% for variety “Guliver,” which in comparison with the control is higher by 2.36, 1.83, and 0.8% of the studied varieties, respectively. The general trend of changes in the duration of phenological phases depending on the ripening time of potatoes is shown in Figure 16.
 
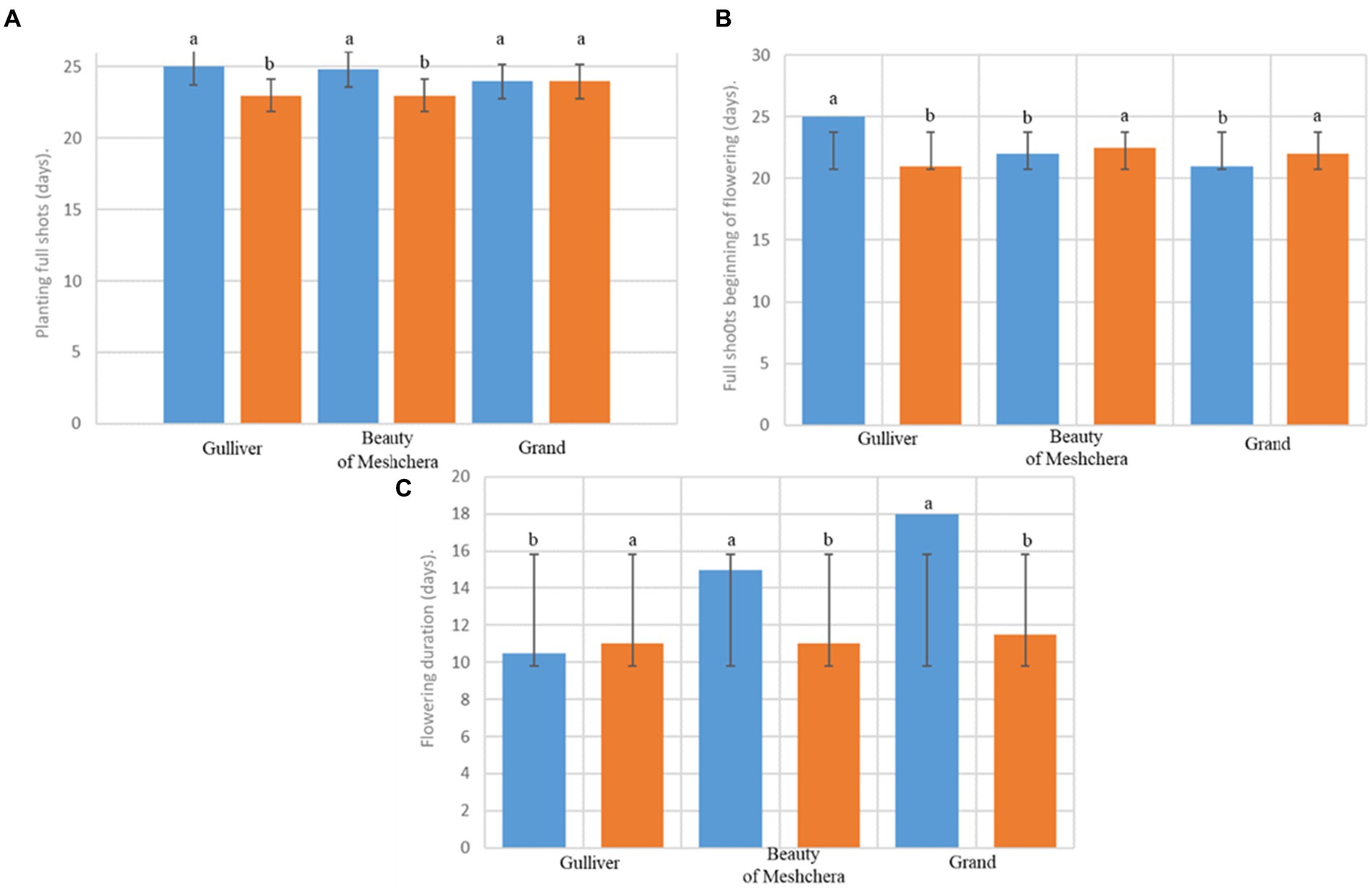
  Figure 16. Average durations of phenological phases for the studied potato varieties. Duration of the period: tuber planting—shoots (A); shoots—beginning of flowering (B); flowering of potatoes (C). Grand variety (n = 12); Beauty of Meshchera variety (n = 12); Gulliver variety (n = 12). Each column represents the mean ± SE (n is the number of varieties). Different letters denote statistically significant differences (one-way ANOVA, p < 0.05).
The duration of the period from planting to full germination was reduced for the Gulliver and Beauty of Meshchera varieties. The period from full germination to the beginning of flowering was the longest for the Beauty of Meshchera variety. The flowering period was the longest for the Gulliver variety. A more detailed analysis of the phenological phases showed that the phase from planting to full germination for the Grand and Beauty of Meshchera varieties was 22–26 days and varied within each group from 18 to 28 days. The variation coefficient in the Grand variety group varied from 3.1 to 25.7%, while for the Grand variety this interval was 0–28%. The range of variation in the second and third phenological phases had higher values compared to the first phase (0–40% and 0–79%), which indicates a greater dependence of the flowering duration on the potato genotype and its response to environmental conditions. To identify genotype–phenotypic relationships, statistical scatter plots of morphological and physiological parameters were used. Figure 17 shows the data that correlated most with the yield of the studied potato varieties.
 
  Figure 17. Scatter plots showing the relationship between compound leaf area (A), number of stems (B), plant height and growth dynamics (C), leaf area to bush ratio (D), and yield of 36 potato plants of the studied varieties.
The strongest positive correlation was found between potato yield (X axis) and bush area on the 30th–40th day of development [Y axis (R = 0.68, p = 0.003) (Figures 17A–D)]. During the flowering period, the linear dimensions of the compound leaf (R = 0.37, p = 0.001; R = 0.44, p = 0.002) and the number of stems (R = 0.32, p = 0.07) correlated with yield. The data obtained show that the architecture of the aboveground mass as a whole is an important parameter in the formation of potato yield.
4 Discussion
At each developmental stage of potato, its plant needs certain nutrients for proper growth and yield. A lack and an excess of nutrients can have a negative effect on the plant and lead to inhibition of development, reduction of yield, and quality of the resulting crop (Hameed et al., 2018). During the developmental processes of potatoes its plant need various nutrients such as nitrogen, phosphorus, potassium, manganese, calcium, and sulfur (Jennings et al., 2020). For optimal growth and development, plants need both optimal climatic conditions (ambient temperature, humidity, etc.) and the availability of nutrients in accessible forms. At the same time, it is important to take into account that the need for certain nutrients in plants during their development varies at different stages of development (Mwende Mutiso et al., 2024). In addition, when introducing nutrients, it is also necessary to take into account the characteristics of the cultivated variety, as well as the soil fertility of the site where the crop is planned to be cultivated (Naumann et al., 2020). In addition, it is worth remembering that potato plants need elements such as calcium, magnesium, and sulfur, related to secondary nutrition elements, as well as trace elements such as zinc, copper, boron, iron, molybdenum, chlorine, nickel, and manganese for their full development (Mwende Mutiso et al., 2024; Naumann et al., 2020). These nutrients also have a direct impact on the degree of development of potato plants, the volume and quality of the resulting crop. Their excess or deficiency can lead to undesirable consequences for the growth and development of plants (Naumann et al., 2020; Hameed et al., 2018).
Experimental studies showed that plants obtained through different propagation methods varied in biometric indices during the vegetation period. The research on evaluating the structural elements of potatoes, depending on the plant nutrition system of the studied varieties, indicates that using nutrient solutions is beneficial for potato cultivation, regardless of the type of solution.
These studies identified patterns between the increase in leaf area and biomass accumulation by obtaining a pixel map of emitted fluorescence. Additionally, the photosynthetic status and physiological state of the leaf were assessed based on varietal affiliation. Fluorescence images allowed researchers to evaluate the physiological state of the photosynthetic apparatus. These parameters included starch, sugars, dry matter, crude protein, phosphorus, specific gravity, and ash content, all of which contribute to high-quality potato production (Naumann et al., 2020). Although there were minor differences among the varieties, all varieties generally showed similar responses. It is important to understand the role of adequate nutrient supply in producing quality seeds (Hameed et al., 2018). However, it should be noted that higher nutrient concentrations do not necessarily lead to lower production costs (Mwende Mutiso et al., 2024). Further studies are recommended to evaluate the growth and yield performance of minitubers produced at different concentrations of the basal nutrient solution. Similarly, studies conducted by Novair et al. (2024) and Samadi et al. (2023) have also shown that the addition of organic amendments and biofertilizers can be beneficial in increasing nutrient uptake and overall plant health, also in conditions of low irrigation. Since low fertilization rates did not show significant differences compared to high fertilization rates in various variables, it can be concluded that applying a low fertilization rate will be beneficial for potato plant and minituber production in the studied varieties. Variation of the average number of stems in a bush of potato plants of the Grand, Beauty of Meshchera, and Gulliver varieties depending on the nutrition system allows us to conclude that a change in the studied parameter is observed in all potato plant varieties under the influence of fertilizers. The greatest mass of tubers of the Grand potato plants is observed when they are treated with Bona Forte fertilizers, and the smallest increase in the mass of tubers from one potato plant bush is observed when treated with Aquarin 112 fertilizers. The greatest intensity of the effect on the change in the mass of commercial potato tubers in comparison with the control is observed when treated with Bona Forte fertilizer in the context of varieties: the greatest in the Grand varieties, then Beauty of Meshchera and the least in the Gulliver variety. A higher chlorophyll content usually corresponds to a higher intensity of the photosynthesis process, although this dependence is not so unambiguous. The values found do not statistically differ by variant. The change in leaf density of plants of the studied varieties when exposed to light in the spectral ranges of red (R), green (G), and blue (B) colors shows an increase in the studied trait, regardless of varietal affiliation, in the blue spectrum of colors. Yang W. et al. (2012) observed that replacing conventional fertilizers with slow-release fertilizers increased maize and rice yields and improved nitrogen utilization. Similarly, Geng et al. (2015) reported increased oilseed rape yields with slow-release fertilizers, while Zeng et al. (2017) achieved similar results in wheat and maize, reducing nitrogen leaching and minimizing environmental impacts. Analysis of field trial data shows that compared to broadcast fertilizers, deep placement of fertilizers results in an average increase in yield as well as a 12% increase in nutrient content in the aboveground parts (Nkebiwe et al., 2016). Furthermore, the study shows that deep placement of both nitrogen and phosphorus results in greater yield increases than direct application of fertilizers, which only supply one nutrient.
However, when applying mineral fertilizers, attention should be paid to the balanced nutrition of potato plants, taking into account soil fertility indicators, that is, assessing the availability of nutrients in the soil, acidity indicators, etc. (Hameed et al., 2018). In the case of an imbalance of nutrients, both external and internal damage to tubers can be observed, such manifestations may include an irregular shape of tubers and the appearance of a brown or hollow core. For example, with an unbalanced nitrogen diet, there may be an accumulation of chemicals that, during subsequent heat treatment, will form carcinogens such as acrylamide, especially when these processes are observed with potassium deficiency. As a result, the higher the imbalance between these elements, the higher the probability of subsequent formation of carcinogens in finished products (Naumann et al., 2020; Gerendás et al., 2007; De Wilde et al., 2006). In addition, with an excess of nitrogen and a deficiency of boron, cracks in product growth can be observed (Naumann et al., 2020). An imbalance between nitrogen and calcium can lead to the appearance of a hollow core (Naumann et al., 2020; Bussan, 2007). It can be noticed that for the full development of potato plants, basic nutrition elements, secondary elements, and trace elements are necessary. In turn, when determining the nutrition regime of plants and composing the composition of fertilizers, it is necessary to take into account the needs of the crop, and in some cases, the variety in the consumption of certain nutrients. Thus, based on the available data, it can be said that in the production of potato seed material in the form of mini tubers in closed-growing systems, it is advisable to develop and apply long-acting mineral fertilizer formulations that provide plants with all the necessary nutrients at all stages of their development. In addition, this approach will ensure a balanced nutrition of plants and thereby reduce the risks of diseases associated with nutritional imbalance.
5 Conclusion
Effectiveness of varying fertilizer treatments in enhancing the biometric traits and marketable tuber weight across different potato varieties. The research demonstrated that increasing the nutrient solution concentration from 75 to 125% significantly boosts minituber quality, including vital parameters such as starch, sugars, and dry matter content. Although the responses were generally consistent across the studied varieties, the research suggests that a 125% nutrient formula is optimal for producing high-quality minitubers. However, it is recommended to further investigate the economic viability and environmental impact of higher nutrient concentrations, as well as the long-term yield performance. Additionally, integrating organic amendments and biofertilizers, as supported by other studies, could further enhance nutrient uptake and plant health, especially under conditions of low irrigation. For sustainable potato production, a balanced approach that considers both nutrient efficiency and cost-effectiveness is recommended.
Data availability statement
The datasets presented in this article are not readily available. Requests to access the datasets should be directed to c2liaXJldjIwMTFAeWFuZGV4LnJ1.
Author contributions
AS: Writing – review & editing, Conceptualization, Data curation, Methodology, Validation.
Funding
The author declares that financial support was received for the research, authorship, and/or publication of this article. This work was supported by a grant of the Ministry of Science and Higher Education of the Russian Federation (grant no. 075-15-2024-540).
Conflict of interest
The author declares that the research was conducted in the absence of any commercial or financial relationships that could be construed as a potential conflict of interest.
Publisher’s note
All claims expressed in this article are solely those of the author and do not necessarily represent those of their affiliated organizations, or those of the publisher, the editors and the reviewers. Any product that may be evaluated in this article, or claim that may be made by its manufacturer, is not guaranteed or endorsed by the publisher.
Supplementary material
The Supplementary material for this article can be found online at: https://www.frontiersin.org/articles/10.3389/fsufs.2024.1453885/full#supplementary-material
References
Akhir, H. M., and Sukra, A. B. (2002). Mechanization possibilities for cassava production in Malaysia. In cassava Research and Development in Asia: exploring new opportunities for an ancient crop; proceedings of the 7th Asian cassava research workshop, Bangkok, Thailand, 28 October—1 November. CIAT 2002, 271–276. doi: 10.13140/RG.2.1.2735.1522
Arius, J. L., Kefauver, S. C., Zaman-Allah, M., Olsen, M. S., and Cairns, J. E. (2018). Translating high-throughput phenotyping into genetic gain. Trends Plant Sci. 23, 451–466. doi: 10.1016/j.tplants.2018.02.001
Berger, B., de Regt, B., and Tester, M. (2012). “High-throughput phenotyping of plant shoots” in High-Throughput Phenotyping in Plants: Methods and Protocols; Methods in Molecular Biology, Vol. 918. ed. J. Normanly , vol. 918 (New York, NY: Humana Press), 9–20.
Bliedung, A., Dockhorn, T., Germer, J., Mayerl, C., and Mohr, M. (2020). Experiences of running a hydroponic system in a pilot scale for resource-efficient water reuse. J. Water Reuse Desalination 10, 347–362. doi: 10.2166/wrd.2020.014
Bobobee, E. Y. H., Yakanu, P. N., Marenya, M. O., and Ochanda, J. P. O. (2019). Development in Ghana—challenges, opportunities and prospects for cassava production in Africa. J. Eng. Agric. Environ. 5, 41–60. doi: 10.37017/jeae-volume5-no1.2019-4
Bussan, A. J. (2007). The canon of potato science: 45. Brown Centre and hollow heart. Potato Res. 50, 395–398. doi: 10.1007/s11540-008-9087-0
Byshov, N. V., Yakutin, N. N., Koveshnikov, R. Y., Rodionov, V. V., Serzhantov, N. V., and Smirnov, P. S. (2016). Modernization of the KST-1.4 digger. Bull. Ryazan State Agrotechnological Univ. Named After V.I. P.A. Kostychev 2, 75–78. doi: 10.21515/1990-4665-121-029
Dauberman, A., Bruulsema, T., Cakmak, I., Gerard, B., Majumdar, K., McLaughlin, M., et al. (2022). Responsible plant nutrition: a new paradigm to support food system transformation. Glob. Food Secur. 33:100636. doi: 10.1016/j.gfs.2022.100636
De Jesus Colwell, F., Souter, J., Bryan, G. J., Compton, L. J., Boonham, N., and Prashar, A. (2021). Development and validation of methodology for estimating potato canopy structure for field crop phenotyping and improved breeding. Front. Plant Sci. 12:612843. doi: 10.3389/fpls.2021.612843
De Wilde, T., De Meulenaer, B., Mestdagh, F., Govaert, Y., Vandeburie, S., Ooghe, W., et al. (2006). Influence of fertilization on acrylamide formation during frying of potatoes harvested in 2003. J. Agric. Food Chem. 54, 404–408. doi: 10.1021/jf0521810
Dorokhov, A. S., Sibirev, A. V., and Aksenov, A. G. (2020). Results of field studies on the separation of a heap of onion sets on a bar elevator with asymmetrically installed shakers. Eng. Technol. Systems. 1, 133–149. doi: 10.15507/2658-4123.030.202001.133-148
El-Rahman, A., and Magda, M. (2011). Development and performance evaluation of a simple grading machine suitable for onion sets. J. Soil Sci. Agric. Eng. Mansoura Univ. 2, 213–226. doi: 10.21608/jssae.2011.55418
Geng, J., Sun, Y., Zhang, M., Li, C., Yang, Y., Liu, Z., et al. (2015). Long-term effects of controlled release urea application on crop yields and soil fertility under rice-oilseed rape rotation system. Field Crop Res. 184, 65–73. doi: 10.1016/j.fcr.2015.09.003
Gerendás, J., Heuser, F., and Sattelmacher, B. (2007). Influence of nitrogen and potassium supply on contents of acrylamide precursors in potato tubers and on acrylamide accumulation in French fries. J. Plant Nutr. 30, 1499–1516. doi: 10.1080/01904160701555846
Gupta, C. P., Stevens, W. F., and Paul, S. (1999). Development of a vibrating cassava root harvester. Agric. Mech. Asia Afr. Lat. Am. 12, 309–319. doi: 10.5897/AJAR2016.11874
Hameed, A., Zaidi, S. S. E. A., Shakir, S., and Mansoor, S. (2018). Applications of new breeding technologies for potato improvement. Front. Plant Sci. 9, 709–718. doi: 10.3389/fpls.2018.00925
Hartz, T. K., Johnstone, P. R., Williams, E., and Smith, R. F. (2007). Establishing lettuce leaf nutrient optimum ranges through DRIS analysis. HortScience 42, 143–146. doi: 10.21273/HORTSCI.42.1.143
Hu, Q., and Xiao, W. (2021). Design and test of an integrated potato picking and grading harvester. Agric. Mech. Res. 11, 110–114. doi: 10.17577/IJERTCONV9IS10022
Indraja, D., Ajkhilesh, J., Vishal, P., Amarsingh, P., and Ashutosh, D. (2019). A review paper based on design and development of An onion harvesting machine. J. Inf. Comput. Sci. 9, 333–337.
Jennings, S. A., Koehler, A.-K., Nicklin, K. J., Deva, C., Sait, S. M., and Challinor, A. J. (2020). Global potato yields increase under climate change with adaptation and CO2 fertilisation. Front. Sustain. Food Syst. 4:519324. doi: 10.3389/fsufs.2020.519324
Khura, T., Mani, I., and Srivastava, A. (2011). Design and development of tractor-drawn onion (Allium cepa) harvester. Indian J. Agric. Sci. 93, 528–532. doi: 10.56093/ijas.v93i2.129955
Kirkby, E. A. (2023). “Introduction, definition, and classification of nutrients” in Marschner's mineral nutrition of plants. ed. H. Marschner (Amsterdam: Elsevier), 3–9.
Li, G. J., Deng, G. R., Wu, H. Z., Zheng, S., Cui, Z. D., and Huang, J. (2022). Design and experiment of 4UMZ—1400 rear-collected type cassava combined harvester. J. Chin. Agric. Mech. 13, 17595–17610. doi: 10.1039/D3RA00723E
Liu, J., Wei, M., Kang, H., Wang, Y., and Zhou, J. (2021). Design and experiment of potato harvester based on roller separation. Agric. Mech. Res. 5, 96–103. doi: 10.35633/inmateh-64-14
Maruo, T., Takagaki, M., and Shinohara, Y. (2004). Critical nutrient concentrations for absorption of some vegetables. Acta Hortic. 644, 493–499. doi: 10.17660/ActaHortic.2004.644.66
Mee, C., Siva, K. B., and Ahmad, H. M. H. (2017). Detecting and monitoring plant nutrient stress using remote sensing approaches: a review. Asian J. Plant Sci. 16, 1–8. doi: 10.3923/ajps.2017.1.8
Mo, Q. G., and Huang, M. A. (2012). Development and application of 4UM-160 cassava harvester. Guang Xi Agric. Mech. 4, 12–21. doi: 10.52589/IJMCE-TWFGVKX1
Mu, G., Wang, W., Zhang, T., Hu, L., Zheng, W., and Zhang, W. (2022). Design and experiment with a double-roller sweet potato vine harvester. Agriculture 12:1559. doi: 10.3390/agriculture12101559
Musse, M., Hajjar, G., Ali, N., Billiot, B., Joly, G., Pépin, J., et al. (2021). A global non-invasive methodology for the phenotyping of potato under water deficit conditions using imaging, physiological and molecular tools. Plant Methods 17:81. doi: 10.1186/s13007-021-00771-0
Mwende Mutiso, J., Mayanja, S., Nyaga, J., Sinelle, S., Renou, C., Onyango, C., et al. (2024). A gendered assessment of crop traits to improve breeding product design and uptake: the case of potato in Kenya. Front. Sustain. Food Syst. 8:1331198. doi: 10.3389/fsufs.2024.1331198
Nahiyan, A. S. M., Islam, S., Islam, A., Rahman, M. A., Hasan, M. M., Eusufzai, T. K., et al. (2024). Fertilizer management practices in potato cultivation: a baseline study for the introduction of GE potato in Bangladesh. Front. Bioeng. Biotechnol. 12:1409996. doi: 10.3389/fbioe.2024.1409996
Naumann, M., Koch, M., Thiel, H., Gransee, A., and Pawelzik, E. (2020). The importance of nutrient management for potato production part II: plant nutrition and tuber quality. Potato Res. 63, 121–137.
Neilson, J. A. D., Smith, A. M., Mesina, L., Vivian, R., Smienk, S., and Koyer De, D. (2021). Potato tuber shape phenotyping using RGB imaging. Agronomy 11:1781. doi: 10.3390/agronomy11091781
Nkebiwe, P. M., Weinmann, M., Bar-Tal, A., and Mueller, T. (2016). Fertilizer placement to improve crop nutrient uptake and yield: a review and meta-analysis. Field Crops Res. 196:389–401. doi: 10.1016/j.fcr.2016.07.018
Novair, S. B., Hosseini, H. M., Etesami, H., Pirmoradian, N., Asgari Lajayer, B., and Price, G. W. (2024). Straw application improved soil biology and rice plant growth under low irrigation conditions. Environ. Res 255. doi: 10.1016/j.envres.2024.119138
Ospina, B., Cadavid, L. F., Garcia, M., and Alcalde, C. (2002). “Mechanization of cassava production in Colombia” in Cassava Research and Development in Asia (Bangkok: Centro Internactional de Agricultura Tropical), 277–287.
Pasaman, B., and Zakharchuk, V. (2012). The determination of the parameters of a ploughshare-rotorting potato digger. Econtechmod. Int. Q. J. 1, 43–47. doi: 10.1051/e3sconf/202343403012
Qi, X., Luo, K., Li, Y., Zhang, Y., Fang, Y., and Yang, M. (2024). Cadmium accumulation and transfer in yellowish-brown and limestone soils of five potato varieties based on a pot experiment in the central Hanjiang River basin. Front. Sustain. Food Syst. 8:1364643. doi: 10.3389/fsufs.2024.1364643
Salvage, R., Cannon, T., Kingsmill, P., Liu, F., and Fleming, C. C. (2024). A complex biostimulant based on plant flavonoids enhances potato growth and commercial yields. Front. Sustain. Food Syst. 8:1368423. doi: 10.3389/fsufs.2024.1368423
Samadi, A., Derafshi, M., Hassani, A., Gholamhoseini, M., Asgari Lajayer, B., Astatkie, T., and Price, G. W. (2023). Effects of biofertilizers and potassium sulfate on nutrient uptake and physiological characteristics of corn (Zea mays L.) under drought conditions. J. Crop Health. 76:209–218. doi: 10.1007/s10343-023-00954-w
Sosa, A., Padilla, J., Ortiz, J., and Etchevers, J. D. (2012). Biomass accumulation and its relationship with the demand and concentration of nitrogen, phosphorus, and potassium in lettuce. Commun. Soil Sci. Plant Anal. 43, 121–133. doi: 10.1080/00103624.2012.634695
Thanh, D. T., Ty, N. M., Hien, N. V., Berg, H., Nguyen, T. K. O., Vu, P. T., et al. (2023). Effects of organic fertilizers produced from fish pond sediment on growth performances and yield of Malabar and Amaranthus vegetables. Front. Sustain. Food Syst. 7:1045592. doi: 10.3389/fsufs.2023.1045592
Wang, Q., Yan, C., Fu, Y., Wang, Y., Jiang, P., Ding, Y., et al. (2023). Genome-wide identification of 14-3-3 gene family reveals their diverse responses to abiotic stress by interacting with StABI5 in potato (Solanum tuberosum L.). Front. Plant Sci. 13:1090571. doi: 10.3389/fpls.2022.1090571
Wilmer, L., Pawelzik, E., and Naumann, M. (2022). Comparison of the effects of potassium sulphate and potassium chloride fertilisation on quality parameters, including volatile compounds, of potato tubers after harvest and storage. Front. Plant Sci. 13:920212. doi: 10.3389/fpls.2022.920212
Xue, Z., Huang, H., Li, M., Di, Z. F., Gao, W. W., and Cui, Z. D. (2010). Study on 4UMS-390 II cassava harvester. J. Agric. Mech. Res. 49, 947–956. doi: 10.1177/0091270009337509
Yang, L. J., Han, X. R., Zhan, X. M., Yang, J. F., Fang, D. W., and Zou, D. B. (2012). Effects of slow release nitrogen fertilizers on yield of maize and rice, nitrogen use efficiency and inorganic N residue. J. Shenyang Agric. Univ. 43, 184–188.
Yang, W., Yang, J., Zheng, X. T., and Jia, F. Y. (2012). Current Research and Development trends of cassava root harvest machinery and technology. J. Agric. Mech. Res. 34, 230–235. doi: 10.1016/S2095-3119(19)62746-2
Zeng, W., Liu, Z., Zhang, M., Shi, Y., Zhu, Q., Sun, Y., et al. (2017). Improving crop yields, nitrogen use efficiencies, and profits by using mixtures of coated controlled-released and uncounted urea in a wheat-maize system. Field Crop Res. 205, 106–115.
Zhang, R., Wang, M., Liu, P., Zhu, T., Qu, X., Chen, X., et al. (2024b). Flexible Vis/NIR sensing system for banana chilling injury. Postharvest Biol. Technol. 207:112623. doi: 10.1016/j.postharvbio.2023.112623
Keywords: biometric characteristics, potato tubers, correlation, fertilizers, leaf area, plant height
Citation: Sibirev AV (2024) Comprehensive evaluation of fertilizer treatments on biometric traits and marketable tuber weight across diverse potato varieties. Front. Sustain. Food Syst. 8:1453885. doi: 10.3389/fsufs.2024.1453885
Edited by:
Muhammad Saqlain Zaheer, Khwaja Fareed University of Engineering and Information Technology (KFUEIT), PakistanReviewed by:
Vivekanand Vivekanand, Malaviya National Institute of Technology Jaipur, IndiaSahil Verma, Chandigarh University, India
Copyright © 2024 Sibirev. This is an open-access article distributed under the terms of the Creative Commons Attribution License (CC BY). The use, distribution or reproduction in other forums is permitted, provided the original author(s) and the copyright owner(s) are credited and that the original publication in this journal is cited, in accordance with accepted academic practice. No use, distribution or reproduction is permitted which does not comply with these terms.
*Correspondence: Alexey V. Sibirev, c2liaXJldjIwMTFAeWFuZGV4LnJ1
 Alexey V. Sibirev*
Alexey V. Sibirev* 
  