ORIGINAL RESEARCH article
Front. Sustain. Food Syst.
Sec. Agricultural and Food Economics
This article is part of the Research TopicAgroecology in Action: Case Studies, Challenges and Best PracticesView all 10 articles
Dairy farms at an advanced stage in their agroecological transition show higher environmental and socio-economic performance
Provisionally accepted- 1Centre international de recherche-développement sur l'elevage en zone subhumide, Bobo-Dioulasso, Burkina Faso
- 2Systemes d'Elevage Mediterraneens et Tropicaux, Montpellier, France
- 3Agroécologie et intensification durable des cultures annuelles, Montpellier, France
- 4CIFOR-ICRAF, Transformative Partnership Platform on Agroecology (TPP), Nairobi, Kenya
Select one of your emails
You have multiple emails registered with Frontiers:
Notify me on publication
Please enter your email address:
If you already have an account, please login
You don't have a Frontiers account ? You can register here
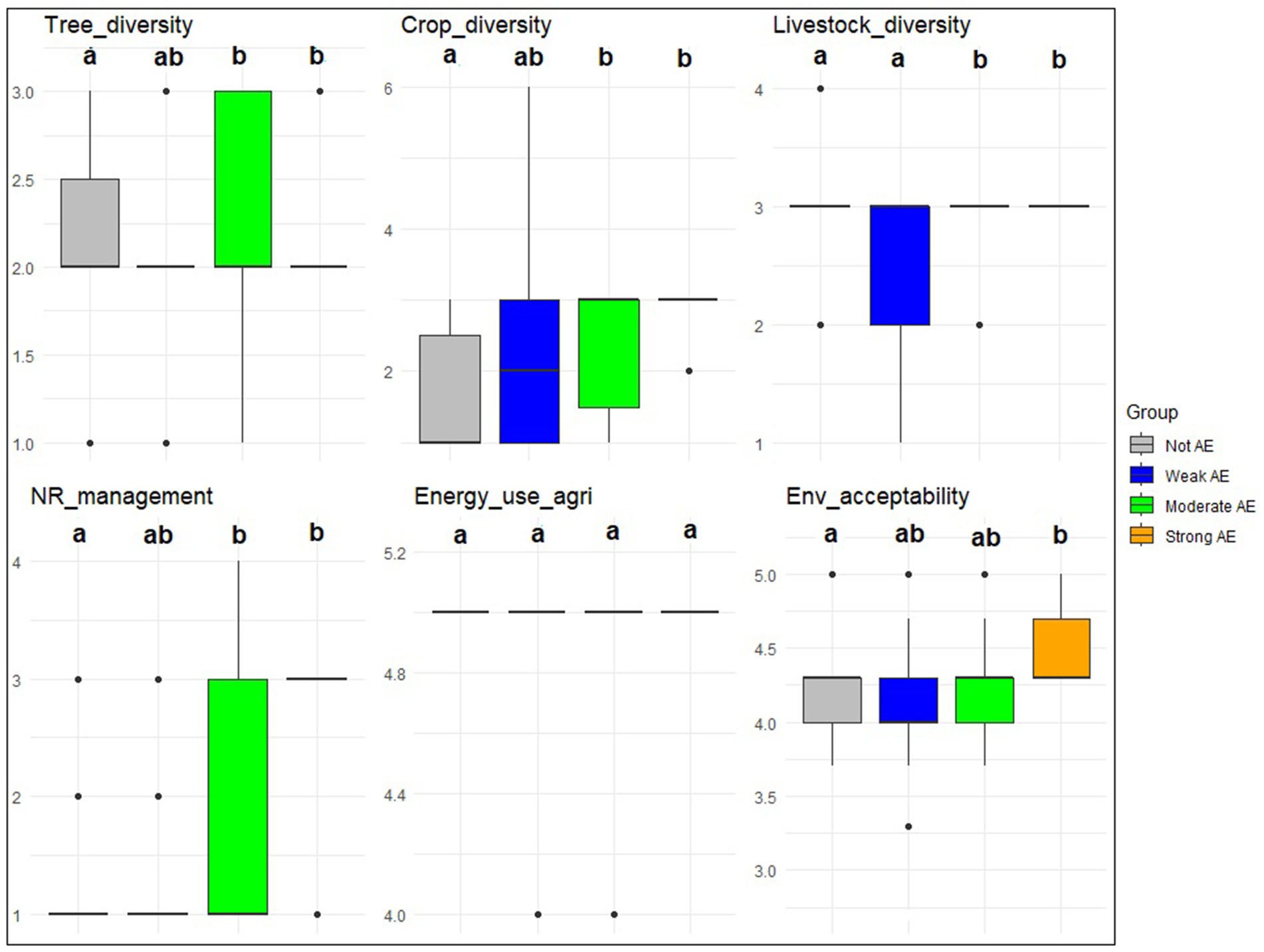
In Burkina Faso, the growing demand for milk prompts dairy farmers to pursue solutions that improve their production while maintaining profitability and sustainability. This study aimed to analyse the link between the level of agroecological transition achieved by dairy farms in the Bobo-Dioulasso milkshed area and their multidimensional performance. To address this issue, 204 dairy farms were assessed in the Bobo-Dioulasso milkshed area according to their level of progress in the agroecological (AE) transition, using the Holistic Localised Performance Assessment for Agroecology (HOLPA) tool. A typology of the dairy farms was produced according to their level of progress in the AE transition. Averaged scores for all questions in the HOLPA tool relating to the 13 principles of agroecology were used to rate each farm on a 5-point Likert scale. Performance was then compared according to these score levels. Results indicate that the dairy farms studied are mostly at the beginning of their AE transition. Our findings suggest that dairy farms which have adopted more advanced AE practices demonstrate improved environmental, social and economic performance compared to conventional or less transitioned farms. The most AE dairy farms stand out on several key performance indicators. In terms of environmental performance, the most AE dairy farms achieve higher scores for crop diversity and natural resource and land management. In terms of social performance, the most AE dairy farmers share more knowledge about agroecology and natural resources, report higher levels of household satisfaction, and perceive trade associations as efficient. In terms of economic performance, the most AE dairy farms enjoy more stable and diversified income streams. With regard to agronomic performance, the most AE dairy farms perform better in terms of organic manure and fodder production. However, heavy reliance on labour and low crop productivity have been identified as key challenges to the AE transition and the sustainability of dairy farms. The findings of this study justify the implementation of several policy measures to support farmer training in AE on fodder and organic manure production, and natural resources management, to guaranty a better access to forages seeds and agricultural equipment to manage manure production.
Keywords: agroecology, HOLPA, indicators, dairy farmers, performance, sustainability
Received: 11 Jul 2025; Accepted: 30 Oct 2025.
Copyright: © 2025 Orounladji, Sib, Kouakou, Darmaun, Sanogo and Vall. This is an open-access article distributed under the terms of the Creative Commons Attribution License (CC BY). The use, distribution or reproduction in other forums is permitted, provided the original author(s) or licensor are credited and that the original publication in this journal is cited, in accordance with accepted academic practice. No use, distribution or reproduction is permitted which does not comply with these terms.
* Correspondence: Boko Michel  Orounladji, oromib@gmail.com
Disclaimer: All claims expressed in this article are solely those of the authors and do not necessarily represent those of their affiliated organizations, or those of the publisher, the editors and the reviewers. Any product that may be evaluated in this article or claim that may be made by its manufacturer is not guaranteed or endorsed by the publisher.
