- 1Crop Science, Agriculture and Science, University of KwaZulu-Natal, Pietermaritzburg, South Africa
- 2WASH R&D, Chemical Engineering Basement, Howard College, University of KwaZulu-Natal, Durban, South Africa
- 3Chemistry Department, School of Chemistry and Physics University of KwaZulu-Natal, Pietermaritzburg, South Africa
Introduction: Human excreta-derived fertilizers, such as sewage sludge-based co-compost and urine, offer a potential pathway to improve soil fertility and crop productivity in dryland agriculture while promoting circular bioeconomy practices. However, their agronomic performance and environmental safety remain underexplored.
Methods: A six-month field experiment was conducted at the Bishopstowe Agricultural Living Lab using a randomized complete block design with five treatments (urine, urine + co-compost, chicken manure, no fertilizer, and conventional fertilizer) and four replications. Chili (Capsicum annuum) yield, soil nitrogen dynamics (mineralization, ammonium, nitrate), enzyme activities (urease, β-glucosidase, phosphatases), microbial communities, soil carbon fractions, and groundwater contamination risks (Escherichia coli, nitrate) were assessed.
Results: Chili yield, soil N mineralization, ammonium and nitrate concentrations, enzyme activities, microbial community composition, and active carbon did not differ significantly across treatments (p > 0.05). In contrast, organic carbon and extractable phosphorus were significantly higher in the urine + co-compost and chicken manure treatments. Although co-compost contained high organic carbon, associated microbial activity was lower than that observed with chicken manure. Groundwater contamination by E. coli and nitrate was not significantly affected by excreta-derived amendments during the trial period.
Discussion and Conclusion: Excreta-derived amendments enhanced soil organic carbon and phosphorus without compromising groundwater quality, highlighting their potential role in resilient and sustainable food systems. Nevertheless, their safe use requires management practices such as salinity control and adherence to WHO sanitation guidelines. The study was limited by its short duration and single-site scope; therefore, long-term (>2 years) and multi-location trials are recommended to fully assess agronomic, soil health, and environmental outcomes of excreta-derived fertilizers in dryland agriculture.
1 Introduction
Sub-Saharan countries are burdened with poor waste management, pollution, food insecurity, and biodiversity loss. Management of human excreta from onsite sanitation systems is of great concern in Sub-Saharan Africa. About 80% of the 2.8 billion people globally served by pit latrines are from Sub-Saharan Africa (Strande et al., 2014). Studies from 39 global South cities show that 58% of human excreta is not safely managed, 14% of fecal sludge is contained but not emptied, 13% is emptied but not delivered to the treatment plants, and 2% that reaches the treatment plant is not treated (Peal et al., 2020). This exposes communities to public health risks, and studies have linked outbreaks of major diarrheal diseases to poor faecal sludge management (Mamera et al., 2021; Ngasala et al., 2019; Back et al., 2018). This concerns South Africa, a water-scarce country, considering rolling out boreholes as part of the National Groundwater Strategy (NGS) for potable water supply in rural areas (WRC, 2017). Therefore, improving fecal sludge collection, transport, and treatment is essential to protect public health and groundwater resources.
Apart from sanitation, food insecurity is another challenge faced in South Africa. About 21.7% of Black Africans, especially in rural areas, are severely food insecure (STATSSA, 2025). Apart from poverty, unemployment, and reliance on social grants, poor crop yields are drivers of food insecurity in South Africa. South African soils are not productive, some being acidic and nutrient-deficient. About 19.5% of soils in the Western Cape have a pH (KCl) < 5 (Liebenberg et al., 2020), natural acidification has been reported to affect about 16 million ha of cultivated lands in South Africa (van Huyssteen and du Preez, 2023) and this has been problematic, especially for smallholder farmers, who are mainly producing under rainfed conditions (van Huyssteen and du Preez, 2023). This is exacerbated by nutrient mining and the minimal use of organic fertilizers (Anyega et al., 2021), and persistent droughts (Orimoloye, 2022). Elagib et al. (2024) reported that by 2050, intensifying droughts will likely affect food security in 4.30 and 28.8% of areas under dryland agriculture in wet and dry regions, respectively. About 65% of Sub-Saharan soils are degraded due to minimal use of organic matter and nutrient mining (Zingore et al., 2015). This also threatens soil health as well as the capacity to produce food for future generations optimally (Louw et al., 2014; Montgomery and Biklé, 2021). Addressing these challenges requires improving soil health and climate-resilient farming practices to safeguard food security.
The closed-loop circular bioeconomy is an innovative approach to solving the intertwining food security and sanitation challenges in South Africa (Sekabira et al., 2023). Human excreta can be valorized into soil organic amendments, such as co-compost (Nikiema et al., 2020). This aligns with the South African National Environmental Management Waste Act 59 of 2008 (DFFE, 2019), which emphasizes the transition towards zero landfilling of organic waste by 2050. While at a global scale, the co-compost production and agricultural use are important for eliminating hunger (Sustainable Development Goal or SDG 2), ensuring good health and well-being of people from exposure to hazardous waste (SDG 3), mitigate climate change from landfills emissions by sequestrating carbon in soils (SDG 13) and prevent soil biodiversity loss while enhancing life on land (SDG 15) (UN, 2025).
The agricultural use of co-compost has several agronomic benefits, including increasing soil organic matter, water and nutrient use efficiency, soil health, and crop yields (Suddick and Six, 2013; Yaseen et al., 2020; Fuhrmann et al., 2022). However, this has human health concerns regarding heavy metals, pathogens, and micropollutants. These challenges are addressed in the World Health Organization’s (WHO) Sanitation Safety Planning guideline through the application of a multibarrier approach. Part of the multibarrier approaches in treating human excreta to eliminate pathogens is done by thermophilic temperatures attained during co-composting. When it comes to heavy metals, the South African regulations require the co-compost to meet certain minimum limits (RSA, 1947), which are possible by mixing a certain portion of sewage sludge with green waste, which is generally low in heavy metals. The only challenge comes with micropollutants and antibiotic resistance genes, which have been detected in sewage sludge, but their impacts on the environment and health risks are still grey and subject to ongoing research.
The use of biofertilizers as a climate change adaptation to maintain soil biodiversity for sustainable agriculture in uncertain rainfall conditions of dryland agriculture is a well-articulated topic, but with some grey areas. The long-term ability of organic fertilizers to increase soil health in terms of microbial activity and water retention capacity for sustainable dryland agriculture was evidenced using sewage sludge alone (Desjardins et al., 2025). The same was observed by Lucchetta et al. (2023) from 3 years of applying animal manure-derived co-compost in vineyards. The use of human urine alters soil ecology and microbial diversity, but there are concerns regarding soil microbial activity (Yu et al., 2025; Orwin et al., 2010; Abdul Rahman et al., 2021; Bertram, 2009). Conversely, in controlled greenhouse experiments, Rumeau et al. (2024) observed that the high salinity of one-year-stored urine had little effect on soil bacterial communities (only ~3 % of taxa shifted); however, given the greenhouse setting and short-term scope, these findings may not extend to open-field conditions. A study done using a combination of human urine and faecal sludge-derived co-compost was done in controlled experiments, focusing on cabbage physiological performance, not soil health (Häfner et al., 2023).
There is a dearth of studies on the use of sewage sludge and greenwaste co-compost in combination with human urine to complement soil conditioning and nutrient supply for crops, especially in dryland agriculture. This baseline case study sought to bridge the gap by assessing the potential of using human excreta-based organic amendment (co-compost) and biobased fertilizer (urine) to promote crop production under dryland agriculture at Bishopstowe Agroecological Living Lab (BALL) in South Africa.
1.1 Hypothesis
The use of sewage sludge and green waste-derived co-compost together with human urine significantly increases chili (Capsicum annuum) yield, improves microbial activity, abundance, and evenness in a single season of dryland agriculture, without contaminating groundwater with E. coli.
2 Materials and methods
2.1 Study contextualization
This study was informed by sanitation management practices, challenges, and opportunities in agricultural production systems of small-scale communal farmers from uMsunduzi Municipality, South Africa. Pit latrines serve the rural farmers, while urban farmers use flushing toilets connected to the wastewater treatment plant. The fecal and sewage sludge that is not managed can be valorized into sewage sludge. In addition to that, farmers are using organic materials such as cow dung and chicken manure in their agricultural fields (Sekabira et al., 2023). The farmers receive some extension services from the Department of Agriculture, Land Reform and Rural Development (DALRRD), where they learn about applying inorganic fertilizers in their fields (Zondi, 2023). Due to financial constraints, they rarely have irrigation and depend mostly on dryland farming. They grow various crops, including Yellow maize (Zea mays L.), Swiss chard (Beta vulgaris L.), green and dry beans (Phaseolus vulgaris L.), and Chilies (Capsicum annuum L.) (Adey et al., 2004). Linking resource recovery and reuse with existing indigenous knowledge systems is important to spearhead the concept to the next level, bringing impact to communities while transforming existing food systems for future generations.
2.2 Study site characteristics
The study was done at the Bishopstowe Agroecological Living Lab (BALL) located in uMshwati Local Municipality within uMgungundlovu District Municipality (29°35′09.9″ S 30°28′45.4″E). The BALL is a newly established agroecological hub where green technologies are tested, demonstrated, and transferred to potential beneficiaries. The soils are generally red clay soils with >50% clay content down to 1 m depth (Table 1). The slope is approximately 7.4°, and the altitude ranges from 451-50 m above sea level.

Table 1. General soil physical properties of the experimental field at BALL at three different soil depths.
2.3 Experimental materials
The co-compost used during the study was made by mixing one part of sewage sludge from the Ixopo Wastewater Treatment Plant with three parts of green organic waste from various garden service providers in Pietermaritzburg, South Africa. The co-composting was done in windrows for 5 to 6 months to ensure that the organic matter is fully digested and free from pathogens due to thermophilic temperatures. The compost attained temperatures between 32°C and 55°C. The 55°C was maintained for at least three weeks, which was enough to sterilize the pile.
The urine used to supplement crop nutrients was collected from the Durban Fresh market public urinal, courtesy of a Non-Governmental Organization called Asiye eTafuleni (AET), following standard methods for urine collection, handling, and transportation (Tilley et al., 2014). Chicken manure was obtained from a small-scale chicken farmer at the BALL. The physicochemical properties of materials used during the study are shown in Table 2.

Table 2. Physicochemical characteristics of materials used during the study in comparison with the South African fertilizer, farm feeds, Agricultural Remedies and Stock Remedies Act of 1947 (RSA, 1947).
2.4 Experimental methodology
Twenty plots of 12 m2 (3 m × 4 m) were laid out in a randomized complete block design consisting of five treatments to four replicates. The treatments were co-compost + urine (T1), poultry manure (T2), urine (T3), no fertilizer (T4) and conventional fertilizer (T5).
2.4.1 Trial establishment and management
Studies were done in dryland farming to represent agricultural practices commonly done by small-scale farmers in South Africa, who cannot afford to establish irrigation systems. The experiments were set on a land of 17 × 15.5 m. The land was ploughed and disked a month earlier. Plots 3 m wide and 4 m long, giving an area of 12 m2, were made using hand hoes. Organic fertilizers (co-compost and chicken manure) were applied based on crop N requirements recommended by the Fertility and Advisory Services (FAS) of the KwaZulu-Natal Department of Agriculture and Rural Development (DARD) soil analysis results. Organic fertilizers have a slow nutrient release rate, so the application rate was calculated following Equation 1 according to the methods recommended by Tesfamariam et al. (2020).
In Equation 1, the mineralization rate for the BALL site (29%) was obtained from Ogbazghi et al. (2016) with an assumption that Pietermaritzburg is within the sub-humid region. The compost N content was obtained from the FAS analytical results. The organic fertilizers were applied on each planting station at a rate of 20 tons per hectare a month prior to planting.
Chilies (Capsicum annuum) of the variety Star 6,604 was selected as a test crop due to its potential for processing into chili paste and powder by the farmers at BALL, and according to the WHO (2006) multibarrier approach specifications have lower microbial contamination risks. The seedlings obtained from a local registered nursery were planted on 17 November 2022 at a spacing of 0.5 m × 0.5 m, and the test crop lasted for 6 months. The inorganic fertilizers were applied at recommended rates (Urea: 326 kg ha−1, Single Super Phosphate (SSP): 1,960 kg ha−1, Potassium Chloride (KCl): 558 kg ha−1), which directly translates to 150:196:290 (N: P: K). The urea was split-applied; 50% was applied a week after planting, the other 50% was applied a month after planting (25%) and 3 months after planting (25%). The SSP and KCl were applied once off at planting. The fertilizers were banded and covered up by the soil soon after application. The urine was stored for 1 month at room temperature, as recommended by WHO (2006). The stored urine N content value of 3.9 g L−1, which was obtained from previous studies (Odindo et al., 2022) was used to calculate crop N requirements following Equation 2.
The urine was diluted with water at a ratio of 3:1 and applied at the same time as inorganic fertilizers (a week, a month, and 3 months after planting), directly to the soil surface of each plant using the watering container to avoid foliar contact (Richert et al., 2010). An integrated weed, pest, and disease management program was implemented. The selected chili variety has a general tolerance to leaf diseases; however, agrochemicals were not used to control pests and diseases because they were not identified.
The data obtained from the National Aeronautics and Space Administration (NASA) access viewer database (NASA, 2022) was used to monitor climatic parameters for optimum crop growth. Comparisons were made between the amounts of rainfall received on the site during the crop growing period with historic monthly mean rainfalls averaged for >30 years. Water balances were done by calculating the monthly average crop evapotranspiration following Equation 3.
Whereby the ETcrop is the historic average crop evapotranspiration, ETpan is the historic average reference evapotranspiration measured from the class A evaporation pan, and Kc is the crop factor value for the chili crop. A simple water balance assessed the rainfall sufficiency for crop production by subtracting average monthly ETcrop from actual monthly rainfall.
Soil chemical and biological properties were measured before planting and after harvesting. Samples for chemical analyses were collected within the 0.3 m soil depth from five different spots within each plot. These were bulked to form composite samples for each experimental unit. The samples were submitted to the Fertility and Advisory Services (FAS) of the Department of Agriculture Land Reform and Rural Development laboratory for the analysis of organic carbon, cation exchange capacity, nutrients (organic N, mineral N, extractable P, extractable K, Ca, Mg, Cu, Al and Fe), soil pH (KCl), acid and base saturation according to the standard methods (Manson et al., 2020).
2.4.2 Crop yield
The chili harvesting started 12 weeks after transplanting. Only red chilies were harvested, leaving green ones and flowers. The fresh mass from the harvested chilies was measured immediately using a balance with ±0.02 g accuracy. The yield per harvest was determined according to Equation 4.
Whereby the “M” is the mass of chilies in grams per plant. “A” is the area per plant, referring to plant spacing of 0.5 × 0.5 m (0.025 m2). The cumulative yield was then determined as the sum of mean yield values from all the treatments and three harvests obtained from the tables of means calculated by the GenStat software.
2.4.3 Soil microbiology
About 200 g of soil was sampled from the 0.3 m topsoil level, within a 0.1 m radius of the plant, before planting and after the final crop harvest. Each sample was placed in zip-lock plastic bags at room temperature for not more than 5 days and submitted to Sporatec Soil Microbiology Laboratories within the Department of Microbiology at Stellenbosch University to analyze microbial communities and soil enzymatic activity. Microbial communities are important in nutrient recycling. The more even the taxa, the more stable it is to continually carry ecosystem services (Drosos et al., 2023). Therefore, microbial communities were analyzed using the molecular fingerprinting technique, which generated a profile for each composite soil sample (Singh et al., 2006).
Soil biochemistry is an important indicator of soil health that can help understand the influence of certain soil amendments on soil ecology, which drives optimal microbial processes. When organic matter decomposes in the soil, microorganisms release various enzymes that break down complex molecules such as urea, cellulose, and phosphates, producing carbon dioxide and inorganic nutrients (Yu et al., 2025). Therefore, N mineralization, urease activity, β-glucosidase, PO43−-P, alkaline and acid phosphatase, microbial activity, and organic and active carbon were measured according to standard methods (Karlen et al., 2021). The aerobic incubation method was used to determine soil mineralization after incubating soil samples at 25°C for 14 to 28 days. Initial and final concentrations of inorganic nitrogen (NO3−-N and NH4+-N) were extracted with 2 M KCl and measured colorimetrically using the Thermo Scientific™ Gallery™ Discrete Analyzer, to calculate net N mineralization (Maynard et al., 2007). The β-glucosidase was determined by incubating a soil sample with a substrate containing p-nitrophenyl-β-D-glucopyranoside in a buffer solution at pH 6, 37°C and for 1 h. The reaction was stopped by adding calcium chloride, and the absorbance was measured at 400 nm using a spectrophotometer. The Bray II method was used to test the PO43−-P, after shaking a soil sample with a solution of 0.03 M NH₄F and 0.1 M HCl and then filtering. The Murphy-Riley method was used to colorimetrically measure PO43−-P at 882 nm absorbance. Alkaline and acid phosphatases activity was determined after incubation in a buffer solution, which was acidic (acid phosphatase) or alkaline (alkaline phosphatase), and p-nitrophenyl phosphate as the substrate. The samples were measured spectrophotometrically at 405 nm to quantify the enzyme activity. The fluorescein diacetate (FDA) hydrolysis assay was used to estimate total microbial activity in soil by measuring the enzymatic conversion of FDA into fluorescein. The amount of fluorescein produced, quantified spectrophotometrically, reflects the collective activity of microbial enzymes such as esterases, lipases, and proteases (Adam and Duncan, 2001). The Walkley-Black method was used to measure organic C, and the potassium permanganate (KMnO₄) oxidation was used to measure active and labile C forms.
2.4.4 Groundwater sampling
Groundwater samples were analyzed for suitability as irrigation water and human health safety by the drinking water quality standards. The borehole water samples were collected before planting and after 6 months. These were submitted to the salinity laboratory of the FAS for the analysis of salinity, Na, Ca, Mg, K, Cu, Mn, Fe, Zn, Total alkalinity, SAR, salinity class, and Cl− according to standard methods (APHA AWWA & WEF, 2017). Using human excreta products is likely to contaminate groundwater with pathogens. Water samples were monitored at a six-month interval and analyzed for nutrients (N and P) and pathogens (E. coli) according to Velkushanova et al. (2021).
2.5 Data analysis
The GenStat 21st Edition statistical package software was used for data analysis (VSN International, 2022). The quantitative data was subjected to the analysis of variance (ANOVA) at a 5% significance level. The soil microbial community and biochemical data were subjected to multivariate analysis of variance (MANOVA) at a 5% significance level since there were 19 variables to be considered. Where p < 0.05, the Bonferroni multiple comparison test was done to compare treatment differences.
3 Results and discussion
3.1 Climatic information
The climatic information of the BALL for a six-month period (November 2022 to June 2023) is shown in Figures 1A–C. The mean daily temperature ranged from 10.8°C to 25.1°C. Chili peppers require a daily maximum temperature of between 20°C and 27°C, and a minimum 15°C for optimum growth (Welbaum, 2015). The mean daily temperatures recorded on the site during the growing period (> 15°C) were ideal to support the optimum growth of chili peppers.

Figure 1. The climatic information for Bishopstowe Agroecological Living Lab for a 6-month period showing mean temperatures during the growing period (A), historic monthly mean temperatures (B) and total rainfall (C).
Figure 1C shows that the BALL site received more rainfall during the growing season than the historical average calculated over 25 years. This is a positive indicator from a climate change perspective, especially when droughts threaten food production systems, as Elagib et al. (2024) reported. The irrigation deficit was high in March and April and lower during other months (Figure 1C). During those periods, the farmer should have irrigated the crop for optimum yields. This is when dryland becomes challenging because rainfall is not evenly distributed across the season.
3.2 Crop yield
The analysis of variance for the yields of a chili crop is shown in Table 3. The repeated measures on yield significantly differed among treatments over the sampling time.

Table 3. Analysis of variance showing repeated measures for chili yield in five different treatments.
Figure 2A reports mean values for crop yields amongst the five treatments and across three sampling months. Crops amended with co-compost + urine yielded more red chilies than the no fertilizer and fertilizer treatments during the first month. This indicates that the co-compost + urine treatment grew faster, as exhibited by shorter days to flowering and subsequent ripening. The increase in yields exhibited by chilies from the no-fertilizer treatment and the abrupt decline in the third harvest were caused by the ripening of fruits and flowers not previously harvested.

Figure 2. Five treatments showing treatment differences (n = 4, p < 0.05, mean ± standard error of difference) over time (A) and boxplots (showing median values, 25–75% quartiles and non-parametric standard error of median, n = 4) for chilies yield over the three harvesting months (1; February, 2; March and 3; April) (B).
The chili pepper yield median values did not significantly differ across all treatments, including the no fertilizer treatment (Figure 2B), indicating the site’s inherent fertility. Co-compost is an organic amendment that should undergo mineralization, depending on the soil biotic and abiotic factors, to release bioavailable nutrients (Perez et al., 2023). Studies done using sewage sludge in South Africa found that the mineralization rate depends on the agroecological region’s climatic conditions, with super-humid areas exhibiting higher mineralization rates (Ogbazghi et al., 2019). This implies that to cater to the yield gap, the co-compost should be applied earlier (Tesfamariam et al., 2020). Even a survey done on farmers who were using fecal matter-derived co-compost in India found that crop yields increased by 90% for an average of 2 years (Fendel et al., 2022). Increased lettuce yield after applying co-compost was also reported under dryland agriculture in Malawi (Kamanga et al., 2024). During this study, the co-compost was applied at 20 tons per hectare, double the conventional application rate, to synchronize nutrient bioavailability with crop requirements during critical growth stages. This means that N was not limiting in co-compost amended crops, further explaining the insignificant differences even with the inorganic fertilizer treatment. Similar results were reported with regard to the use of livestock manure on chili, in which the double application rate increased the yields of chili in the clay soil type (Khaitov et al., 2019).
A cumulative yield analysis was also done, and the mean–mean scatter plot is shown in Figure 3. The cumulative mean values for the chili yield were as low as 1.6 tons/ha (fertilizer treatment) and as high as 2.7 tons/ha (co-compost), with a range of between 0.6 tons/ha (1) and 3.6 tons/ha (2). The rainfall was sufficient to promote chili crop growth (Figure 1). Chili peppers are very sensitive to drought due to their broad range of transpiring leaves, shallow root system, and high stomatal conductance (Girmay and Wale, 2019). Given adequate irrigation, chili crops can attain high yields of between 5.4 and 9 tons/ha (Girmay and Wale, 2019). However, the 3.6 tons/ha maximum cumulative yield was enough and not affected by periods of water deficits during March and April (Figure 1). This is confirmed in a crop modeling study using the SWB Sci model, whereby the simulated harvestable dry mass for the same chili variety ranged from 4 to 5.8 tons/ha, while the results validated using empirical findings reported between 2.11 and 3.68 tons/ha of dry yield (Abebe, 2010). Dry chili yields of between 1.5 tons/ha (conservative conditions) and 4 tons/ha (target) are expected in South Africa (KZNDARD, 2019). Higher yields could have been attained if both red and green chilies had been harvested. Chilies attain higher yields if harvested frequently at a 10–14-day interval because removing both red and green chilies stimulates flowering (KZNDARD, 2019).

Figure 3. Cumulative chili yield shown by mean–mean scatter plot (n = 4) for three monthly harvests.
3.3 Soil microbiology
Mean squares for soil health indicators in different fertilizer amendments are shown in Table 4. The application of urine and co-compost did not significantly change most of the measured soil health indicators, except for organic C, extractable P, and microbial activity, which significantly differed at the 5% significance level.

Table 4. Mean squares for soil biochemical analyses and microbial communities in different fertilizer amendments (n = 4).
3.3.1 Organic carbon
The mean differences in organic C are reported in Table 5. Comparisons amongst the treatments showed significant differences (p < 0.05) in organic C between no fertilizer and co-compost + urine (Table 5). The soil organic C significantly increased with the application of co-compost + urine compared to no fertilizer, urine, or fertilizer treatments. This is because co-compost contains high carbon content (Table 2). Depending on the forms of organic C, the compost plays a role in sequestrating C when non-digestible forms are left to accumulate in the soil (Zhao et al., 2020). In this case, the active organic C fractions did not significantly differ across all treatments (Table 5). The stable organic C forms increase water and nutrient retention capacity, which is important for climate change adaptation.

Table 5. Bonferroni test showing treatment differences (n = 4; mean ± standard error of mean deviation) for soil moisture, organic, extractable P, organic carbon, and microbial activity.
3.3.2 Microbial activity
The microbial activity was significantly lower in co-compost + urine treatment compared to chicken manure amendment, despite the two differing insignificantly in the observed soil organic C value (Table 5). This observation is frequently reported, as microbial activity is regulated by a combination of factors, including the physical, chemical, and biological properties of the soil (edaphic factors) and the quality of the substrate (Wang et al., 2024; Furtak and Gałązka, 2019; Muneer et al., 2022; Cao et al., 2016). The study was done on one soil type, ruling out the effect of soil properties as an explanation. Soil moisture content also plays an important role in microbial activity. Amending soils with organic matter increases soil moisture retention capacity, further stimulating microbial activity in a water-limited soil (Martín-Lammerding et al., 2021; Hueso et al., 2012). All the treatments were subjected to dryland conditions, but the soil moisture content did not significantly differ (p > 0.05) across all treatments (Table 5). Even the microbial activity in the no-fertilizer treatment did not significantly differ from the co-compost + urine (Table A1). These findings explain that, while it is recognized that organic amendments increase organic matter, which boosts microbial activity, their impact within one season was not effective. Even most studies that looked at the effects of organic amendments on microbial activity were done over long term of at least 2 years (Desjardins et al., 2025, Sayre et al., 2023, Wang and Jiao, 2022). Further, calling for long-term monitoring of the relationship between organic fertilizer amendment and improved soil moisture retention in dryland agriculture.
Variations in organic fertilizer quality, such as C: N ratio, pH, nutrient content, organic matter decomposability, type of organic matter, and maturity, contribute to microbial activity. Characteristics of organic amendments used are shown in Table 2. Chicken manure has high N content (5%) compared to co-compost (1.2%). The C: N ratio plays a role in microbial activity; soil amendments with high C: N ratios have low decomposition rates because microbes have to source N from somewhere, while low C: N ratios provide a balance between required C and N (Li et al., 2018), and initiate protein synthesis required for enzymes and reproduction (Wang and Jiao, 2022), leading to higher microbial biomass. The higher NPK content in chicken manure (Table 2) explains higher microbial activities in the soil compared to the use of co-compost, regardless of the time frame. When it comes to the time frame Jin et al. (2022), found that a single-season application of chicken manure was enough to change the microbial soil processes.
Another possibility could be the stability of the amendment used. Poorly decomposed organic amendments with high moisture content trigger microbial activities because of high concentrations of readily available organic matter, nutrients, microbial loads, and a shift in soil microbial structure (Liu X. et al., 2023). The co-compost used was stabilized by composting for over 5 months, which allowed organic matter to degrade; hence, its application in soil could not trigger microbial activity, just like unstabilized chicken manure. Urra et al. (2019) confirmed that fresh unstabilized chicken and horse manure increase soil microbial activity due to the presence of organic N and P forms. Some studies attributed higher microbial activity in chicken manure-amended soil to changes in soil microbial community structure (Chen et al., 2023; Jin et al., 2022). The studies that reported similar results of chicken manure, although it was not clearly mentioned to be composted, were done for 2 years in soils with a pH of 8.8 (Chen et al., 2023).
The presence of xenobiotics such as heavy metals and micropollutants sewage sludge-derived co-compost is raising significant concerns about their ecotoxicity. High concentrations of heavy metals affect soil microbial activities by disrupting cationic exchange processes while altering soil pH (Abd-Elhalim et al., 2025). However, the sewage sludge-derived co-compost was low in heavy metals, which was below the South African fertilizer legislation standard limits (Table 2). Even the co-compost pH was within the optimum ranges for agricultural use, and the reported soil pH did not significantly differ (Table 5). Meaning that the co-compost was environmentally safe for agricultural use. However, Panneerselvam et al. (2022) discussed the importance of micropollutants such as drugs and pesticides, which might find their way into the wastewater treatment system, contaminating the resulting sludge. Micropollutants are deemed emerging contaminants because there are no consistent regulations to guide their use against ecotoxicity (Yu et al., 2025; Häfner et al., 2023; Gul et al., 2022). This is one of the grey areas in the use of human excreta-derived fertilizers, requiring further studies.
Higher microbial activity is not always good for agriculture because increased microbial biomass immobilizes inorganic N, making it unavailable for crop uptake. Meaning that co-compost is a good soil amendment in dryland agriculture because of its C: N ratio from mixing organic garden waste and sewage sludge.
Closing nutrient loops and enhancing soil health using biobased fertilizers such as urine and co-compost is important. The findings showed that even the microbial activity in co-compost + urine, urine, and fertilizer treatments was significantly (p < 0.05) lower than no-fertilizer amendment (Table 5). This was not expected because organic carbon from co-compost and mineral nutrients provided by urine were supposed to boost microbial activity. There are mixed findings on this matter in the literature. Yu et al. (2025) found that the application of human urine in soil can increase microbial activity due to the presence of urea, which stimulates urease activity, as well as the presence of dissolved organic carbon and a shift in soil pH due to an increase in electrical conductivity. This was reported in similar studies, whereby the addition of bovine urine increased microbial activity after stimulating ammonium-nitrifying bacteria (Orwin et al., 2010). Despite high soil salinity due to the use of urine, the microbial activity still increases in a similar way to applying inorganic fertilizers (Rumeau et al., 2024), which is consistent with the lack of significant differences between urine and fertilizer treatments. However, higher microbial activity in non-amended soil shows that the application of amendments altered natural processes in the short run. A meta-analysis by Liu W. et al. (2023) found that there are various factors that can stimulate microbial activity, an initial change in soil pH being one of them. However, this cannot be a cause in this case because the soil pH did not significantly differ across all treatments (Table 5). As confirmed in literature, sometimes the application of urine fertilizers elevates the soil salinity, shifting the microbial balance by reducing the microbial balance of sensitive microbes such as Bacillota (Yu et al., 2025). The same applies to the use of inorganic fertilizers (Carrascosa et al., 2023; Lian et al., 2022). A > 25% decline in microbial activities in the soil amended with inorganic fertilizers was also reported (Elbl et al., 2019). A stable soil ecosystem is created when inorganic fertilizers are applied together with manure or organic amendments (Lian et al., 2022). Reduction of microbial activity after the use of co-compost and urine could have been triggered by microbial stress. Microbial stress in this context refers to the ability of microorganisms to adapt to adverse conditions such as pH, temperature, and other extreme conditions (Abdul Rahman et al., 2021). Some microorganisms may succumb due to their inability to synthesize proteins that help them adapt to environmental stresses, as was evidenced in studies done using cow urine (Bertram, 2009). However, in this juncture, the influence of soil salinity in response to the use of urine is not a factor because the electrical conductivity did not significantly differ (p > 0.05) across all treatments (Table 5). Underscoring the need for further investigations into this matter with longer-term studies, as proposed by Yu et al. (2025).
3.3.3 Enzymatic activity
The sum of metabolic processes taking place in the soil can be determined by enzymatic activities. This section digs deep into specific enzymes responsible for nutrient cycling. During microbial degradation of organic matter in the soil, enzymes such as β-Glucosidase are released to break down β-1,4-glycosidic bonds in glucosides, oligosaccharides, and various glycoconjugates, including cellulose from organic matter (Adetunji et al., 2017; Bastida et al., 2008; Ansari et al., 2023). When it comes to nitrogen cycling, urease enzymes hydrolyze urea into ammonium-N, which, depending on soil ecological factors such as pH, can further be nitrified by nitrifying bacteria into plant bioavailable forms (Yu et al., 2025). However, both the urease and the β-Glucosidase activities in this study did not significantly differ across all the treatment groups (p > 0.05) (Table 5). This further explains that the higher microbial activities in chicken manure were not linked to the amendments applied. This is further supported by the fact that the soil active carbon (labile carbon) pool, which serves as the readily available food source for microbes (Orwin et al., 2010; Sayre et al., 2023; Li et al., 2024) did not significantly change in response to the amendments applied. This implies that the application time frame and loading rates could have been very short to show significant changes in the soil. Most studies were done for 2 years or beyond (Ansari et al., 2023; Liu W. et al., 2023; Drosos et al., 2023). Therefore, the six-month experimental period, although during the rainy season of the study site, which received 1,656 mm of rainfall (Figure 1C), was not enough to influence soil health.
3.3.4 Nitrogen and phosphorus mineralization
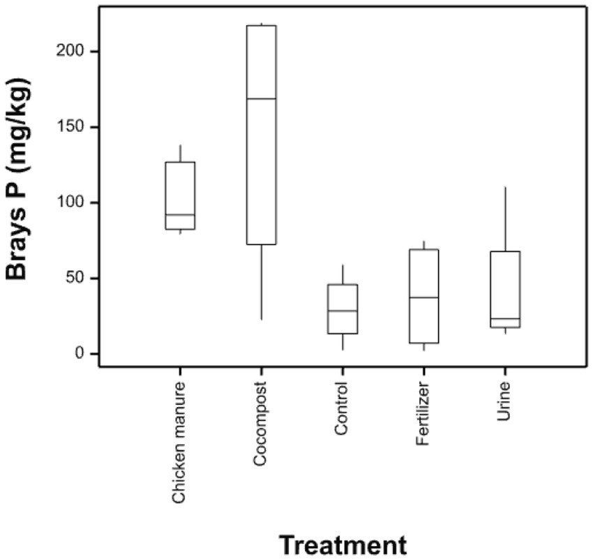
Table 5 reports on N mineralization and extractable P results. The N mineralization rate did not significantly differ amongst all treatments (p > 0.05), while extractable P significantly differed (p < 0.05). Chicken manure and co-compost had significantly higher median values of extractable P. This is attributed to relatively high extractable P concentrations in organic amendments (Table 2). This cannot be linked to P mineralization, because the acid and alkaline phosphatase activities did not significantly differ in all treatments (Table 5). Several studies have confirmed that the P in untreated urine is generally lower than N and K, and these are lower than in an inorganic fertilizer (Jönsson et al., 2004; Richert et al., 2010; Alemayehu et al., 2020). Low concentrations of extractable P in soils that were applied inorganic fertilizer resulted from high solubility of Single Super Phosphate, uptake by plants, or loss from the topsoil. Organic matter increases the surface area for soil P adsorption capacity, allowing soils to capture and retain inorganic phosphates. This explains why the co-compost and urine combination and chicken manure had higher extractable P median values. The ability of organic amendments such as co-compost to improve nutrient retention by creating adsorption sites that retain cations and anions is well-documented and recommended from environmental and agronomic perspectives (Urra et al., 2019; Snyman et al., 2006; Fuhrmann et al., 2022). The only challenge is when phosphorus is transported to nearby water bodies through surface runoff, and causes pollution if proper slope management strategies are not put in place (Sharpley, 2016).
3.3.5 Microbial community
Microbial activity may not be a good indicator of soil health in the short run, as it did not show the activity of beneficial microbes around nutrient cycling. Lower microbial activities were observed in co-compost, urine, and even in inorganic fertilizer-amended soils, while relatively higher in the chicken manure and even in unamended soils. Some other soil biodiversity indicators, such as the Shannon Index, the Simpson Index, and Species richness, can be used as soil health indicators. The Shannon index quantifies the diversity of microbial communities by integrating the number of different species (richness) and their relative abundance (Meng et al., 2016). This has been used in various agroecosystems to assess the effects of various management practices on soil microbial diversity (Meng et al., 2016; Sayre et al., 2023; Drosos et al., 2023). These indicators did not significantly differ across all the treatments (Table 5), indicating that the short-term use of the organic amendments did not significantly change microbial diversity, regardless of notable differences in soil organic carbon compositions and microbial activity. This clearly shows that the microbial responses to organic amendments was not significant over the studied period.
3.4 Groundwater contamination
The sewage sludge is a byproduct of the wastewater treatment processes, whose quality depends on anthropogenic activities from wastewater generation to the final destination. Stormwater intrusion and illegal discharge of industrial waste introduce heavy metals into the wastewater treatment system. Therefore, to safeguard the use of sewage sludge-derived fertilizers, there are regulations to limit the concentrations of heavy metals and pathogens. When it comes to pathogens of concern, E. coli, helminths, and Salmonella are used as indicators. However, the heavy metals accumulation was not included in the study because the product used complied with the South African legislation. In this case, E. coli was monitored due to potential regrowth after treatment (Sharma and Reynnells, 2016; Kim et al., 2009; Zaleski et al., 2005). Based on findings in Table 6, E. coli was not detected in groundwater because of the thermophilic sludge treatment processes that deactivated microorganisms (RUNRES, 2023). The same applies to nitrates, produced from microbial processes, which, due to their negative charge, easily leach in the soil, causing blue baby syndrome to consumers using groundwater. Its absence from groundwater is a good indicator of public health safety. Even though E. coli was not detected; potential pathogen risks from biosolids should not be overruled. Therefore, the standard multibarrier approaches recommended by WHO, as well as monitoring the groundwater, should always be implemented. The South African Guideline for utilization and disposal of sewage sludge recommends that nutrients be monitored before and after each planting, while trace elements be monitored at least once in 5 years on each receiving soil (Snyman et al., 2006).

Table 6. Groundwater sampling results for E. coli and nitrate before planting and 6 months after crop establishment.
4 Conclusions and recommendations
4.1 Conclusion
This study examined the short-term effects of sewage sludge-derived co-compost and urine on crop yield, soil health, and potential groundwater contamination under dryland farming. Chili yields showed no significant differences among treatments, likely due to the soil’s inherent fertility, harvesting practices, and favorable climatic conditions.
In terms of soil health, organic carbon, microbial activity, and extractable phosphorus (P) responded significantly to treatments. Both co-compost + urine and chicken manure increased soil organic carbon, demonstrating their potential for carbon sequestration. However, microbial activity was lower in the co-compost + urine treatment compared to the no-fertilizer and chicken manure treatments. This reduction may have been caused by urine-induced stress on microbial processes, though the short study duration prevents firm conclusions and highlights the need for further research.
Microbial enzymatic activity (urease and β-glucosidase) and microbial diversity (Shannon Index) did not differ significantly among treatments (p > 0.05), underscoring the importance of long-term studies. Such studies could better capture the effects of repeated organic matter additions on soil physical and chemical properties, microbial communities, and their functions. Extractable P was significantly higher with co-compost + urine and chicken manure amendments. Yet, acid and alkaline phosphatase enzyme activities showed no significant differences across treatments, suggesting that organic matter degradation was insufficient to release additional nutrients. Thus, these organic amendments appear to have served as direct sources of bioavailable P rather than stimulating soil enzymatic activity. When it comes to safety concerns, the studies showed no significant change in E. coli and nitrate content in groundwater. Overall, the findings indicate that sewage sludge-derived co-compost combined with urine has potential for nutrient recycling and carbon sequestration in dryland agriculture.
4.2 Recommendations
Sewage sludge-derived co-compost and urine can be used as an organic fertilizer to ameliorate degraded sandy soils and provide nutrients such as P. However, management practices to control the effects of salinity through urine dilution to minimize potential challenges to the soil microbiota and soil erosion management practices are essential to protect the environment from pollution. Although there were no pathogen and nutrient contamination risks on nearby groundwater resources, adhering to the WHO Sanitation Safety Planning guidelines is essential.
4.3 Limitations of the study
Due to budget constraints, other soil health measurement methods, such as qPCR, were not done to assess actual microbial communities and link them to specific nutrient cycling. The study was done in a single season and at one specific site, which limits its generalizability to other areas. Future studies should extend monitoring to at least 2 years across ≥2 agro-ecological sites, retaining the current treatment structure while adding a co-compost isolate urine effects. A comprehensive agronomic panel will pair yield and profitability metrics with quarterly soil-health diagnostics and microbial community profiling via qPCR/amplicon sequencing to address the present study’s methodological gap. Environmental safety assessments will expand from the 6-month snapshot to quarterly groundwater monitoring (nitrate, ammonium, phosphate, EC, E. coli, Salmonella, and helminths) and semi-annual soil/heavy-metal screening, embedded within a WHO Sanitation Safety Planning framework. Data will be analyzed with mixed-effects longitudinal models and used to parameterize mineralization and risk models to enable extrapolation to other regions and seasons, directly responding to the limitations identified here.
Data availability statement
The original contributions presented in the study are included in the article/Supplementary material, further inquiries can be directed to the corresponding author.
Author contributions
WM: Project administration, Formal analysis, Visualization, Writing – original draft, Funding acquisition, Supervision, Data curation, Software, Methodology, Conceptualization, Validation, Investigation. NN: Validation, Writing – review & editing, Formal analysis, Data curation, Investigation. BO: Conceptualization, Writing – review & editing. TB: Writing – review & editing, Formal analysis, Investigation, Data curation. AO: Writing – review & editing, Resources, Funding acquisition, Visualization, Supervision, Conceptualization, Project administration. SO: Supervision, Resources, Writing – review & editing, Conceptualization, Funding acquisition, Project administration.
Funding
The author(s) declare that financial support was received for the research and/or publication of this article. This study was funded by the Water Research Commission (WRC) of South Africa (Grant No. WRC C2021/2022-00603).
Conflict of interest
The authors declare that the research was conducted in the absence of any commercial or financial relationships that could be construed as a potential conflict of interest.
Generative AI statement
The authors declare that no Gen AI was used in the creation of this manuscript.
Any alternative text (alt text) provided alongside figures in this article has been generated by Frontiers with the support of artificial intelligence and reasonable efforts have been made to ensure accuracy, including review by the authors wherever possible. If you identify any issues, please contact us.
Publisher’s note
All claims expressed in this article are solely those of the authors and do not necessarily represent those of their affiliated organizations, or those of the publisher, the editors and the reviewers. Any product that may be evaluated in this article, or claim that may be made by its manufacturer, is not guaranteed or endorsed by the publisher.
Supplementary material
The Supplementary material for this article can be found online at: https://www.frontiersin.org/articles/10.3389/fsufs.2025.1616479/full#supplementary-material
References
Abd-Elhalim, B. T., Gideon, M., Anton, K., and Boyi, M. O. (2025). Impact of dumpsite compost on heavy metal accumulation in some cultivated plants. BMC. Res. Notes 18:20. doi: 10.1186/s13104-025-07083-9
Abdul Rahman, N. S. N., Abdul Hamid, N. W., and Nadarajah, K. (2021). Effects of abiotic stress on soil microbiome. Int. J. Mol. Sci. 22. doi: 10.3390/ijms22169036
Abebe, Y. A. (2010). Managing the soil water balance of hot pepper (Capsicum annuum L.) to improve water productivity. PhD Agronomy, University of Pretoria.
Adam, G., and Duncan, H. (2001). Development of a sensitive and rapid method for the measurement of total microbial activity using fluorescein diacetate (FDA) in a range of soils. Soil Biol. Biochem. 33, 943–951. doi: 10.1016/S0038-0717(00)00244-3
Adetunji, A. T., Lewu, F. B., Mulidzi, R., and Ncube, B. (2017). The biological activities of β-glucosidase, phosphatase and urease as soil quality indicators: a review. J. Soil Sci. Plant Nutr. 17, 794–807. doi: 10.4067/S0718-95162017000300018
Adey, S., Kotze, C., and Rijkenberg, F. (2004). Small-scale farming in KwaZulu-Natal: Experiences from some 'promising pockets'. Seeds of Transition: Essays on novelty production, niches ans regimes in agriculture. Wageningen, Netherlands: Wageningen University.
Alemayehu, Y. A., Demoz, A. A., Degefu, M. A., Gebreeyessus, G. D., and Demessie, S. F. (2020). Effect of human urine application on cabbage production and soil characteristics. J. Water Sanit. Hyg. Dev. 10, 262–275. doi: 10.2166/washdev.2020.136
Ansari, J., Eivazi, F., Anderson, S. H., and Bardhan, S. (2023). Selected enzyme activities under different land use management in lower Missouri River floodplain soils. Commun. Soil Sci. Plant Anal. 55, 27–39. doi: 10.1080/00103624.2023.2259429
Anyega, A. O., Korir, N. K., Beesigamukama, D., Changeh, G. J., Nkoba, K., Subramanian, S., et al. (2021). Black soldier Fly-composted organic fertilizer enhances growth, yield, and nutrient quality of three key vegetable crops in sub-Saharan Africa. Front. Plant Sci. 12:680312. doi: 10.3389/fpls.2021.680312
APHA, AWWA & WEF (2017). Standard methods for the examination of water and wastewater. Washington, USA: American Public Health Association.
Back, J. O., Rivett, M. O., Hinz, L. B., Mackay, N., Wanangwa, G. J., Phiri, O. L., et al. (2018). Risk assessment to groundwater of pit latrine rural sanitation policy in developing country settings. Sci. Total Environ. 613–614, 592–610. doi: 10.1016/j.scitotenv.2017.09.071
Bastida, F., Kandeler, E., Moreno, J. L., Ros, M., García, C., and Hernández, T. (2008). Application of fresh and composted organic wastes modifies structure, size and activity of soil microbial community under semiarid climate. Appl. Soil Ecol. 40, 318–329. doi: 10.1016/j.apsoil.2008.05.007
Bertram, J. E. (2009). Effects of cow urine and its constituents on soil microbial populations and nitrous oxide emissions. Doctor of Philosophy, Lincoln University.
Cao, H., Chen, R., Wang, L., Jiang, L., Yang, F., Zheng, S., et al. (2016). Soil pH, total phosphorus, climate and distance are the major factors influencing microbial activity at a regional spatial scale. Sci. Rep. 6:25815. doi: 10.1038/srep25815
Carrascosa, A., Pascual, J. A., Lopez-Garcia, A., Romo-Vaquero, M., De Santiago, A., Ros, M., et al. (2023). Effects of inorganic and compost tea fertilizers application on the taxonomic and functional microbial diversity of the purslane rhizosphere. Front. Plant Sci. 14:1159823. doi: 10.3389/fpls.2023.1159823
CCME (2005). Guidelines for Compost Quality. Ontario, Canada: Canadian Council of Ministers of the Environment.
Chen, D., Zou, J., Chen, D., He, X., Zhang, C., Li, J., et al. (2023). Chicken manure application alters microbial community structure and the distribution of antibiotic-resistance genes in rhizosphere soil of Cinnamomum camphora forests. FEMS Microbiol. Ecol. 99, 1–12. doi: 10.1093/femsec/fiad155
Desjardins, M., Ippolito, J. A., Bary, A. I., Cappellazzi, S. B., Liptzin, D., and Griffin-Lahue, D. (2025). Long-term biosolids applications improve key soil health functions for semi-arid dryland systems. Sci. Total Environ. 997:180130. doi: 10.1016/j.scitotenv.2025.180130
DFFE (2019). Draft national norms and standards for organic waste composting. Pretoria, South Africa: Department of Fisheries, Forestry and Environment.
Drosos, M., Orlando, M., Cozzolino, V., Scopa, A., and Piccolo, A. (2023). Deriving the Shannon index from the soil molecular Humeome serves as a descriptor of soil organic matter stability under different cropping systems. Chem. Biol. Technol. Agric. 10:105. doi: 10.1186/s40538-023-00473-w
Elagib, N. A., Ali, M. M. A., and Musa, A. A. (2024). Intensifying droughts render more Sahel drylands unsuitable for cultivation. Sci. Total Environ. 954:176390. doi: 10.1016/j.scitotenv.2024.176390
Elbl, J., Maková, J., Javoreková, S., Medo, J., Kintl, A., Lošák, T., et al. (2019). Response of microbial activities in soil to various organic and mineral amendments as an indicator of soil quality. Agronomy 9:485. doi: 10.3390/agronomy9090485
Fendel, V., Kranert, M., Maurer, C., Garcés-Sánchez, G., Huang, J., and Ramakrishna, G. (2022). The impact of using co-compost on resource management and resilience of smallholder agriculture in South India. Environments 9, 1–16. doi: 10.3390/environments9110143
Fuhrmann, A., Wilde, B., Conz, R. F., Kantengwa, S., Konlambigue, M., Masengesho, B., et al. (2022). Residues from black soldier fly (Hermetia illucens) larvae rearing influence the plant-associated soil microbiome in the short term. Front. Microbiol. 13, 1–19. doi: 10.3389/fmicb.2022.994091
Furtak, K., and Gałązka, A. (2019). Edaphic factors and their influence on the microbiological biodiversity of the soil environment. Adv. Microbiol. 58, 375–384. doi: 10.21307/PM-2019.58.4.375
Girmay, G., and Wale, A. (2019). Determination of irrigation regime for hot pepper (Capsicum annum L.) in dry-land areas of wag-Himra, north eastern Amhara, Ethiopia. Arch. Agric. Environ. Sci. 4, 101–100. doi: 10.26832/24566632.2019.0401016
Gul, B., Naseem, M. K., Malik, W.-U.-N., Gurmani, A. R., Mehmood, A., and Rafique, M. (2022). “Environmental micropollutants and their impact on human health with special focus on agriculture” in Hazardous environmental Micro-pollutants, health impacts and allied treatment technologies. eds. T. Ahmed and M. Z. Hashmi (Cham: Springer International Publishing).
Häfner, F., Monzon Diaz, O. R., Tietjen, S., Schröder, C., and Krause, A. (2023). Recycling fertilizers from human excreta exhibit high nitrogen fertilizer value and result in low uptake of pharmaceutical compounds. Front. Environ. Sci. 10, 1–21. doi: 10.3389/fenvs.2022.1038175
Hueso, S., García, C., and Hernández, T. (2012). Severe drought conditions modify the microbial community structure, size and activity in amended and unamended soils. Soil Biol. Biochem. 50, 167–173. doi: 10.1016/j.soilbio.2012.03.026
Jin, H., Zhang, D., Yan, Y., Yang, C., Fang, B., Li, X., et al. (2022). Short-term application of chicken manure under different nitrogen rates alters structure and co-occurrence pattern but not diversity of soil microbial community in wheat field. Front. Microbiol. 13:975571. doi: 10.3389/fmicb.2022.975571
Jönsson, H., Stintzing, A. R., Vinnerås, B., and Salomon, E. (2004). Guidelines on the Use of Urine and Faeces in Crop Production. Stockholm Environment Institute.
Kamanga, R. M., Matuntha, I., Chawanda, G., Phiri, N. M., Chasweka, T., Dzimbiri, C., et al. (2024). Exploration of agronomic efficacy and drought amelioration ability of municipal solid-waste-derived co-compost on lettuce and maize. Sustainability 16, 1–22, doi: 10.3390/su162310548
Karlen, D. L., Stott, D. E., and Mikha, M. M. (2021). Approaches to soil health analysis (Soil Health series, Volume 1). Hoboken, NJ: Wiley.
Khaitov, B., Umurzokov, M., Cho, K.-M., Lee, Y.-J., Park, K. W., and Sung, J. (2019). Importance and production of chilli pepper; heat tolerance and efficient nutrient use under climate change conditions. Korean J. Agric. Sci. 46, 769–779. doi: 10.7744/kjoas.20190059
Kim, J., Luo, F., and Jiang, X. (2009). Factors impacting the regrowth of Escherichia coli O157: H7 in dairy manure compost. J. Food Prot. 72, 1576–1584. doi: 10.4315/0362-028X-72.7.1576
KZNDARD (2019). Vegetable production in KwaZulu-Natal: Expected yields. Pietermaritzburg, South Africa: KZNDARD.
Li, L., Xu, M., Eyakub Ali, M., Zhang, W., Duan, Y., and Li, D. (2018). Factors affecting soil microbial biomass and functional diversity with the application of organic amendments in three contrasting cropland soils during a field experiment. PLoS One 13:e0203812. doi: 10.1371/journal.pone.0203812
Li, M., Zhang, X., Xin, X., Yang, W., Zhong, X., Liu, Y., et al. (2024). Characteristics of organic amendments induce diverse microbial metabolisms for exogenous C turnover in Mollisols. Appl. Soil Ecol. 203:105681. doi: 10.1016/j.apsoil.2024.105681
Lian, J., Wang, H., Deng, Y., Xu, M., Liu, S., Zhou, B., et al. (2022). Impact of long-term application of manure and inorganic fertilizers on common soil bacteria in different soil types. Agric. Ecosyst. Environ. 337, 1–9. doi: 10.1016/j.agee.2022.108044
Liebenberg, A., Van Der Nest, J. R., Hardie, A. G., Labuschagne, J., and Swanepoel, P. A. (2020). Extent of soil acidity in no-tillage systems in the Western Cape Province of South Africa. Land 9:17. doi: 10.3390/land9100361
Liu, X., Yang, W., Li, W., Ali, A., Chen, J., Sun, M., et al. (2023). Moderate organic fertilizer substitution for partial chemical fertilizer improved soil microbial carbon source utilization and bacterial community composition in rain-fed wheat fields: current year. Front. Microbiol. 14:1190052. doi: 10.3389/fmicb.2023.1190052
Liu, W., Yang, Z., Ye, Q., Peng, Z., Zhu, S., Chen, H., et al. (2023). Positive effects of organic amendments on soil microbes and their functionality in agro-ecosystems. Plants (Basel) 12, 1–13. doi: 10.3390/plants12223790
Louw, S. V. D. M., Wilson, J. R. U., Janion, C., Veldtman, R., Davies, S. J., and Addisons, M. (2014). Unknown underworld: understanding soil health in South Africa. S. Afr. J. Sci. 110, 1–4. doi: 10.1590/sajs.2014/a0064
Lucchetta, M., Romano, A., Alzate Zuluaga, M. Y., Fornasier, F., Monterisi, S., Pii, Y., et al. (2023). Compost application boosts soil restoration in highly disturbed hillslope vineyard. Front. Plant Sci. 14:1289288. doi: 10.3389/fpls.2023.1289288
Mamera, M., Van Tol, J. J., Aghoghovwia, M. P., Nhantumbo, A. B. J. C., Chabala, L. M., Cambule, A., et al. (2021). Potential use of biochar in pit latrines as a faecal sludge management strategy to reduce water resource contaminations: a review. Appl. Sci. 11, 1–17. doi: 10.3390/app112411772
Manson, A., Bainbridge, S., and Thibaud, G. (2020). Methods used for analysis of soils and plant material by Analytical Services at Cedara. Pietermaritzburg, South Africa.
Martín-Lammerding, D., Gabriel, J. L., Zambrana, E., Santín-Montanyá, I., and Tenorio, J. L. (2021). Organic amendment vs. mineral fertilization under minimum tillage: changes in soil nutrients, soil organic matter, biological properties and yield after 10 years. Agriculture 11:700. doi: 10.3390/agriculture11080700
Maynard, D. G., Kalra, Y. P., and Crumbaugh, J. A. (2007). “Nitrate and exchangeable ammonium nitrogen” in Soil sampling and methods of analysis. eds. M. R. Carter and E. G. Gregorich (New York, USA: CRC Press).
Meng, J., Li, L., Liu, H., Li, Y., Li, C., Wu, G., et al. (2016). Biodiversity management of organic orchard enhances both ecological and economic profitability. PeerJ 4:e2137. doi: 10.7717/peerj.2137
Montgomery, D. R., and Biklé, A. (2021). Soil health and nutrient density: beyond organic vs. conventional farming. Front. Sustain. Food Syst. 5, 1–14. doi: 10.3389/fsufs.2021.699147
Muneer, M. A., Hou, W., Li, J., Huang, X., Ur Rehman Kayani, M., Cai, Y., et al. (2022). Soil pH: a key edaphic factor regulating distribution and functions of bacterial community along vertical soil profiles in red soil of pomelo orchard. BMC Microbiol. 22:38. doi: 10.1186/s12866-022-02452-x
NASA (2022). Nasa prediction of worldwide energy resources (power) | Data Access Viewer (DAV). Washington, USA: NASA.
Ngasala, T. M., Masten, S. J., and Phanikumar, M. S. (2019). Impact of domestic wells and hydrogeologic setting on water quality in peri-urban Dar Es Salaam, Tanzania. Sci. Total Environ. 686, 1238–1250. doi: 10.1016/j.scitotenv.2019.05.202
Nikiema, J., Tanoh-Nguessan, R., Abiola, F., and Cofie, O. O. (2020). Introducing co-composting to fecal sludge treatment plants in Benin and Burkina Faso: A logistical and financial assessment. Colombo, Sri Lanka: International Water Management Institute (IWMI) CGIAR Research Program on ….
Odindo, A. O., Musazura, W., Migeri, S., Hughes, J. C., and Buckley, C. A. (2022) Integrating sustainable agricultural production in the design of low-cost sanitation technologies by using plant nutrients and wastewater recovered from human excreta-derived materials: Final report, Pretoria, South Africa
Ogbazghi, Z. M., Tesfamariam, E. H., and Annandale, J. G. (2016). Modelling n mineralisation from sludge-amended soils across agro-ecological zones: a case study from South Africa. Ecol. Model. 322, 19–30. doi: 10.1016/j.ecolmodel.2015.11.019
Ogbazghi, Z. M., Tesfamariam, E. H., and Annandale, J. G. (2019). Modelling maize grain yield and nitrate leaching from sludge-amended soils across agro-ecological zones: a case study from South Africa. Water SA 45, 663–671. doi: 10.17159/wsa/2019.v45.i4.7548
Orimoloye, I. R. (2022). Agricultural drought and its potential impacts: enabling decision-support for food security in vulnerable regions. Front. Sustain. Food Syst. 6, 1–11. doi: 10.3389/fsufs.2022.838824
Orwin, K. H., Bertram, J. E., Clough, T. J., Condron, L. M., Sherlock, R. R., O’callaghan, M., et al. (2010). Impact of bovine urine deposition on soil microbial activity, biomass, and community structure. Appl. Soil Ecol. 44, 89–100. doi: 10.1016/j.apsoil.2009.10.004
Panneerselvam, P., Mitra, D., Mohanty, B., Mondal, R., and Shadangi, S. (2022). Soil pollution and their impact on soil microorganisms. Environ. Pollut., 70–85.
Peal, A., Evans, B., Ahilan, S., Ban, R., Blackett, I., Hawkins, P., et al. (2020). Estimating safely managed sanitation in urban areas; lessons learned from a global implementation of excreta-flow diagrams. Front. Environ. Sci. 8, 1–13. doi: 10.3389/fenvs.2020.00001
Perez, T., Vergara, S. E., and Silver, W. L. (2023). Assessing the climate change mitigation potential from food waste composting. Sci. Rep. 13:7608. doi: 10.1038/s41598-023-34174-z
Richert, A., Gensch, R., Jönsson, H., Stenström, T., and Dagerskog, L. (2010). Practical guidance on the use of urine in crop production. Stockholm, Sweden: Stockholm Environment Institute (SEI).
RSA (1947). Fertilizers, farm feeds, agricultural remedies and stock remedies act 36 of 1947. Pretoria: Government Gazette.
Rumeau, M., Pistocchi, C., Ait-Mouheb, N., Marsden, C., and Brunel, B. (2024). Unveiling the impact of human urine fertilization on soil bacterial communities: a path toward sustainable fertilization. Appl. Soil Ecol. 201, 1–11. doi: 10.1016/j.apsoil.2024.105471
RUNRES (2023). Success Stories South Africa: Valorization of waste and creation of employment [Online]. Pietermaritzburg, South Africa: University of KwaZulu-Natal.
Sayre, J. M., Wang, D., Lin, J. Y., Danielson, R. E., Scow, K. M., and Mazza Rodrigues, J. L. (2023). Repeated manure inputs to a forage production soil increase microbial biomass and diversity and select for lower abundance genera. Agric. Ecosyst. Environ. 354, 1–9. doi: 10.1016/j.agee.2023.108567
Sekabira, H., Simbeko, G., Feleke, S., Manyong, V., Späth, L., Krütli, P., et al. (2023). Determinants and success of engagement in circular bioeconomy practices in African food systems. Cleaner Circ. Bioecon. 6:100065. doi: 10.1016/j.clcb.2023.100065
Sharma, M., and Reynnells, R. (2016). Importance of soil amendments: survival of bacterial pathogens in manure and compost used as organic fertilizers. Microbiol. Spectr. 4, 1–13. doi: 10.1128/microbiolspec.PFS-0010-2015
Sharpley, A. (2016). Managing agricultural phosphorus to minimize water quality impacts. Sci. Agric. 73, 1–8. doi: 10.1590/0103-9016-2015-0107
Singh, B. K., Munro, S., Reid, E., Ord, B., Potts, J. M., Paterson, E., et al. (2006). Investigating microbial community structure in soils by physiological, biochemical and molecular fingerprinting methods. Eur. J. Soil Sci. 57, 72–82. doi: 10.1111/j.1365-2389.2005.00781.x
Snyman, H., Van Niekerk, A., Herselman, E., and Wilken, J. (2006). Guidelines for the utilisation and disposal of wastewater sludge: Requirements for agricultural use of wastewater sludge. Pretoria, South Africa: Water Research Commission.
STATSSA (2025). Food security in South Africa in 2019, 2022 and 2023: Evidence from the general household survey. Pretoria, South Africa: Statistics South Africa.
Strande, L., Ronteltap, M., and Brdjanovic, D. (2014). Faecal sludge management: Systems approach for implementation and operation. London: IWA Publishing. doi: 10.26530/OAPEN_578132
Suddick, E. C., and Six, J. (2013). An estimation of annual nitrous oxide emissions and soil quality following the amendment of high temperature walnut shell biochar and compost to a small scale vegetable crop rotation. Sci. Total Environ. 465, 298–307. doi: 10.1016/j.scitotenv.2013.01.094
Tesfamariam, E. H., Ogbazghi, Z. M., Annandale, J. G., and Gebrehiwot, Y. (2020). Cost–benefit analysis of municipal sludge as a low-grade nutrient source: a case study from South Africa. Sustainability 12, 1–13. doi: 10.3390/su12239950
Tilley, E., Lüthi, C., Morel, A., Zurbrügg, C., and Schertenleib, R. (2014). Compendium of sanitation systems and technologies. Dübendorf, Switzerland: EAWAG/SANDEC AND WSSCC.
Urra, J., Alkorta, I., Lanzén, A., Mijangos, I., and Garbisu, C. (2019). The application of fresh and composted horse and chicken manure affects soil quality, microbial composition and antibiotic resistance. Appl. Soil Ecol. 135, 73–84. doi: 10.1016/j.apsoil.2018.11.005
van Huyssteen, C. W., and Du Preez, C. C. (2023). “Agricultural land degradation in South Africa” in Impact of agriculture on soil degradation I: Perspectives from Africa, Asia, America and Oceania. eds. P. Pereira, M. Muñoz-Rojas, I. Bogunovic, and W. Zhao (Cham: Springer International Publishing) 325–361. doi: 10.1007/698_2022_922.
Velkushanova, K., Reddy, M., Zikalala, T., Gumbi, B., Archer, C., Ward, B. J., et al. (2021). “Laboratory procedures and methods for characterisation of faecal sludge” in Methods for faecal sludge analysis. eds. K. Velkushanova, L. Strande, M. Ronteltap, T. Koottatep, D. Brdjanovic, and C. Buckley (London, UK: IWA Publishers). doi: 10.2166/9781780409122
Wang, C., and Jiao, R. (2022). Adaptive pathways of microorganisms to cope with the shift from P- to N-limitation in subtropical plantations. Front. Microbiol. 13Y667. doi: 10.3389/fmicb.2022.870667
Wang, K., Wang, G., Qu, R., Huang, W., Zhou, G., Yue, M., et al. (2024). Differential responses of soil microbial and carbon-nitrogen processes to future environmental changes across soil depths and environmental factors. Earths Future 12:e2023ef004085.
WHO (2006). Guidelines for the safe use of wastewater, excreta and greywater: Excreta and greywater use in agriculture. Geneva, Switzerland: World Health Organisation.
Yaseen, R., Aziz, O., Saleem, M. H., Riaz, M., Zafar-Ul-Hye, M., Rehman, M., et al. (2020). Ameliorating the drought stress for wheat growth through application of Acc-deaminase containing Rhizobacteria along with biogas slurry. Sustainability 12, 1–19. doi: 10.3390/su12156022
Yu, G., Wang, Q., Zheng, X., Yang, B., Zhang, C., Zhang, G., et al. (2025). Effects of human urine application on soil physicochemical properties, microbial communities, and enzymatic activities. Front. Agron. 7, 1–14. doi: 10.3389/fagro.2025.1610839
Zaleski, K. J., Josephson, K. L., Gerba, C. P., and Pepper, I. (2005). Survival, growth, and regrowth of enteric indicator and pathogenic bacteria in biosolids, compost, soil, and land applied biosolids. J. Residuals Sci. Technol. 2, 49–63. Available at: https://hero.epa.gov/hero/index.cfm/reference/details/reference_id/624978 (Accessed September 12, 2025).
Zhao, Z., Zhang, C., Li, F., Gao, S., and Zhang, J. (2020). Effect of compost and inorganic fertilizer on organic carbon and activities of carbon cycle enzymes in aggregates of an intensively cultivated vertisol. PLoS One 15:e0229644. doi: 10.1371/journal.pone.0229644
Zingore, S., Mutegi, J., Agesa, B., Tamene, L., and Kihara, J. (2015). Soil degradation in sub-Saharan Africa and crop production options for soil rehabilitation. Better Crops. 99, 24–26. Available at: https://hdl.handle.net/10568/68702 (Accessed September 12, 2025).
Zondi, N. E. (2023). Rural community perceptions on land use change and its effects on their agricultural practices in Vulindlela traditional area, KwaZulu-Natal Province of South Africa. S. Afr. J. Agric. Ext. 51, 17–30. doi: 10.17159/2413-3221/2023/v51n4a14013
Appendices

Figure A1. Boxplots showing median values and 25–75% interquartile ranges for extractable P (Brays P) concentrations in five fertilizer amendment treatments (n = 4).
Keywords: biostimulants, circular bioeconomy, climate change, human excreta fertilizers, regenerative agriculture, soil microbiology
Citation: Musazura W, Nkomo N, Otieno B, Badza T, Odindo AO and Ojwach SO (2025) Closing the loop: crop yield response and soil health implications of human excreta-derived fertilizer application in dryland agriculture. Front. Sustain. Food Syst. 9:1616479. doi: 10.3389/fsufs.2025.1616479
Edited by:
Silvia Silvestri, Fondazione Edmund Mach, ItalyReviewed by:
Martina Mazzon, University of Bologna, ItalyModupe Olufemi Doyeni, Lithuanian Research Centre for Agriculture and Forestry, Lithuania
Copyright © 2025 Musazura, Nkomo, Otieno, Badza, Odindo and Ojwach. This is an open-access article distributed under the terms of the Creative Commons Attribution License (CC BY). The use, distribution or reproduction in other forums is permitted, provided the original author(s) and the copyright owner(s) are credited and that the original publication in this journal is cited, in accordance with accepted academic practice. No use, distribution or reproduction is permitted which does not comply with these terms.
*Correspondence: William Musazura, d211c2F6dXJhQGdtYWlsLmNvbQ==