Abstract
Introduction:
The nutritive value of forages is one of the main drivers of productivity for livestock. In many tropical regions, same grass species occur at different elevations, but few studies have evaluated nutritive value changes within elevation gradients.
Methods:
The objective of this study was to analyze the changes in nutritive value of six grass genera across and within elevation gradients in Costa Rica. We synthesized elevation and nutritive data for crude protein (CP), neutral detergent fiber (NDF), acid detergent fiber (ADF), and in-vitro dry matter digestibility (IVDMD) in a database (n = 1,192) containing five C4 grasses (Urochloa, Cynodon, Digitaria, Megathyrsus, and Cenchrus) and one C3 grass (Lolium). Urochloa, Megathyrsus, and Digitaria are grasses grown primarily at low elevation (0–999 masl), and Lolium at high elevation (>2,000 masl).
Results:
Cynodon and Cenchrus overlap low to mid, and mid to high elevations, respectively. Greater CP and lower NDF concentrations were found for grasses grown at high elevation compared to those grown at low elevation (CP = 18.2–22.4 vs. 7.8–15.2%, NDF = 48.9–49.3 vs. 64.6–67.3%, and ADF = 32.2–33.2 vs. 37.4–44.3%). Consequently, IVDMD was greater for grasses grown at high than at low elevation (80.9–86.0 vs. 61.4–71.1% of DM). CP increased with elevation, especially for Lolium, while NDF and ADF tended to decrease for Megathyrsus, Urochloa, and Cenchrus.
Discussion:
The groups of grasses classified by nutritive value in this study, provide a baseline for potential nutrient supply to livestock and rations adjustments accordingly.
1 Introduction
Grasses are the staple feedstuff in ruminant diets in tropical environments (Thornton and Herrero, 2010; Thornton and Herrero, 2010; Thornton and Herrero, 2010; Thornton and Herrero, 2010). Costa Rica is a tropical country (latitude 10° 00’ N and longitude 84° 00’ W) with a wide range of elevation [0–3,800 meters above sea level (masl)]. The varying environmental conditions in the tropics have shown to influence the adaptation of both C4 and C3 grasses along elevation gradients (Angelo and Daehler, 2015). In tropical conditions, the relatively consistent temperatures year-round (Angelo and Daehler, 2015) and the lower transition temperatures between C4 and C3 grasses (Chazdon, 1978), create temperature ranges closely related to elevation gradients where C4 grasses are not adapted due to physiological limits (Angelo and Daehler, 2015; Chazdon, 1978).
Using controlled experiments, previous studies have evaluated the distribution of C3 and C4 grasses along elevation gradients in temperate (Cavagnaro, 1988), subtropical (Rundel, 1980), and tropical environments (Chazdon, 1978). These studies have analyzed the physiological mechanisms allowing for adaptation to varying weather conditions. In Costa Rica, Chazdon (1978) found that C4 grasses are mostly adapted at low elevations with high temperatures and relatively low rainfall and C3 grasses at high elevations (> 2,000 masl) with low temperatures, high rainfall, high humidity, and low atmospheric O2 conditions.
At low elevations (<1,000 masl), C4 grasses such as Urochloa (formerly Brachiaria) and Megathyrsus (formerly Panicum) are intensively cultivated in the lowlands of Costa Rica (Villarreal, 1994; Andrade et al., 2008; Vallejos et al., 1989; Villanueva et al., 2008). Also, Digitaria is a versatile grass genus (Cook et al., 2005; Vega and de Agrasar, 2007), adapted at low elevations and suitable both for grazing (Blydenstein et al., 1969) and hay production (Rojas and Dormond, 1994). At mid elevation (1,000–2,000 masl), grass species with adaptation ranges from sea level to higher elevations overlap (Chazdon, 1978), with Stargrass (Cynodon nlemfuensis Vanderyst) being the most cultivated grass species in both specialized dairy (Villalobos et al., 2013; Villalobos and Arce, 2013) and dual-purpose (milk and weaning calves) operations at low and mid elevations (González et al., 1996; Sánchez et al., 1998; Sánchez and Soto, 1996).
Between 2,000 and 3,000 masl, the C4 grass Kikuyu (Cenchrus clandestinus, formerly Pennisetum clandestinum) is the main species due to its adaptation to cooler environments (optimal temperature of 15°C) (Kaiser et al., 2000; Retana, 2006), thus mostly becoming the most used grass in dairy farms at higher elevations in Costa Rica (Castillo et al., 1983; Andrade, 2006; Villalobos et al., 2013). Additionally, the climatic conditions in high elevations in tropical environments can emulate those of temperate regions (Boudon et al., 2002; Donaghy and Fulkerson, 2002), with lower temperatures (8 and 19°C average minimum and maximum, respectively) (Retana, 2006) suitable for adaptation of temperate (C3) grasses such as ryegrass (Lolium spp., Villalobos and Sánchez, 2010a) showing greater persistence than in temperate regions (Donaghy and Fulkerson, 2002).
Despite documented differences in nutritive characteristics between C3 and C4 grasses (Capstaff and Miller, 2018; Jung et al., 1997) and their impact on grass-fed livestock production (Bohnert et al., 2011; García et al., 2014; Lee et al., 2017), there are not studies that have assessed the nutritive value of C3 and C4 grasses through a wide elevation gradient such as it is the case in Costa Rica. In this research, we studied the nutritive value of six grass genera at different elevations (15–2,850 masl) in tropical conditions in Costa Rica. By using average values of nutritive parameters, we illustrate general trends across forage species but, direct comparisons among different grass genera should be interpreted with caution, as factors other than elevation may influence such values. Our hypothesis was that elevation influences not only the adaptation of grass species in tropical conditions, but their nutritive value. We aimed to understand how the elevation affects the nutritive value within each species in tropical conditions.
2 Materials and methods
2.1 Databases and nutritive variables
Two databases from the National Institute for Agricultural Technology (INTA) and the Research Center for Animal Nutrition (CINA) from Costa Rica, were compiled into a single database that comprised 33 years (1986–2019) of samples that were collected by researchers from both institutions assessing the nutritive value of grasses in Costa Rica. Grass samples were randomly taken, comprising different stages of regrowth, stubble heights, and different months throughout the year. The database includes samples from all over the country with biennial updates for data cleaning (Figure 1). The initial database comprised 1,429 records of samples of 16 genera that included 27 grass species, which was reduced due to data points outside their elevation range of adaptation as well as nutritive values outside of normal ranges reported by Martínez (2020). In order to have sufficient replicates per grass genus and repeatability within each variable, only grass genera with at least 24 samples per nutritive trait were considered in the database (Supplementary Table S1), which allowed us to increase the total number of samples per grass genus. Each sample analyzed included at least one nutritive trait and the location (latitude and longitude), resulting in a final database with 1,192 records of six grass genera with a variety of days of regrowth and annual nitrogen rates: Urochloa brizantha (Hochst. ex A. Rich.) Stapf. (1—120 d; 50–100 kg.ha−1), Cynodon nlemfuensis Vanderyst (14–60 d; 100–350 kg.ha−1), Digitaria decumbens Stent (14–120 d; 200–400 kg.ha−1), Lolium spp. (33–46 d; 250–300 kg.ha−1), Megathyrsus maximus (Jacq.) (10–120 d; 50–300 kg.ha−1), and Cenchrus clandestinus Hochst. ex Chiov (25–120 d; 100–300 kg.ha−1).
Figure 1
Although the forage mass was not included within the variables analyzed in this study, it has been (González and Redondo, 2009) previously evaluated in Costa Rica. At low and mid elevation, the grass genera Urochloa, Megathyrsus and, Digitaria have shown values between 14 and 23 t DM.ha−1.yr.−1 (Andrade et al., 2008; Villanueva et al., 2008), 17–108 t DM.ha−1.yr.−1 (Núñez-Arroyo et al., 2022; Villalobos and WingChing-Jones, 2019) and 17–52 t DM.ha−1.yr.−1 (Cerdas and Vallejos, 2012; González and Redondo, 2009; Morales and Acuña, 2018; Morales et al., 2006; Murillo-Benavides, 2013), respectively. Cynodon has been evaluated at mid elevation with forage mass ranging from 40 to 78 t DM.ha−1.yr.−1 (Villalobos and Arce, 2013; Villalobos et al., 2013; Villalobos and WingChing-Jones, 2019; Villalobos-Villalobos and WingChing-Jones, 2023). At high elevation, Cenchrus and Lolium may yield 38–92 t DM.ha−1.yr.−1 (Andrade, 2006; Núñez-Arroyo et al., 2022; Villalobos et al., 2013) and 29–47 t DM.ha−1.yr.−1 (Villalobos et al., 2013; Villalobos and Sánchez, 2010a; Villalobos-Villalobos and WingChing-Jones, 2023), respectively.
The grass samples were analyzed in the INTA and CINA laboratories following the methods of the Association of Analytical Chemists (AOAC, 2000) for crude protein (CP), Van Soest et al. (1991) for neutral and acid detergent fiber (NDF and ADF, respectively), and Van Soest and Robertson (1985) for in-vitro DM digestibility (IVDMD). The latter was only available for 349 samples analyzed by the CINA laboratory. Elevation was included for some of the samples, and the rest were obtained from Google Earth based on farm location. Descriptive characteristics of the database are reported in Supplementary Table S1.
2.2 Statistical analyses
The statistical analyses were conducted in R v3.6.1 (R Core Team, Vienna, Austria). Tests applied prior to the use of the statistical models showed normality for the histograms and qqplots for CP, NDF, ADF, and IVDMD. Linear models were used to analyze the database with the lm function in the R package. Factors were elevation, grass genus and their interaction (Table 1), and response variables were the nutritive values (CP, NDF, ADF, and IVDMD). No random effects were considered in the model as some factors (year, fertilization, and days of regrowth) were not available for all species. The nutritive value was analyzed using three elevation ranges (0–999 [low], 1,000–1,999 [mid], and 2,000–2,999 [high] masl) aimed to provide a straightforward arrangement of results that are closely related with the specific adaptations ranges of grass species in tropical conditions. In addition, the association of elevation and nutritive value was analyzed with a linear regression using the elevation range available for each species (individual altitude values for each sample) and estimating their respective coefficients and intercepts (Table 2). Backward selection and the likelihood ratio test were used to select the models. Multiple comparisons were made using Tukey test with the HSD procedure. The p-values <0.05 and < 0.10 were declared as significant and trend, respectively.
Table 1
| Nutritive variable | F value | p-value |
|---|---|---|
| CP | ||
| Elevation | 1585.13 | < 0.001 |
| Genus | 22.77 | < 0.001 |
| Elevation x Genus | 8.47 | < 0.001 |
| NDF | ||
| Elevation | 1068.22 | < 0.001 |
| Genus | 45.86 | < 0.001 |
| Elevation x Genus | 3.53 | < 0.01 |
| ADF | ||
| Elevation | 334.40 | < 0.001 |
| Genus | 7.83 | < 0.001 |
| Elevation x Genus | 3.49 | < 0.01 |
| IVDMD | ||
| Elevation | 188.53 | < 0.001 |
| Genus | 32.87 | < 0.001 |
| Elevation x Genus | 3.59 | < 0.05 |
Analysis of variance of elevation, grass genus and their interaction for crude protein, neutral detergent fiber, acid detergent fiber, and in-vitro dry matter digestibility.
n.s., non-significant.
Table 2
| Genus | β0 (SE) | β1 (SE)1 | p-value for β1 |
|---|---|---|---|
| Crude protein (% of DM2) | |||
| All genera | 7.3 (0.1) | 0.54 (0.01) | <0.001 |
| Digitaria | 08.0 (0.3) | 0.02 (0.26)ab | 0.94 |
| Megathyrsus | 6.8 (0.4) | 0.33 (0.10)bx | < 0.01 |
| Urochloa | 07.5 (0.4) | 0.28 (0.07)bx | < 0.01 |
| Cynodon | 13.0 (1.1) | 0.19 (0.10)bx | 0.06 |
| Cenchrus | 14.0 (1.6) | 0.24 (0.08)bx | < 0.01 |
| Lolium | −1.1 (2.6) | 0.85 (0.10)ax | < 0.01 |
| Neutral detergent fiber (% of DM) | |||
| All genera | 67.7 (0.3) | −0.64 (0.02) | <0.001 |
| Digitaria | 64.8 (0.6) | 0.59 (0.74)ab | 0.43 |
| Megathyrsus | 68.0 (0.5) | −0.28 (0.13)ab | 0.04 |
| Urochloa | 66.3 (0.6) | −0.21 (0.12)ab | 0.07 |
| Cynodon | 64.7 (1.2) | 0.01 (0.11)a | 0.93 |
| Cenchrus | 62.0 (2.3) | −0.42 (0.12)bx | <0.01 |
| Lolium | 43.4 (3.7) | 0.21 (0.15)ax | 0.14 |
| Acid detergent fiber (% of DM) | |||
| All genera | 43.7 (0.3) | −0.52 (0.03) | <0.001 |
| Digitaria | 42.9 (0.7) | 0.79 (0.68)ax | 0.25 |
| Megathyrsus | 46.3 (0.6) | −0.79 (0.16)ax | <0.01 |
| Urochloa | 42.4 (0.7) | −0.58 (0.16)ax | <0.01 |
| Cynodon | 37.1 (1.3) | 0.07 (0.18)ax | 0.69 |
| Cenchrus | 38.2 (2.0) | −0.25 (0.11)ax | 0.02 |
| Lolium | 34.7 (3.1) | −0.05 (0.16)ax | 0.74 |
| In-vitro dry matter digestibility (% of DM) | |||
| All genera | 0.064 (0.1) | 0.64 (0.54) | <0.001 |
| Digitaria | --- | --- | --- |
| Megathyrsus | --- | --- | --- |
| Urochloa | --- | --- | --- |
| Cynodon | 72.2 (2.3) | −0.29 (0.20)ax | 0.15 |
| Cenchrus | 75.5 (4.7) | 0.44 (0.23)ax | 0.06 |
| Lolium | −3.7 (42.8) | 3.05 (1.54)ax | 0.05 |
Intercept (β0) and coefficient (β1) of elevation with SE for crude protein, neutral detergent fiber, acid detergent fiber, and in-vitro dry matter digestibility by genus.
a–b Elevation coefficients (β1) for a given output variable not sharing common superscripts differ significantly (p < 0.05).
Units expressed as %/100 m increase in elevation.
DM = dry matter.
Multivariate statistics methods were applied to the grass database by using a principal component analysis (PCA) and a correspondence analysis (CA). The PCA and CA were post-hoc analyses based on a subset (n = 337) of the database created by culling samples with missing values for at least one of the nutritive variables (CP, DM, NDF, and IVDMD) considered in the PCA. PCA was based on a correlation matrix and scree plots were used to determine the number of principal components retained as well as to indicate the contributions of the nutritive variables in each component.
The final database (n = 1,192) was also analyzed by using a correspondence analysis (CA) in Jamovi version 2.3 for four variables that were converted into categorical (low, medium, and high). The latter were defined for each variable as follows: elevation (0–999, 1,000–1,999, and 2,000–2,999 masl), crude protein (<10, 10–20, and > 20%), neutral detergent fiber (<50, 50–60, and > 60%), and in-vitro dry matter digestibility (<50, 50–60, and > 60%). Contingency tables were designed for each variable and biplots were used to visualize the relationships among row and column pairs. The biplots were interpreted based on the distance from each grass genus and the category given in the same region of space (quadrant). Both the PCA and CA aimed to visually support our results and differences in nutritive value among the grass genera evaluated.
3 Results
The frequency across elevations (Figure 2) indicated that Urochloa, Cynodon, Digitaria, and Megathyrsus were primarily found below 1,500 masl, however, Digitaria was only found below 1,000 masl. Cenchrus and Lolium were more common between 1,500 and 3,000 masl, with Cenchrus sometimes as low as 1,000 masl (Supplementary Table S1 and Figure 2).
Figure 2
3.1 Nutritive composition
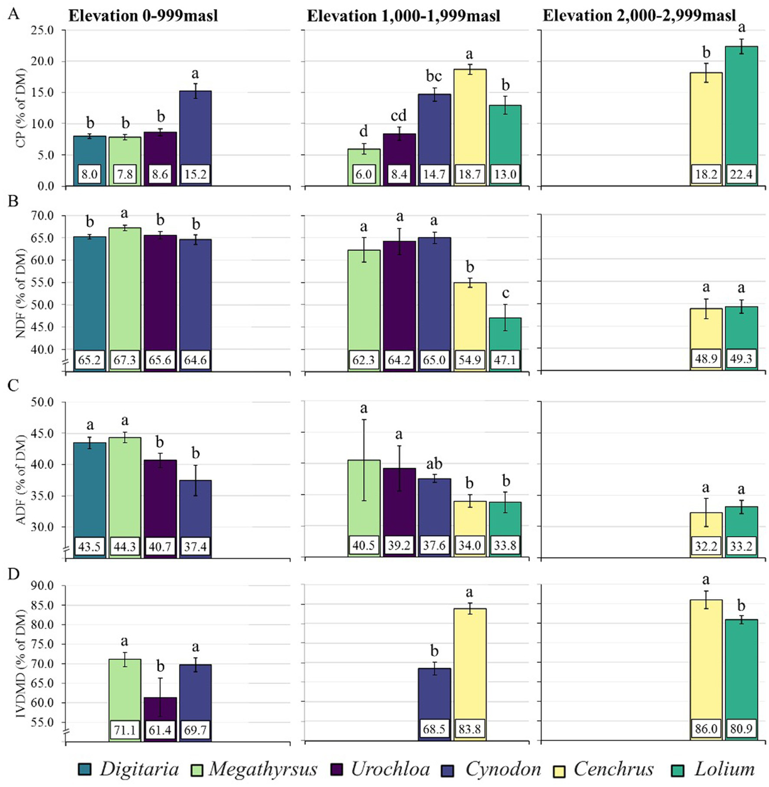
Lolium and Cenchrus had similar average CP concentrations (p < 0.05), showing the highest values among the analyzed species (Supplementary Table S1). Our results showed that in the tropical highlands (>2,000 masl), Lolium and Cenchrus have greater protein concentration than the grass species in the tropical lowlands (<1,000 masl) (Figure 3A).
Figure 3
At high elevation, Lolium had CP concentration 4.2 percentage points (pp) greater (p < 0.05, Figure 3A) than Cenchrus, but at mid-elevation the latter had 5.7 pp. greater CP concentration than Lolium (p < 0.05). Cynodon had 6.3 pp. greater CP concentration than Urochloa (Figure 3A), and the latter and Megathyrsus had similar CP concentrations at mid elevation (average 7.2% of DM). At low elevation, Cynodon had on average 7.1 pp. greater CP concentration than Digitaria, Megathyrsus and Urochloa (p < 0.05, Figure 3A).
Megathyrsus had on average 2.1 pp. greater NDF concentrations than Digitaria, Urochloa, and Cynodon at low elevation (p < 0.05, Figure 3B). At mid elevation, Megathyrsus, Urochloa and Cynodon had similar NDF concentrations (average ± SD = 63.8 ± 1.4%) and, on average, 8.9 and 16.7 pp. greater NDF concentrations than Cenchrus and Lolium, respectively (p < 0.05). While Cenchrus had 7.8 pp. greater NDF concentration than Lolium at mid elevation (p < 0.05), no difference was found between the two genera at high elevations (average ± SD = 49.1 ± 0.3%; Figure 3B).
Megathyrsus and Digitaria had on average 4.9 pp. greater ADF concentrations than Urochloa and Cynodon at low elevation (average ± SD = 43.9 ± 0.6% vs. 39.0 ± 2.3%, respectively: p < 0.05; Figure 3C). In contrast, Megathyrsus and Urochloa had similar and significantly greater ADF concentrations at mid elevation than Cenchrus and Lolium (average ± SD = 39.8 ± 0.9% vs. 33.9 ± 0.1%, respectively: p < 0.05; Figure 3C). The ADF concentration of Cynodon at mid-elevation was intermediate and not different from any other species found at mid elevation. Cenchrus and Lolium had similar ADF concentrations at both mid and high elevation (average ± SD = 33.3 ± 0.1%, Figure 3C).
In-vitro DMD of Urochloa was 9.0 pp. lower than Megathyrsus and Cynodon at low elevation (61.4% vs. average ± SD = 70.4 ± 1.0%; p < 0.05; Figure 3D). Cenchrus had 15.3 and 5.1 pp. greater IVDMD than Cynodon and Lolium at mid and high elevation, respectively. Average IVDMD values of Cenchrus and Lolium at high elevation were greater (83.4% ± 2.8%) than those of Megathyrsus, Urochloa, and Cynodon at low elevation (67.4% ± 5.1%; Figure 3D).
3.2 Effect of elevation on nutritive composition
CP concentration increased significantly with elevation for Megathyrsus, Urochloa, Cenchrus and Lolium (Table 2 and Figure 4A). The association between elevation and CP was 3-fold greater for Lolium than the average for Urochloa, Megathyrsus and Cenchrus (0.85%/100 m vs. 0.28%/100 m; p < 0.05).
Figure 4
The NDF concentration of Megathyrsus and Cenchrus decreased on average by 0.35 ± 0.01%/100 m increase in elevation and NDF concentration of Urochloa tended to decrease by 0.21%/100 m increase (Table 2 and Figure 4B). In Megathyrsus, Urochloa and Cenchrus, ADF concentrations decreased on average by 0.54 ± 0.7%/100 m increase in elevation (Table 2 and Figure 4C). No effect of elevation on ADF and NDF concentrations was observed for Lolium.
The IVDMD of Cenchrus and Lolium tended to increase with increasing elevation (Table 2 and Figure 4D), while elevation had no effect on IVDMD of Cynodon. For Digitaria, Urochloa and Megathyrsus, no regression analysis was carried out due to low number of samples available at multiple elevations.
3.3 Principal components analysis (PCA)
Four components were obtained from the PCA but only two were retained, explaining 84.9% of the variability of the data (Table 3). Factor loadings of each nutritive variable indicated greater correlations for NDF concentration (positive) and IVDMD (negative) with the PC1 (Table 4). Thus, PC1 is the factor related to fiber accumulation, with negative impact on the digestibility of the grasses evaluated in this study (Figure 5A). Although the eigen value of PC2 was less than 1 (Table 3), this factor correlated with DM and CP (Table 4), which can be interpreted as the factor related to DM accumulation in the grasses with CP contributing positively to its increase (Figure 5B).
Table 3
| PC1 | PC2 | PC3 | PC4 | |
|---|---|---|---|---|
| Standard deviation | 1.6843 | 0.7495 | 0.6287 | 0.4539 |
| Proportion of Variance | 0.7092 | 0.1404 | 0.0988 | 0.0515 |
| Cumulative Proportion | 0.7092 | 0.8496 | 0.9484 | 1.0000 |
| Eigen values | 2.837 | 0.562 | 0.395 | 0.206 |
Standard deviation, proportion of variance and cumulative proportion of variance of four components analyzed for nutritive variables of six genera of grasses.
Table 4
| Variable | Factor loading of each variable | |||
|---|---|---|---|---|
| PC1 | PC2 | PC3 | PC4 | |
| DM | 0.4526 | 0.7937 | 0.4034 | 0.0481 |
| CP | −0.4895 | 0.5405 | −0.5608 | 0.3919 |
| NDF | 0.5386 | −0.2635 | −0.1789 | 0.7800 |
| IVDMD | −0.5151 | −0.0917 | 0.7004 | 0.4854 |
Factor loading of the nutritive variables analyzed within each principal component.
Bold values indicate the main factors at PC1 and PC2.
Figure 5
Each grass sample included in the PCA was grouped by genus and overlapped in a second biplot (Figure 6B), showing their position on PC1 and PC2 as an indicator of their nutritive value. The PC1 indicated lower NDF concentrations and greater digestibility for Cenchrus and Lolium while Urochloa and Megathyrsus had greater NDF concentrations and lower digestibility. Cynodon varied with respect to the other genera, some samples being more comparable to Urochloa and Megathyrsus and some overlapping with Cenchrus and Lolium.
Figure 6
Dry matter and crude protein concentrations were the nutritive variables with more impact on PC2 (Table 4), indicating how Cynodon was the genus with greater DM concentrations and, the opposite was true for Cenchrus and Lolium (Figure 6B). These two genera had greater protein concentrations than the other three, with Urochloa and Megathyrsus having the lowest protein concentrations in the subset of data used for the PCA.
3.4 Correspondence analysis (CA)
The elevation biplot (Figure 7A) for CA indicated that Lolium was the genus furthest from the average in our database, and it is only adapted to high elevations. The genera Digitaria, Megathyrsus, and Urochloa are adapted to low elevations and, Cynodon and Cenchrus have wider ranges of adaptation from low to medium and medium to high elevations, respectively. Low concentrations of crude protein were commonly associated with the genera Digitaria, Urochloa and, Megathyrsus (Figure 7B). Cynodon had medium CP concentrations, followed by Cenchrus, while Lolium was the genus with greatest CP concentrations in the database.
Figure 7
Megathyrsus was the genus with greatest NDF concentrations (Figure 7C), followed by Urochloa, Digitaria and Cynodon; with the latter having medium and high fiber concentrations. Cenchrus had NDF concentrations considered medium to low and Lolium was categorized as a low fiber grass as well as the largest deviation from the rest of the genera analyzed. Lolium and Cynodon were the genera with greatest deviances for in-vitro digestibility with respect to the other grass genera (Figure 7D). Digitaria, Megathyrsus, and Urochloa were associated with low digestibility, and Cenchrus, despite having medium to low NDF concentrations, was categorized as a medium digestibility genus.
4 Discussion
Previous studies have indicated that the tropical highlands (> 2,000 masl) are suitable for temperate grasses as well as tropical species adapted to lower temperatures (Villalobos and Sánchez, 2010b; Villalobos et al., 2013).
4.1 Nutritive composition
Lolium had similar CP concentration to Cynodon and Urochloa at mid-elevation, which could be attributed to lack of adaptation of C3 grasses below 2,000 masl in tropical conditions (Retana, 2006; Chazdon, 1978). The intermediate CP concentration of Cynodon in the lowlands as well as the lowest CP concentrations of Urochloa, Digitaria and Megathyrsus (Figure 3A) is in line with findings by Bohnert et al. (2011) that grazing animals in the tropical lowlands are more likely to be deficient in protein and might need supplementation (NRC, 2000). Although the average CP concentrations found for all four C4 species grown at mid and low elevations (Supplementary Table S1) indicate that they could meet the requirements for ruminants (NRC, 2000), Cynodon was, on average, the only genus with greater values across the elevation gradients included in our study.
Our study found consistent patterns for NDF and ADF concentrations, with both fractions being greater in Megathyrsus, Digitaria, Urochloa and Cynodon than in Cenchrus and Lolium (Figures 3B,C). NDF and ADF represent the amount of total cell wall in forages and the cell wall minus the hemicellulose, respectively (Van Soest et al., 1991). Because fiber is the most prominent nutrient fraction in grasses, it has been extensively analyzed in previous research, consistently showing a tendency of being greater in perennial tropical grasses than temperate species (Capstaff and Miller, 2018), which are typically regarded as low fiber forages (Jung et al., 1997). However, in this study NDF and ADF concentrations of Cenchrus and Lolium were not different at mid and high elevation (Figures 3B,C).
In-vitro DM digestibility (IVDMD) is an indicator of the nutritive quality in forages and indicates the potential nutrient utilization through the digestion process (Van Soest and Robertson, 1985). In our database, Lolium and Cenchrus were the most digestible grasses, which showed at the same time the lowest NDF and ADF concentrations (Supplementary Table S1 and Figures 3B–D). This is in line with the expected negative correlation between fibrous fractions and dry matter digestibility (Jung et al., 1997). Cenchrus showed greater digestibility than Lolium at high elevation (Figure 3D), which coincides with results from similar environmental conditions (Andrade, 2006; Escobar et al., 2020). Thus, the tropical highlands provide suitable ecological conditions for both C3 and C4 grasses with the potential to meet nutritive requirements of highly productive cattle (Villalobos and Sánchez, 2010b; Villalobos et al., 2013; NRC, 2001).
4.2 Effect of elevation on nutritive composition
Few studies have reported the effect of elevation on the nutritive composition of grasses. For Urochloa, Wassie et al. (2018) found no effect from 1,200 to 1,800 masl and a decrease in CP above 1,800 masl. In other studies, CP decreased above 1,700 masl for Cenchrus (Asmare et al., 2017; Escobar et al., 2020). No studies on the effect of elevation on CP concentrations were found for Megathyrsus and Lolium.
The greatest increase in CP concentrations (p < 0.05) with elevation found for Lolium could be attributed to physiological differences between C3 and C4 grasses (Bohnert et al., 2011; Deinum, 1966). Increasing elevation creates environmental conditions more suitable for Lolium, emulating those of temperate regions (Donaghy and Fulkerson, 2001). However, the extent to which CP concentration increases with elevation might not only be the result of physiological differences but also of management in the farms, where practices like fertilization or grazing intensity are likely important but were not taken into consideration in this analysis. For instance, Lolium and Cenchrus are grown at high elevations (Supplementary Table S1) in specialized dairy farms where nitrogen fertilization is a common practice all year-round (Andrade, 2006; Villalobos et al., 2013). At mid elevation, Cenchrus had greater CP concentration than Lolium, but at high elevation greater CP concentrations were found in the latter (Figure 3A). This contrasting shift in CP concentrations might indicate that the differences in the ranges of elevation where both genera are grown in Costa Rica (from 1,023 to 2,773 vs. from 1,583 to 2,850 masl; Table 2), impose adaptation limits to be considered by livestock producers. For example, Cenchrus might be more resilient than Lolium at lower elevations under tropical conditions (Cook et al., 2005).
Although fibrous fractions in grasses are largely determined by the number of days of regrowth (Johnson et al., 2001), the lower temperatures at high elevations (Retana, 2006) seem to favor lower NDF and ADF in the grasses evaluated in this study (Moore and Jung, 2001) (Figures 4B,C). The significant decreases in NDF and ADF concentrations found for Cenchrus with increasing elevation might indicate that the wider range of elevation where it is grown in Costa Rica (1,750 m) with respect to those of Megathyrsus (1,098 m) and Urochloa (1,223 m), seems to allow for a significantly greater reduction in fiber deposition with increasing elevation (Table 2). The lower concentrations of fiber with increasing elevation may impact the potential dry matter intake of livestock species (Van Soest et al., 1991; Moore and Jung, 2001) as well as it imposes challenges for ration balancing (Bohnert et al., 2011; Capstaff and Miller, 2018). The fiber fractions of Lolium were not affected by elevation, which could be attributed to its adaptation at merely higher elevations resulting in limited lignin accumulation (Boudon et al., 2002; Moore and Jung, 2001) compared with tropical grasses (Johnson et al., 2001).
The negative correlation between elevation and temperature, has supported the results of various authors where lower temperatures have been generally associated with increasing CP and decreasing NDF concentrations (Deinum, 1966; Lee et al., 2017), thus increases in IVDMD were expected as a result of greater CP and lower NDF concentrations. This study found increased CP concentration and IVDMD with increasing elevation for Cenchrus and Lolium and a significant decrease in NDF for Cenchrus with increasing elevation. The effect of elevation on NDF, ADF, and IVDMD concurred with the literature data at similar elevations for Cenchrus and Urochloa (Table 5), but not for CP concentration.
Table 5
| Reference | Genus | Elevation range (masl)1 | CP | NDF | ADF | IVDMD |
|---|---|---|---|---|---|---|
| (%/100 m) | ||||||
| This research | Digitaria | 15–927 | +0.02 | +0.59 | +0.79 | --- |
| This research | Megathyrsus | 23–1,121 | +0.33* | −0.28* | −0.79* | --- |
| This research | Urochloa | 11–1,234 | +0.28* | −0.21 | −0.58* | --- |
| Wassie et al. (2018)2 | Urochloa | 1,230-1,770 | −0.23 | −0.39 | −0.15 | --- |
| Wassie et al. (2018) | Urochloa | 1,770-2,650 | −0.20* | +0.28 | +0.14 | --- |
| This research | Cynodon | 13–1,768 | +0.19 | +0.01 | +0.07 | −0.29 |
| This research | Cenchrus | 1,023-2,773 | +0.24* | −0.42* | −0.25* | +0.44 |
| Escobar et al. (2020) | Cenchrus | 2,550-2,914 | −0.22* | −0.14 | −0.16 | +0.08 |
| Asmare et al. (2017) | Cenchrus | 1,730-2,650 | −0.22* | −0.27* | −0.26* | --- |
| This research | Lolium | 1,583-2,850 | +0.85* | +0.21 | −0.05 | +3.05 |
Comparison of the association of elevation and crude protein (CP), neutral detergent fiber (NDF), acid detergent fiber (ADF) and in-vitro dry matter digestibility (IVDMD) % of dry matter over 100 m (%/100 m) of different genera in studies.
Slopes in bold and with * were significantly different from zero (p < 0.05).
masl = meters above sea level.
Average of three ecotypes.
In our study, the regression equations estimated where single genera of grasses were evaluated along elevation gradients were inconclusive. Besides elevation, the vast array of management practices applied on Costa Rican livestock operations (Vargas-Leitón et al., 2013; Villalobos et al., 2013), likely influence the grass nutritive value.
4.3 Principal components analysis (PCA)
The two-dimensional plot of the PCA characterized how the four nutritive variables interact with each other in the two components retained for the analysis (Figure 6A). NDF concentration negatively affects the IVDMD, having both arrows pointing towards opposite directions on the PC1, which concurs with previous studies where digestibility is significantly reduced in highly fibrous feeds (Jayanegara et al., 2009; Jung et al., 1997).
Cynodon had nutritive variables that overlapped with grass genera grown at low and high elevations, which could be related to the wide range of elevation where this genus is grown in Costa Rica (1,755 m, Supplementary Table S1). Higher temperatures tend to increase both intensity and partitioning of plant dry matter to more lignified tissues (Moore and Jung, 2001), which might partly explain the greater fiber concentrations found for the genera grown at low elevation.
Days of regrowth of pastures in Costa Rica vary accordingly across the elevation range. Lolium and Cenchrus are typically grazed after 30 to 45 days (Andrade, 2006; Villalobos et al., 2013; Villalobos and Sánchez, 2010a), whereas Megathyrsus and Urochloa are grazed after 16 to 30 days of regrowth, respectively (Villalobos and WingChing-Jones, 2019) and Cynodon after 25 days (Villalobos and Arce, 2013). Consequently, the PCA visually supported the characterization of grasses with relation to their nutritive value, thus, showing three groups comprised by Urochloa and Megathyrsus, Cenchrus and Lolium and, Cynodon (Figure 6B).
4.4 Implications for livestock producers
Our results showed that the genera Urochloa, Megathyrsus, and Digitaria are mostly adapted to low elevations, whereas the genus Lolium is only adapted to cooler temperatures found at high elevation (≥ 2,000 masl) in tropical environments. The width and similarity in the elevation ranges for Cynodon (1,755 m) and Cenchrus (1,750 m) indicate their successful adaptation to varying environmental conditions in the tropics.
Although one might recommend that livestock enterprises requiring forage of high nutritive value are better suited to higher elevations than to lowlands, the upper ranges of nutritive values found for the grass genera analyzed indicate that, in appropriate seasons and applying adequate management practices, forage of high nutritive value can also be produced in the tropical lowlands.
5 Conclusion
Costa Rica’s wide range of elevations creates climatic conditions suitable for C3 and C4 grasses. We acknowledge that elevation alone does not determine nutritive value of grasses and that other biotic and abiotic factors can affect the nutritive indicators included in this study. However, we found evidence that, for most species, crude protein tends to increase within their specific elevation range.
Pasture species adapted to high elevations (Lolium and Cenchrus) had greater CP concentrations and IVDMD, and lower NDF and ADF concentrations than species adapted to low elevation (Urochloa, Digitaria, and Megathyrsus).
Crude protein concentrations increased within the elevation ranges for the genera Megathyrsus, Urochloa, Cenchrus and, Lolium while NDF and ADF concentrations decreased for Cenchrus, Megathyrsus, and Urochloa. IVDMD tended to increase for Cenchrus and Lolium at mid and high elevations.
Although our results indicate that elevation may be used by livestock producers in the tropics as an indicator of the grass genera with potential to be grown in their operations, we acknowledge that factors such as pasture management and environmental conditions will also determine the nutritive value of pastures.
Statements
Data availability statement
The raw data supporting the conclusions of this article will be made available by the authors, without undue reservation.
Author contributions
LV: Conceptualization, Data curation, Formal analysis, Funding acquisition, Investigation, Methodology, Project administration, Resources, Software, Visualization, Writing – original draft, Writing – review & editing. CA: Conceptualization, Data curation, Formal analysis, Investigation, Methodology, Resources, Writing – original draft, Writing – review & editing. RH: Investigation, Methodology, Validation, Writing – original draft, Writing – review & editing. AM: Conceptualization, Data curation, Formal analysis, Investigation, Software, Validation, Writing – original draft, Writing – review & editing. DC: Conceptualization, Funding acquisition, Project administration, Resources, Supervision, Writing – original draft, Writing – review & editing.
Funding
The author(s) declare that financial support was received for the research and/or publication of this article. Funding was provided by the Research Office of the University of Costa Rica (UCR), the National Agriculture Technology Institute (Spanish acronym INTA) and the project “Sustainable futures for the Costa Rica dairy sector: optimizing environmental and economic outcomes” (BB/P023150/1) in collaboration with the UK’s Biotechnology and Biological Sciences Research Council (BBSRC), via the Global Challenge Research Fund (GCRF).
Acknowledgments
We thank the Costa Rican National Agricultural Technology Institute and the University of Costa Rica (UCR) for sharing the databases that were used in this study. The databases were based on laboratory analysis performed in both institutions.
Conflict of interest
The authors declare that the research was conducted in the absence of any commercial or financial relationships that could be construed as a potential conflict of interest.
Generative AI statement
The authors declare that no Gen AI was used in the creation of this manuscript.
Publisher’s note
All claims expressed in this article are solely those of the authors and do not necessarily represent those of their affiliated organizations, or those of the publisher, the editors and the reviewers. Any product that may be evaluated in this article, or claim that may be made by its manufacturer, is not guaranteed or endorsed by the publisher.
Supplementary material
The Supplementary material for this article can be found online at: https://www.frontiersin.org/articles/10.3389/fsufs.2025.1529103/full#supplementary-material
References
1
AndradeM. (2006). Evaluación de técnicas de manejo para mejorar la utilización del pasto kikuyo (Pennisetum clandestinum Hochst. ex Chiov) en la producción de ganado lechero en Costa Rica. San José, Costa Rica: Ciudad Universitaria Rodrigo Facio.
2
AndradeH. J.EsquivelH.IbrahimM. (2008). Disponibilidad de forrajes en sistemas silvopastoriles con especies arbóreas nativas en el trópico seco de Costa Rica. Zootec. Trop.26, 289–292.
3
AngeloC. L.DaehlerC. C. (2015). Temperature is the major driver of distribution patterns for C4 and C3 BEP grasses along tropical elevation gradients in Hawaii, and comparison with worldwide patterns. Botany93, 9–22. doi: 10.1139/cjb-2014-0075
4
AOAC (2000). Official methods of analysis. Gaithersburg, MD: AOAC.
5
AsmareB.DemekeS.TolemariamT.TegegneF.HaileA.WamatuJ. (2017). Effects of altitude and harvesting dates on morphological characteristics, yield and nutritive value of desho grass (Pennisetum pedicellatum Trin.) in Ethiopia. Agricult. Nat. Resour.51, 148–153. doi: 10.1016/j.anres.2016.11.001
6
BlydensteinJ.LouisS.ToledoJ.CamargoA. (1969). Productivity of tropical pastures: I Pangola grass. Grass Forage Sci.24, 71–75. doi: 10.1111/j.1365-2494.1969.tb01047.x
7
BohnertD. W.DelCurtoT.ClarkA. A.MerrillM. L.FalckS. J.HarmonD. L. (2011). Protein supplementation of ruminants consuming low-quality cool-or warm-season forage: differences in intake and digestibility. J. Anim. Sci.89, 3707–3717. doi: 10.2527/jas.2011-3915
8
BoudonA.PeyraudJ. L.FaverdinP. (2002). The release of cell concentrations of fresh rye-grass (Lolium perenne L.) during digestion in dairy cows: effect of the intracellular constituents, season and stage of maturity. Anim. Feed Sci. Technol.97, 83–102. doi: 10.1016/S0377-8401(01)00350-9
9
CapstaffN.MillerA. (2018). Improving the yield and nutritive quality of forage crops. Front. Plant Sci.9, 1–18. doi: 10.3389/fpls.2018.00535
10
CastilloE.CowardJ.SánchezJ.JiménezC.LópezC. (1983). Efecto de la fertilización nitrogenada en la época lluviosa sobre productividad, composición química y digestibilidad in vitro del pasto kikuyo bajo pastoreo en el cantón de Coronado. Agron. Costarricense7, 9–15.
11
CavagnaroJ. B. (1988). Distribution of C3 and C4 grasses at different altitudes in a temperate arid region of Argentina. Oecologia76, 273–277. doi: 10.1007/BF00379962
12
CerdasR.VallejosE. (2012). Comportamiento productivo de varios pastos tropicales a diferentes edades de cosecha en Guanacaste, Costa Rica. InterSedes13:26.
13
ChazdonR. L. (1978). Ecological aspects of the distribution of C4 grasses in selected habitats of Costa Rica. Biotropica10, 265–269. doi: 10.2307/2387678
14
CookB. G.PengellyB. C.BrownS. D.DonnellyJ. L.EaglesD. A.FrancoM. A.et al. (2005). Tropical forages: an interactive selection tool. Available online at: https://tropicalforages.info/text/intro/index.html (Accessed February 22, 2025).
15
DeinumB. (1966). Climate, nitrogen and grass: Research into the influence of light intensity, temperature, water supply and nitrogen on the production and chemical composition of grass. Wageningen: Wageningen University and Research.
16
DonaghyD.FulkersonB. (2001). Principles for developing an effective grazing management system for ryegrass-based pastures. Burnie: Tasmanian Institute of Agricultural Research.
17
DonaghyD.FulkersonW. J. (2002). The impact of defoliation frequency and nitrogen fertilizer application in spring on summer survival of perennial ryegrass under grazing in subtropical Australia. Grass Forage Sci.57, 351–359. doi: 10.1046/j.1365-2494.2002.00335.x
18
EscobarM. A.CárdenasE.CarullaJ. (2020). Effect of altitude and defoliation frequency in the quality and growth of kikuyu grass (Cenchrus clandestinus). Rev. Fac. Nacl. Agron. Med.73, 9121–9130. doi: 10.15446/rfnam.v73n1.77330
19
GarcíaS.IslamM.ClarkC.MartinP. M. (2014). Kikuyu-based pasture for dairy production: a review. Crop Past. Sci.65, 787–797. doi: 10.1071/CP13414
20
GonzálezJ. L.RedondoV. A. (2009). Validación de la respuesta del pasto transvala (digitaria eriantha) en producción y calidad de heno bajo riego. Alcanc. Técnol.7, 19–36. doi: 10.35486/at.v7i1.56
21
GonzálezM.Van HeurckL.RomeroF.PezoD. A.ArgelP. J. (1996). Producción de leche en pasturas de estrella africana (Cynodon nlemfuensis) solo y asociado con Arachis pintoi o Desmodium ovalifolium. Past. Trop.18, 2–12.
22
JayanegaraA.MakkarH. P.BeckerK. (2009). The use of principal component analysis in identifying and integrating variables related to forage quality and methane production. J. Indon. Trop. Anim. Agric.34, 241–247. doi: 10.14710/jitaa.34.4.241-247
23
JohnsonC.ReilingB.MislevyP.HallM. (2001). Effects of nitrogen fertilization and harvest date on yield, digestibility, fiber, and protein fractions of tropical grasses. J. Anim. Sci.79, 2439–2448. doi: 10.2527/2001.7992439x
24
JungH. G.MertensD. R.PayneA. J. (1997). Correlation of acid detergent lignin and Klason lignin with digestibility of forage dry matter and neutral detergent Fiber. J. Dairy Sci.80, 1622–1628. doi: 10.3168/jds.S0022-0302(97)76093-4
25
KaiserA.PiltzJ.HavilahE.HamiltonJ. (2000). Kikuyu grass composition and implications for silage production. FAO Plant Prod. Prot. Papers161, 63–64.
26
LeeM.DavisA.ChagundaM.ManningP. (2017). Forage quality declines with rising temperatures, with implications for livestock production and methane emissions. Biogeosciences14, 1403–1417. doi: 10.5194/bg-14-1403-2017
27
MartínezA. J. (2020). Tabla de composición bromatológica de forrajes utilizados para la alimentación de animales en Costa Rica. Available online at: https://www.kerwa.ucr.ac.cr/items/1f45ff38-c7d3-4a27-9d77-e053ed59c6d6 (Accessed February 22, 2025).
28
MooreK. J.JungH. (2001). Lignin and fiber digestion. J. Range Manag.54, 420–430. doi: 10.2307/4003113
29
MoralesJ. L.AcuñaV. (2018). Validación de la respuesta del pasto transvala (Digitaria eriantha) en producción y calidad de heno bajo riego. Alcances Tecnológicos7, 19–36.
30
MoralesJ. L.CruzA.AcuñaV. (2006). Efecto del estado de madurez y la fertilización nitrogenada sobre la producción y valor nutritivo del pasto transvala (Digitaria decumbens cv. transvala) para henificación bajo condiciones de secano. La industrialización del heno de alta calidad en Costa Rica. Alcanc. Tecnol.4, 37–44. doi: 10.35486/at.v4i1.113
31
Murillo-BenavidesF. (2013). Manejo agronómico de un sistema de producción de pacas de heno a partir del pasto Digitaria decumbens bajo riego en la Soga. Tecnológico de Costa Rica: Bagaces.
32
NRC (2000). Nutrient requirements of beef cattle: seventh revised edition: update 2000. Washington, DC: The National Academies Press.
33
NRC (2001). Nutrient requirements of dairy cattle: Seventh revised edition, 2001. Washington, DC: The National Academies Press.
34
Núñez-ArroyoJ. M.Jiménez-CastroJ. P.Tobía-RiveroC. M.Arias-GamboaL. M.Jiménez-AlfaroE.Padilla-FallasJ. E. (2022). Efecto de la edad de rebrote y época del año sobre la biomasa y calidad bromatológica en gramíneas utilizadas en tres zonas agroclimáticas de Costa Rica (I PARTE). Nutr. Animal Trop.16, 31–52. doi: 10.15517/nat.v16i1.50370
35
RetanaJ. (2006). Climatología de la región del distrito de San Juan de Chicuá y el Volcán Irazú. San José, Costa Rica: Informe anual del Instituto Meteorológico Nacional (IMN).
36
RojasA.DormondH. (1994). Efecto de niveles de grasa protegida sobre la degradabilidad de la materia seca y la pared celular del heno de transvala (Digitaria decumbens). Agron. Costarricense18, 197–201.
37
RundelP. (1980). The ecological distribution of C4 and C3 grasses in the Hawaiian Islands. Oecologia45, 354–359. doi: 10.1007/BF00540205
38
SánchezJ.PiedraL.SotoH. (1998). Calidad nutricional de los forrajes en zonas con niveles bajos de produccion de leche, en la zona norte de Costa Rica. Agron. Costarricense22, 69–76.
39
SánchezJ.SotoH. (1996). Estimación de la calidad nutricional de los forrajes del Cantón de San Carlos I. Materia seca y componentes celulare. Rev. Nutr. Anim. Trop.3, 3–18.
40
ThorntonP.HerreroM. (2010). Potential for reduced methane and carbon dioxide emissions from livestock and pasture management in the tropics. Proc. Natl. Acad. Sci.107, 19667–19672. doi: 10.1073/pnas.0912890107
41
VallejosA.PizarroE.ChavesC.PezoD.FerreiraP. (1989). Evaluación agronómica de gramíneas en Guápiles, Costa Rica. 2 Ecotipos de Panicum maximum. Pasturas Trop.11, 10–15.
42
Van SoestP.RobertsonJ. (1985). Analysis of forages and fibrous foods: A laboratory manual for animal science. Ithaca, NY: Cornell University.
43
Van SoestP.RobertsonJ.LewisB. (1991). Methods for dietary Fiber, neutral detergent Fiber, and nonstarch polysaccharides in relation to animal nutrition. J. Dairy Sci.74, 3583–3597. doi: 10.3168/jds.S0022-0302(91)78551-2
44
Vargas-LeitónB.Solís-GuzmánO.Sáenz-SeguraF.León-HidalgoH. (2013). Caracterización y clasificación de hatos lecheros en Costa Rica mediante análisis multivariado. Agron. Mesoamericana24, 257–275. doi: 10.15517/am.v24i2.12525
45
VegaA.de AgrasarZ. (2007). Novedades taxonómicas y sinopsis del género Digitaria (Poaceae, Panicoideae, Paniceae) en América Central. Darwin45, 92–119.
46
VillalobosL.ArceJ. (2013). Evaluación agronómica y nutricional del pasto Estrella africana (Cynodon nlemfuensis) en la zona de Monteverde, Puntarenas, Costa Rica II. Valor nutricional. Agron. Costarricense37, 91–101. doi: 10.15517/rac.v38i1.15162
47
VillalobosL.ArceJ.WingChingR. (2013). Producción de biomasa y costos de producción de pastos estrella africana (Cynodon nlemfuensis), kikuyo (Kikuyuocloa clandestina) y ryegrass perenne (Lolium perenne) en lecherías de Costa Rica. Agron. Costarricense37, 91–103. doi: 10.15517/rac.v37I2.12765
48
VillalobosL.SánchezJ. (2010a). Evaluación agronómica y nutricional del pasto ryegrass perenne tetraploide (Lolium perenne) producido en lecherías de las zonas altas de Costa Rica I. Producción de biomasa y fenología. Agron. Costarricense34, 31–42. doi: 10.15517/rac.v34i1.6697
49
VillalobosL.SánchezJ. (2010b). Evaluación agronómica y nutricional del pasto ryegrass perenne tetraploide (Lolium perenne) producido en lecherías de las zonas altas de Costa Rica II. Valor nutricional. Agron. Costarricense34, 43–52. doi: 10.15517/rac.v34i1.6698
50
VillalobosL. A.WingChing-JonesR. (2019). Remoción mecánica del material senescente para la recuperación de pasturas. Rev. Agron. Mesoamericana30, 821–840. doi: 10.15517/am.v30i3.36625
51
Villalobos-VillalobosL. A.WingChing-JonesR. (2023). Forage biomass estimated with a pre-calibrated equation of a rising platemeter in pastures grown in tropical conditions. Grasses2, 127–141. doi: 10.3390/grasses2020011
52
VillanuevaC.IbrahimM.RíosJ.SuárezJ. (2008). Disponibilidad de Brachiaria brizantha en potreros con diferentes niveles de cobertura arbórea en el trópico subhúmedo de Costa Rica. Zootec. Trop.26, 293–296.
53
VillarrealM. (1994). Valor nutritivo de gramíneas y leguminosas forrajeras en San Carlos, Costa Rica. Pasturas Trop.1, 27–31.
54
WassieW. A.TsegayB. A.WoldeA. T.LimenehB. A. (2018). Evaluation of morphological characteristics, yield and nutritive value of Brachiaria grass ecotypes in northwestern Ethiopia. Agric. Food Secur.7, 1–10. doi: 10.1186/s40066-018-0239-4
Summary
Keywords
digestibility, elevation, fiber, grass genera, perennial pastures, protein
Citation
Villalobos L, Arndt C, van der Hoek R, Mazzetto AM and Chadwick D (2025) Nutritive value of perennial pastures along an elevation gradient in tropical conditions. Front. Sustain. Food Syst. 9:1529103. doi: 10.3389/fsufs.2025.1529103
Received
15 November 2024
Accepted
07 March 2025
Published
19 March 2025
Volume
9 - 2025
Edited by
Simerjeet Kaur, Punjab Agricultural University, India
Reviewed by
Paulo de Mello Tavares Lima, University of Wyoming, United States
Aaina Sharma, Punjab Agricultural University, India
Updates
Copyright
© 2025 Villalobos, Arndt, van der Hoek, Mazzetto and Chadwick.
This is an open-access article distributed under the terms of the Creative Commons Attribution License (CC BY). The use, distribution or reproduction in other forums is permitted, provided the original author(s) and the copyright owner(s) are credited and that the original publication in this journal is cited, in accordance with accepted academic practice. No use, distribution or reproduction is permitted which does not comply with these terms.
*Correspondence: Luis Villalobos, luis.villalobosvillalobos@ucr.ac.cr
Disclaimer
All claims expressed in this article are solely those of the authors and do not necessarily represent those of their affiliated organizations, or those of the publisher, the editors and the reviewers. Any product that may be evaluated in this article or claim that may be made by its manufacturer is not guaranteed or endorsed by the publisher.