ORIGINAL RESEARCH article
Front. Sustain. Food Syst.
Sec. Climate-Smart Food Systems
This article is part of the Research TopicInnovative Approaches to Sustainability: Challenges and SolutionsView all articles
Balancing productivity and sustainability: evaluating harmful agricultural practices and regulatory responses on climate resilience in the Yellow River Basin, China
Provisionally accepted- 1Northwest A&F University, Yangling China, Xianyang, China
- 2Northwest A&F University, Yangling, China
- 3Universitetet i Stavanger, Stavanger, Norway
- 4King Saud University, Riyadh, Saudi Arabia
Select one of your emails
You have multiple emails registered with Frontiers:
Notify me on publication
Please enter your email address:
If you already have an account, please login
You don't have a Frontiers account ? You can register here
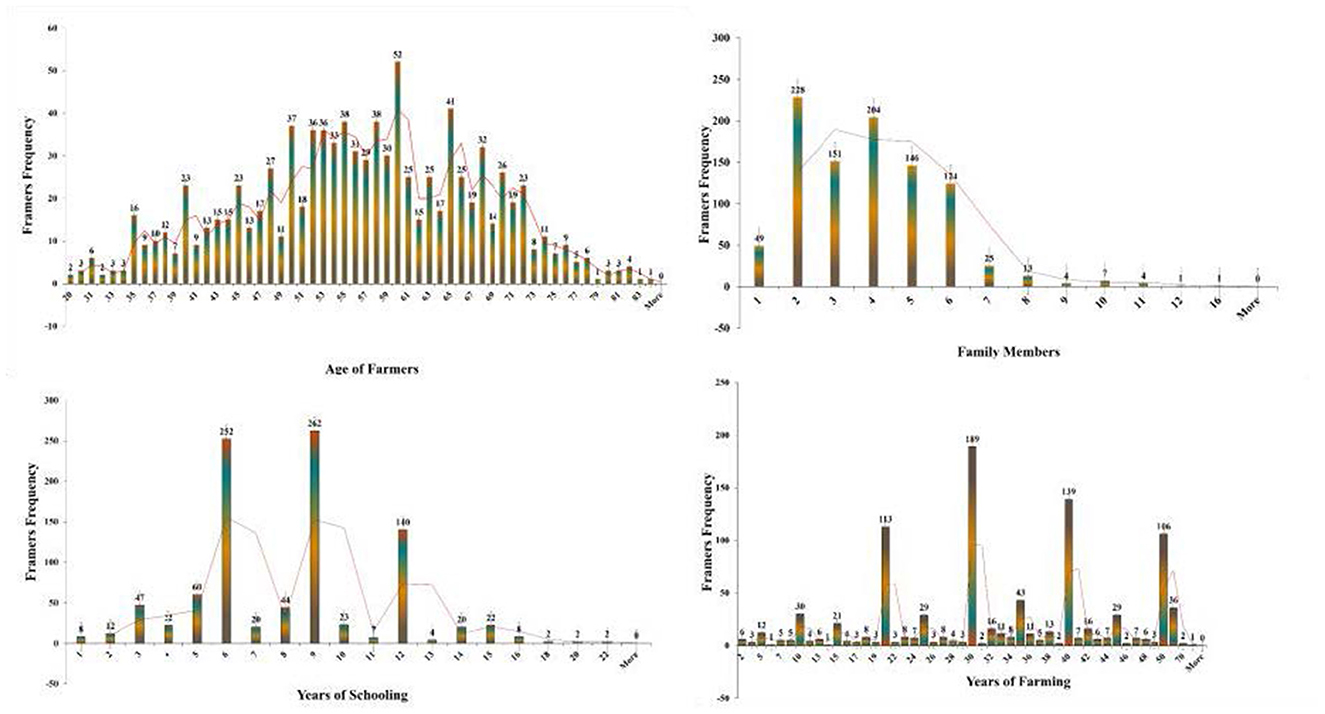
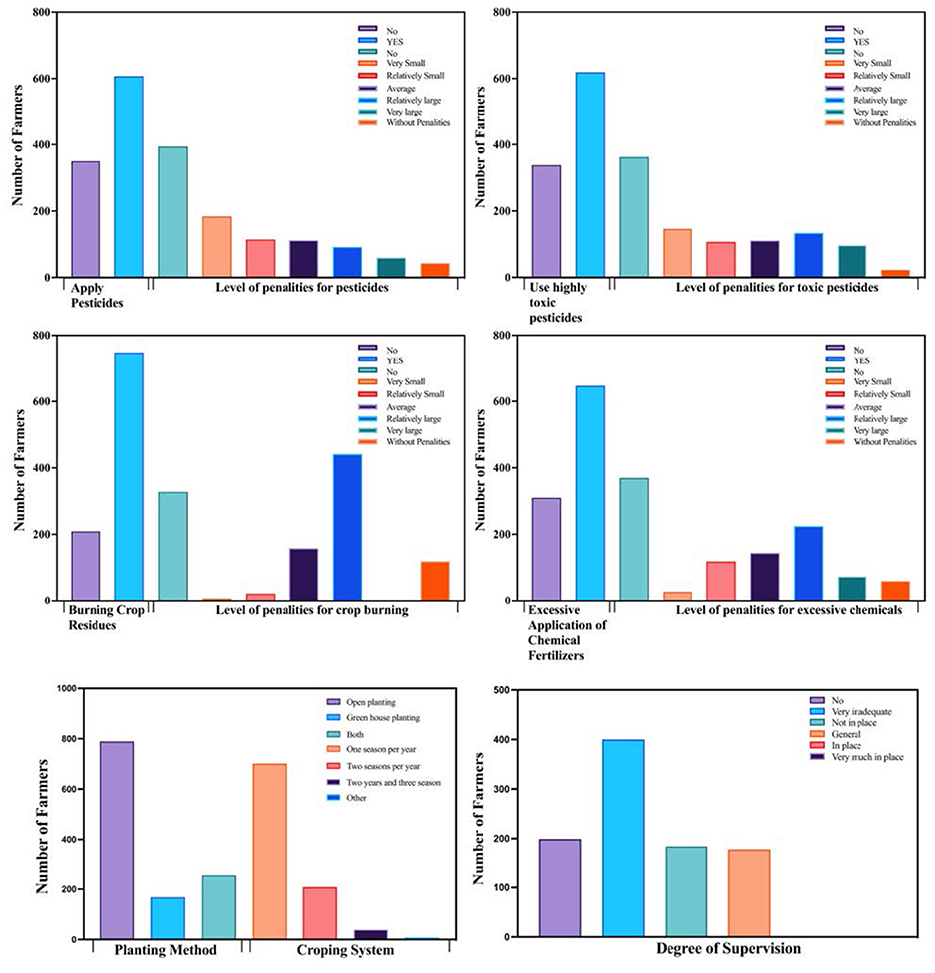
Agricultural production in the Yellow River Basin (YRB) faces challenges including inadequate extension services, outdated technologies, environmental degradation from excessive use of fertilizers and pesticides, and poor waste management. This study employs stochastic frontier analysis to investigate the effects of environmental regulation on technical efficiency, offering new empirical evidence on how environmental regulations influence agricultural production choices and farm-level performance. Stochastic production frontier analysis used to estimate technical efficiency and inefficiency while evaluating the trade-offs associated with regulatory policy interventions. Data was collected from a stratified random sample of 957 farmers in Gansu, Shaanxi, and Shanxi provinces at the county level through in-person interviews conducted in August 2022 using a questionnaire tool. Regulatory Policy interventions, like penalties on crop residue burning, improve efficiency, while excessive use of hazardous chemicals negatively impact at 1% significance level. Study highlights need of farmer training, with even a 0.10% efficiency gain from demonstration or theory classes. Sustainable farming practices and fertilizers are ensuring ensure ecological sustainability and long-term agricultural productivity. In conclusion, urgent robust regulatory oversight is essential to prevent the overuse of chemicals and residue burning, promoting environmental and sustainable agriculture. Keywords: Environmental Regulatory Measures, Climatic Adaptation information sources , Agricultural Sustainability, Socio-Economic Sustainability, farm level technical efficiency , Yellow River Basin
Keywords: environmental regulatory measures, Climatic Adaptation information sources, agricultural sustainability, Socio-Economic Sustainability, Farm level technical efficiency, Yellow River Basin
Received: 19 Jul 2025; Accepted: 27 Oct 2025.
Copyright: © 2025 Saif Khan, Mathavan, Khan, Li, Dabiah, Muddassir, Rasheed and Hua. This is an open-access article distributed under the terms of the Creative Commons Attribution License (CC BY). The use, distribution or reproduction in other forums is permitted, provided the original author(s) or licensor are credited and that the original publication in this journal is cited, in accordance with accepted academic practice. No use, distribution or reproduction is permitted which does not comply with these terms.
* Correspondence: Li Hua, lihua7485@nwafu.edu.cn
Disclaimer: All claims expressed in this article are solely those of the authors and do not necessarily represent those of their affiliated organizations, or those of the publisher, the editors and the reviewers. Any product that may be evaluated in this article or claim that may be made by its manufacturer is not guaranteed or endorsed by the publisher.
