ORIGINAL RESEARCH article
Front. Sustain. Food Syst.
Sec. Crop Biology and Sustainability
Vermicompost-Mediated Modulation of Agronomic and Physiological Traits Enhances Wheat Performance under Variable Water Regimes
Provisionally accepted- 1University of Agriculture Faisalabad, Faisalabad, Pakistan
- 2The Islamia University of Bahawalpur Pakistan, Bahawalpur, Pakistan
- 3King Faisal University, Al Ahsa, Saudi Arabia
- 4King Khalid University, Abha, Saudi Arabia
- 5Kansas State University, Manhattan, United States
Select one of your emails
You have multiple emails registered with Frontiers:
Notify me on publication
Please enter your email address:
If you already have an account, please login
You don't have a Frontiers account ? You can register here
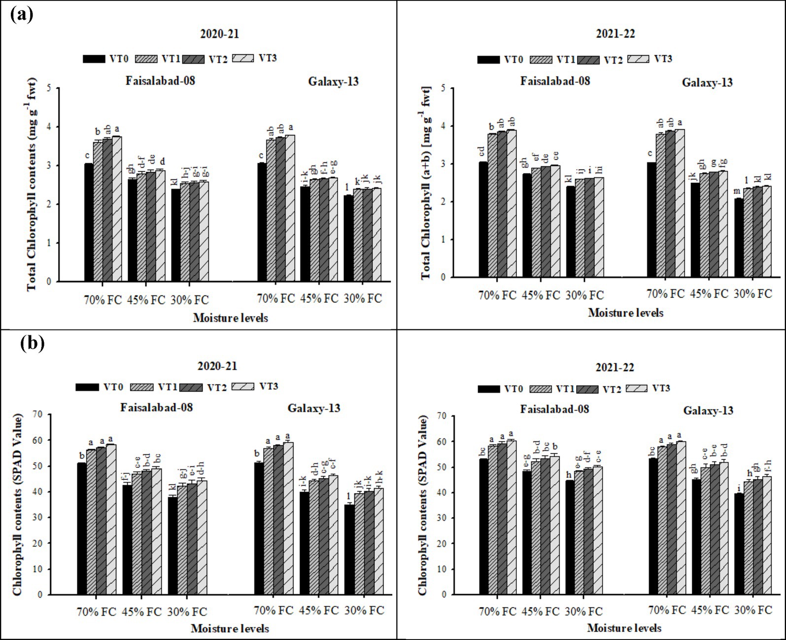
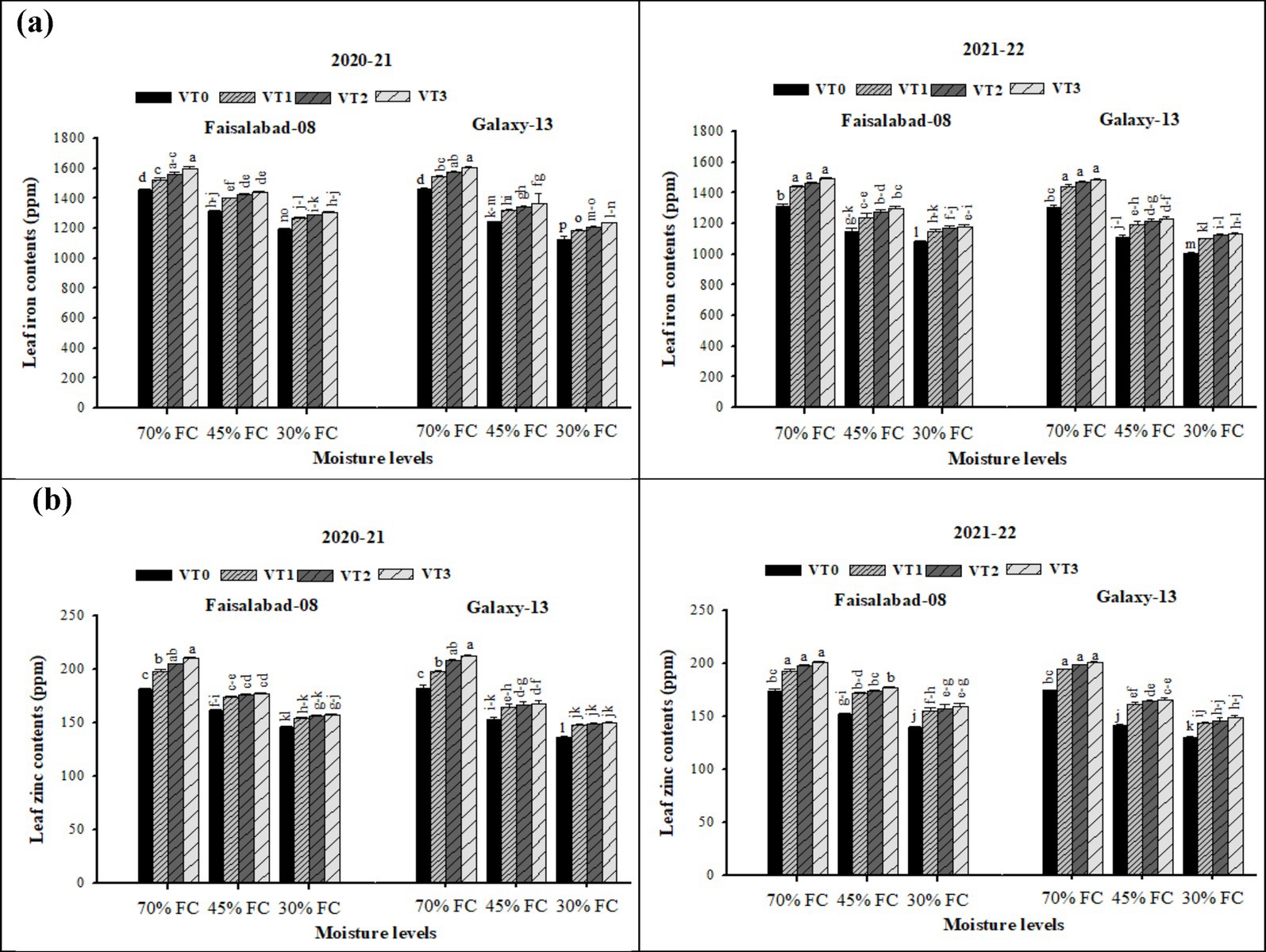
Wheat is a major cereal crop whose growth and productivity are highly influenced by soil moisture 19 availability. Vermicompost application has been proposed as a sustainable approach to mitigate the 20 adverse impacts of drought stress. This study, conducted at the University of Agriculture, Faisalabad, 21 during 2020–21 and 2021–22, investigated the effects of different vermicompost sources on agronomic, 22 physiological, and nutrient traits of wheat under varying soil moisture regimes. The experiment 23 included three soil moisture levels (no drought, mild drought, and severe drought), four s (VT) (control, 24 8 t ha-1 wheat straw vermicompost, 6 t ha-1 rice straw vermicompost, and 6 t ha-1 cow dung 25 vermicompost), and two wheat cultivars: Faisalabad-08 (drought-tolerant) and Galaxy-13 (drought-26 sensitive). Results revealed that drought stress significantly reduced growth, yield, and physiological 27 attributes. However, vermicompost application alleviated these effects, with cow dung vermicompost 28 showing the greatest improvement, followed by rice straw and wheat straw vermicompost. 29 Furthermore, Faisalabad-08 performed better than Galaxy-13 under both mild and severe drought 30 conditions. Overall, the findings highlight that soil application of vermicompost, particularly from cow 31 dung, is an effective strategy to improve wheat resilience and productivity under drought stress.
Keywords: Drought levels, field experiment, straw, vermicompost, Wheat cultivars
Received: 01 Sep 2025; Accepted: 09 Oct 2025.
Copyright: © 2025 Ahmad, Aslam, Arshad, Zulfiqar, El-Beltagi, Alshaharni and Prasad. This is an open-access article distributed under the terms of the Creative Commons Attribution License (CC BY). The use, distribution or reproduction in other forums is permitted, provided the original author(s) or licensor are credited and that the original publication in this journal is cited, in accordance with accepted academic practice. No use, distribution or reproduction is permitted which does not comply with these terms.
* Correspondence: Usman Zulfiqar, usmanzulfiqar2664@gmail.com
Disclaimer: All claims expressed in this article are solely those of the authors and do not necessarily represent those of their affiliated organizations, or those of the publisher, the editors and the reviewers. Any product that may be evaluated in this article or claim that may be made by its manufacturer is not guaranteed or endorsed by the publisher.
