- 1ICAR-Indian Institute of Soil and Water Conservation, Chandigarh, India
- 2ICAR-Indian Agricultural Research Institute, New Delhi, India
- 3ICAR-Indian Institute of Water Management, Bhuvneshwar, India
- 4Vasantrao Naik Marathwada Krishi Vidyapeeth, Parbhani, India
Groundwater depletion is a significant sustainability challenge at Rasoolpur Jatan village of Muzaffarnagar district, India. This experiment was conducted in farmer’s field of study area to enhance the conveyance and application efficiency of irrigation water through various water management technologies. Sugarcane is the major crop in the study area, and irrigation is being done through earthen field channels. If irrigation is given at 60 and 65% application efficiency through earthen field channels, then the groundwater table would decline at 0.59 m/yr. and 0.38 m/yr, respectively. To avoid conveyance and seepage losses; pipe distribution network was used with 79% application efficiency. In this case groundwater table would rise by 0.13 m/yr. and when irrigation was given through a drip system with Ea = 90%, groundwater table would rise by 0.37 m/ yr. Groundwater modeling was done to simulate the future groundwater behavior and give the alternate course of management options for sustainable groundwater use strategy. The projected groundwater levels for 2030 under four scenarios are 213.84, 217.20, 225.39, and 229.37 m, respectively. Results suggested that the declining trend of groundwater could be arrested to a greater extent in the study area by enhancing the efficiency of irrigation water by adopting modern irrigation methods (drip and sprinkler system) or farmers should grow high value crops other than sugarcane which have less water requirement.
1 Introduction
Groundwater is a vital source of freshwater globally, serving as a key resource for agricultural, industrial, and domestic water needs (UNESCO, 2022; Famiglietti, 2023). Worldwide groundwater abstraction has shown a rising trend over the last few decades (Doll, 2009; Qureshi et al., 2010). Agriculture accounts for approximately 90.41% of total water consumption in India (FAO, 2010). Of the country’s total irrigated area, about 62.9% is irrigated using groundwater (Siebert et al., 2010). The excessive withdrawal of groundwater is primarily driven by high demand, leading to a significant imbalance between groundwater recharge and extraction. The over-dependence on groundwater has contributed to a widespread decline in water tables, both globally and in many parts of India (Richey et al., 2015; Aeschbach-Hertig and Gleeson, 2012; Famiglietti et al., 2011). Groundwater abstraction at unsustainable rates endangers water and food security, not just locally but also globally through international trade ties (Dalin et al., 2017; Wada et al., 2012; Scanlon et al., 2024). In recent years, centrifugal pumps traditionally used by farmers are increasingly being replaced by submersible pumps due to the declining groundwater table, which requires more energy and cost to extract water for irrigation and other purposes (Patle et al., 2016; Chaturvedi et al., 2022; Gleeson et al., 2023). In the study area, farmers use submersible pumps of varying capacities, all of which are powered by electricity.
The alluvial aquifers of northern India, particularly in states such as Punjab, Haryana, and Uttar Pradesh, are experiencing rapid depletion, raising serious concerns about long-term water security and agricultural sustainability (Jain et al., 2022; MacDonald et al., 2021a). A viable approach is to regulate groundwater abstraction by establishing and enforcing sustainable allocation limits. There is a lot of vertical and horizontal variation in this alluvial aquifer system (Samadder et al., 2011). The hydraulic connection of shallow and deep groundwater in large unconsolidated aquifer systems is generally controlled by regional hydraulic anisotropy (the ratio of horizontal to vertical permeability) (Cardenas and Jiang, 2010; Gassiat et al., 2013; Ren et al., 2021; Sweeney et al., 2023). Implementing groundwater management projects that integrate various water management technologies can offer a more effective approach to ensuring sustainable groundwater use. Groundwater saving by using efficient water management technologies is a promising option to check falling water tables (Sharma and Dubey, 2013; Perrone et al., 2021; Foster et al., 2023). A fundamental requirement for effective groundwater resource management is the accurate quantification of groundwater availability and a comprehensive understanding of hydrogeologic processes (Van der Gun and Lipponen, 2010; Taylor et al., 2021; Richey et al., 2022). Understanding the response of an aquifer system under changed recharge and withdrawal patterns would help to solve potential water resources problems associated with excessive pumping (Butler et al. 2018). Aquifer modeling is a technique for analyzing the behavior of the groundwater regime when it is subjected to spatiotemporal change (Nico and David, 2007). However, because of its tremendous heterogeneity, modeling of an aquifer is a difficult task (MacDonald et al., 2021b; Sefelnasr and Gossel, 2020; Scanlon et al., 2022). Despite a number of challenges, numerous researchers have successfully estimated the regional groundwater budget using numerical models in hard rocks and hilly areas (Majumdar et al., 2009; Rani and Chen, 2010; Surinaidu et al., 2013a, 2013b). The most commonly used approach for studying the response of aquifers involves the use of mathematical groundwater models. Mathematical models can simulate the complex and dynamic nature of aquifer systems and aid in determining how the groundwater system responds to various operational systems for developing a sustainable management plan (Rojano et al., 2021). Many mathematical models are available to forecast aquifer response to various management scenarios (Ahmed et al., 2022; Scanlon et al., 2022).
Simulation models have been widely employed to enhance conceptual understanding of groundwater recharge and discharge processes, evaluate the impacts of various management strategies on groundwater resources, and assess how changes in land use affect both the quality and quantity of groundwater (Kong et al., 2010; Xu et al., 2011; Barthel et al., 2012; Singh et al., 2020; Gupta and Kumar, 2021). To simulate the IARI aquifer system, Mali and Singh (2016) utilized MODFLOW, a three-dimensional finite-difference groundwater flow model, and examined the impacts of varying groundwater extraction rates and artificial recharge on the water table. Patle et al. (2018) employed the HYDRUS-1D and MODFLOW models to simulate recharge flux at the water table and fluctuations in groundwater levels for the Karnal district of Haryana, India. Sayana et al. (2010) used Visual MODFLOW (version 4.1) to evaluate the effectiveness of recharge wells and a percolation pond within the campus of St. Peter’s Engineering College in Avadi, near Chennai, India. Similarly, Calderhead et al. (2012) employed MODFLOW, a three-dimensional groundwater flow model coupled with a one-dimensional compaction module to investigate groundwater management scenarios in the Toluca Valley, Mexico. They proposed a management strategy for reducing land subsidence and ran simulations based on four primary parameters: recharge, exports to neighbouring basins, local consumption, and relocating pumping stations. Kumar et al. (2023), Gao et al. (2022), and Singh et al. (2021) highlighted the effectiveness of MODFLOW in evaluating groundwater responses under various management scenarios, thereby supporting sustainable aquifer planning and resource conservation. Therefore, MODFLOW (McDonald and Harbaugh, 1988), a three-dimensional groundwater flow model, was utilised to simulate the aquifer system in this study.
Accelerated groundwater depletion poses a serious challenge in many developing countries (Aeschbach-Hertig and Gleeson, 2012; Margat and Van der Gun, 2013; Wada and Bierkens, 2014; Richey et al., 2015; Mukherjee et al., 2023). Monitoring millions of water users is likely to be inefficient and costly (Shah, 2009; Grafton et al., 2018; Lopez-Gunn et al., 2021). Therefore, a small area of Western Uttar Pradesh was selected for the present study. The study area is known for intensive agriculture, with sugarcane as the dominant crop, followed by rice and wheat. These are high water-demanding crops, and as a result of intensive groundwater abstraction, groundwater levels have been declining rapidly over the past decade (Reddy et al., 2020; Jain et al., 2021; FAO, 2022). Due to the deeper water table, low-horsepower pumps are rarely used by farmers. Some parts of the study area are classified as over-exploited, while others fall into semi-critical, critical, or even dark zones (CGWB, 2017). With an increasing population and continued agricultural development, groundwater extraction is expected to rise further. Therefore, it is essential to study groundwater fluctuations under various water management technologies to develop a sustainable groundwater use strategy. In agricultural areas, irrigation is the dominant water use sector, and irrigation efficiency significantly affects both groundwater levels and its long-term sustainability (Shah, 2020). Enhancing irrigation efficiency has a direct impact on groundwater resiliency (Harmanny and Malek, 2019). Improving application efficiency(Ea) through drip or sprinkler systems reduces the volume of groundwater required to meet crop water needs (Pfeiffer and Lin, 2014). This lowers pumping demand, directly decreasing drawdown rates and aquifer depletion (Foster et al., 2010). In many traditional surface irrigation systems (e.g., flood irrigation), part of the applied water percolates back to the aquifer as return flow. When highly efficient systems are adopted, this recharge component decreases, which may reduce natural aquifer replenishment (Perry et al., 2009). At the field scale, higher efficiency typically leads to water savings. Efficient systems help to maintain crop production with less water during droughts (Scott et al. 2014), easing pressure on groundwater pumping and enhancing system resilience under climate variability (Fishman et al., 2011). In India, studies from Gujarat and Maharashtra shows water savings of 30–50% with drip systems, contributing to slower groundwater depletion (Narayanamoorthy, 2004). However, reduced percolation from efficient systems has also decreased aquifer recharge, particularly in hard rock regions with limited natural replenishment (Shah, 2009). Moreover, in some cases, saved water is used to expand irrigated areas.
Globally, countries like Israel and Australia have demonstrated that combining high irrigation efficiency with strict water budgeting and regulation enhances groundwater resilience. As per Israel’s national water policy, precise irrigation and metered usage have stabilized groundwater levels and sustained agricultural output (Tal, 2016). In contrast, in parts of the Western U.S., increased efficiency without caps on water use has led to expanded cultivation and continued aquifer stress (Ward and Pulido-Velazquez, 2008). Thus, improved irrigation efficiency is a key tool for groundwater sustainability, and modeling plays a crucial role in assessing the impact of different management strategies on water table dynamics. The primary objective of this study is to ensure the sustainable use of groundwater resources in the region by improving conveyance and application efficiencies of irrigation water, which could help to slow or halt the decline of the water table.
2 Materials and methods
2.1 Study area
The study area comprises Rasoolpur Jatan village in the Muzaffarnagar district of Uttar Pradesh, India (Figure 1), and is geographically situated between latitudes 29°20′N and 29°23′N, and longitudes 77°33′E and 77°36′E. The elevation of the area ranges from 237 to 245 m above mean sea level. The climate is classified as hot, dry sub-humid, with an average annual rainfall of 873 mm, most of which occurs between July to October. Average winter temperatures range from 7.3 °C to 13.5 °C (minimum) and 18.5 °C to 28.6 °C (maximum), while summer temperatures range from 13.5 °C to 24.6 °C (minimum) and 30 °C to 41 °C (maximum). The highest and lowest temperatures are typically recorded in June and January, respectively. The area experiences an average annual relative humidity of 72%. Soils in the region are predominantly medium-textured and alluvial in nature. Sugarcane is the primary crop, and groundwater is the main source of irrigation. Due to the unregulated use of groundwater, water levels have been declining rapidly in recent years. Daily meteorological data for a 36-year period (1980–2015), including rainfall, minimum and maximum temperature, relative humidity, wind speed, and sunshine duration, were obtained from the India Meteorological Department (IMD). Groundwater level data of 2012 and 2015 were collected from local piezometers installed in the study area. Land use and land cover data were collected from Bhuvan data source1 and details are provided in Table 1, and the corresponding map was developed using ArcGIS 10.2.2. Soil texture is loam as samples were collected from the fields and analysed in the laboratory. Crop water requirements were estimated using the FAO CROPWAT 8.0 model. Aquifer modeling was performed to assess groundwater recharge and water level fluctuations.
2.2 Model conceptualization and discretization of the study area
MODFLOW, a saturated groundwater flow model developed by the U.S. Geological Survey (McDonald and Harbaugh, 1988), was used to simulate three-dimensional groundwater flow in the Rasoolpur Jatan aquifer system. This model was selected due to its widespread adoption and proven reliability in both public and private sectors for simulating groundwater systems. MODFLOW is extensively documented, well-validated, and widely supported, making it a standard tool for groundwater modeling (Harbaugh, 2005; Liu et al., 2010; Xu et al., 2011; Langevin et al., 2017; Wang et al., 2023). It is a physically based numerical model that solves the three-dimensional groundwater flow equation for porous media using the finite-difference method (McDonald and Harbaugh, 1988). Groundwater flow behavior is simulated based on the principles of mass conservation and Darcy’s law (Mahmood et al., 2022; Wang et al., 2023). MODFLOW allows for the use of various boundary conditions and is capable of simulating confined, unconfined, or combined aquifer systems. For model implementation, Processing MODFLOW for Windows (PMWIN), version 5.3, was used to input data and visualize model outputs (Chiang and Kinzelbach, 1998).
MODFLOW is capable of simulating the effects of various hydrological stresses, including groundwater pumping, recharge, and surface water–groundwater interactions. In MODFLOW governing flow equation has been presented below (Equation 1)
where Kxx, Kyy, Kzz are the hydraulic conductivities along x, y and z directions (LT−1), h is the total head (L), W is the volumetric flow of sources and sinks per unit volume (T−1), Ss stands for specific storage (L−1) and t stands for time (T). The MODFLOW manual contains thorough descriptions of the governing flow equations and solution methodologies. The general sequence of activities and modeling procedure is presented as flowchart in Figure 2.
Developing a conceptual model is the first and most crucial step in any groundwater modeling effort. It requires a comprehensive understanding of the area’s hydrogeology, hydrology, and groundwater flow dynamics (Taheri and Zare, 2011; Anderson et al., 2015; Rossman et al., 2020). In this study, a detailed hydrologic and geologic characterization of the Rasoolpur Jatan area was performed using data obtained from secondary sources (CGWB, 2017) and it was found that three distinct aquifer groups are present, extending down to a depth of 463.00 m (CGWB, 2017). The first aquifer, which exhibits spatial variability in thickness, extends to a depth of approximately 185 meters below ground level (mbgl). The majority of the Rasoolpur Jatan area lies on an alluvial aquifer system, where the depth of tube wells ranges from 82.30 m to 88.42 m. These wells are primarily used to extract water from the unconfined first-layer aquifer. The main sources of recharge to this aquifer are rainfall and return flow from agricultural fields. A Digital Elevation Model (DEM) raster file was obtained from Bhuvan data source to analyze surface elevation variations and was used to discretize the study area. The model domain was divided into a grid of 26 rows and 30 columns with a uniform cell size of 80.0 × 80.0 m (Figure 3). Out of the 780 total cells, approximately 250 were located outside the study boundary and were designated as ‘inactive,’ while the remaining 530 cells within the boundary were defined as ‘active’. Time discretization in MODFLOW includes the division of simulation time into stress periods and time steps. In this model, the simulation year was divided into three transient stress periods: July to October (123 days), November to February (120 days), and March to June (122 days). MODFLOW solved the groundwater flow equations on a daily time step basis within each stress period, enabling a realistic simulation of seasonal groundwater dynamics.
2.3 Boundary conditions and model parameters
The observed hydraulic head values from May 2012 were used to define the initial hydraulic head for the groundwater flow model (Table 2). The water table elevations observed during this period were used to generate initial groundwater level contours using the Kriging interpolation method available in ArcGIS 10.2.2. These contours were then imported into MODFLOW as the initial head distribution. To represent subsurface inflows and outflows across the model boundaries, appropriate flow boundary conditions were assigned. The hydraulic conductivity and specific yield values of the aquifers were derived from previous pumping test data and published literature (CGWB, 2017). In the study area, the specific yield of the aquifer ranges from 0.16 to 0.22.
To project future groundwater levels under different scenarios (from 2015 onward), recharge was estimated using the monthly normal rainfall averaged over 36 years. Analysis of the long-term rainfall data revealed that during the non-monsoon period, the time interval between successive rainfall events was large and the rainfall amounts were minimal. As a result, most of the precipitation during this period contributed to building soil moisture or was lost to evaporation, with negligible percolation to the water table. Consequently, rainfall recharge during the non-monsoon months was not considered in this study. Recharge from irrigated return flows was included, as it is significantly influenced by the volume of irrigation water applied, which depends on factors such as crop type, irrigation methods, and on-farm water management practices (GEC, 2009; Doll et al., 2022). In the study area, sugarcane and wheat receive approximately 15 and 4 irrigation events, respectively. A total of 220 tube wells operate for an average of 8 h per day, with an average discharge rate of 16.95 L/s. Accounting for both groundwater draft and return flow, the net groundwater draft from agricultural areas was estimated at 0.0033 m/day. Plant water uptake via capillary rise from the saturated zone was simulated in the model using the evapotranspiration (ET) function. However, in the Rasoolpur Jatan aquifer, the water table lies well below the root zone, making groundwater losses due to ET negligible in this study.
2.4 Model set up, calibration and validation
Transient calibration of the model was carried out by adjusting key parameters within permissible ranges specific to the study area (Ting et al., 1998). The model was calibrated by comparing observed and simulated post-monsoon groundwater levels for the year 2012, with particular focus on optimizing hydraulic conductivity and specific yield values. Following calibration, the model was validated using observed and simulated post-monsoon water table data for the year 2015 to ensure its predictive reliability. The accuracy of the model’s performance was assessed using statistical indicators including Mean Square Error (MSE), Root Mean Square Error (RMSE), and the Coefficient of Determination (R2). These metrics provided a quantitative evaluation of the model’s ability to replicate observed groundwater conditions and were estimated using following (Equations 2–4):
Where, hO, observed head; hS, simulated head; , mean observed head; , mean simulated head; and n, the total number of observations.
2.5 Groundwater management scenarios
In the present study, four groundwater management scenarios were evaluated, each involving different levels of groundwater pumping based on varying irrigation application efficiencies. To measure the conveyance or seepage losses in the irrigation channel a star flow meter was used at the head and tail end of the earthen open channel. A Star flow meter measures the depth of flow, velocity of flow, and discharge. Seepage loss and conveyance efficiency of the earthen channel were estimated from the discharge at the head and the discharge at the tail end of the earthen channel. Five types of submersible pumps were used by farmers in the study area: 15 HP, 12.5 HP, 10 HP, 7.5 HP, and 5 HP, respectively. Due to the deep water table, 5 HP pumps were rarely used. Discharge rates measured in the field for the 15 HP, 12.5 HP, 10 HP, and 7.5 HP pumps were 22.84, 17.92, 13.75, and 13.32 L/s, respectively. Taking into account 220 operational tube wells, each running for 8 h daily at an average discharge rate of 16.95 L/s, the total annual groundwater pumping was calculated to be approximately 409 ha-m. With a village area of 336 ha, the average groundwater draft was estimated at 0.0033 m/day. Groundwater recharge during the monsoon season was estimated using the rainfall infiltration method (GEC, 2009), appropriate for areas with sparse groundwater monitoring. A recharge coefficient of 22% of monthly rainfall was adopted (CGWB, 2009). Additionally, return seepage from irrigated fields was included: 52% for rice, 34% for sugarcane, and 23% for wheat. Thus, recharge from rice, sugarcane, and wheat fields was taken as 0.0013, 0.0006, and 0.00013 m/day, respectively. The groundwater recharge from rainfall in each stress period was calculated as 0.0009, 0.00008, and 0.0005 m/day, respectively. Thus, total groundwater recharge (recharge from rainfall and return seepage from the irrigation field) in each stress period was found to be 0.00293, 0.00211, and 0.00253 m/day, respectively. Net groundwater recharge in each stress period was calculated by subtracting total groundwater draft from total groundwater recharge. Thus, net groundwater recharge in each stress period was found to be −0.00037, −0.00119, and −0.00077 m/day, respectively. Negative signs indicate groundwater withdrawal was more than groundwater recharge in all stress periods, posing a sustainability concern. The same procedure was followed to calculate net groundwater recharge for the rest of the scenarios. The net groundwater draft from agricultural areas was found to be 0.0033 m/day when water was applied through an earthen field channel with 60% application efficiency, and it was considered as a reference scenario for the rest of the scenarios. Three additional scenarios considered improved irrigation methods. Groundwater saving at 65% application efficiency of field channel, 79% application efficiency of pipe distribution network, and 90% application efficiency of drip system are 31.49, 98.16, and 136.30 ha-m, thus groundwater pumping reduced to 0.0030, 0.0025, and 0.0021 m/day, respectively. Future water demand is expected to increase due to population growth and residential expansion in Rasoolpur Jatan, which may further accelerate groundwater depletion if not addressed through efficient water management practices.
Recent studies have identified several effective alternatives for enhancing groundwater recharge and mitigating the continuous decline in water tables (Sufyan et al., 2025). Among these, artificial recharge methods and efficient water management technologies have emerged as promising strategies to reduce groundwater depletion (CGWB, 2011). In this study, the impact of irrigation efficiencies associated with different water management technologies on the Rasoolpur Jatan aquifer system was thoroughly assessed through simulation modeling. To evaluate the potential benefits of improved irrigation practices, various management scenarios were formulated and simulated using the MODFLOW model. These scenarios reflect differing levels of groundwater abstraction and recharge, influenced by changes in application efficiencies. The details of these scenarios, including irrigation methods, efficiencies, and corresponding groundwater savings, are summarized in Table 3.
3 Results
3.1 Calibration and validation of model
The model was calibrated using observed groundwater table (GWT) elevations, during which the coefficient of determination (R2) was found to be 0.94 (Figure 4a), indicating a strong agreement between observed and simulated groundwater levels. The Mean Squared Error (MSE) and Root Mean Square Error (RMSE) values were 0.10 m2 and 0.27 m, respectively, and were within acceptable limits, confirming the reliability of the model. A scatter plot of observed versus simulated water table elevations for the pooled data of tube wells is presented in Figure 4b, further demonstrating a consistent match between modeled and actual measurements. The calibrated model parameters included a hydraulic conductivity of 0.30 m/day and a specific yield of 0.22. For the validation period, the R2 value was 0.93 (Figure 5b), while the MSE and RMSE were 0.16 m2 and 0.40 m, respectively (Table 4). This shows good agreement with observed data. The comparison of predicted and observed groundwater levels (GWT) for this period is shown in Figure 5a, validating the model’s predictive capability.

Figure 4. (a) Comparison of observed and predicted GWT for the calibration period. (b) Scatter plot of observed and predicted GWT for the calibration period.

Figure 5. (a) Comparison of observed and predicted GWT for the validation period. (b) Scatter plot of observed and predicted GWT for the validation period.
3.2 Impact of irrigation efficiencies on groundwater simulations
Farmers in the study village predominantly use unlined, poorly maintained earthen field channels for irrigation. The lowest observed application efficiency for these channels was 60.2% (rounded 60%), which was taken as the baseline for comparison. The predicted water table fluctuations under Scenarios 1 to 4 ranged from −9.47 m to +6.06 m, indicating that enhancing irrigation efficiency through improved water management technologies positively impacts pre-monsoon groundwater levels across all scenarios (Table 5). However, the negative values of water table fluctuations under Scenarios 1 and 2 reflect a continued decline in groundwater levels. This suggests that merely increasing application efficiency from 60 to 65% is insufficient to fully offset groundwater abstraction, contrary to common assumptions. Although Scenario 2 shows reduced groundwater pumping due to improved efficiency, the recharge remains inadequate to arrest the water table decline. The pre-monsoon groundwater table (GWT) elevation of 2015 was used as the reference for evaluating future groundwater levels within the various scenarios. Change in hydraulic heads and water table fluctuations between 2015 and 2030 period under various scenarios compared to the baseline scenario are shown in Table 5.
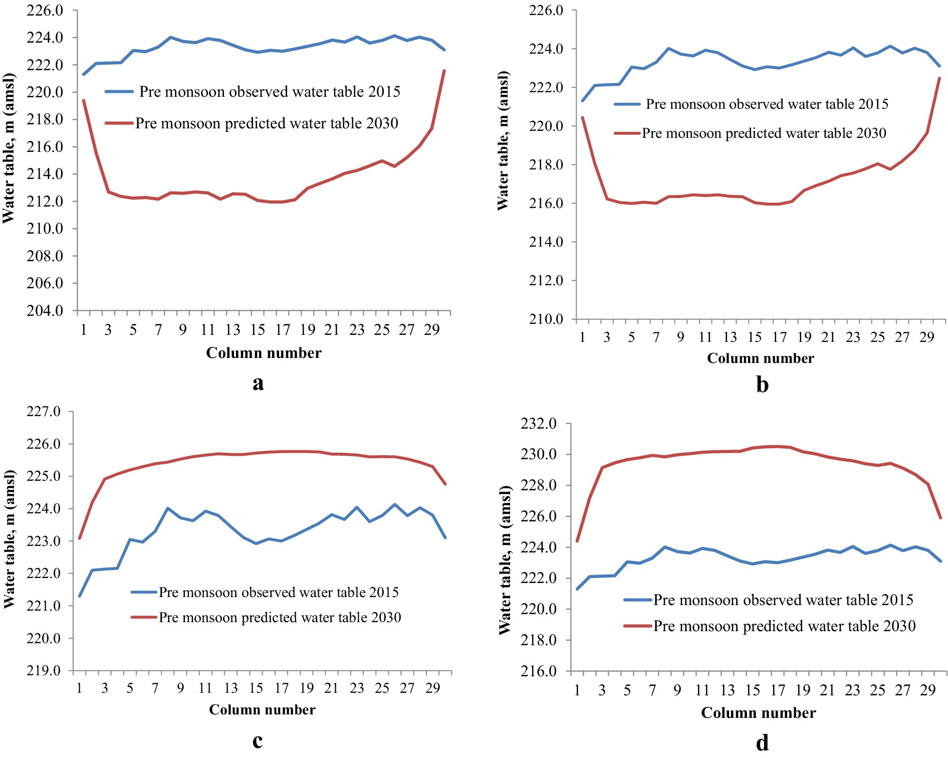
The predicted water elevation under the baseline scenario for the year 2030 was 213.84 m (Figure 6a). In Scenario 2, which involves improved field channels, the water table is projected to reach 217.20 m, a rise of 3.36 m (Figure 6b). Under Scenario 3, which simulates a pipe distribution network with 79% efficiency, the water table is expected to increase to 225.39 m and a rise of 11.55 m compared to the baseline (Figure 6c). The positive fluctuations in Scenarios 2 and 3 demonstrate a moderate rebound in groundwater levels, though the increases remain insufficient to fully balance the abstraction, especially in Scenario 3 where groundwater levels rise slowly despite widespread use of efficient pipe systems. In contrast, Scenario 4, which assumes the adoption of drip irrigation with 90% efficiency, predicts a water table elevation of 229.37 m, representing a 15.53 m increase over the baseline (Figure 6d).

Figure 6. (a) Simulated water table elevation when Ea = 60% in earthen channel. (b) Simulated water table elevation when Ea = 65% in earthen channel. (c) Simulated water table elevation when Ea = 79% in pipe irrigation system. (d) Simulated water table elevation when Ea = 90% in drip irrigation system.
The positive fluctuation in this scenario clearly indicates that high-efficiency irrigation technologies such as drip systems can significantly mitigate or even reverse the trend of groundwater depletion in the region. Overall, the analysis reveals that only Scenario 4 demonstrates a potential to substantially arrest or reverse groundwater decline. While Scenarios 2 and 3 show some improvements, they do not fully compensate for the existing rates of groundwater abstraction. This underscores the critical need for adopting high-efficiency irrigation technologies to ensure the sustainability of groundwater resources in intensively cultivated regions like Rasoolpur Jatan.
4 Discussion
Poor irrigation efficiency is one of the major causes of declining groundwater tables in many parts of India. On most Indian farms, water is conveyed from the source to the fields via unlined earthen channels, which results in significant losses due to seepage, evaporation, and breaching of channels between the source and delivery point. In the absence of proper monitoring and control systems, farmers often over-irrigate, leading to poor on-farm application efficiency. This study was conducted in Rasoolpur Jatan village, Muzaffarnagar district, Uttar Pradesh, at the farmer’s field level, to evaluate the impact of improving irrigation efficiency on water savings and to model groundwater fluctuations under different scenarios, thereby providing insights into sustainable groundwater management. The study area is dominated by sugarcane cultivation and water requirement of sugarcane was found to be 1,580 mm and irrigation requirement was found to be 1,072 mm (Kumar et al., 2020). Thus, it is clear that sugarcane needs more water than other crops grown in the study area and hence groundwater pumping is higher. Scenario 1, where water is conveyed through earthen field channels with an application efficiency(Ea) of 60%, was considered the reference scenario. In this case, the water table was predicted to decline at a rate of 0.59 m/year, indicating that without intervention, the declining trend would persist, rendering groundwater use unsustainable. The spatial extent of water table decline is illustrated in the contour map in Figure 7a. In Scenario 2, where irrigation efficiency was improved to 65%, the average rate of groundwater decline reduced to 0.38 m/year, as shown in Figure 7b. This demonstrates that even modest efficiency improvements can slow down the rate of groundwater depletion. Similar findings have been reported by Deines et al. (2019), who found that enhancing irrigation efficiency reduced annual groundwater decline from −0.49 m/year to −0.04 m/year. Jagermeyr et al. (2021) reported that increasing irrigation efficiency could reduce water withdrawals up to 48%, particularly in regions dependent on overexploited aquifers and improved farm practices, sometimes increased yields and better resilience (Harmanny and Malek, 2019). In Scenario 3, an irrigation pipe network was installed, achieving an average application efficiency of 79%. Under this condition, groundwater levels were predicted to rise at a modest rate of 0.13 m/year, as depicted in Figure 7c. This scenario is considered technically feasible and demonstrates that conversion to piped irrigation can reverse the declining water trend, albeit slowly. Studies by Tork et al. (2022) demonstrated that enhancing surface water distribution efficiency via piped or lined networks reduced groundwater withdrawals by about 16% over five years in an Iranian irrigation district, while Kharrou et al. (2021b) noted that piped systems eliminate conveyance losses and reduce surface evaporation. Further, Ali et al. (2022b) highlighted that piped delivery systems shorten irrigation time and reduce pumping duration, thereby lowering groundwater abstraction and energy costs. Additionally, piped systems facilitate the adoption of drip and sprinkler irrigation, which improves on-farm water use efficiency. The Scenario 4 simulation involved a complete shift to drip irrigation, achieving an application efficiency of 90%. Under this scenario, the average predicted water table rise was 0.37 m/year as shown in water table contour map (Figure 7d). This demonstrates that with high-efficiency irrigation systems, the groundwater decline could not only be arrested but potentially reversed. Although domestic and non-agricultural water uses were not included in the recharge estimates, the system may still be sustainable if these factors were considered. These findings align with those in Gujarat and Maharashtra of India, which show water savings of 30–50% with drip systems, contributing to slower groundwater depletion (Narayanamoorthy, 2004). However, reduced percolation from efficient systems has also decreased aquifer recharge, particularly in hard rock regions with limited natural replenishment (Shah, 2009). Ruiz-Rodriguez (2017) observed a reduction in annual irrigation demand for citrus orchards from 630 mm to 490 mm upon switching from flood to drip irrigation. Deines et al. (2019) also noted that irrigation efficiency improvements enabled farmers to maintain their cultivated area while reducing pumping volumes, especially when transitioning to crops with lower water demand. Drip irrigation, by delivering water directly to the plant root zone and minimizing surface evaporation, reduces both deep percolation losses and the frequency of irrigation (Kharrou et al., 2021a; Jagermeyr et al., 2021). As a result, higher yields per unit of water are achieved (Ali et al., 2022a), thereby improving crop water productivity and reducing total groundwater abstraction (Brauman et al., 2013). Previous research also supports these findings as Rodriguez-Sinobas et al. (2023) reported that precision irrigation increased water productivity by 25–40% in Mediterranean orchards, and Kassam et al. (2023) found that conservation agriculture and efficient irrigation practices in South Asia led to a 15–45% increase in water productivity depending on the cropping system. In summary, the results of this study align well with previous research and demonstrate that adopting high-efficiency irrigation methods, particularly drip irrigation, can significantly mitigate groundwater depletion. The simulated water table elevations for each scenario are presented in Figures 6a–d, and the pre-monsoon simulated contour maps (Figures 7a–d) for water table elevations across scenarios offer valuable insights for the planning of groundwater pumping strategies. Transitioning from traditional earthen channels to pressurized and micro-irrigation systems greatly improves water-use efficiency and directly contributes to groundwater saving. While traditional systems allow recharge through percolation, modern systems reduce over-extraction, improve productivity, and enhance groundwater resilience in water-stressed regions of India. Similar results related to groundwater in Punjab and the Ganga alluvium plain were reported by Krishan et al. (2022) and Gupta et al. (2024). NABARD (2020) reported that, drip irrigation can reduce groundwater extraction by up to 25 billion m3 annually if adopted on a large scale and hence promoted under PMKSY, especially in Maharashtra, Tamil Nadu, and Karnataka. Groundwater quality in the study area also need to be studied in future as the water table is declining. Similar studied related to aquifer recharge by Jadav and Yadav (2023) and groundwater quality for Hindon River basin were reported by Jadav and Yadav (2025). These findings can serve as a foundation for designing a sustainable groundwater management plan for such an area at the national level.

Figure 7. (a) Simulated water table contours when Ea = 60% in earthen channel. (b) Simulated water table contours when Ea = 65% in earthen channel. (c) Simulated water table contours when Ea = 79% in pipe network system. (d) Simulated water table contours when Ea = 90% in drip irrigation system.
5 Conclusion
The groundwater level in Rasoolpur Jatan, located in the alluvial plains of northern India, is declining at an alarming rate. To assess and simulate groundwater table (GWT) behavior under varying irrigation efficiencies, a three-dimensional groundwater model (MODFLOW) was calibrated and validated for the study area. The simulation results indicate that groundwater irrigation is unsustainable under the first three scenarios, except when a drip irrigation system is employed. Under the baseline scenario, where irrigation water is conveyed through unlined earthen channels with 60% application efficiency, the groundwater table is projected to decline at a rate of 0.57 m/year. Even with an improvement to 65% efficiency in these channels, the trend of groundwater decline cannot be reversed. In Scenario 3, the use of a pipe distribution network with 79% application efficiency slows the rate of decline, resulting in a modest rise in the water table of 0.05 m/year. However, it is only in Scenario 4, involving drip irrigation with 90% efficiency, that a significant and sustained rise of 0.27 m/year in the groundwater level is observed, indicating that this method is substantially more effective than the others. The projected groundwater table elevations by the year 2030 under Scenarios 1 to 4 are 213.84, 217.20, 225.39, and 229.37 m, respectively. These projections underscore the potential of pipe irrigation systems to partially offset groundwater extraction, whereas drip irrigation can both reduce groundwater pumping and reverse the declining trend. However, even with pipe irrigation, the rise in groundwater levels remains significantly lower than that achieved with drip systems. In the event of increased groundwater abstraction in the future, the aquifer stress may intensify, resulting in more critical water table conditions and higher pumping costs. The estimated groundwater savings relative to the baseline scenario were 31.49, 98.16, and 136.30 ha-m under Scenarios 2, 3, and 4, respectively. These findings demonstrate that enhancing both conveyance and application efficiencies of irrigation water at the farm level in India holds considerable promise for sustaining groundwater resources. Overall, the outcomes of this research provide valuable insights that can support policy formulation and strategic planning for sustainable groundwater management in the region. The study reinforces the necessity of adopting efficient irrigation technologies such as drip and piped systems, particularly in regions facing severe groundwater stress.
Data availability statement
The original contributions presented in the study are included in the article/supplementary material, further inquiries can be directed to the corresponding author.
Author contributions
MKu: Conceptualization, Writing – original draft, Data curation. DS: Supervision, Writing – review & editing. AS: Data curation, Writing – review & editing, Methodology. IM: Data curation, Writing – review & editing. MKh: Data curation, Writing – review & editing, Investigation.
Funding
The author(s) declare that no financial support was received for the research and/or publication of this article.
Acknowledgments
This piece of work was carried out during my doctoral research at Division of Agricultural Engineering of ICAR-IARI, New Delhi and funding support was provided by Department of Science and Technology, Ministry of Science and Technology, Government of India. The authors are highly thankful to KVK Baghra and Principal Investigator of the project “Efficient groundwater management for enhancing adaptive capacity to climate change in sugarcane-based farming system in Muzaffarnagar” for providing necessary facilities and support for conducting the experiment.
Conflict of interest
The authors declare that the research was conducted in the absence of any commercial or financial relationships that could be construed as a potential conflict of interest.
Generative AI statement
The authors declare that no Gen AI was used in the creation of this manuscript.
Any alternative text (alt text) provided alongside figures in this article has been generated by Frontiers with the support of artificial intelligence and reasonable efforts have been made to ensure accuracy, including review by the authors wherever possible. If you identify any issues, please contact us.
Publisher’s note
All claims expressed in this article are solely those of the authors and do not necessarily represent those of their affiliated organizations, or those of the publisher, the editors and the reviewers. Any product that may be evaluated in this article, or claim that may be made by its manufacturer, is not guaranteed or endorsed by the publisher.
Footnotes
References
Aeschbach-Hertig, W., and Gleeson, T. (2012). Regional strategies for the accelerating global problem of groundwater depletion. Nat. Geosci. 5, 853–861. doi: 10.1038/ngeo1617
Ahmed, S., Saha, D., and Tiwari, R. K. (2022). Groundwater modelling: a tool for sustainable water resources management. Environ. Earth Sci. 81:303. doi: 10.1007/s12665-022-10430-2
Ali, A., Ahmad, M. D., and Khan, M. A. (2022a). Evaluating the impact of efficient irrigation methods on groundwater sustainability. Water Resour. Manag. 36, 175–188.
Ali, A., Ahmad, M. D., and Khan, M. A. (2022b). Impact of piped water distribution systems on irrigation efficiency and groundwater sustainability: evidence from South Asia. Water Resour. Manag. 36, 175–188.
Anderson, M. P., Woessner, W. W., and Hunt, R. J. (2015). Applied groundwater modeling: Simulation of flow and Advective transport. San Diego, CA: Academic Press.
Barthel, R., Reichenau, T. G., Krimly, T., Dabbert, S., Schneider, K., and Mauser, W. (2012). Integrated modeling of global change impacts on agriculture and groundwater resources. Water Resour. Manag. 26, 1929–1951. doi: 10.1007/s11269-012-0001-9
Brauman, K. A., Siebert, S., and Foley, J. A. (2013). Improvements in crop water productivity increase water sustainability and food security—a global analysis. Environ. Res. Lett. 8:024030. doi: 10.1088/1748-9326/8/2/024030
Butler, J. J., Whittemore, D. O., Bohling, G. C., and Wilson, B. B. (2018). Sustainability of aquifers supporting irrigated agriculture: a case study of the High Plains aquifer in Kansas. Water Int. 43, 815–828. doi: 10.1080/02508060.2018.1515566
Calderhead, A. I., Martel, R., Garfias, J., and Rivera, A., and Therrien, R. (2012). Sustainable management for minimizing land subsidence of an over-pumped volcanic aquifer system: Tools for policy design. Water Resour Manag. 26, 1847–1864. doi: 10.1007/s11269-012-9990-7
Cardenas, M. B., and Jiang, X. W. (2010). Groundwater flow, transport and residence times through topography-driven basins with exponentially decreasing permeability and porosity. Water Resour. Res. 46:W11538. doi: 10.1029/2010WR009370
CGWB (2009). Groundwater scenario of India. Faridabad: Central Groundwater Board, Ministry of Water Resources, Government of India.
CGWB (2011). Dynamic groundwater resources of India. Delhi, India: Ministry of Water Resources, Government of India, 243.
CGWB (2017). Aquifer mapping and ground water management plan. Delhi, India: Central Groundwater Board Northern Region, Lucknow, Ministry of Water Resources, River Development and Ganga Rejuvenation Government of India, 16–19.
Chaturvedi, R., Mishra, V., and Panda, D. K. (2022). Groundwater depletion and energy use in agriculture in India. J. Hydrol. 607:127548.
Chiang, W. H., and Kinzelbach, W. (1998). Processing MODFLOW a simulation system for modelling groundwater flow and pollution. Hamburg-Zurich: Software Instruction Book, 342.
Dalin, C., Wada, Y., Kastner, T., and Puma, M. J. (2017). Groundwater depletion embedded in international food trade. Nature, 543, 700–704. doi: 10.1038/nature21403
Deines, J. M., Kendall, A. D., Butler, J. J., and Hyndman, D. W. (2019). Quantifying irrigation adaptation strategies in response to stakeholder-driven groundwater management in the US High Plains aquifer. Environ. Res. Lett. 14:044014. doi: 10.1088/1748-9326/aafe39
Doll, P. (2009). Vulnerability to the impact of climate change on renewable groundwater resources: a global-scale assessment. Environ. Res. Lett. 4:35006. doi: 10.1088/1748-9326/4/3/035006
Doll, P., Schmied, H. M., Schuh, C., Portmann, F. T., and Eicker, A. (2022). Modelling freshwater resources at the global scale: challenges and prospects. Surv. Geophys. 43, 539–564. doi: 10.1007/s10712-021-09684-3
Famiglietti, J. S. (2023). Managing groundwater for a sustainable future. Nat. Rev. Earth Environ. 4, 12–24.
Famiglietti, J. S., Lo, M., Ho, S. L., Bethune, J., Anderson, K. J., Syed, T. H., et al. (2011). Satellites measure recent rates of groundwater depletion in California's Central Valley. Geophys. Res. Lett. 38:L03403. doi: 10.1029/2010GL046442
FAO (2010). Aquastat: India - Country Fact Sheet. FAO’s global information system on water and agriculture. Avaiable online at: http://www.fao.org/nr/water/aquastat/countries_regions/IND/
FAO (2022). AQUASTAT – FAO’S global information system on water and agriculture. Italy: Food and Agriculture Organization of the United Nations.
Fishman, R. M., Siegfried, T., Raj, P., Modi, V., and Lall, U. (2011). Over-extraction from shallow bedrock versus deep alluvial aquifers: reliability versus sustainability considerations for India’s groundwater irrigation. Water Resour. Res. 47:W00L05. doi: 10.1029/2011WR010617
Foster, S. S. D., van Steenbergen, F., and Garduño, H. (2023). Improving groundwater management through effective water-saving technologies and institutional coordination. Hydrogeol. J. 31, 77–91. doi: 10.1007/s10040-022-02509-1
Foster, S., van Steenbergen, F., and Zuleta, J. (2010). Sustainable groundwater irrigation: Approaches to reconciling demand with resources. Washington, DC: World Bank.
Gao, C., Chen, X., and Zhang, Y. (2022). Assessment of artificial recharge strategies using MODFLOW and MT3DMS: a case study from the North China plain. Hydrogeol. J. 30, 789–804. doi: 10.1007/s10040-021-02436-2
Gassiat, C., Gleeson, T., and Luijendijk, E. (2013). The location of old groundwater in hydrogeologic basins and layered aquifer systems. Geophys. Res. Lett. 40, 3042–3047. doi: 10.1002/grl.50599
GEC (2009). Report of the groundwater resource estimation committee, groundwater resource estimation methodology. New Delhi: Ministry of Water Resources, Govt. of India, 107.
Gleeson, T., Cuthbert, M. O., and Taylor, R. G. (2023). The deeper cost of groundwater: energy and equity challenges. Nat. Water 1, 211–218.
Grafton, R. Q., Garrick, D., Rodriguez, D. J., Martinez-Santos, P., and Hughes, N. (2018). The paradox of irrigation efficiency. Science 361, 748–750. doi: 10.1126/science.aat9314
Gupta, A., and Kumar, S. (2021). Impact of land use change on groundwater dynamics: a modeling approach. Hydrol. Sci. J. 66, 459–474. doi: 10.1080/02626667.2020.1774078
Gupta, D. S., Raju, A., Patel, A., Chandniha, S. K., Sahu, V., Kumar, A., et al. (2024). Integrated assessment of the hydrogeochemical and human risks of fluoride and nitrate in groundwater using the RS-GIS tool: case study of the marginal ganga alluvial plain, India. Water 16:3683. doi: 10.3390/w16243683
Harbaugh, A. W. (2005). MODFLOW-2005, the U.S. Geological Survey modular ground-water model—the ground-water flow process. U.S. Geological Survey techniques and methods 6–A16. Available online at: https://pubs.usgs.gov/tm/2005/tm6A16/
Harmanny, K. S., and Malek, Z. (2019). Adaptations in irrigated agriculture in the Mediterranean region: an overview and spatial analysis of implemented strategies. Reg. Environ. Chang. 19, 1401–1416. doi: 10.1007/s10113-019-01494-8
Jadav, K., and Yadav, B. (2023). Identifying the suitable managed aquifer recharge (MAR) strategy in an overexploited and contaminated river basin. Environ. Monit. Assess. 195:1014. doi: 10.1007/s10661-023-11586-y
Jadav, K., and Yadav, B. (2025). The Hindon River basin crisis: anthropogenic and climatic impacts on groundwater depletion and public health risks. J. Hydrol. Reg. Stud. 61- 10266, 1–24. doi: 10.1016/j.ejrh.2025.102661
Jagermeyr, J., Gerten, D., Heinke, J., Seneviratne, S. I., Friedlingstein, P., Waha, K., et al. (2021). Full irrigation potential in developing countries under climate change. Nat. Sustain. 4, 514–523. doi: 10.1038/s41893-021-00692-2
Jain, M., Singh, D., and Srivastava, R. (2022). Groundwater depletion in the Indo-Gangetic plain: causes, impacts, and management. J. Water Resour. Plan. Manag. 148:04022001.
Jain, M., Srivastava, A., Singh, D., Gautam, R., Mondal, P., Azzari, G., et al. (2021). The impact of agricultural practices on groundwater resources in India. Environ. Res. Lett. 16:094017. doi: 10.1088/1748-9326/ac1b1b
Kassam, A., Friedrich, T., Derpsch, R., and Kienzle, J. (2023). Conservation agriculture and its contribution to improving water productivity in South Asia\u0027s diverse cropping systems. Sustain, 15, 7290.
Kharrou, M. H., Mougou, R., Ibrik, A., Oueslati, O., Sghaier, M., and Simonneaux, V. (2021a). Improving water productivity through deficit and drip irrigation in semi-arid areas. Irrig. Sci. 39, 389–402. doi: 10.1007/s00271-021-00729-3
Kharrou, M. H., Tagma, T., Qadir, M., and Drechsel, P. (2021b). Enhancing irrigation water productivity through pressurized pipe distribution systems. Agric. Water Manag. 248:106793. doi: 10.1016/j.agwat.2020.106793
Kong, J., Xin, P., Song, Z. Y., and Li, L. (2010). A new model for coupling surface and subsurface water flows: with an application to a lagoon. J. Hydrol. 390, 116–120. doi: 10.1016/j.jhydrol.2010.06.028
Krishan, G., Rao, M. S., Vashisht, R., Chaudhary, A., Singh, J., and Kumar, A. (2022). Isotopic assessment of groundwater salinity: a case study of the southwest (SW) region of Punjab, India. Water 14:133. doi: 10.3390/w14010133
Kumar, A., Yadav, B. R., and Jat, M. L. (2023). Simulation of groundwater levels using MODFLOW for sustainable resource management in intensively irrigated regions. Environ. Model. Softw. 164:105622. doi: 10.1016/j.envsoft.2023.105622
Kumar, M., Singh, D. K., Sarangi, A., Mani, I., Khanna, M., Sahoo, R. N., et al. (2020). Crop water requirement and irrigation schedule for major crops of Indo-Gangetic plain for sustainable groundwater resource management using CROPWAT model. Indian J. Soil Conserv. 47, 37–44.
Langevin, C. D., Thorne, D. T., Dausman, A. M., Sukop, M. C., and Guo, W. (2017). MODFLOW and more—progress toward integrated hydrologic modeling. Groundwater 55, 1–4. doi: 10.1111/gwat.12472
Liu, C. W., Chou, Y. L., Lin, S. T., Lin, G. J., and Jang, C. S. (2010). Management of high groundwater level aquifer in the Taipei Basin. Water Resour. Manag. 24, 3513–3525. doi: 10.1007/s11269-010-9617-9
Lopez-Gunn, E., Zorrilla, P., Prieto, F., and Llamas, M. R. (2021). Lost in translation? The gap between water governance and hydrological realities. Water Resour. Manag. 35, 2265–2280. doi: 10.1007/s11269-021-02827-y
MacDonald, A. M., Bonsor, H. C., Ahmed, K. M., Burgess, W. G., Basharat, M., Calow, R. C., et al. (2021a). Groundwater security in the Indo-Gangetic Basin: an assessment of threats and adaptation strategies. Environ. Res. Lett. 16:114021. doi: 10.1088/1748-9326/ac2f35
MacDonald, A. M., Bonsor, H. C., and Dochartaigh, B. E. O. (2021b). Modelling to support groundwater management in Africa. Hydrogeol. J. 29, 657–673. doi: 10.1007/s10040-020-02231-4
Mahmood, T., Hassan, I., and Akhter, G. (2022). A review of physically based groundwater models with special emphasis on MODFLOW. Model. Earth Syst. Environ. 8, 6257–6271. doi: 10.1007/s40808-022-01374-w
Majumdar, P., Ram, S., and Rao, P. (2009). Artificial recharge in multiaquifers of a mountainous watershed. J. Hydrol. Eng. 14:215. doi: 10.1061/(ASCE)1084-0699(2009)
Mali, S. S., and Singh, D. K. Groundwater modeling for assessing the recharge potential and water table behaviour under varying levels of pumping and recharge. Indian J. Soil Conserv. (2016), 44: 93–102. Available online at: https://www.researchgate.net/publication/306375062
McDonald, M. G., and Harbaugh, A. W. (1988). A modular three dimensional finite-difference ground-water flow model, pp. 586, USGS techniques of water-resources investigations, United States Geological Survey, USA. doi: 10.3133/twri06A1
Mukherjee, A., Bhanja, S. N., and Scanlon, B. R. (2023). Groundwater depletion in South Asia: ground-truthing and implications for sustainable development. Nat. Water 1, 56–65. doi: 10.1038/s44221-022-00006-3
Narayanamoorthy, A. (2004). Drip irrigation in India: can it solve water scarcity? Water Policy. 6, 117–130.
Patle, G. T., Singh, D. K., and Sarangi, A. (2016). Modelling of declining groundwater depth in Kurukshetra district, Haryana, India. Curr. Sci. 111, 717–723. doi: 10.18520/CS/V111/I4/717-723
Patle, G. T., Singh, D. K., and Sarangi, A. (2018). Modelling of climate-induced groundwater recharge for assessing carbon emission from groundwater irrigation. Curr. Sci. 115, 64–73. doi: 10.18520/cs/v115/i1/64-73
Perrone, D., Jasechko, S., and Ferguson, G. (2021). Groundwater depletion and sustainability of irrigation in the 21st century. Nat. Rev. Earth Environ. 2, 500–514. doi: 10.1038/s43017-021-00176-4
Perry, C. J., Steduto, P., Allen, R. G., and Burt, C. M. (2009). Increasing productivity in irrigated agriculture: agronomic constraints and hydrological realities. Agric. Water Manag. 96, 1517–1524. doi: 10.1016/j.agwat.2009.05.005
Pfeiffer, L., and Lin, C. Y. C. (2014). Does efficient irrigation technology lead to reduced groundwater extraction? Empirical evidence. J. Environ. Econ. Manag. 67, 189–208. doi: 10.1016/j.jeem.2013.12.002
Qureshi, A. S., McCronick, P. G., and Sharma, B. R. (2010) Challenges and prospects of sustainable groundwater management in the Indus Basin, Pakistan Water Resour. Manag. 24:155–169. Available online at: http://digitalcommons.unl.edu/wffdocs
Rani, F. M., and Chen, Z. H. (2010). Numerical modeling of groundwater flow in karst aquifer, Makeng mining area. Am. J. Environ. Sci. 6, 78–82. doi: 10.3844/ajessp.2010.78.82
Reddy, V. R., Reddy, A. A., and Rout, K. C. (2020). Groundwater management and crop water use efficiency in India: can economics play a role? Irrig. Drain. 69, 311–322. doi: 10.1002/ird.2435
Ren, L., Zhang, Y., Yeh, T.‑C. J., Wang, Y., and Carr, B. J. (2021). Multiscale Hydraulic Conductivity Characterization in a Fractured Granitic Aquifer: The Evaluation of Scale Effect. Water Res. Res. 57:e2020WR028482.
Richey, A. S., Thomas, B. F., Lo, M. H., Reager, J. T., Famiglietti, J. S., and Rodell, M. (2022). Uncertainty in global groundwater storage estimates in a total water storage framework. Hydrol. Earth Syst. Sci. 26, 263–280. doi: 10.5194/hess-26-263-2022
Richey, A. S., Thomas, B. F., Lo, M. H., Reager, J. T., Famiglietti, J. S., Voss, K., et al. (2015). Quantifying renewable groundwater stress with GRACE. Water Resour. Res. 51, 5217–5238. doi: 10.1002/2015WR017349
Rodriguez-Sinobas, L., Juana, L., and Camacho, E. (2023). Enhancing crop water productivity through precision irrigation: evidence from Mediterranean orchards. Agric. Water Manag. 280:108311.
Rojano, F., Manzano, M., and Jiménez-Martínez, J. (2021). Advances in groundwater modeling: challenges and new perspectives. Hydrol. Sci. J. 66, 325–338. doi: 10.1080/02626667.2020.1862746
Rossman, N. R., Niswonger, R. G., and Gurdak, J. J. (2020). Best practices for conceptualizing groundwater systems for groundwater modeling. Groundwater 58, 775–785. doi: 10.1111/gwat.13032
Ruiz-Rodriguez, M. (2017). Evaluación de los efectos de la modernización de regadíos mediante modelos agro-hidrológicos en los sectores 23 y 24 de la Acequia Real del Júcar (MSc thesis). Universitat Politecnica de Valencia.
Samadder, R. K., Kumar, S., and Gupta, R. P. (2011). Paleochannels and their potential for artificial groundwater recharge in the western ganga plains. J. Hydrol. 400, 154–164. doi: 10.1016/j.jhydrol.2011.01.039
Sayana, V. B. M., Arunbabu, E., Mahesh, K. L., Ravichandran, S., and Karunakaran, K. (2010). Groundwater responses to artificial recharge of rainwater in Chennai, India: a case study in an educational institution campus. Indian J. Sci. Technol. 3, 124–130. doi: 10.17485/ijst/2010/v3i2.16
Scanlon, B. R., Richey, A. S., Villholth, K. G., Bierkens, M. F. P., Wada, Y., MacDonald, A. M., et al. (2024). Global groundwater use and sustainability challenges. Environ. Res. Lett. 19:014004. doi: 10.1088/1748-9326/ad1b7b
Scanlon, B. R., Richey, A. S., and Wada, Y. (2022). Global models improve understanding of groundwater depletion. Nat. Rev. Earth Environ. 3, 175–187. doi: 10.1038/s43017-021-00249-1
Scott, C. A., Vicuna, S., Blanco-Gutierrez, I., Meza, F., and Varela-Ortega, C. (2014). Irrigation efficiency and water-policy implications for river basin resilience. Hydrol. Earth Syst. Sci. 18, 1339–1348. doi: 10.5194/hess-18-1339-2014
Sefelnasr, A., and Gossel, W. (2020). Integrated groundwater modeling for sustainable water resources management in arid regions: a case study from the Western Desert of Egypt. J. Hydrol. Reg. Stud. 32:100741. doi: 10.1016/j.ejrh.2020.100741
Shah, T. (2020). Accelerating groundwater sustainability in India. Water Econ. Policy 6:1950011. doi: 10.1142/S2382624X19500110
Shah, T., Roy, A. D., and Qureshi, A. S. (2003). Sustaining Asia's groundwater boom: an overview of issues and evidence. Nat. Res. Forum 27, 130–141. doi: 10.1111/1477-8947.00048
Sharma, K. K., and Dubey, S. K. (2013) Probability analysis of rainfall for planning water harvesting and irrigation in semi-arid region of Uttar Pradesh Indian J. Soil Cons. 41: 14–19. Available online at: https://www.researchgate.net/publication/263518827
Siebert, S., Burke, J., Faures, J. M., Frenken, K., Hoogeveen, J., Doll, P., et al. (2010). Groundwater use for irrigation-a global inventory. Hydrol. Earth Syst. Sci. 14, 1863–1880. doi: 10.5194/hess-14-1863-2010
Singh, K. K., Tewari, G., and Kumar, S. (2020). Evaluation of groundwater quality for suitability of irrigation purposes: A case study in the Udham Singh Nagar, Uttarakhand. J. Chem. doi: 10.1155/2020/6924026
Singh, S. K., Shukla, S., and Khan, M. A. (2021). Evaluating groundwater recharge and abstraction impacts using MODFLOW in an over-exploited aquifer system of India. Groundw. Sustain. Dev. 14:100605. doi: 10.1016/j.gsd.2021.100605
Sufyan, M., Martelli, G, Teatini, P., and Goi, D. (2025). Managed Aquifer Recharge (MAR) perspectives in the Friuli Venezia Giulia Region of Italy in the context of climate change trends. EGU General Assembly 2025, Abstract EGU25-8936. doi: 10.5194/egusphere-egu25-8936
Surinaidu, L., Bacon, C. G. D., and Pavelic, P. (2013a). Agricultural groundwater management in the upper Bhima Basin: current status and future scenarios. Hydrol. Earth Syst. Sci. 17, 507–517.
Surinaidu, L., Gurunadha Rao, V. V. S., and Ramesh, G. (2013b). Assessment of groundwater inflows into Kuteshwar limestone mines through flow modeling study, Madhya Pradesh, India. Arab. J. Geosci. 6, 1153–1161. doi: 10.1007/s12517-011-0421-5
Sweeney, M. R., Hyman, J. D., O’Malley, D., Santos, J. E., Carey, J. W., and Viswanathan, H. S. (2023). Characterizing the Impacts of Multi‑Scale Heterogeneity on Solute Transport in Fracture Networks. Geophys. Res. Lett. 50:e2023GL104958.
Taheri, A., and Zare, M. (2011) Groundwater artificial recharge assessment in Kangavar Basin, a semi-arid region in the western part of Iran Afr. J. Agric. Res. 6: 4370–4384. Available online at: http://www.academicjournals.org/AJAR
Tal, A. (2016). Rethinking the sustainability of Israel’s irrigation practices in the drylands. Water Res. 90, 387–394. doi: 10.1016/j.watres.2015.12.016
Taylor, R. G., Scanlon, B. R., Döll, P., Rodell, M., van Beek, R., Wada, Y., et al. (2021). Groundwater and climate change. Nat. Clim. Chang. 11, 93–94. doi: 10.1038/s41558-020-00925-1
Ting, C. S., Zhou, Y., Vries, J. J., and Simmers, d. (1998). Development of a preliminary groundwater flow model for water resources management in the Pingtung plain, Taiwan. Groundwater 35, 20–35. doi: 10.1111/j.1745-6584.1998.tb01062.x
Tork, H., Javadi, S., Hashemy Shahdany, S. M., Berndtsson, R., and Ghordoyee Milan, S. (2022). Groundwater Extraction Reduction within an Irrigation District by Enhancing the Surface Water Distribution. Water, 14, 1610. doi: 10.3390/w14101610
UNESCO (2022). The United Nations world water development report 2022: Groundwater making the invisible visible. Paris: UNESCO Publishing.
Van der Gun, J., and Lipponen, A. (2010). Reconciling groundwater storage depletion due to pumping with sustainability. Sustainability 2, 3418–3435. doi: 10.3390/su2113418
Wada, Y., and Bierkens, M. F. P. (2014). Sustainability of global water use: past reconstruction and future projections. Environ. Res. Lett. 9:104003. doi: 10.1088/1748-9326/9/10/104003
Wada, Y., Van Beek, L. P. H., and Bierkens, M. F. P. (2012). Non sustainable groundwater sustaining irrigation: a global assessment. Water Resour. Res. 48:W00L06. doi: 10.1029/2011WR010562
Wang, L., Yang, J., Zhang, Y., and Xu, T. (2023). Application of MODFLOW in integrated groundwater modeling: a review of recent developments and future prospects. Environ. Model. Softw. 161:105593. doi: 10.1016/j.envsoft.2023.105593
Ward, F. A., and Pulido-Velazquez, M. (2008). “Water conservation in irrigation can increase water use.” Proceedings of the National Academy of Sciences of the United States of America. 105, 18215–18220.
Keywords: sustainability, groundwater, irrigation efficiencies, modeling, open channel, pipe distribution network, drip irrigation
Citation: Kumar M, Singh DK, Sarangi A, Mani I and Khanna M (2025) Sustainability and resiliency of regional groundwater through enhanced conveyance and application efficiencies of irrigation water. Front. Sustain. Food Syst. 9:1654597. doi: 10.3389/fsufs.2025.1654597
Edited by:
Amitava Rakshit, Banaras Hindu University, IndiaReviewed by:
Amit Kumar, Nanjing University of Information Science and Technology, ChinaBhau Gavit, Mahatma Phule Krishi Vidyapeeth, India
Harshal Bhange, Dr. Balasaheb Sawant Konkan Krishi Vidyaapeeth (former Konkan Krishi Vidyapeeth), India
Kartikkumar Jadav, Indian Institute of Technology Roorkee, India
Copyright © 2025 Kumar, Singh, Sarangi, Mani and Khanna. This is an open-access article distributed under the terms of the Creative Commons Attribution License (CC BY). The use, distribution or reproduction in other forums is permitted, provided the original author(s) and the copyright owner(s) are credited and that the original publication in this journal is cited, in accordance with accepted academic practice. No use, distribution or reproduction is permitted which does not comply with these terms.
*Correspondence: Manoj Kumar, a3VtYXJtYW5vajEwNjgwQGdtYWlsLmNvbQ==