- 1College of Rural Revitalization, Fujian Agriculture and Forestry University, Fuzhou, China
- 2Department of Tourism Management, South China University of Technology, Guangzhou, China
Ensuring food security while advancing agricultural modernization is a strategic priority in China. Using county-level panel data from 2,571 counties in 26 provinces during 2013–2022, this study exploits the phased establishment of national rural industrial integration demonstration parks as a quasi-natural experiment. A difference-in-differences framework, combined with event-study analysis and multiple robustness checks—including tail trimming, placebo tests, shortened sample windows, PSM-DID, exclusion of concurrent policies, and double-machine-learning replacement—is employed to estimate causal effects on grain production. The results show that demonstration park designation significantly increases county-level grain output, with a benchmark effect of about 5.81%, which persists for three years after implementation but gradually declines over time. Mechanism analysis indicates that the policy effect operates mainly through agricultural technological progress and farmland scale operation, while heterogeneity tests reveal stronger impacts in counties with higher fiscal expenditure and greater internet penetration. These findings suggest that rural industrial integration can enhance grain production by promoting technology diffusion and land-use optimization, and that policy effectiveness is contingent on fiscal and digital conditions, highlighting the need for regionally tailored support when scaling up integration strategies.
1 Introduction
Global food security is confronting unprecedented challenges, exacerbated by rising trade protectionism, geopolitical conflicts, and the increasing frequency of extreme weather events. According to the Food and Agriculture Organization of the United Nations, the number of people experiencing severe food insecurity reached 333 million in 2023, underscoring the growing fragility of global food supply chains. As the world’s largest producer and consumer of grain, China has consistently prioritized food security, particularly since the official implementation of its national food security strategy in 2013. By 2024, China’s grain output had exceeded 1.4 trillion kilograms, with a unit yield of 394.7 kg per mu, representing a historic milestone in safeguarding domestic food security. Nevertheless, persistent structural contradictions within agriculture, coupled with resource constraints, environmental pressures, and the escalating impacts of climate change, continue to pose serious threats to sustainable grain production (Misra, 2014).
Rural industrial integration represents an innovative extension and enhancement of traditional agricultural development models, aligning with the evolving demands of a modern economy. By fostering synergistic interactions among agriculture, manufacturing, services, and information technology sectors, this approach facilitates the integrated development of diverse industries—including agricultural production, processing, rural services, and tourism. It transcends the limitations of conventional agriculture, promotes optimized resource allocation, and enhances overall agricultural efficiency (Ge et al., 2022; Zhou et al., 2023). Thus, rural industrial integration serves not only as an effective response to the constraints of traditional agriculture but also as a crucial strategy for driving the modernization of agriculture and fostering comprehensive rural economic development. Globally, many developing countries are exploring rural industrial integration as a pivotal pathway to advance agricultural modernization and ensure food security. For instance, India has implemented integrated agricultural systems that combine crop cultivation, livestock rearing, fisheries, and agroforestry practices to enhance productivity and livelihood sustainability (Hyder and Bhargava, 2016). Similarly, Brazil and other Latin American nations have actively developed agricultural industrial clusters, fostering deep integration across processing, logistics, and trade sectors to strengthen the competitiveness of agricultural value chains (Sharma and Kumar, 2022). These international experiences demonstrate that promoting cross-sectoral integration between primary production and secondary/tertiary industries has become a shared strategy for addressing food security and agricultural development challenges in developing economies. To further promote the integrated development of rural industries, in 2017, seven Chinese ministries—including the National Development and Reform Commission—jointly issued the “Implementation Plan for Establishing National Demonstration Parks for Integrated Rural Industrial Development.” This policy initiative emphasized the strategic construction of nationally designated demonstration parks, leveraging local resource endowments, distinctive agricultural industries, and cultural heritage to establish tailored models of integrated development. The initiative aims to extend industrial chains, stimulate innovation, and inject new vitality into agricultural development. By the end of 2022, China had recognized 300 demonstration parks in three batches and approved a fourth batch of 119 additional parks. Against this policy backdrop, the relationship between rural industrial integration and grain production has garnered increasing attention. Critical questions remain: Can rural industrial integration genuinely enhance grain production? What are the underlying mechanisms? Do these effects vary under different conditions? This study seeks to address these questions by examining the impact of rural industrial integration on grain production, thereby providing theoretical insights and practical guidance for constructing a modernized agricultural industrial system.
To investigate the above issues, focusing on the county level, this study utilizes panel data from 2,571 counties across 26 provinces in China from 2013 to 2022 to systematically analyze the effects of rural industrial integration on grain production. Our research contributes to the existing literature in three key aspects: First, it shifts the focus from macro-level agricultural efficiency and income effects to the direct impact of integration on grain output at the county level, addressing a critical gap in localized food security research. Second, unlike previous studies reliant on composite indices or correlation analysis, this paper leverages the phased implementation of national demonstration parks as a quasi-natural experiment, employing a difference-in-differences approach combined with double machine learning to robustly identify causal effects. Third, it expands mechanistic analysis by incorporating not only technological progress and land scale operation but also contextual heterogeneities such as fiscal capacity and internet development, thereby elucidating regional variations in policy effectiveness. Collectively, this study enhances both theoretical and empirical understandings of how rural industrial integration contributes to food security, offering innovative methodological and policy insights for future research.
2 Literature review
2.1 Food security and production determinants
Food security encompasses not only the quantity of food supply but also the quality assurance and equitable distribution of food. Its core essence lies in ensuring that a nation can stably and continuously provide sufficient, nutritionally complete food to meet the growing consumption demands (Misra, 2014). Food security has become one of the most pressing issues globally and is influenced by multiple internal and external factors (Timmer, 2000). In terms of external factors, global climate change has profound impacts on crop growth, agricultural productivity and resource availability. Extreme weather events such as droughts and floods further exacerbate food security risks (Brown and Funk, 2008; Wang et al., 2023a; Su et al., 2022), while policy interventions such as subsidies and government support influence production decisions (Li et al., 2013; Xin et al., 2024; Wu Z. et al., 2024; Zubovic and Jovanovic, 2021). Changes in market demand likewise drive production adjustments (Shi, 2014; Song et al., 2021). In this context, developing sustainable agricultural practices and enhancing production resilience are essential to guarantee long-term food security.
In terms of internal factors, technological advances play a key role in enhancing agricultural productivity (Chandio et al., 2023; Wu et al., 2014). The application of mechanization, precision farming techniques, and digital innovations such as big data analytics have significantly improved the efficiency and sustainability of food production systems. Moreover, large-scale land operations and integration of decentralized agricultural systems are essential to optimize resource use and improve yields (Li et al., 2022; Liu J. et al., 2024; Yang et al., 2023). A study on the impact of agricultural modernization in India found that the integration of mechanized farming and digital technologies can lead to long-term productivity gains (Wang et al., 2023b).
Recent data on China’s grain production further highlights the importance of technological adoption and large-scale operations. According to the National Bureau of Statistics, China’s grain output in 2024 reached over 1.4 trillion kilograms, demonstrating the successful implementation of modern agricultural techniques. However, despite these successes, the structural contradictions in China’s agricultural sector, such as resource constraints and climate change impacts, remain significant challenges for sustainable production.
2.2 Rural industrial integration: concepts and measurements
Rural industrial integration refers to the cross-field synergy between agriculture and secondary and tertiary industries, aiming to build a holistic rural development model. This model breaks through the traditional agricultural boundaries and integrates manufacturing, processing, logistics, service and science and technology industries so as to enhance agricultural productivity (Ding et al., 2023; Hao et al., 2023). In this context, rural industrial integration not only addresses the challenges of food production, but also plays a key role in rural economic development.
Early studies focused on industry chain extension and multifunctional agriculture, often using single-dimensional indicators. Recent studies have shifted to a multidimensional composite indicator system to capture the complexity of the integration process (Li et al., 2025; Ge et al., 2022; Chen X. et al., 2024). Empirical studies have shown that rural industrial agglomeration has multiple effects: at the economic level, industrial agglomeration significantly improves agricultural production efficiency by optimizing resource allocation and promoting cross-sectoral vertical and horizontal linkages (Ding et al., 2023; Li et al., 2025).
In addition, rural industrial integration has significant social and environmental benefits. The establishment of comprehensive agricultural product processing centers has provided farmers with a stable source of income and enhanced their financial resilience. At the same time, rural tourism, e-commerce and the development of high value-added agricultural products have opened up new income-generating channels for farmers, further promoting the diversified development of the rural economy (Tian et al., 2024; Chen et al., 2025). On the environmental front, it encourages green production practices and sustainable resource utilization (Chen C. et al., 2024; Zhang and Liu, 2024).
Although existing research has made significant progress, the current literature still requires further refinement in treating rural industrial integration as a key pathway to promote grain production and systematically examining its mechanisms and influencing factors. This is primarily reflected in two aspects: On one hand, existing literature predominantly focuses on how rural industrial integration enhances agricultural economic efficiency, improves farmers’ income, and contributes to social development and environmental benefits. However, there is a lack of systematic and in-depth analysis on how industrial integration directly drives grain production. On the other hand, existing research also rarely explores the specific mechanisms underlying this relationship, such as the pathways through which industrial integration influences grain production, its adaptability to different agricultural regions and development stages, and how policy support can further strengthen this relationship. Given this, this study constructs a theoretical framework linking rural industrial integration and grain production. It employs a difference-in-differences model to empirically examine the impact of rural industrial integration on grain production. By incorporating mechanism variables and heterogeneity variables—including agricultural technological progress, farm scale, fiscal expenditure levels, and internet penetration rates— systematically analyzes how different factors influence the impact of rural industrial integration on grain production across diverse regions and contexts. This provides new theoretical perspectives and empirical evidence on the relationship between rural industrial integration and grain production, fills gaps in existing literature on the effects of rural industrial integration, and offers theoretical foundations and empirical support for policy formulation and industrial development.
3 Theoretical analysis and research hypotheses
3.1 Mechanisms of rural industrial integration on food production
China’s agricultural development is undergoing a transition from a traditional model to modern agriculture, which is key to meeting current food security needs. Traditional agricultural production alone cannot realize this transformation (Figure 1). One of the key strategies to promote modern agriculture is the integrated development of the agricultural sector (Cao, 2022; Li and Wu, 2024). Such integrated development reallocates land, labor and capital to more productive areas, in line with the theory of resource endowment and comparative advantage (Quang, 2013). By linking grain production with industries such as processing, e-commerce, and rural tourism, rural industrial integration alleviates supply–demand mismatches and improves efficiency (Shi and Liao, 2025). These zones optimize resource allocation and improve agricultural production systems, forming a multi-level synergistic mechanism that enhances food production capacity (Zhou et al., 2023). Policies promoting the “cross-fertilization” of agriculture with secondary and tertiary industries reduce inefficiencies. For example, processing demands lead to the selection of high-value crops, e-commerce feedback guides planting adjustments, and rural tourism promotes farmland infrastructure upgrades. This system creates a positive feedback loop, where demand-driven production fosters greater efficiency. Moreover, new organizational models such as agricultural industrialization consortiums unify small farmers, centralizing procurement and supporting the “production trusteeship + technology contract” model. This integration improves resilience to extreme weather and stabilizes farmers’ incomes through mechanisms like guaranteed purchase + secondary dividends (Zheng et al., 2024). The demonstration park policy also enhances agricultural conditions by coordinating resources and maintaining uniform management standards. It reduces natural risks, boosts infrastructure (e.g., water, power, roads), and encourages farmers to increase food production. These efforts lead to more efficient and resilient agricultural practices, ultimately driving higher food production levels. Based on these mechanisms, we propose the following hypothesis:
H1: Rural industrial integration can boost food production.
3.2 Analysis of the mechanisms by which rural industrial integration affects food production
The Rural Industrial Integration Demonstration Park program fosters a “self-sustaining” mechanism through institutional innovation and technological penetration, in contrast to the “external support” approach where the government provides direct financial aid. This mechanism drives agricultural technology development, which is essential for improving the quality and efficiency of grain production. According to endogenous growth theory, sustained productivity growth relies on the accumulation of knowledge and technological advancement (Bardhan, 1995). Demonstration parks serve as key platforms within China’s national innovation system, promoting collaboration between industry, academia, and research institutions. By pooling agricultural funds and supporting the adoption of technologies such as the Internet of Things (IoT), smart machinery, and digital platforms, these parks reduce the cost of technology adoption for smallholder farmers and accelerate innovation diffusion (Hongguang, 2023).
To address issues such as land fragmentation and decentralized funding, the demonstration park policy mandates that local governments “prioritize land use arrangements for demonstration parks” and “integrate agriculture-related funds to build technological infrastructure.” Additionally, demonstration park companies can “declare special bonds” to finance the integration of heavy-asset technologies, such as IoT and intelligent agricultural machinery (Lu and Guo, 2025). The parks also establish industry-university-research cooperation platforms to foster innovation and ensure a seamless transition from research to practical application. This closed loop of “demand-driven R&D” lowers technology adoption costs and attracts social capital to support critical food production technologies.
Furthermore, leading enterprises within demonstration parks act as technology hubs, facilitating technology transfer to small farmers through mechanisms such as the “guaranteed purchase + technical standards” model. This system creates a regional technology-sharing network, addressing the “last mile” issue of agricultural technology diffusion. By integrating platforms for weather warnings, pest monitoring, and other data, the parks promote “technology integration for production” and enhance agricultural productivity, thus boosting food production (Herrero et al., 2020). Based on these mechanisms, we propose the following research hypothesis:
H2: Rural industrial integration can promote technological progress in agriculture and thus enhance food production.
The theory of economies of scale suggests that expanding production scale reduces average unit costs and improves the efficiency of factor utilization (Kwon, 1986). Rural industrial integration promotes large-scale farmland operations, turning food production into an intensive and efficient process through governmental guidance and cooperative efforts. The policy mandates that demonstration parks increase land transfer, trusteeship, and large-scale operations. It also prioritizes the development of contiguous farmland within demonstration parks, encouraging leading enterprises to integrate fragmented arable land under the “shareholding + guaranteed dividends” model. This facilitates the use of large-scale agricultural equipment and integrated water and fertilizer systems, which lower production costs and improve land use efficiency (Gong et al., 2023).
Large-scale operations also simplify the selection of uniform crop varieties and field management, addressing issues like mixed varieties caused by dispersed planting, and laying the foundation for consistent high grain yields. The policy further mandates the use of modern agricultural production facilities, such as drone precision fertilization and intelligent irrigation, which reduce labor costs and improve operational accuracy. Based on these mechanisms, this paper proposes the following research hypothesis:
H3: Rural industrial integration can promote large-scale management of agricultural land and thus food production.
4 Empirical research design
4.1 Modeling
The difference-in-differences model effectively controls for unobservable fixed effects, thereby more accurately identifying the net effects of policies or events. By comparing changes in the treatment and control groups before and after policy implementation, it ingeniously mitigates endogeneity issues. Furthermore, this method is intuitive and easy to understand, making it a widely used causal inference approach in policy evaluation. Therefore, in order to test the impact of the integrated development of rural industries on food production, this paper adopts a double difference model for benchmark regression. The specific model is constructed as Equation 1. Where denotes the level of food production in county i in year t, denotes the impact of rural industrial integration policies on county i in year t, denotes the set of control variables, is the county fixed effect, is the year fixed effect, and (= 1, 2, 3, 4) is the random error term.
4.2 Variable selection and data sources
4.2.1 Explained variables
Grain production (GP) serves as this paper’s explanatory variable. According to the studies of Ma et al. (2025) and Liu Y. et al. (2024), county grain production can directly and specifically reflect the scale and efficiency of grain production. This paper uses county grain production to measure county grain production, and logarithmic treatment is used to prevent the effect of heteroskedasticity.
4.2.2 Explanatory variables
This paper uses the rural industrial integration pilot as its explanatory variable. It is challenging to respond to the growth of rural industrial integration by developing an indicator system because of the complexity and dynamics of this integration, as well as the limitations imposed by the availability of data at the county level. Thus, the method used by Lu and Guo (2025), creates policy dummy variables in conjunction with the selection period and chooses the rural industrial integration demonstration parks that are chosen annually by the Ministry of Agriculture and Rural Development between 2019 and 2022. In particular, dummy variables are created to account for the effects of policy implementation across time. In order to signal the late stage of policy implementation—that is, when a county is chosen as a demonstration garden in the late stage of the demonstration garden policy implementation—a time dummy variable (Post) is initially set in the DID model and given a value of 1; otherwise, it is given a value of zero. After that, a policy dummy variable (Treatment) is created to show whether or not a county follows the demonstration garden policy. If the county is chosen as a demonstration garden in a given year and beyond, its dummy variable is given a value of 1; if not, it is set to 0. In order to measure the effect of the policy implementation on food production in each county, a double difference interaction term variable (RI) is created by interacting the policy dummy variable (Post) with the treatment dummy variable (Treatment). The demonstration park policy serves as a valid quasi-natural experiment. Its assignment is exogenous as the selection of pilot counties is determined by national-level criteria and administrative approval, rather than being based on county-level economic performance or other factors that might simultaneously influence food production. This top-down, phased rollout mechanism helps mitigate self-selection bias, a key condition for causal identification using the Difference-in-Differences model.
4.2.3 Mechanism variables
This study aims to examine how food production is impacted by rural industrial integration from the perspective of farming scale operations and agricultural technological advancement. Among these, the logarithmic expression of the overall power of agricultural machinery is based on the advancement of agricultural technology (Zheng and Zhao, 2023); and for the large-scale management of agricultural land, the ratio of the total area planted to crops to the number of workers in agriculture, forestry, animal husbandry, and fisheries is chosen (Tian et al., 2020).
4.2.4 Control variables
In order to further control the variables that may affect the development of rural industrial integration, this paper sets the following control variables with reference to existing studies (Ma et al., 2025; Liu Y. et al., 2024). (1) Level of educational development: the ratio of the number of students enrolled in general secondary schools to the total population at the end of the year was selected to express this indicator; this indicator reflects the accumulation of human capital in the region and regulates food production capacity by influencing the efficiency of the adoption of agricultural technology. (2) Level of communication infrastructure: the ratio of the number of fixed-line telephone subscribers to the total population at the end of the year was chosen to represent this variable; this variable measures this variable measures the degree of informatization, whose improvement contributes to the diffusion of agricultural technology and the transfer of information to the market, thus affecting the efficiency of food production. (3) Agricultural employment level: the ratio of the number of rural agricultural employees to the number of rural employees is selected; this indicator characterizes the status of agricultural labor force allocation, which directly affects the scale of labor factor inputs for food production. (4) Level of economic agglomeration: expressed as the ratio of the value added of the secondary and tertiary industries to the area of the administrative region; this indicator reflects the degree of development of the non-agricultural economy, which affects food production through the dual channels of factor competition and spillover effects. (5) Level of agricultural development: the gross value of agricultural, forestry, animal husbandry and fishery production was chosen to be expressed in logarithmic terms; this variable characterizes the comprehensive production capacity of agriculture, the enhancement of which provides the necessary material and technological basis for food production. (6) Cultivated land area density: the ratio of the area of cultivated land to the area of the administrative region is selected to indicate; this indicator reflects the resource endowment of cultivated land, which is a key natural condition affecting the scale of food production. (7) Level of financial development: the ratio of the balance of savings deposits of urban and rural residents to the balance of loans from financial institutions was selected to express this indicator; this indicator reflects the strength of financial support, which affects food production capacity by easing the financial constraints on agricultural production. (8) Degree of government intervention: the ratio of general budget revenues of local finances to nominal gross regional product was selected; this indicator measures the intensity of fiscal regulation, which acts on food production through the channels of resource allocation and policy support.
4.2.5 Data sources
This study selected the period from 2013 to 2022 as its research timeframe. In 2013, the Central Economic Work Conference elevated “effectively safeguarding national food security” to the foremost of its six major tasks for the first time, elevating food security to the level of a “national strategy” for the first time, accompanied by strengthened statistical monitoring mechanisms. The year 2022 encompasses the full cycle from the comprehensive rollout of demonstration zones to subsequent policy adjustments, ensuring both theoretical significance and data reliability. The National Development and Reform Commission’s and the Ministry of Agriculture and Rural Development’s websites provide the list of pilot areas for the integrated development of rural industries in this paper. The remaining data primarily comes from the EPS database and the China County Statistical Yearbook, with linear interpolation filling in the gaps. In the meantime, the urban and rural data of municipalities directly under the central government, such as Beijing, Tianjin, Chongqing, and Shanghai, are not included in the study because they are difficult to distinguish from one another. Tibet is excluded from this paper due to the significant missing data of Tibet. Furthermore, due to data availability issues, Taiwan Province, Hong Kong Special Administrative Region, and Macao Special Administrative Region are not included in this study; the final scope of this paper is 26 provinces. Descriptive statistics’ findings indicate. Table 1 presents the descriptive statistics for all variables in this study. The mean of the core variable grain yield (log) is 8.12, but its standard deviation (1.36) is relatively large, with a significant difference between the minimum and maximum values (−4.28 to 12.45). This indicates substantial variation in grain production scale across counties, providing a rich basis for studying its influencing factors. The mean for the rural industrial integration policy dummy variable was 0.03, indicating that approximately 3% of counties were designated as demonstration zones during the sample period, consistent with the policy’s phased pilot implementation. The statistical values for all other control variables fell within reasonable ranges. For instance, the mean economic development level (tertiary and secondary industry value-added/regional area) was 3,733, but with a large standard deviation, reflecting uneven economic agglomeration across China’s counties. The low mean cultivated land density (0.37%) highlights the scarcity of arable resources. The substantial variability in these variables indicates that the data effectively captures the heterogeneous characteristics of China’s diverse counties, facilitating subsequent empirical analysis.

Table 1. Meaning of variables and descriptive statisticsa.
5 Results and analysis
5.1 Benchmark regression results
This study uses a double difference model benchmark regression analysis to evaluate how rural industrial integration affects food output. By integrating control variables and fixed effects gradually, the role of rural industrial integration is examined. The regression results indicate that the regression coefficients of the core explanatory variables are significant at the 1% statistical significance level, with the regression coefficient of 0.0581, indicating that the policy of the rural industrial integration demonstration parks has a positive contribution to food production and that, in comparison to the non-pilot counties, the rural industrial integration policy further adds multidimensional control variables and year and county fixed effects. The demonstration park’s pilot counties saw a 5.81% increase in food output, and hypothesis H1 was confirmed. Furthermore, the rural industrial integration demonstration park policy’s implementation requires time to reach the production side. For example, land consolidation, technology promotion, industrial chain construction, and other initiatives must go through the planning, input, and effect periods; thus, their results may not be as immediate as those of the policy’s promulgation. In order to more precisely detect the dynamic changes in policy effects, this research does a benchmark regression by lagging the core variable (rural industrial integration) by one, two, and three periods. The findings demonstrate that the rural industrial integration demonstration park policy has a long-lasting effect on food production. It demonstrates that the rural industrial integration policy’s promotion effect on food production lasts for a number of years following its adoption. From an economic perspective, this implies that, holding other factors constant, the policy intervention of designating rural industrial integration demonstration zones has, on average, significantly increased grain production in pilot counties by approximately 5.81% compared to non-pilot counties. The results indicate that the state-driven rural industrial integration policy not only achieves economic objectives such as extending industrial chains and enhancing agricultural value-added, but also plays a positive role at the most fundamental strategic level of safeguarding national food security. Subsequent dynamic effect analysis (Columns 3–5) further demonstrates that the policy effect is sustainable, though its driving force shows a gradual weakening trend over time. This suggests that policy implementation should focus on establishing long-term mechanisms to consolidate its yield-enhancing effects (see Table 2).
5.2 Robustness tests
5.2.1 Reduced-tail test
This article uses the shrink-tailed technique for the robustness test to guarantee the accuracy of the benchmark regression findings. The article uses the upper and lower 1% shrinking tail treatment for the variables and then re-regresses them to reduce the effect of extreme values on the overall regression findings. Table 3‘s column (1) displays the pertinent regression results. The baseline regression results are resilient, indicating that food production is still significantly boosted by rural industrial integration following the decreasing treatment.
5.2.2 Parallel trend test
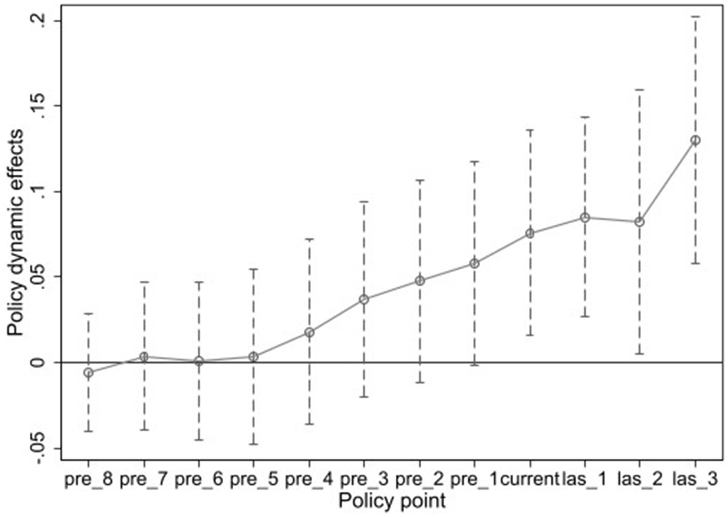
The article uses the first year of the sample period as the base period. The vertical axis shows the coefficient estimates of the policy effects of the rural industrial integration demonstration park (solid points), while the horizontal coordinates pre8-pre1 represent the dummy variables from year 1 to year 8 prior to the implementation of the policy, current represents the dummy variables in the year of implementation, and las1-las3 represent the dummy variables from year 1 to year 3 following the implementation of this policy. This figure presents the results of the parallel trend test. The horizontal axis represents the event time relative to the policy implementation year (0). The coefficients (dots) and their 95% confidence intervals (vertical lines) for the periods preceding policy implementation (pre8 to pre1) are not statistically significantly different from zero, satisfying the parallel trend assumption. Significantly positive coefficients for the policy implementation year (current) and the subsequent 3 years (post1 to post3) indicate that the policy produced positive effects. The food production regression coefficients for the 8 years prior to the Rural Industry Integration Demonstration Park policy’s implementation are not significant, indicating that the experimental group’s and the control group’s food production circumstances had the same trend of change and passed the parallel trend test prior to the policy’s implementation. Food production is significantly boosted in the year of policy implementation, in the following year, in the following 2 years, and in the following 3 years, according to an analysis of the dynamic relationship between the rural industrial integration demonstration park policy and food production at a later stage of its implementation. Therefore, the implementation of the Rural Industrial Integration Demonstration Park policy exerts a sustained driving effect on enhancing grain production levels. However, over time, the policy’s impact gradually diminishes for the following reasons: First, the initial significant improvement may stem from one-time investments in infrastructure and technology. The marginal returns on these initial investments diminish over time. Second, while the novelty effect of the policy and the concentrated allocation of resources may yield substantial initial impacts, sustaining these effects fully becomes challenging as projects mature and expand. Finally, control counties may gradually learn from and catch up with pilot counties, partially narrowing the observed differences between the two groups (see Figure 2).
5.2.3 Placebo test
Since a number of factors influence food production, the article employs the technique of randomly creating treatment groups to perform a placebo test in order to eliminate the effects of other unobservable factors on food production and prevent errors in the estimation results caused by omitted variables. To estimate the impact of the Rural Industrial Integration Demonstration Park (RIDP) policy on food production, the article first assumes that the impact of the policy on the sample counties is random, assigns a random value to each county, and then reruns the baseline regression with the assigned samples 500 times to obtain the probability density distributions for the t-statistics of the 500 estimated coefficients. The results are displayed in Figure 3. This figure displays the distribution of estimated coefficients from 500 randomized placebo tests. In each simulation, the timing of the demonstration garden policy was randomly assigned to individual counties. The estimated coefficients for these sham treatments cluster densely around zero (i.e., satisfying the null hypothesis of “no effect”), forming a sharp peak. The red vertical line represents the true estimated coefficient (0.0581) from the baseline model, positioned at the extreme right tail of the placebo distribution. This confirms that the true effect is unlikely to be driven by unobservable factors or chance. Even under the error variable scenario, the coefficient estimates for the rural industrial integration demonstration park policy cluster around zero, showing significant divergence from the estimates under the true variable scenario. This indicates that the dependent variable remains unaffected by unobserved sample characteristics and other factors, thereby ruling out the possibility that the benchmark regression results were influenced by other unobserved variables.
5.2.4 Change of year
The longer years of the pre-implementation sample will raise the likelihood that other policies or institutions will have an impact. The benchmark regression model chooses the years of the first six periods of policy implementation. In other words, other policies may have affected food production during that time, so this paper cites Hu (2022). The years will be shortened from 2013–2022 to 2016–2022, which is the first three periods of the rural industrial integration policy for the test. The results indicate that food production can still be positively impacted by the integration of rural industries, as indicated in Table 3’s Column (2).
5.2.5 Propensity score matching double difference (PSM-DID)
The study reduces any sample selection bias by using the propensity score matching double difference method for robustness testing to further evaluate the findings’ robustness. To make sure that the treatment and control groups were identical in terms of matching characteristics, nearest-neighbor matching was specifically utilized to match the two groups one to one. To exclude the impact of unobservables on the estimation of the effects of rural industrial integration, double differencing is once more used in the matched sample. According to the regression results (Column 3 of Table 3), the implementation of rural industrial integration has a significant impact on food production. This is consistent with the baseline regression results, which indicate that the effect of rural industrial integration on food production is still significant with a regression coefficient of 0.0572 and significant at the 1% level. This outcome strengthens the study’s conclusions by showing that, even after adjusting for sample selection bias, the impact of rural industrial integration is still considerable.
5.2.6 Exclusion of contemporaneous industrial policy interference
The article further eliminates the influence of environmental protection policies within the same time period to guarantee the accuracy of the policy assessment. China’s National Agricultural Industrial Park Policy, which was put into effect from 2017 to 2022, aims to bring together contemporary elements to support the upgrading of the entire agricultural industry chain and achieve industrial efficiency, farmers’ income, and rural rehabilitation. The article removes the samples impacted by the national agricultural industrial park policy’s impact and then performs a regression analysis since this rural industrial integration demonstration park policy took place during the policy’s implementation. The policy effect of rural industrial integration is further supported by the regression results, which are displayed in column (4) of Table 3 and demonstrate that the impact of rural industrial integration on food production is still significantly positive at the 1% level.
5.2.7 Replacement of models
High-dimensional data, endogeneity problems, and possible model-setting errors can all be handled more effectively by dual machine learning models. In particular, by using machine learning techniques for variable selection and control, dual machine learning models can automatically choose the most pertinent control variables, minimizing the issue of incorrect or omitted variable specification that may arise in conventional DID models. By integrating the nonlinear interactions of the control variables into the model, dual machine learning models simultaneously offer more adaptable fitting capabilities, enhancing the precision and resilience of the estimation outcomes. As a result, substituting a dual machine learning model for the double difference model can increase the robustness test’s efficacy and guarantee more trustworthy empirical analysis findings. The random forest technique with a 1:4 sample split ratio is used in the dual machine learning model configuration, which is similar to the setup of Wu B. et al. (2024).
Table 3's column (5) displays the regression results, which are still reliable.
5.3 Mechanism analysis
This study’s research of current theories and literature suggests that rural industrial integration could be one of two viable strategies for raising food production levels while advancing agricultural technology and enabling large-scale agricultural land operations. However, given the endogeneity bias of the mediated effects test—that is, the possibility of a mutually causal relationship between the mediating and outcome variables—the two-step causal inference method put forth by Jiang Boat (Ting, 2022) offers a novel way to deal with the endogeneity issue and the over-control bias present in conventional regression analyses. Its main benefit is that it makes it easier to see the net effect of the treatment variable on the outcome variable by gradually eliminating the confounding factors. The technique uses two progressive regression procedures to systematically examine the causal relationships between variables. The impacts of the data elements on the mechanism variables are confirmed in the first phase, and the effects of the mechanism variables on total factor productivity in forestry ecology are explained in the second step using the literature.
This research presents the mechanism variable of agricultural technological progress for analysis in order to examine the mechanism of the function of agricultural industrial integration in improving food production, based on the prior theoretical analysis. In particular, a proxy variable for agricultural technical advancement is the logarithm of the total power of agricultural machines. According to the regression results, the impact of agricultural sector integration on agricultural technical advancement has a coefficient of 0.0184, which is significant at the 10% statistical level (see Column 1 of Table 4). According to this, agricultural industry integration can greatly raise the degree of agricultural technological advancement and offer a technological foundation for higher food production. Parke (2021) demonstrated that agricultural technological advancement can successfully boost food production. The second hypothesis is proven. By encouraging agricultural technology advancement, agro industrial integration also contributes to the enhancement of food production. On the one hand, industrial integration strengthens the diffusion and innovation of agricultural technology, improving the degree of mechanized agricultural operation and production efficiency; on the other hand, it increases capital and scale operation power in agriculture and pushes farmers to adopt cutting-edge agricultural equipment and technology. Furthermore, it has been demonstrated that advancements in agricultural technology can significantly increase the capacity and efficiency of food production (Chandio et al., 2023; Chen et al., 2025). In conclusion, the main strategy for advancing food production through agricultural industrial integration is the advancement of agricultural technology.
This study presents farmland scale operation as a mechanism variable for analysis, based on the previous theoretical analysis, to evaluate the mechanism of the function of farmland scale operation in the integration of rural businesses to enhance food production. In particular, the number of workers in forestry, agriculture, fisheries, and animal husbandry as well as the total area of crops planted are employed as stand-in variables for farmland scale operations. At the 1% level of statistical significance, the regression coefficient of agricultural land scale operation is 0.0016, according to the regression results (see column 2 of Table 4). Studies like Zhu et al. (2018) have demonstrated that the scale of farmland operation can increase the scale and efficiency of food production, and this result implies that rural industrial integration can considerably promote the scale of farmland operation. The third hypothesis is proven. On the one hand, by making it easier to integrate agricultural resources and transfer land, rural industrial integration has encouraged the growth of the area under cultivation. The overall efficiency of food production is increased by large-scale operations, which allow farmers to rely on mechanized equipment and contemporary agricultural technology for efficient production. However, by increasing land use and production efficiency, large-scale agricultural land operations improve food production’s sustainability and stability. Furthermore, the optimization of agricultural production structure is encouraged by the large-scale operation of agricultural land. This makes food production more competitive in the market by increasing yield and lowering production costs. Furthermore, it has been demonstrated that the production of food benefits from the extensive use of agricultural land (Shilomboleni and De Plaen, 2019; Wang et al., 2024). In conclusion, the process of integrating the agricultural business to support food production heavily relies on the extensive use of agricultural land.
5.4 Heterogeneity analysis
5.4.1 Impact of the level of fiscal expenditure
Local governments’ ability to implement policies and provide public services is somewhat determined by their financial capacity, and the quantity of financial resources directly affects the government’s investment in infrastructure development, public services, and industrial development promotion. To assist agricultural and rural development, local governments typically rely on fiscal income. Those with greater fiscal capacity are better able to execute policies pertaining to agricultural industrial integration and encourage the expansion of food production. A thorough examination of this heterogeneous effect can help identify the precise impact of local fiscal capacity on food production and offer empirical support for policy optimization. Consequently, disparities in fiscal levels may result in notable variations in the implementation effects of agricultural industrial integration policies in various regions. The fiscal level is measured in this research by the ratio of local fiscal revenues to fiscal expenditures. The fiscal level is also utilized to generate an interaction term with the core explanatory factors as the primary variable of interest for the heterogeneity analysis. In regions with higher fiscal levels, the promotion of rural industrial integration on food production is stronger, according to the data (Column 1 of Table 5), which also reveal that the interaction coefficient is positive and significant at the 1% level. This outcome may be explained by the fact that areas with higher financial levels have better public service and agricultural infrastructure, which can be crucial in supporting rural industrial integration. They can also lower the transaction costs of industrial integration by bolstering logistics networks, farmland water conservancy construction, and technology promotion. At the same time, the benefits of economies of scale and technological spillovers brought about by industrial integration will be amplified through the optimization of factor allocation and the development of new business subjects. Additionally, a more robust financial capacity will contribute to lower industrial integration transaction costs. Stronger financial capacity can also aid in the development of a risk compensation system to reduce market uncertainty throughout the integration process, which will improve the conversion of industrial synergies into kinetic energy for food production.
5.4.2 Impact of the level of internet development
Through accelerating the diffusion of agricultural technology and optimizing the production and marketing docking mechanism, internet development can enhance the role of rural industrial integration in promoting food production. It will also have a direct impact on the efficiency of information dissemination and the penetration capacity of technology. Furthermore, disparities in Internet connectivity might highlight the limits of the use of digital technologies in resource integration, allowing for the customization of policies to suit regional circumstances. In order to gauge the degree of Internet development, this study uses the number of fixed-line phone subscribers per capita. Additionally, it creates an interaction term between the degree of Internet development and the primary explanatory variables as the primary variable of interest for heterogeneity analysis. According to the data, the promotion of rural industrial integration on food production is stronger in areas with higher Internet levels (Column 2 of Table 5). The interaction coefficient is positive and significant at the 1% level. On the one hand, by lessening information asymmetry, Internet development increases the effectiveness of technological diffusion. High Internet level areas can rapidly spread knowledge about agricultural technology (such as how to operate intelligent farm machinery or implement a precise fertilization program) and improve farmers’ capacity to adopt technology through online training, remote guidance, etc. This shortens the time it takes to go from research and development to technology application, allowing for a more complete release of the technological dividends of industrial integration. Conversely, the Internet platform intensifies the synergistic effect of integration and reconfigures the mechanism of production and marketing convergence. The role of industrial integration in promoting food production is further strengthened by the use of e-commerce channels, big data analysis, and other tools to help farmers obtain real-time market demand information, which guides planting structure adjustments and quality upgrades. At the same time, supply chain optimization and logistics information integration are used to reduce post-production losses and ensure that food production, processing, and sales link efficiently.
6 Conclusions and policy recommendations
6.1 Conclusion
This study systematically evaluates the impact of the rural industrial integration demonstration park policy on food production using panel data from 2,571 counties across 26 provinces in China from 2013 to 2022, employing a double difference model. The main findings are summarized as follows:
First, rural industrial integration significantly enhances the level of food production at the county level. The implementation of the demonstration park policy leads to an average increase of 5.81% in food production in pilot counties compared to non-pilot counties. This conclusion remains robust after a series of tests, including tail reduction, parallel trend test, placebo test, sample period adjustment, propensity score matching-difference in differences (PSM-DID), exclusion of concurrent policy interference, and model replacement with dual machine learning. Although the policy effect exhibits sustainability, dynamic effect analysis reveals a gradual weakening trend as the number of implementation years increases.
Second, the mechanism analysis indicates that rural industrial integration facilitates food production primarily by promoting agricultural technological progress and enabling large-scale farmland management. Specifically, integration drives the adoption and diffusion of advanced agricultural technologies and encourages the consolidation and efficient use of farmland, thereby enhancing both the scale and efficiency of grain production.
Third, heterogeneity analysis demonstrates that the policy effect varies significantly across regions. The promotive effect of rural industrial integration on food production is more pronounced in counties with higher levels of fiscal expenditure and greater Internet development. This suggests that regional disparities in financial capacity and digital infrastructure play a crucial role in mediating the effectiveness of industrial integration policies.
6.2 Policy recommendations
First, strengthen demonstration zones with targeted resource allocation. Prioritize the development of rural industrial integration demonstration parks by allocating financial and technical resources specifically to critical areas such as agricultural technology R&D, intelligent irrigation systems, and modern warehousing and logistics infrastructure. Establish special support funds and facilitate long-term, low-interest loans for park construction. Encourage the “1 + N” linkage mechanism, whereby each demonstration park partners with surrounding regions to share standardized production protocols, orders, and digital platforms, thereby maximizing spatial spillover effects and regional coverage.
Second, promote technological innovation and land institutional reform. Accelerate the development of an integrated “R&D–application–extension” system for key agricultural technologies, such as biological breeding, green pest control, and water-efficient irrigation, through enhanced industry–academia–research collaborations. Support the dissemination of technology via field schools, subsidies for farmers adopting new technologies, and the establishment of grassroots agricultural service stations. Deepen land institutional reforms by promoting the “separation of three rights” (ownership, contract, management rights) and encouraging the establishment of land share cooperatives and cross-village land transfer mechanisms. Provide incentives—such as reduced fees and priority inclusion in high-standard farmland projects—for new agricultural entities that manage contiguous land plots exceeding 500 mu, so as to facilitate large-scale and intensive grain production.
Third, implement regionally differentiated policy support. In regions with well-developed digital infrastructure, promote smart agriculture technologies and e-commerce platforms to enhance production efficiency and market accessibility. In areas with stronger fiscal capacity, increase support for agricultural S&T innovation and efficient production technology extension. In less-developed regions, focus on improving basic agricultural infrastructure and Internet connectivity to reduce regional disparities and achieve more balanced growth in food production.
6.3 Limitations of the study
While this study provides valuable insights into the impact of rural industrial integration on food production, there are several limitations that should be considered.
Firstly, the study uses panel data from 2,571 counties across 26 provinces in China. Although this extensive dataset allows for a robust empirical analysis, it may not fully capture local heterogeneity in agricultural practices or policy implementation. Smaller regions with unique agricultural systems may experience different policy effects, which could influence the generalizability of the findings to all counties across China or other regions with different agricultural contexts.
Secondly, while the difference-in-differences (DID) model is an effective causal inference method, it relies on the parallel trends assumption, which assumes that the treated and control groups would have followed the same trend in the absence of the policy. Although our robustness checks support this assumption, there may still be unobserved factors or external shocks not accounted for, which could influence the outcomes. However, we have conducted several robustness tests to mitigate this potential bias and ensure the reliability of our results.
Lastly, this study focuses on the Chinese context, and the findings may not be directly applicable to other countries with different institutional and policy environments. While the demonstration park policy is unique to China, its underlying mechanisms—such as the integration of agriculture with other industries and the use of technology—may still offer useful insights for similar rural development efforts in other developing economies.
6.4 Future research directions
Future research could address these limitations by incorporating more granular data from smaller regions or even household-level data to explore micro-level variations and regional disparities in the impact of rural industrial integration. Additionally, longitudinal studies could further evaluate the long-term sustainability of the policy effects and their evolution over time. Comparative studies across different countries or regions with similar industrial integration efforts would enhance the external validity of our findings and provide a more comprehensive understanding of the global applicability of rural industrial integration strategies.
Data availability statement
The data analyzed in this study is subject to the following licenses/restrictions: if you need the data used in this paper, please contact the corresponding author. Requests to access these datasets should be directed to dGRjbHAyMDAwQG1haWwuc2N1dC5lZHUuY24=.
Author contributions
HC: Conceptualization, Resources, Software, Writing – original draft. ML: Data curation, Methodology, Validation, Writing – original draft. SX: Formal analysis, Investigation, Writing – review & editing. LC: Supervision, Visualization, Writing – review & editing.
Funding
The author(s) declare that financial support was received for the research and/or publication of this article. We received funding from the National Social Science Fund [grant No. 19BGL087] and Fujian Province Social Science Planning Youth Project [grant No. FJ2022C096].
Conflict of interest
The authors declare that the research was conducted in the absence of any commercial or financial relationships that could be construed as a potential conflict of interest.
Generative AI statement
The authors declare that no Gen AI was used in the creation of this manuscript.
Any alternative text (alt text) provided alongside figures in this article has been generated by Frontiers with the support of artificial intelligence and reasonable efforts have been made to ensure accuracy, including review by the authors wherever possible. If you identify any issues, please contact us.
Publisher’s note
All claims expressed in this article are solely those of the authors and do not necessarily represent those of their affiliated organizations, or those of the publisher, the editors and the reviewers. Any product that may be evaluated in this article, or claim that may be made by its manufacturer, is not guaranteed or endorsed by the publisher.
References
Bardhan, P. (1995). The contributions of endogenous growth theory to the analysis of development problems: An assessment. Handb. Develop. Econ. 3, 2983–2998.
Brown, M. E., and Funk, C. C. (2008). Food security under climate change. Science 319, 580–581. doi: 10.1126/science.1154102
Cao, Z. Research on the problems and optimization paths of the integrated development of rural primary, secondary and tertiary Industries in China." 2022 international conference on county economic development, rural revitalization and social sciences (ICCRS 2022) (2022).
Chandio, A. A., Ozdemir, D., and Jiang, Y. (2023). Modelling the impact of climate change and advanced agricultural technologies on grain output: recent evidence from China. Ecol. Model. 485:110501. doi: 10.1016/j.ecolmodel.2023.110501
Chen, X., Huang, Z., Luo, C., and Hu, Z. (2024). Can agricultural industry integration reduce the rural–urban income gap? Evidence from county-level data in China. Land 13:332. doi: 10.3390/land13030332
Chen, X., Liao, H., Wang, G., Adi, Y., Li, D., and Chang, X. (2025). Study on the coupled and coordinated relationship between integration of three rural industries and farmers' well-being in Chongqing County rural areas——based on the perspective of beautiful and harmonious countryside that is desirable to live and work in. J. Southwest Univ. Nat. Sci. Ed. 47, 31–45. doi: 10.13718/j.cnki.xdzk.2025.01.003
Chen, C., Wang, J., Wang, X., Duan, W., and Xie, C. (2024). Does rural industrial integration promote the green development of agriculture?--based on data from 30 provinces in China from 2010 to 2021. Pol. J. Environ. Stud. 33:2. doi: 10.15244/pjoes/174479
Ding, Y., Xi, R., He, Y., and Sheng, S. Empirical investigation of positive impact of the rural three industries integration on farmers' income in case of China. (2023). doi: 10.2139/ssrn.4530182
Ge, H., Li, B., Tang, D., Xu, H., and Boamah, V. (2022). Research on digital inclusive finance promoting the integration of rural three-industry. Int. J. Environ. Res. Public Health 19:3363. doi: 10.3390/ijerph19063363
Gong, Y., Zhang, Y., and Chen, Y. (2023). The impact of high-standard farmland construction policy on grain quality from the perspectives of technology adoption and cultivated land quality. Agriculture 13:1702. doi: 10.3390/agriculture13091702
Hao, H., Liu, C., and Xin, L. (2023). Measurement and dynamic trend research on the development level of rural industry integration in China. Agriculture 13:2245. doi: 10.3390/agriculture13122245
Herrero, M., Thornton, P. K., Mason-D’Croz, D., Palmer, J., Benton, T. G., Bodirsky, B. L., et al. (2020). Innovation can accelerate the transition towards a sustainable food system. Nature Food 1, 266–272. doi: 10.1038/s43016-020-0074-1
Hongguang, W. (2023). “Milestones of agriculture and food security in new China” in China's food security: Strategies and countermeasures (Singapore: Springer Nature Singapore), 205–216. doi: 10.1007/978-981-99-0730-4_13
Hyder, S., and Bhargava, P. K. (2016). Indian food processing industry-opportunities and challenges. Int. J. Econ. Bus. Res. 11, –10. doi: 10.1504/IJEBR.2016.074422
Kwon, J. K. (1986). Capital utilization, economies of scale and technical change in the growth of total factor productivity: an explanation of south Korean manufacturing growth. J. Dev. Econ. 24, 75–89.
Li, M., Cao, X., Liu, D., Fu, Q., Li, T., and Shang, R. (2022). Sustainable management of agricultural water and land resources under changing climate and socio-economic conditions: a multi-dimensional optimization approach. Agric. Water Manag. 259:107235. doi: 10.1016/j.agwat.2021.107235
Li, M., Wen, W., Ma, W., and Jin, Y. (2025). Research on the common prosperity effect of integrated regional expansion: an empirical study based on the Yangtze River Delta. Land 14:426. doi: 10.3390/land14020426
Li, X., and Wu, Y. (2024). “Research on effects of integration of primary, secondary, and tertiary industries in rural areas of developing countries: an approach of rural capital subsidies” in Research on characteristic issues in current developing economies: New application of the Harris–Todaro model (Singapore: Springer Nature Singapore), 225–251. doi: 10.1007/978-981-97-7284-1_11
Li, Y., Zhang, W., Ma, L., Huang, G., Oenema, O., Zhang, F., et al. (2013). An analysis of China's fertilizer policies: impacts on the industry, food security, and the environment. J. Environ. Qual. 42, 972–981. doi: 10.2134/jeq2012.0465
Liu, Y., Jiang, H., and Cui, J. F. (2024). County-level total factor productivity of food in China and its spatio-temporal evolution and drivers. Front. Sustain. Food Syst. 8:1325915. doi: 10.3389/fsufs.2024.1325915
Liu, J., Mao, S., Zheng, Q., and Xu, Z. (2024). Can whole steps of grain production be outsourced? Empirical analysis based on the three provinces of Jiangsu, Jilin, and Sichuan in China. J. Integr. Agric. 23, 336–347. doi: 10.1016/j.jia.2023.09.034
Lu, J., and Guo, J. (2025). The impact of tri-industrial integration on farmers' income - empirical evidence from National Rural Industrial Integration Pilot policies. East China Econ. Manag. 39, 69–79. doi: 10.19629/j.cnki.34-1014/f.240620003
Ma, H., Qin, C., Zou, J., and Zhang, W. (2025). Fiscal decentralization and food production: evidence from province-Managing-County reform in China. China Econ. Rev. 90:102342. doi: 10.1016/j.chieco.2024.102342
Misra, A. K. (2014). Climate change and challenges of water and food security. Int. J. Sustain. Built Environ. 3, 153–165. doi: 10.1016/j.ijsbe.2014.04.006
Parke, C. (2021). Impact of technology on agriculture and food production : ResearchGate. doi: 10.13140/RG.2.1.1608.8400
Quang, D. M. (2013). Factor endowment, human capital, and inequality in developing countries. J. Econ. Stud. 40, 98–106. doi: 10.1108/01443581311283538
Sharma, H. K., and Kumar, N. (2022). “Agro processing: scope and importance” in Agro-processing and food engineering: Operational and application aspects (Singapore: Springer Singapore), 1–22. doi: 10.1007/978-981-16-7289-7_1
Shi, P. (2014). Factor endowment, human capital, and inequality in developing countries. J. Econ. Stud. 26–27.
Shi, L., and Liao, X. (2025). From poverty to common prosperity: an evaluation of agricultural-cultural-tourism integration and its impact on economic growth. Front. Sustain. Food Syst. 9:1600264. doi: 10.3389/fsufs.2025.1600264
Shilomboleni, H., and De Plaen, R. (2019). Scaling up research-for-development innovations in food and agricultural systems. Dev. Pract. 29, 723–734. doi: 10.1080/09614524.2019.1590531
Song, X., Wang, X., Li, X., Zhang, W., and Scheffran, J. (2021). Policy-oriented versus market-induced: factors influencing crop diversity across China. Ecol. Econ. 190:107184. doi: 10.1016/j.ecolecon.2021.107184
Su, F., Liu, Y., Wang, S. G., and Shang, H. (2022). Impact of climate change on food security in different grain producing areas in China. China Popul. Resour. Environ. 32, 140–152.
Tian, C., Li, L., and Liao, B. (2024). Can integration of rural primary, secondary and tertiary industries promote agricultural green development? A case study of 579 counties in China's Yangtze River Economic Belt. J. Nat. Resour. 39, 601–619. doi: 10.31497/zrzyxb.20240307
Tian, X., Wu, M., Ma, L., and Wang, N. (2020). Rural finance, scale management and rural industrial integration. China Agric. Econ. Rev. 12, 349–365. doi: 10.1108/CAER-07-2019-0110
Timmer, C. P. (2000). The macro dimensions of food security: economic growth, equitable distribution, and food price stability. Food Policy 25, 283–295. doi: 10.1016/S0306-9192(00)00007-5
Ting, J. Mediating and moderating effects in empirical studies of causal inference. China Ind. Econ., (2022), 5: 100–120.
Wang, H., Guohui, S., Zizhong, S., and Xiangdong, H. (2023a). Effects of climate and price on soybean production: empirical analysis based on panel data of 116 prefecture-level Chinese cities. PLoS One 18:e0273887. doi: 10.1371/journal.pone.0273887
Wang, H., Li, G., and Hu, Y. (2023b). The impact of the digital economy on food system resilience: insights from a study across 190 Chinese towns. Sustainability 15:16898. doi: 10.3390/su152416898
Wang, S., Wu, H., Li, J., Xiao, Q., and Li, J. (2024). Assessment of the effect of the main grain-producing areas policy on China’s food security. Foods 13:654. doi: 10.3390/foods13050654
Wu, B., Ding, Y., Xie, B., and Zhang, Y. (2024). FinTech and inclusive green growth: a causal inference based on double machine learning. Sustainability 16:989. doi: 10.3390/su16229989
Wu, Z., Li, S., Wu, D., Song, J., Lin, T., and Gao, Z. (2024). Analysis of characteristics and driving mechanisms of non-grain production of cropland in mountainous areas at the plot scale—a case study of Lechang City. Foods 13:1459. doi: 10.3390/foods13101459
Wu, W., Verburg, P. H., and Tang, H. (2014). Climate change and the food production system: impacts and adaptation in China. Reg. Environ. Chang. 14, 1–5. doi: 10.1007/s10113-013-0528-1
Xin, Y., Xu, Y., and Zheng, Y. (2024). A study on green agricultural production decision-making by agricultural cooperatives under government subsidies. Sustainability 16:1219. doi: 10.3390/su16031219
Yang, T., Chandio, A. A., Zhang, A., and Liu, Y. (2023). Do farm subsidies effectively increase grain production? Evidence from major grain-producing regions of China. Foods 12:1435. doi: 10.3390/foods12071435
Zhang, Y., and Liu, Y. (2024). The impact of rural industrial integration on agricultural carbon emissions evidence from China provinces data. Sustainability 16:680. doi: 10.3390/su16020680
Zheng, J., and Zhao, W. N. (2023). Impact of agricultural insurance on green agricultural production in China: based on the mediation effect of agricultural technology progress. Resour. Sci. 45, 2414–2432. doi: 10.18402/resci.2023.12.09
Zheng, T., Zhao, G., and Chu, S. (2024). A study on the impact of external shocks on the resilience of China’s grain supply chain. Sustainability 16:956. doi: 10.3390/su16030956
Zhou, J., Chen, H., Bai, Q., Liu, L., Li, G., and Shen, Q. (2023). Can the integration of rural industries help strengthen China’s agricultural economic resilience? Agriculture 13:1813. doi: 10.3390/agriculture13091813
Zhu, Y., Waqas, M. A., Li, Y., Zou, X., Jiang, D., Wilkes, A., et al. (2018). Large-scale farming operations are win-win for grain production, soil carbon storage and mitigation of greenhouse gases. J. Clean. Prod. 172, 2143–2152. doi: 10.1016/j.jclepro.2017.11.205
Zubovic, J., and Jovanovic, O. (2021). “Incentives in agricultural production as a way to improve food security: theoretical and empirical analysis for Serbia” in Shifting patterns of agricultural trade: The protectionism outbreak and food security eds. V. Erokhin, G. Tianming, and J. V. Andrei (Singapore: Springer Nature Singapore), 373–392.
Keywords: rural industrial integration, food production, double difference model, technical progress in agriculture, scale up of agricultural land
Citation: Chen H, Liu M, Xie S and Chen L (2025) A study on the impact of rural industrial integration on food production: empirical evidence from 2,571 counties in China. Front. Sustain. Food Syst. 9:1679453. doi: 10.3389/fsufs.2025.1679453
Edited by:
Yari Vecchio, University of Bologna, ItalyCopyright © 2025 Chen, Liu, Xie and Chen. This is an open-access article distributed under the terms of the Creative Commons Attribution License (CC BY). The use, distribution or reproduction in other forums is permitted, provided the original author(s) and the copyright owner(s) are credited and that the original publication in this journal is cited, in accordance with accepted academic practice. No use, distribution or reproduction is permitted which does not comply with these terms.
*Correspondence: Liupeng Chen, dGRjbHAyMDAwQG1haWwuc2N1dC5lZHUuY24=