ORIGINAL RESEARCH article
Front. Sustain. Food Syst.
Sec. Land, Livelihoods and Food Security
This article is part of the Research TopicDigital Agricultural Technologies for Improving Food Security OutcomesView all 9 articles
An Integrated GIS–Statistical Approach to Assess Soil Contamination in Al-Muzahmiya, Saudi Arabia: Implications for Food Security
Provisionally accepted- 1King Saud University, Riyadh, Saudi Arabia
- 2Universidad de Cordoba, Córdoba, Spain
- 3Faculty of Agriculture, Tanta University, Tanta, Egypt
Select one of your emails
You have multiple emails registered with Frontiers:
Notify me on publication
Please enter your email address:
If you already have an account, please login
You don't have a Frontiers account ? You can register here
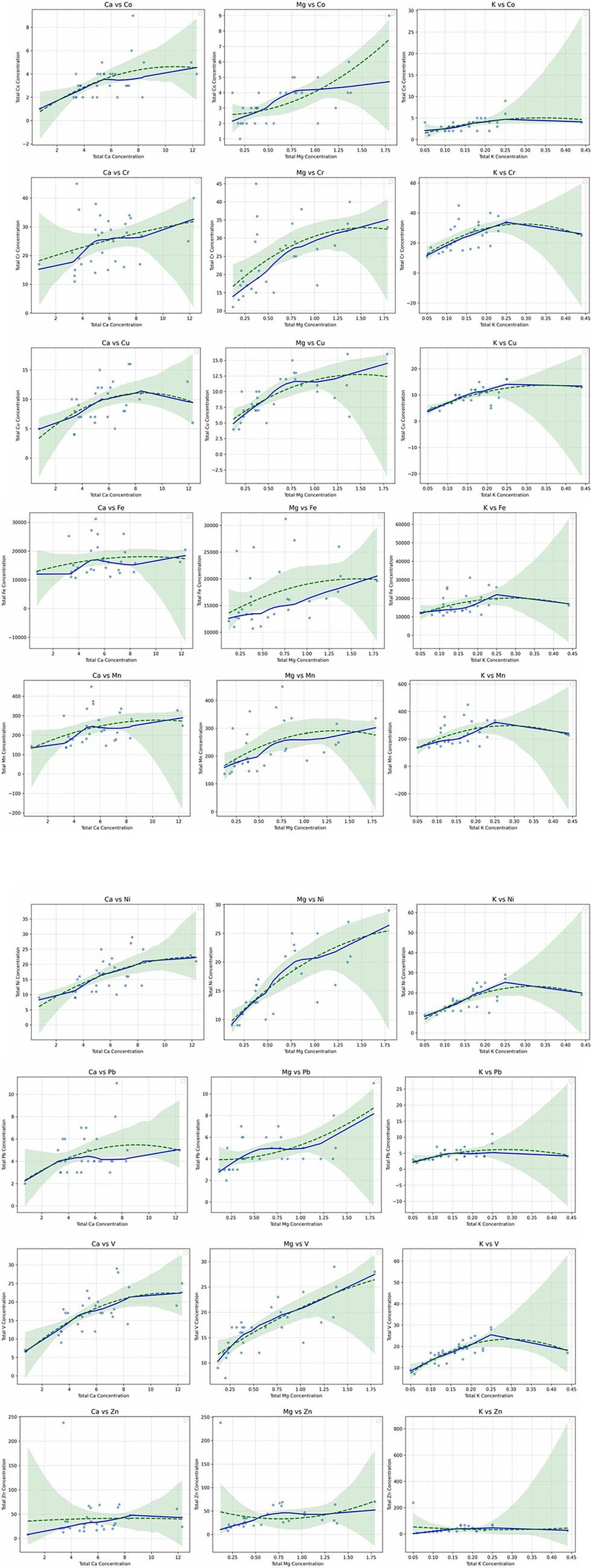
Global health, food security, and agricultural production are all seriously threatened by soil pollution. The main objective of this work is to conduct a comprehensive assessment of soil pollution in the Al-Muzahmiya region west of Riyadh, Saudi Arabia using a multidisciplinary approach. This involves measuring concentrations of nine heavy metals (Co, Cr, Cu, Fe, Mn, Ni, Pb, V, Zn), applying contamination indices, and employing Principal Component Analysis (PCA), Hierarchical Cluster Analysis (HCA), and Geographic Information System (GIS) for source identification and spatial analysis. To determine the level of heavy metal (Co, Cr, Cu, Fe, Mn, Ni, Pb, V, and Zn) contamination in the soil, thirty-one surface soil samples were selected at random from the study area.The PLI ranged from 0.23 to 0.85, with an average of 0.49, suggesting relatively uncontaminated soil pollution load index (PLI < 1). With the exception of sample number 12 (1.09), all nine soil heavy metals in the research region had Nemerow pollution index (NPI) values less than 7.0, indicating that the study area samples were not affected by pollution. The PCA analysis revealed two primary components. For the HMs being studied, the correlation matrix of the geogenic source is supported by PC1.The loadings suggest that zinc on PC2 may have originated from the application of phosphate fertilizers and fungicides in agricultural fields to boost yields. The research region was split into two clusters according to the concentrations of HMs. Higher concentrations of particular heavy metals most likely identify the samples in the second cluster. This increase may be due to their proximity to agricultural areas, where practices such as the usage of phosphate fertilizers may help to accumulate these elements in the soil. In conclusion, the integrated approach of contamination indices, PCA, and GIS successfully established a comprehensive environmental baseline. The results confirm that the area is currently unpolluted, underscoring the importance of periodic monitoring to preserve this condition. Future food security, sustainable agricultural development (which is in line with UN SDG 2: Zero Hunger), and the preservation of the region's natural resources for future generations all depend on this recent findings.
Keywords: multivariate analysis, GIS, HMS, Contamination indices, NDVI, Food security, Saudi Arabia
Received: 30 Aug 2025; Accepted: 05 Nov 2025.
Copyright: © 2025 El-Sorogy, Alharbi, Almadani, Shoaib, Rikan, Meroño de Larriva and Shokr. This is an open-access article distributed under the terms of the Creative Commons Attribution License (CC BY). The use, distribution or reproduction in other forums is permitted, provided the original author(s) or licensor are credited and that the original publication in this journal is cited, in accordance with accepted academic practice. No use, distribution or reproduction is permitted which does not comply with these terms.
* Correspondence: Mohamed Shokr, mohamed_shokr@agr.tanta.edu.eg
Disclaimer: All claims expressed in this article are solely those of the authors and do not necessarily represent those of their affiliated organizations, or those of the publisher, the editors and the reviewers. Any product that may be evaluated in this article or claim that may be made by its manufacturer is not guaranteed or endorsed by the publisher.
