ORIGINAL RESEARCH article
Front. Sustain. Food Syst.
Sec. Land, Livelihoods and Food Security
Unraveling Sustainable Household Well-being in disaster resettled areas: Multidimensional measurement and determinants
Provisionally accepted- 1Lanzhou University of Finance and Economics, Lanzhou, China
- 2Xi'an University of Architecture and Technology, Xi'an, China
Select one of your emails
You have multiple emails registered with Frontiers:
Notify me on publication
Please enter your email address:
If you already have an account, please login
You don't have a Frontiers account ? You can register here
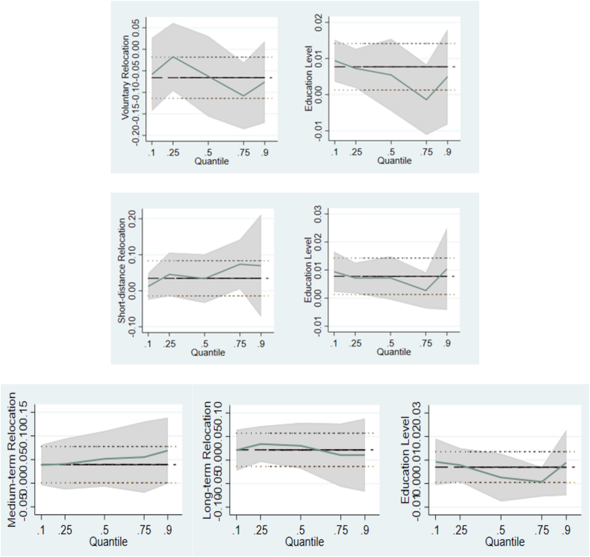
To reduce the threat of natural disasters and promote human well-being, Shaanxi Province, China, relocated 2.4 million people from three cities in the south in 2011. As the largest disaster resettlement project ever implemented in China, its scale, investment, extent, and impact deserve the continuous attention of policy researchers and practitioners. The impact of this project on rural-scale livelihoods and well-being especially needs more empirical evidence and comprehensive assessment. This article refers to the MA (Millennium Ecosystem Assessment) indicator system to measure the sustainable household well-being (SHWB) of disaster resettlement households using survey data from Southern Shaanxi, China. To explore the determinants of the SHWB of disaster resettlement households, this paper employs a quantile regression model for analysis. The results show that, compared to voluntary relocation households, long-distance relocation households, and medium or short-term relocation households, the SHWB of involuntary relocation households, short-distance relocation households, and long-term relocation households, respectively, is not only significantly higher, but also fluctuates greatly. In addition, voluntary relocation has a significant negative impact on SHWB, while short-distance relocation and medium and long-term relocation have a significant positive impact on SHWB. Furthermore, the education level of household members demonstrates a significant positive impact on SHWB. These findings have extensive implications for disaster resettlement and management in China and other developing nations. They are critical to improving the quality of farmers' livelihoods and promoting sustainable well-being for rural households.
Keywords: Sustainable household well-being, Disaster resettlement, Rural households, Southern Shaanxi, China
Received: 25 Jun 2025; Accepted: 17 Nov 2025.
Copyright: © 2025 Zhu, Luo, Zhao, Duan and Liu. This is an open-access article distributed under the terms of the Creative Commons Attribution License (CC BY). The use, distribution or reproduction in other forums is permitted, provided the original author(s) or licensor are credited and that the original publication in this journal is cited, in accordance with accepted academic practice. No use, distribution or reproduction is permitted which does not comply with these terms.
* Correspondence: Wei Liu, lwei@xauat.edu.cn
Disclaimer: All claims expressed in this article are solely those of the authors and do not necessarily represent those of their affiliated organizations, or those of the publisher, the editors and the reviewers. Any product that may be evaluated in this article or claim that may be made by its manufacturer is not guaranteed or endorsed by the publisher.
