- 1School of Applied Sciences and Technology, Gujarat Technological University, Ahmedabad, India
- 2AKS University, Satna, India
- 3Anushandhan Prakosht, Bhartiya Shikshan Mandal, Nagpur, India
A one-year field experiment (2023–2024) was laid out in a randomized complete block design (RCBD) with a spacing of 50 × 40 cm involving three replications with five treatments having cow manure along with integrated nutrient management in a plot size of 4.0 m × 1.5 m. The effect of cow manure and mineral fertilizers on soil fertility, nutrient uptake, yield, and farmers’ economic profitability. The experiment was laid out during the Rabi season of the Ahmedabad region. T2 (250 mL of Jivamrit) and T3 (500 mL of Jivamrit) obtained high brinjal production compared to other crops. Also, these two treatment plants contain high organic carbon content, available N, P, K in the soil and more N, P and K uptake by the plants. Further, this treatment obtained the greatest value for yield and net income. The outcomes of this investigation suggested that the combined usage of cow manure prepared Jivamrit with the proper dose gave the best result in the crop and a high crop yield. The present study reveals that Jivamrit would be used as a natural fertilizer for sustainable farming, which minimizes the hazardous effect of chemical fertilizers.
1 Introduction
The green revolution describes an important period of agricultural progress that began in India in the mid-20th century (John and Babu, 2021). It increased food production and revolutionized farming practices, which were greatly enhanced to tackle the challenge of food shortage (Kumari et al., 2022). It involves modern farming methods and technologies. Chemical fertilizers, pesticides, herbicides, and farming machinery and equipment (Aulakh and Ravisankar, 2017). Natural farming which is also referred as low-budget natural farming (LBNF) in India was first suggested by a Subhash Palekar from India, Chao from Korea and Masanobu Fukuoka from Japan (Palekar, 2006). “Natural Farming” refers to cultivating specific flora that support the ecosystem’s biodiversity. It has two fundamental components, which are agronomic principles and structural components. These components include the application of various ecological approaches to improve soil fertility, which include crop rotation, mulching with crop residues, waste recycling and fostering beneficial organisms as well as the imposition of limits on the use of external resources and chemical fertilizers (Garg and Mudgal, 2007).
In India and other regions with tropical climates, brinjal or eggplant as many might know it is rated among the most produced. This vegetable is appreciated by both the rich and the poor, growing in nearly every country in a tropical region (Singh and Singh, 2012). Brinjal is also known for containing Calcium, Phosphorus, Iron, Riboflavin, Thiamine, Niacin, proteins, Fat, Carosphoric acid, and even Ascorbic acid. Moreover, brinjal is effective in treating Diarrhea, as well as Cholera, Diabetes, Asthma, and Respiratory Bronchitis issues (Rathore et al., 2023). Brinjal fruits contain significant calcium, phosphorus, iron, and vitamins, in particular group “B.” Especially acknowledged for its curative properties, brinjal has been used to treat intestinal worms, rheumatism, liver disease and coughs caused by allergies. Like any other vegetable, it provides proteins, carbohydrates, minerals, vitamins and dietary fibre (Gupta et al., 2022). Solanaceous vegetables require high levels of potassium, phosphorus and nitrogen, along with secondary nutrients such as calcium and sulfur, to enhance their fruit and seed growth (Singh et al., 2020; Patel et al., 2011). However, an erosion in soil fertility and plant nutrient uptake efficiency has been caused by the ongoing, irregular, and exclusive use of chemical fertilizers in an imbalanced manner. As a result, yields have either decreased or stagnated (Kaur and Saini, 2021). However, it has been aggravated by continuously, irregularly, and exclusively employing chemical fertilizers, leading to a decline in soil fertility as well as its efficiency in obtaining nutrients for plants.
The main goal of natural farming is to provide high-quality, high-quality, and nutrient-rich food, meeting all of the requirement humans need. It can be extremely important in tackling both the issues of climate change and the main risks to the nation’s nutritional security (Smith et al., 2020). Natural farming is a unique type of agriculture where the price of acquiring the required supplies, such as seeds and fertilizer, and the market does not provide chemicals for crop protection (Warghane et al., 2025). The application of a mixture of beejamrit, Jivamrit, and panchagavya (1:1:2) at 75 and 160 days after sowing (DAS) proved to increase tomato yield and dry matter production (Chandrakala, 2008; Gore, 2009).
Natural fertilizers are cheap and eco-friendly inputs that enhance crop growth, yield and improve fertilizer use efficiency and fruit quality. They improve the quantitative and qualitative characteristics of many plants. Biofertilizers are microorganisms that convert unavailable nutrients into available nutrients for plants. Moreover, they enhance soil fertility, the resistance of plants against pests, and the growth of plants by increasing the amount and biological activity of beneficial microbes at the root surface (Gupta et al., 2022; Singh et al., 2023). Jivamrit is a natural manure and it has been gaining interest due to concerns about the sustainability of input-intensive agriculture systems. It promotes crop growth, quality, and yield; enhances soil pH, population, and activity of beneficial microorganisms; and helps with nitrogen fixation, phosphate solubilization, and easy decomposition (Warghane et al., 2024). Natural farming is based on principles of dynamics of living things, according to which all of its components soil, plants, farm animals, microbes, insects, farmers, and others display interdependence. Organic manures in combination with inorganic fertilizers is commonly thought to be the solution for sustaining high productivity levels while preserving environmental safety (Nagavani and Subbian, 2015).
The bacteria present in Jivamrit produces the plant growth regulators, referred to as phytohormones are organic compounds that are not directly involved in plant nutrition but in small proportions can enhance, suppress, or otherwise alter any physiological process in a plant. In a similar sense, there are plant hormones or phytohormones that are primarily classified for respective compounds. Hence, plant growth regulators are phytohormones and synthetic chemicals. It was then classified into various classes of hormones such as auxins, gibberellins, cytokinins, inhibitors and retardants, ethylene and morphactins (Darjee et al., 2024). A viable strategy for improving agricultural production stability, preserving soil fertility, soil health, and lowering greenhouse gas emissions is combining natural farming methods with crop variety and intercropping. The current study was conducted to assess how natural farming affects soil quality, nutrient uptake, the right dosage for plants, and overall crop output.
2 Material and method
2.1 Experimental site
The experiment was undertaken at a farm owned by the farmer (coordinates 23.03° N, 72.58° E) as illustrated in Figure 1, spanning 12 months from 2023 and 2024. This farm is located at Daskroi, Ahmedabad, Gujarat, India. The farm is situated at an approximate elevation of 55 m above Sea level and experiences an average annual precipitation of 800 mm. The climate in this geographical area falls within the category of sub-tropical and semi-arid, characterized by an annual average temperature of 26 °C. The soil exhibited a sandy clay loam texture, with the following major properties at a depth of 0–20 cm: 46% sand, 33% silt, 20% clay, a pH is 8.3, a bulk density of 1.39 g/cm3, and an organic carbon content of 0.47%. The initial soil nutrient levels, determined before seed sowing, were as follows: low available nitrogen (238 ± 0.5 kg/ha), medium levels of available phosphorus (53 ± 0.2 kg/ha), and available potassium (120 ± 0.8 kg/ha). The experimental trial started with brinjal (Solanum melongena L.) dated on 1st September, 2023. Before the initiation of the experimental trial, the site had been under continuous natural cultivation of cereals (rice and wheat) and legumes (mungbean) in rotation for more than 7 years. During the year 2023, the total recorded rainfall was 699 mm. The average maximum temperatures during the growing seasons of 2023 were 34.7 °C, while the average minimum temperatures were 21.5 °C, as depicted in Figure 1.
2.2 Experimental design and treatments
The comprehensive treatment details are provided in Table 1. The area of each experimental plot was 20 m2 (5 × 4). Five treatments application of Jivamrit @ Control at (T1), Jivamrit @ 250 mL (T2), Jivamrit @ 500 mL (T3), Jivamrit @ 1,000 mL (T4), and Jivamrit @ chemical fertilizer (T5) were included in the randomized block design of the experiment. Under a randomized block design, each treatment was randomly assigned and duplicated three times. Before planting, all treatment plots aside from chemical treatment plants were treated with Ghanjivamrit (250 kg/ha) and sieved FYM (Farm farmyard manure) (250 kg/ha).
Originally produced seed “kaya F1” variety of brinjal was used for sowing. It was sown at a spacing of 20 cm. The brinjal seeds were treated with beejamrit @ 10 liters/100 kg of seeds. To check the weeds, hand weeding was done with khurpi or a hand hoe. For nutrient management, soil was drenched with Jivamrit at regular intervals, as per the treatments till the initiation of grain filling.
2.3 Soil sample collection and analysis
Fresh soil samples were taken at five separate locations of same farm within each treatment from the 0–15 cm soil layer using an 8 cm tube auger. Throughout the crop’s growth stages, including tilling, flowering, grain filling, and physiological maturity, this sample procedure was used. Soil samples were gathered, well mixed, and left to air dry for seven days before being put in plastic bags for additional research. The soil was analysed for different parameters (Table 2) at CORDET-IFFCO, Kalol, Gandhinagar, Gujarat, India using standard methodologies.
2.4 Jivamrit preparation
Jivamrit is a fermented microbial culture that provides nutrients. The solution increases the microbial and macrofauna activity of the soil and has a catalytic effect. With the aid of ingredients like jaggery and pulse flour, the aerobic and anaerobic bacteria present in the Gir cow dung and urine multiply during the 5–7 days fermentation process (Warghane et al., 2025).
A 200-liter container was taken and filled with 200 liters of water. Subsequently, 10 kg of Gir cow dung was added and thoroughly mixed with the water using a wooden stick. Thereafter, 10 liters of Gir cow urine were incorporated into the mixture. Separately, 2 kg of organic jaggery and 2 kg of pulse flour were combined and mixed well to avoid the formation of clumps. This mixture was then added to the container. Finally, a handful of bund or forest soil was added, and the entire solution was stirred in a circular motion using a stick to ensure uniform mixing. The mixture was stirred twice daily in the morning and evening in a clockwise direction to facilitate proper aeration and microbial activation. The solution was incubated for 9 to 12 days, as described by Palekar (2006) and Devakumar et al. (2014). Upon completion of the fermentation process, the Jivamrit exhibited a golden brown layer on the surface, indicating microbial activity and readiness for use. The Jivamrit solution could then be applied either as a foliar spray or through irrigation. The addition of jaggery and pulse flour served as carbon and nitrogen sources, respectively, promoting the proliferation of beneficial microorganisms originally present in the cow dung and urine. The incorporation of a small quantity of bund or forest soil introduced diverse indigenous microbial populations, particularly various types of bacteria, thereby enhancing the microbial richness of the formulation (Palekar, 2006) (see Figure 2).
2.5 Crop yield measurement
Throughout the year, brinjal (Solanum melongena L.) is grown in India’s many agroclimatic zones, with planting dates adjusted to suit local conditions. The rabi season (October–November), summer season (January–February), and kharif season (June–July) are when transplanting is typically done. Following transplantation, the crop achieves harvestable maturity 60–80 days later, and harvesting continues for 3–4 months at intervals of 7–10 days (Ministry of Environment, Forest and Climate Change, 2011). In agricultural and food processing procedures, the moisture content of brinjal fruits is set at 12% for precise yield estimation and post-harvest assessment (Vijayakumari, 2012).
3 Result
3.1 Soil analysis
The soil’s initial composition was determined to be roughly 30–40% sand, 20–30% silt, and 30–40% clay, indicating a clay loam or sandy clay loam textural class. The bulk density was determined to be between 1.3 and 1.6 g/cm3. Additionally, it was found that the soil moisture content at field capacity was 20–30%, and the soil temperature ranged from 25–30 °C. These metrics stayed mostly the same following the application of JV, according to subsequent investigation, suggesting that the application did not substantially impact the soil’s physical properties (Table 2). It was clearly observed that after application of Jivamrit the changes the parameter mentioned in Table 2.
3.2 Yield attributes
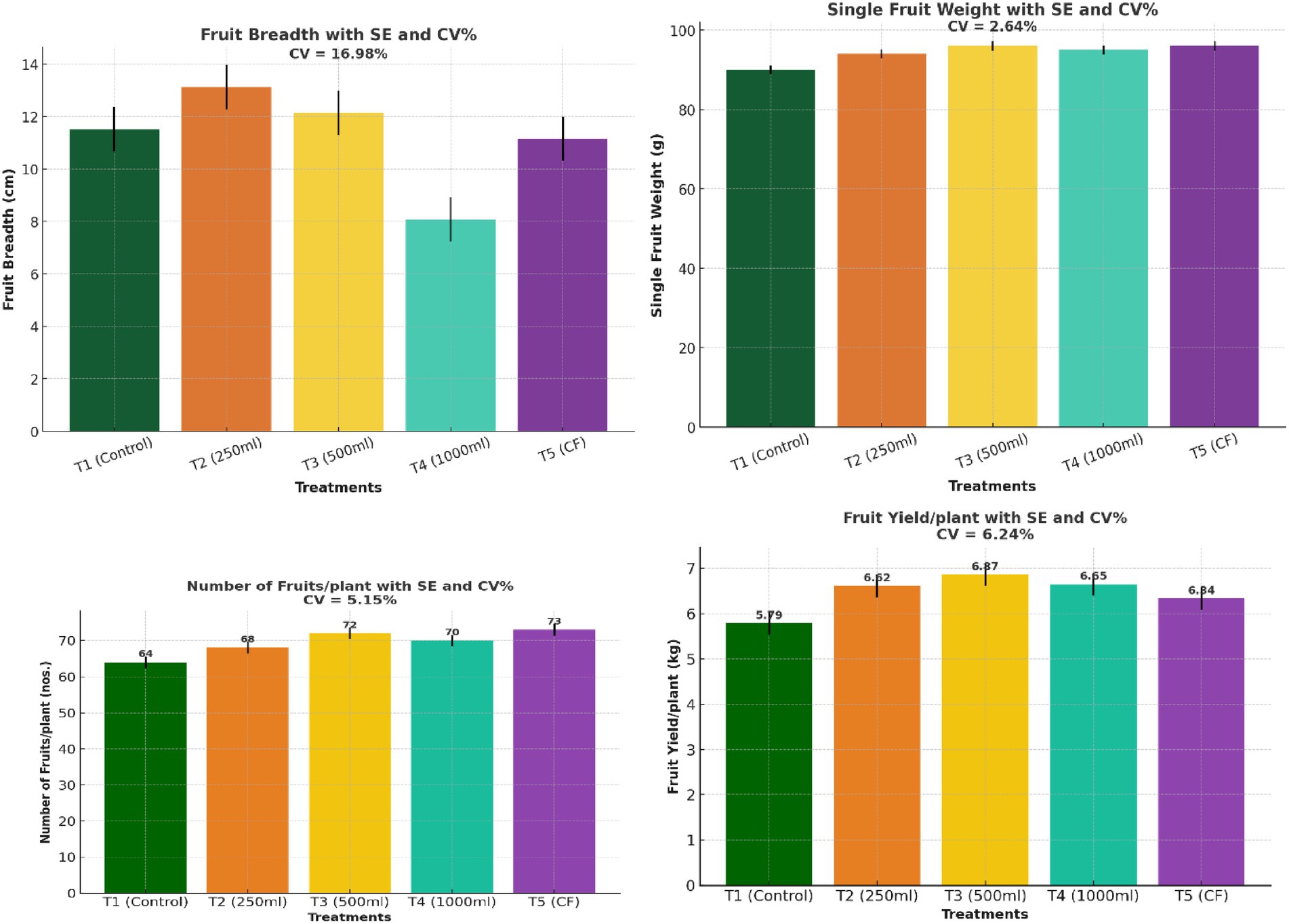
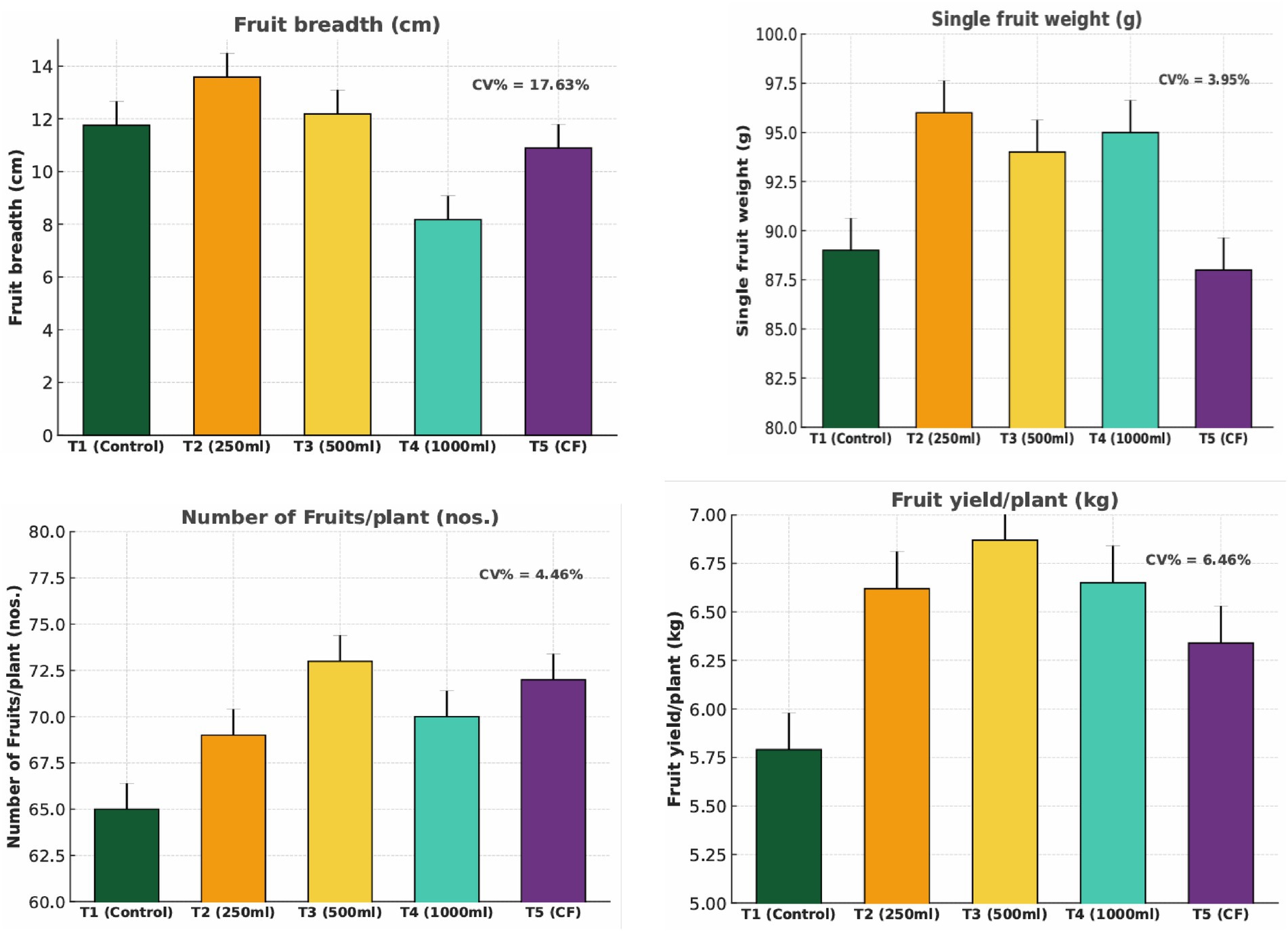
The impact of Jivamrit application at varying concentrations on fruit parameters was assessed through two experimental trials (Tables 3, 4) as reported by Jandaik et al. (2015). The findings revealed that treatment T2 (250 mL Jivamrit) consistently resulted in the highest fruit breadth (13.12 cm and 13.59 cm), superior single fruit weight (94 g and 96 g), and a higher number of fruits per plant (68 and 69), leading to the maximum fruit yield per plant (6.42 kg and 6.62 kg) across both trials. Treatment T3 (500 mL Jivamrit) showed similar effectiveness, with a slightly higher number of fruits (72 and 73) and comparable fruit weight (96 g and 94 g), resulting in fruit yields of 6.92 kg and 6.87 kg, respectively. The control treatment (T1) produced a moderate yield (5.76 kg and 5.79 kg), whereas the highest dose, T4 (1,000 mL Jivamrit), consistently resulted in the lowest fruit breadth (8.07 cm and 8.18 cm) despite having a good number of fruits (70 each) and high single fruit weight (95 g in both trials), indicating that excessive Jivamrit might have negatively influenced fruit breadth. The chemical fertilizer treatment (T5) showed relatively high fruit numbers (73 and 72), but the yield (7.00 kg and 6.34 kg) remained lower than the Jivamrit treatments, likely due to reduced fruit breadth (11.15 cm and 10.89 cm) and inconsistent fruit weight. Overall, T2 (250 mL Jivamrit) emerged as the most effective treatment in improving fruit yield and quality, followed closely by T3 (500 mL Jivamrit). The study concludes that while optimal Jivamrit application significantly enhances fruit development, excessive use may have adverse effects, and chemical fertilizers are less effective than Jivamrit at optimal levels (see Figure 3).

Figure 3. Field view highlighting differences under varying doses. (A) 250 ml. (B) 500 ml. (C) 1000 ml. (D) Control.
3.3 Phenological observation
Five randomly selected plants from each plot for each treatment were used to compile the data. Each treatment’s initial flowering date was noted phonologically, and the number of days until flowering was based on the date that the brinjal seeds were sown. The number of days till fruit set was estimated from the days until the brinjal seeds germinated in the nursery bed. Early harvests were obtained by spreading brinjal seeds on the first harvesting date.
4 Discussion
Sustainable agriculture prioritizes ecosystem health, resource conservation, and chemical use reduction to ensure long-term food security through the adoption of ecologically friendly practices (Saharan et al., 2023; Warghane et al., 2025). To maintain soil fertility, boost biodiversity, and support nutrient cycling patterns, the fundamental elements of sustainable agriculture such as natural and organic farming use conventional farming methods such as cow dung and biofertilizers as safe agricultural inputs (Saharan et al., 2023). With this approach, farmers combine modern agricultural techniques with conventional farming methods to establish sustainable agroecosystems that yield great harvests for many years in the future (Zhao et al., 2014; Shaji et al., 2021).
Indian farmers have practiced natural farming for many generations and adopted low-budget natural Farming (LBNF) to reduce both economic outlays and environmental harm (Patel, 2021). The data from different regions of India demonstrates that Jivamrit based on cow resource, enhances the soil structure and fertility and boosts both crop quality and soil fertility. The ancient traditional farming practices provide a sustainable basis to farm while reducing reliance on synthetic fertilizer products and enhancing rural economic stability (Saharan et al., 2023; Palekar, 2006).
The main advantages of Jivamrit for brinjal plants stem from the improved connections between microorganisms within the rhizosphere (Kumar et al., 2020; Kumari et al., 2022). The application Jivamrit and its advantageous microorganisms work to enable several essential soil functions such as organic matter decomposition and the solubilization of phosphorus as well as nitrogen fixation (Warghane et al., 2025). Soil organic carbon and overall fertility increase through microbial activities to the plants with available nutrients to support dynamic nutrient cycle processes promoting plant growth (Bhadu et al., 2021; Zhang et al., 2024).
The sustainability and quality of the ecosystem depend on organic matter. Carbon emissions have decreased in tropical and subtropical soils due to intense farming using only inorganic fertilizers and little to no organic fertilizer absorption. The development of organic matter in the soil of cucumber, brinjal, and sweet corn can be explained by the application of organic manures (VM) (Muktamar et al., 2018; Wani and Rao, 2012; Bhattarai and Sapkota, 2016). Increases have been attributed to the N mineralization caused by Jivamrit and other organics (Aher et al., 2021; Chen et al., 2017). Both the release of inorganic P from the more organics and the improvement of P adsorption by organic molecules produced by the organics are the main causes of the increased P availability in soil after organic application (Aher et al., 2021).
The research establishes that Jivamrit treatment depends significantly on its concentration levels. The application of large amounts of Jivamrit solution at 1000 mL produced inferior outcomes yet lower amounts between 250 mL and 500 mL produced prominent growth effects on crop production. The study indicates that excessive application results in equilibrium disruption of microbial elements and crop nutrient imbalances that reduce the advantageous effects on yield production.
Targeted Jivamrit application into the root zone enhances its efficiency because minerals and helpful microbes reach plant roots effectively. When Jivamrit is applied directly to the root area, it enhances the uptake of nutrients while simultaneously promoting better microbial activities that colonize the roots and activate key hormonal signaling necessary for plant development (Mukherjee et al., 2022). The localized application ensures a strong soil–plant contact that leads to enhanced plant vigor and yield. The seasonal data displays repeated patterns through graphical illustrations across various environmental scenarios. The growth and yield performance of plant within moderate Jivamrit dosages (250 mL and 500 mL) exceeds control and high-dose treatments throughout the entire growing season. The consistency of natural farming systems across diverse agro-climatic zones is proved by treatment performance, which stays constant even when the absolute yield values are affected by seasonal weather changes.
The treatment with 250 mL Jivamrit (T2) consistently exhibited the highest fruit yield and quality across both trials, followed closely by 500 mL Jivamrit (T3). The application of excessive Jivamrit (1,000 mL, T4) resulted in reduced fruit breadth, single fruit weight, and overall yield, indicating a threshold beyond which higher concentrations negatively affect plant growth. Notably, the synthetic fertilizer treatment (T5) recorded the lowest single fruit weight and yield, reinforcing the superior efficacy of Jivamrit in enhancing crop productivity.
The research analysed the treatment effects on growth and yield measurements in Seasons 1 and 2 with one-way ANOVA statistical testing. An analysis of statistical data revealed that medium Jivamrit doses at 250 mL and 500 mL surpassed both the control and the high dose of 1,000 mL regarding fruit width, single fruit weight and number of fruits per plant and overall yield. Laboratory research results demonstrate why precise dosage is essential and provide quantitative evidence that justifies biofertilizers for precise farming applications (Smith et al., 2020; Sreenivasa et al., 2009) (see Figures 4, 5).
5 Conclusion
Our experimental trials demonstrated that the application of Jivamrit at different concentrations had a significant impact on fruit parameters, including fruit breadth, single fruit weight, and overall fruit yield. The observed improvements in fruit yield with optimal Jivamrit application can be attributed to enhanced microbial activity, improved nutrient mineralization, and better soil biological health. These findings highlight the importance of optimizing the concentration and frequency of Jivamrit application to maximize benefits while avoiding detrimental effects. The present study reveals that integrating Jivamrit into conventional farming practices can enhance soil fertility and fruit yield while reducing reliance on chemical fertilizers. However, further investigations are required to determine the long-term impact of Jivamrit on different soil types and crop varieties. Additionally, in-depth characterization of Jivamrit’s microbial composition and its role in nutrient cycling will provide deeper insights into its effectiveness. Future studies should focus on developing site-specific recommendations and standardized protocols to facilitate widespread adoption among farmers.
Data availability statement
The raw data supporting the conclusions of this article will be made available by the authors, without undue reservation.
Author contributions
AW: Conceptualization, Data curation, Funding acquisition, Investigation, Methodology, Project administration, Software, Validation, Visualization, Writing – review & editing. JT: Data curation, Supervision, Validation, Visualization, Writing – original draft, Methodology, Resources. KC: Investigation, Methodology, Project administration, Resources, Validation, Visualization, Writing – original draft. DZ: Conceptualization, Investigation, Methodology, Project administration, Supervision, Validation, Writing – review & editing. HP: Formal analysis, Methodology, Writing – original draft. VB: Investigation, Supervision, Visualization, Writing – review & editing. BC: Investigation, Supervision, Writing – review & editing.
Funding
The author(s) declare that financial support was received for the research and/or publication of this article. The author(s) declare that this was supported by Gujarat State Biotechnology Mission (GSBTM), Govt. of Gujarat, vide grant number: GSBTM/JD (R&D)/661/2022.23/00172644 dated 06.02.2023.
Conflict of interest
The authors declare that the research was conducted in the absence of any commercial or financial relationships that could be construed as a potential conflict of interest.
Generative AI statement
The author(s) declare that no Gen AI was used in the creation of this manuscript.
Any alternative text (alt text) provided alongside figures in this article has been generated by Frontiers with the support of artificial intelligence and reasonable efforts have been made to ensure accuracy, including review by the authors wherever possible. If you identify any issues, please contact us.
Publisher’s note
All claims expressed in this article are solely those of the authors and do not necessarily represent those of their affiliated organizations, or those of the publisher, the editors and the reviewers. Any product that may be evaluated in this article, or claim that may be made by its manufacturer, is not guaranteed or endorsed by the publisher.
References
Aher, S. B., Lakaria, B. L., Kaleshananda, S., and Singh, A. B. (2021). Yield, nutrient uptake and economics of soybean–wheat cropping system under organic nutrient management in Central India. J. Plant Nutr. 45, 904–919. doi: 10.1080/01904167.2021.1994600
Aulakh, C. S., and Ravisankar, N. (2017). Organic farming in Indian context: a perspective. Agric. Res. J. 54:149. doi: 10.5958/2395-146x.2017.00031.x
Bhattarai, B. P., and Sapkota, B. (2016). Effect of organic nutrient management on yield of cucumber (Cucumis sativus) and its residual effect on soil. Int. J. Agric. Environ. Res. 2, 1768–1776. Available at: https://ijaer.in/uploads/ijaer_02__125.pdf
Bhadu, K., Sharma, S. K., Choudhary, R., Yadav, S. K., Jain, R. K., Jat, G., et al. (2021). Effect of Jeevamrut on productivity and profitability of wheat under organic farming. Indian Journal of Agricultural Sciences 91, 924–928. doi: 10.56093/ijas.v91i6.114301
Chandrakala, M. (2008). Effect of FYM and fermented liquid manures on yield and quality of chili. Dharwad: University of Agricultural Sciences.
Chen, D., Yuan, L., Liu, Y., Ji, J., and Hou, H. (2017). Long-term application of manures plus chemical fertilizers sustained high rice yield and improved soil chemical and bacterial properties. Eur. J. Agron. 90, 34–42. doi: 10.1016/j.eja.2017.07.007
Darjee, S., Singh, R., Dhar, S., Pandey, R., Dwivedi, N., Sahu, P. K., et al. (2024). Empirical observation of natural farming inputs on nitrogen uptake, soil health, and crop yield of rice–wheat cropping system in the organically managed Inceptisol of trans-Gangetic plain. Front. Sustain. Food Syst. 8:1324798. doi: 10.3389/fsufs.2024.1324798
Devakumar, N., Shubha, S., Gouder, S. B., and Rao, G. G. E. (2014). Microbial analytical studies of traditional organic preparations beejamrutha and jeevamrutha. In G. Rahmann and U. Aksoy (Eds.), Proceedings of the IV ISOFAR Scientific Conference, “Building Organic Bridges”, Organic World Congress, Istanbul, Turkey (pp. 639-642).
Garg, A. K., and Mudgal, V. (2007). Organic and mineral composition of gomeya (cow dung) from desi and crossbred cows: a comparative study. Int. J. Cow Sci. 3, 17–19. Available at: https://www.researchgate.net/publication/333973106
Gore, S. (2009). Influence of liquid organic manures on growth, nutrient content and yield of tomato (Lycopersicon esculentum mill.) in sterilized soil. Dharwad: University of Agricultural Sciences.
Gupta, K., Bhadauria, I. S., and Bhadauria, S. Effect of zero budget natural farming on nutrient content and uptake of wheat (Triticum aestivum L.) Pharma Innov. J. (2022) 11 2305–2308 Available online at: http://www.thepharmajournal.com
Jandaik, S., Thakur, P., and Kumar, V. (2015). Efficacy of cow urine as plant growth enhancer and antifungal agent. Advances in Agriculture. doi: 10.1155/2015/620368
John, D. A., and Babu, G. R. (2021). Lessons from the aftermaths of green revolution on food system and health. Front. Sustain. Food Syst. 5:644559. doi: 10.3389/fsufs.2021.644559
Kaur, P., and Saini, J. P. (2021). Optimization of Jeevamrit doses and application time for enhancing productivity of wheat under natural farming system. J. Pharmacogn. Phytochem. 10, 405–408. Available at: https://www.researchgate.net/publication/373097467
Kumar, R., Kumar, S., Yashavanth, B. S., Meena, P. C., Ramesh, P., Indoria, A. K., et al. (2020). Adoption of natural farming and its effect on crop yield and farmers’ livelihood in India. ICAR-National Academy of Agricultural Research Management & ICAR-Central Research Institute for Dryland Agriculture.
Kumari, S., Meena, L., Raghavendra, K. J., and Karwal, M. (2022). Jeevamrit/Jeevamrutha: organic concoctions for natural farming. Agric. Food e-Newsletter 4, 40–42.
Ministry of Environment, Forest and Climate Change . (2011). Biology of brinjal (Solanum melongena L.). New Delhi: Ministry of Environment, Forest and Climate Change (MoEFCC). Government of India. Available at: https://moef.gov.in/[exact-document-link
Muktamar, Z., Adiprasetyo, T., Yulia, S., Sari, L., Fahrurrozi, F., and Setyowati, N. (2018). Residual effect of vermicompost on sweet corn growth and selected chemical properties of soils from different organic farming practices. Int. J. Agric. Technol. 14, 1471–1482.
Mukherjee, S., Sain, S., Sain, S., Ali, M. N., Goswami, R., Chakraborty, A., et al. (2022). Microbiological properties of Beejamrit, an ancient Indian traditional knowledge, uncover a dynamic plant beneficial microbial network. World journal of microbiology & biotechnology, 38, 111. doi: 10.1007/s11274-022-03296-3
Nagavani, A. V., and Subbian, P. (2015). Effect of organics and inorganics on soil microbial population and enzymatic activity in maize–maize cropping system. Prog. Agric. 15, 9–14.
Palekar, S. (2006). The principles of spiritual farming II. 2nd ed. Amravati: Zero Budget Natural Farming Research, Development & Extension Movement, Amravati, Maharashtra, India. Available at: http://www.vedicbooks.net/principles-spiritual-farming-volumep-14779.html.
Patel, B. N., Solanki, M. P., Patel, S. R., and Desai, J. R. (2011). Effect of bio-fertilizers on growth, physiological parameters, yield and quality of brinjal cv. Surati Ravaiya. Indian J. Hortic. 68, 370–374.
Patel, S. P., Malve, S. H., Chavda, M. H., and Vala, Y. B. (2021). Effect of Panchgavya and Jeevamrut on growth, yield attributes and yield of summer pearl millet. Pharma Innov J. 10, 105–109.
Rathore, G., Kaushal, R., Sharma, V., Sharma, G., Chaudhary, S., Dhaliwal, S. S., et al. (2023). Evaluation of the usefulness of fermented liquid organic formulations and manures for improving the soil fertility and productivity of brinjal (Solanum melongena L.). Agriculture 13:417. doi: 10.3390/agriculture13020417
Saharan, B. S., Tyagi, S., Kumar, R., Vijay, Om, H., Mandal, B. S., and Duhan, J. S. (2023). Application of Jeevamrit improves soil properties in zero budget natural farming fields. Agriculture, 13:196. doi: 10.3390/agriculture13010196
Shaji, H., Chandran, V., and Mathew, L. (2021). “Organic fertilizers as a route to controlled release of nutrients” in Controlled release fertilizers for sustainable agriculture (Elsevier), 231–245. doi: 10.1016/B978-0-12-819555-0.00013-3
Shaji, H., Chandran, V., and Mathew, L. (2023). “Application of Jeevamrit improves soil properties in zero budget natural farming fields. Agriculture, 13, 196. doi: 10.3390/agriculture13010196
Singh, R. P., Kasera, S., and Singh, D. (2020). Effect of bio-fertilizers on growth, yield and quality of brinjal (Solanum melongena L.) cv. Kashi uttam. Chem. Sci. Rev. Lett. 9, 786–791. doi: 10.37273/chesci.CS205107192
Singh, I., Kaur, H., and Kaur, S. (2023) Effect of organic nutrient management practices on growth and yield of brinjal (Solanum melongena L.) Pharma Innov. J. 12 1632–1635 Available online at: http://www.thepharmajournal.com
Smith, J., Yeluripati, J., Smith, P., and Nayak, D. R. (2020). Potential yield challenges to scale-up of Zero Budget Natural Farming.
Sreenivasa, M. N., Naik, N., and Bhat, S. N. (2009). Use of jivamrit and panchagavya for sustainable agriculture. Karnataka J. Agric. Sci. 22, 1038–1040.
Vijayakumari, B., Yadav, R. H., Gowri, P., and Kandari, L. S. (2012). Effect of Panchagavya, Humic Acid and Micro herbal Fertilizer on the Yield and Post Harvest Soil of Soya Bean (Glycine max L.). Asian J Plant Sci. 11, 83–86. doi: 10.3923/ajps.2012.83.86
Wani, K. A., and Rao, R. J. (2012). Effect of vermicompost on growth of brinjal plant (Solanum melongena) under field conditions. J. New Biol. Rep. 1, 25–28.
Warghane, A., Bhatt, V., Chopade, B. A., Thakkar, J., and Bhardwaj, G. (2024). Jivamrit as a sustainable approach: a review of natural farming and future agriculture. Recent Adv. Food Nutr. Agric. 16, 241–249. doi: 10.2174/012772574X332918240911033507
Warghane, A., Thakkar, J., Bhardwaj, G., Bhatt, V., and Chopade, B. A. (2025). Isolation and characterization of major cultivable bacteria from novel natural fertilizer with comprehensive nutrient analysis. J. Pure Appl. Microbiol. 19, 197–209. doi: 10.22207/JPAM.19.1.11
Zhang, X., Yin, J., Ma, Y., Peng, Y., Fenton, O., Wang, W., et al. (2024). Unlocking the potential of biostimulants derived from organic waste and by-product sources: improving plant growth and tolerance to abiotic stresses in agriculture. Environ. Technol. Innov. 34:103571. doi: 10.1016/j.eti.2024.103571
Keywords: brinjal, Jivamrit, natural farming, nutrient uptake, soil fertility
Citation: Warghane A, Thakkar J, Chauhan K, Zala D, Patel H, Bhatt V and Chopade BA (2025) Evaluating the impact of natural fertilizers on growth dynamics and yield performance of Solanum melongena L.. Front. Sustain. Food Syst. 9:1668080. doi: 10.3389/fsufs.2025.1668080
Edited by:
Miguel Angel García-Parra, National Open and Distance University, ColombiaReviewed by:
Sonu Gautam, Tribhuvan University, NepalNubia Zoraida Plazas Leguizamón, Fundación Universitaria Juan de Castellanos, Colombia
Copyright © 2025 Warghane, Thakkar, Chauhan, Zala, Patel, Bhatt and Chopade. This is an open-access article distributed under the terms of the Creative Commons Attribution License (CC BY). The use, distribution or reproduction in other forums is permitted, provided the original author(s) and the copyright owner(s) are credited and that the original publication in this journal is cited, in accordance with accepted academic practice. No use, distribution or reproduction is permitted which does not comply with these terms.
*Correspondence: Ashish Warghane, d2FyZ2hhbmUuYXNoaXNoQGdtYWlsLmNvbQ==