ORIGINAL RESEARCH article
Front. Sustain. Food Syst.
Sec. Crop Biology and Sustainability
Optimizing Grass Pea (Lathyrus sativus L.) for Rice-Fallow Systems: Phenotypic and Genetic Insights for Dual-Purpose Breeding
Provisionally accepted- ICAR Research Complex for Eastern Region (ICAR-RCER), Patna, India, Patna, India
Select one of your emails
You have multiple emails registered with Frontiers:
Notify me on publication
Please enter your email address:
If you already have an account, please login
You don't have a Frontiers account ? You can register here
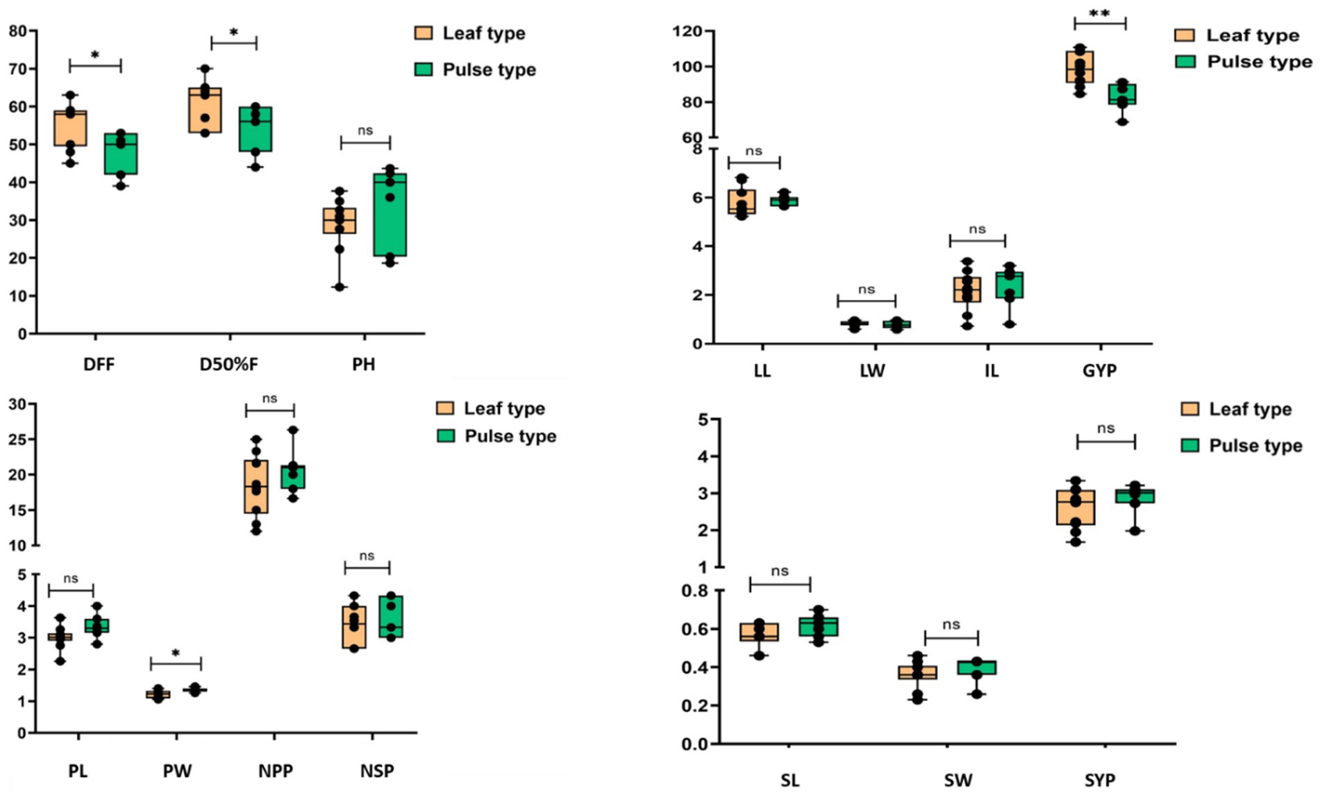
Grass pea (Lathyrus sativus L.), a resilient legume adapted to drought and waterlogged conditions, presents a promising solution for sustainable intensification of rice-fallow systems in South Asia, where ~9.7 million hectares remain uncultivated post-kharif due to moisture and socio-economic constraints. This study evaluated seventeen diverse lines for dual-purpose (leaf and grain) utility, analysing morpho-agronomic traits, imbibition kinetics, and genetic diversity to identify optimal breeding material. Phenotypic characterization revealed significant variation: pulse-type genotypes flowered earlier (mean 47.1 ± 5.8 days) than leaf-types (54.4 ± 5.5 days), with plant height (12.33–43.66 cm), seed yield (1.98– 3.34 g/plant), and leaf yield (28.76-60.71g/plant) showing distinct trade-offs. Correlation analyses highlighted key associations, including strong negative relationships between days to flowering and seed yield (r = -0.750) and between pod length and leaf yield (r = -0.652). Imbibition kinetics varied genotypically, with fast-imbibing lines (e.g., Ratan) suited for rapid establishment in residual moisture, while slow-imbibing types (e.g., 75049) showed potential for waterlogging resilience. Principal component analysis extracted 88.54% of variability into five components, with PC1 (42.23%) representing a yield–flowering time trade-off and PC2 (22.50%) separating broad-leaved from high-seed genotypes. Cluster analysis grouped genotypes into five distinct clusters, with maximum divergence between Clusters II and III (distance = 43.62), while solitary genotypes (Clusters IV–V) emerged as unique genetic resources. These findings provide a roadmap for breeding programs targeting rice-fallow adaptation, emphasizing early flowering for yield optimization, imbibition efficiency for moisture stress adaptation, and strategic utilization of genetically distant clusters (II × III) to maximize heterosis. The study underscores grass pea's potential as a dual-purpose crop to enhance productivity and nutritional security in vulnerable rice-fallow systems.
Keywords: Lathyrus sativus L., Rice fallows, Dual-purpose crop, imbibition kinetics, Principalcomponent analysis, genetic diversity
Received: 09 May 2025; Accepted: 07 Nov 2025.
Copyright: © 2025 Kumari, Das, Choudhary, Mukherjee, Saurabh, Kumar, Kumar, Pal, Kumar and Kumar. This is an open-access article distributed under the terms of the Creative Commons Attribution License (CC BY). The use, distribution or reproduction in other forums is permitted, provided the original author(s) or licensor are credited and that the original publication in this journal is cited, in accordance with accepted academic practice. No use, distribution or reproduction is permitted which does not comply with these terms.
* Correspondence: Shubha Kumari, shubha.icar@gmail.com
Disclaimer: All claims expressed in this article are solely those of the authors and do not necessarily represent those of their affiliated organizations, or those of the publisher, the editors and the reviewers. Any product that may be evaluated in this article or claim that may be made by its manufacturer is not guaranteed or endorsed by the publisher.
