ORIGINAL RESEARCH article
Front. Sustain. Food Syst.
Sec. Water-Smart Food Production
This article is part of the Research TopicOptimizing Deficit Irrigation for Sustainable Crop Production in Water-Scarce RegionsView all 3 articles
Hydroeconomic Optimization for Canal-well Conjunctive Irrigation and Drainage Management in an Arid Region with Salinization
Provisionally accepted- 1Qufu Normal University, Qufu, China
- 2Zhejiang University, Hangzhou, China
- 3Tsinghua University, Beijing, China
Select one of your emails
You have multiple emails registered with Frontiers:
Notify me on publication
Please enter your email address:
If you already have an account, please login
You don't have a Frontiers account ? You can register here
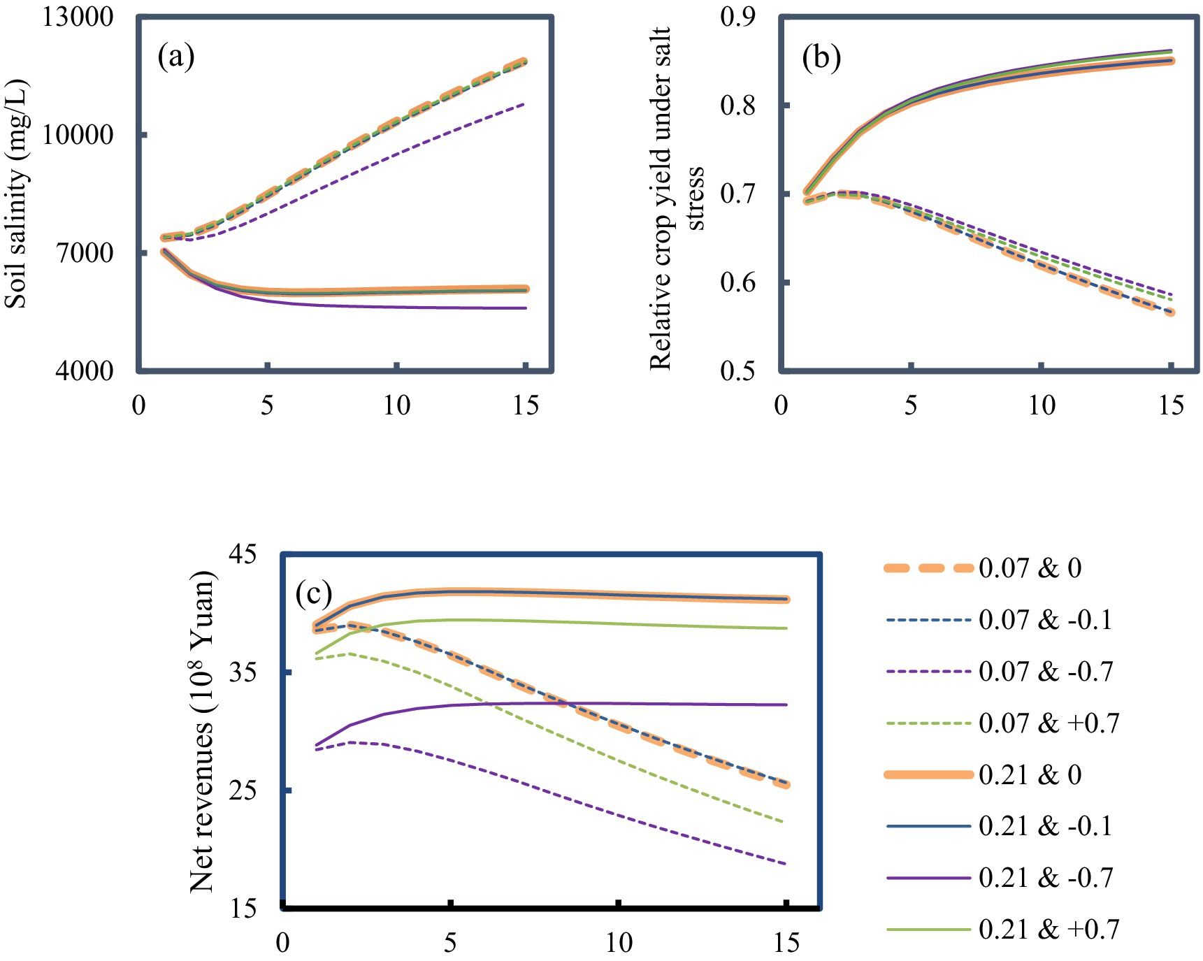
Formulating sustainable canal-well conjunctive irrigation and drainage strategies remains a critical challenge for arid irrigated agriculture confronting with water scarcity and salinization, primarily due to the multifaceted impacts of such strategies on water-land allocation, water-salt dynamics, agricultural profitability and food security. This study developed an integrated hydroeconomic optimization framework for canal-well conjunctive irrigation and drainage management by integrating agro-hydrological processes (inter-annual root-zone/groundwater water-salt dynamics, salinity-stressed crop yield assessment, canal-well conjunctive irrigation module) into an economic optimization framework. Positive Mathematical Programming (PMP) was employed to calibrate the hydroeconomic framework to base-year observations, enabling it to capture farmers' adaptive decisions under policy interventions. The framework was run continuously over a 15-year horizon under strategies defined by groundwater drainage capacity (α) and surface-to-groundwater irrigation area ratio (SGIAR) in the Hetao Irrigation District (HID). We assessed the impacts of these strategies on optimal cropping pattern and water allocation decisions, and the consequent feedback effects of these decisions on water-salt dynamics, agricultural profitability, and food security. Results show reducing SGIAR by 70% expands grain areas, enhances food security, reduces root-zone/groundwater salinity by 9.2%/8.0%, and saves 9.7% total conjunctive water consumption. In contrast, increasing SGIAR undermines food security. Enhancing α to 0.21 annually mitigates salinization and boosts productivity and benefits. Notably, the "10% SGIAR reduction & α=0.21" scenario emerges as a sustainable strategy which annually increases net benefits, alleviates salinization, conserves water, sustains food security, and ensures groundwater sustainability. This study offers a hydroeconomic framework and policy insights for advancing sustainable irrigated agriculture in the HID and analogous arid irrigated systems worldwide.
Keywords: Hydroeconomic optimization, Irrigated agriculture, canal-well conjunctive irrigation and drainage, Arid region, Salinization
Received: 09 Oct 2025; Accepted: 03 Nov 2025.
Copyright: © 2025 Cao, Zhu, Li, Yan, Luo, Yanfeng and Pan. This is an open-access article distributed under the terms of the Creative Commons Attribution License (CC BY). The use, distribution or reproduction in other forums is permitted, provided the original author(s) or licensor are credited and that the original publication in this journal is cited, in accordance with accepted academic practice. No use, distribution or reproduction is permitted which does not comply with these terms.
* Correspondence: Baofu Li, libf@qfnu.edu.cn
Disclaimer: All claims expressed in this article are solely those of the authors and do not necessarily represent those of their affiliated organizations, or those of the publisher, the editors and the reviewers. Any product that may be evaluated in this article or claim that may be made by its manufacturer is not guaranteed or endorsed by the publisher.
