Abstract
In recent years, online commensality, such as remote dining, has become a way to connect people in different places. In remote dining, people have drinks, snacks, or meals while chatting with each other via video calls and seek connectedness and belonging. However, many people feel that there is a gap between real-life and digital co-eating and that interaction in current remote dining fails to satisfy the need for companionship. Unlike real-life co-eating, in remote dining, one's meal may not be similar to that of a partner's because people usually prepare their own food separately. In this study, we focused on the effects of meal similarity on interpersonal synchronization and subjective feelings. We conducted a laboratory-based remote dining experiment and video analysis to investigate whether eating similar meals in remote conditions has any effect on eating behavior and to explore the relationship between meal similarity, interpersonal synchronization, and subjective feelings. The results showed that participants ate at a faster pace and conducted eating actions more frequently. They were more synchronized with their partners, and the feeling of togetherness was stronger. Thus, we suggest that preparing similar meals or ordering the same dishes can enhance the remote dining experience.
Introduction
Eating together, also called co-eating or commensality, is an important human activity for people to get together and build connections with each other. In a typical co-eating situation, people have a conversation in a relaxed atmosphere, share the taste of food, coordinate their eating pace and amounts, and increase closeness (Miller et al., 1998; Fischler, 2011; Cruwys et al., 2015; Herman, 2015; Ceccaldi et al., 2020). Due to these affordances, eating together frequently is associated with good quality of life and appetite (Mukawa et al., 2009; Pilgrim et al., 2015; Choi et al., 2020). In recent years, due to lifestyle changes, an increase in remote working, and COVID-19 lockdown policies, many people have been separated from their families, friends, and colleagues. Remote dining has consequently become a way to reconnect people who are physically apart. Some companies also hold online parties, such as welcome or drinking parties, to enhance unity and work efficiency. According to a survey conducted by Ceccaldi et al. (2020), people seek connectedness and belonging in remote dining, which are the same benefits that they seek in real-life co-eating. However, many people feel that there is a gap between real-life and digital co-eating and that the interaction in current remote dining fails to satisfy the need for companionship. Therefore, it is necessary to explore ways to support and enhance remote dining.
Eating partners' impressions are thought to be influenced by the similarity of the food (Liberman et al., 2016; Woolley and Fishbach, 2017). The Japanese expression “eat rice from the same kettle” implies a close relationship. In real-life co-eating, people may order similar food in a restaurant, have share-plate meals at a party, or even share their separate meals as a symbol of a close relationship (Miller et al., 1998; Cavazza et al., 2017). In contrast, in remote dining, people usually prepare their own foods separately, which are thus dissimilar. We wished to examine whether people eating the same food in remote dining through services such as online catering have a better experience. Aspiring to improve the experience of remote dining, we intended to explore how meal similarity influences eating behaviors and feelings.
Eating behavior includes the process of bringing food from the dish to the mouth, biting the food, and then chewing it until it is swallowed. It has been shown that people find the food tastier and eat more in a shorter time when they can observe others' eating behaviors as a kind of “social facilitation”, including using video recordings to observe a person's eating behavior (Kawai et al., 2021), an MR system to observe a robot's eating behavior (Fujii et al., 2020), and even a mirror to observe one's own eating behavior (Nakata and Kawai, 2017). In these studies, both the observer and the observed were eating the same snack. However, the effects of eating different foods, as people usually do in remote dining, have not been explored. Therefore, we aimed to investigate whether eating the same or a different meal influences the facilitation effects on eating behavior.
Moreover, the phenomenon of interpersonal synchronization of eating behaviors has been observed in some cases of real-life co-eating, and some situational factors have been found to influence it (Hermans et al., 2012; Sharps et al., 2015; Bell et al., 2019). Thus, we wished to examine whether meal similarity increases interpersonal synchronization. It has also been suggested that interpersonal synchronization of gestures and expressions can facilitate the smoothness of interactions and increase the degree of liking a partner (Chartrand and Bargh, 1999; Reidsma et al., 2010) and that the synchronization of certain sports actions can create a sense of co-existing in a virtual world (Itai and Miwa, 2004). However, in a co-eating situation, the effects of interpersonal synchronization on the feeling of togetherness are unknown. Thus, we aimed to explore the relationship between meal similarity, eating behavior, interpersonal synchronization, and subjective feelings.
The effects of meal similarity on the remote dining experience are unclear. It is unknown whether increasing meal similarity may increase interpersonal synchronization or improve feelings in remote dining. Moreover, whether eating the same food is advantageous has not been sufficiently explored. Aspiring to support and enhance remote dining, we aimed to examine whether meal similarity is related to eating behavior, interpersonal synchronization, and subjective feelings in three-party remote dining and to explore the relationship between interpersonal synchronization and subjective feelings. The research questions were as follows:
RQ1. How is meal similarity related to eating actions in three-party remote dining?
RQ2. How is meal similarity related to interpersonal synchronization in three-party remote dining?
RQ3. How is meal similarity related to subjective feelings in three-party remote dining?
RQ4. How is interpersonal synchronization related to subjective feelings in three-party remote dining?
To answer these research questions, we conducted a video analysis of a laboratory-based remote dining experiment, as well as a questionnaire survey followed by a short interview, and investigated the effects of the same and different meals. Our results indicate certain positive effects of meal similarity on eating behavior and feelings, which could be used to improve remote dining through similar food preparation.
Literature Review
Remote Dining
Remote dining is a way of using information technology to support commensality, allowing people in different places to eat together through video calls. Niewiadomski et al. (2019) reviewed works on computational commensality over the past 5 years and found that researchers paid more attention to health, wellbeing, and food experiences in human-food interactions. Moreover, they divided digital commensality into two kinds according to whether the partners were human. Remote dining involving human-human interactions has become a way to create or maintain connections between individuals via shared technologies. During the COVID-19 pandemic, researchers, governments, and marketing companies have conducted surveys on remote dining and showed the increased use and challenges of remote dining (Ceccaldi et al., 2020; Recruit Co., Ltd, 2020; Ministry of Agriculture, Forestry, and Fisheries, 2021). For instance, a marketing report of a survey of about 10,000 people showed that 18.3% of Japanese people in their 20s−60s who live in urban areas have attended an online party and that online parties are usually attended by three to six people (Recruit Co., Ltd, 2020). Due to increased demand on remote dining, it has been suggested that more research is needed to improve its design and experience (Niewiadomski et al., 2019; Spence et al., 2019; Ceccaldi et al., 2020). For instance, Furukawa and Inoue (2013) conducted an experiment involving both face-to-face and remote co-eating and found that meal visibility had positive effects on conversations and impressions of co-eating experience. Konno et al. (2017) conducted a two-month experiment involving two families and suggested that remote dining involving elderly parents and their children can increase parents' meal satisfaction. Because of the barriers to co-eating caused by time zone differences (Scander et al., 2021), some studies have focused on asynchronous remote co-eating systems and the interactions therein (Noguchi and Inoue, 2016; Obata et al., 2020).
Interpersonal Synchronization in Commensality
Interpersonal synchronization occurs when people are together because of maintained engagement, temporal coordination, or contingency (Harrist and Waugh, 2002). In co-eating situations, eating behavior has been found to be affected by the partners because of “social facilitation”, “social inhibition” or “social modeling” (De Castro, 1990, 1994; Lumeng and Hillman, 2007; Hartmann et al., 2010; Cruwys et al., 2015; Herman, 2015; Kaisari and Higgs, 2015; Nakata and Kawai, 2017; Kawai et al., 2021; Kimura et al., 2021). From a broad perspective, people coordinate their eating pace, especially when sharing food, either eating with friends or strangers (Woolley and Fishbach, 2019). Noguchi and Inoue (2016) suggested that coordinating the eating pace of recorded videos for co-eating had effects on the conversation in its speech frequency and length of switching pauses. Woolley and Fishbach (2019) found a positive relationship between the subjective feelings of coordination of meals and trust. From a narrower perspective, the mimicry of food intake has also been studied during meals either with family members or strangers (Hermans et al., 2012; Sharps et al., 2015; Bell et al., 2019). These studies have highlighted the likelihood of biting mimicry, which refers to the likelihood of people eating when others eat and not eating when others do not. Certain situational factors that may influence mimicry have also been discussed. Hermans et al. (2012) found that the likelihood of biting mimicry was higher in the first half of a meal. Sharps et al. (2015) studied mimicry between children and parents when multiple meal items were served freely on separate plates and found that children's biting mimicry occurred only when both they and their parents were eating the same items. Bell et al. (2019) investigated possible distractions in real-life environments that can lead to reduced mimicry.
Meal Similarity
Individuals may pay attention to what others eat in co-eating scenarios and usually compare their eating choices and amounts to those of others (Cruwys et al., 2015). Food is considered an individual identity element used to determine whether people share a culture or beliefs (Fischler, 1988; Polivy, 2017). Choosing similar types of food is considered a way to cater to each other (Cavazza et al., 2017). Some studies have investigated the effect of meal similarity on impressions of the partners. Woolley and Fishbach (2019) conducted a series of experiments to explore the influence of eating similar food on trust and found that participants who were assigned similar snacks trusted each other more. Likewise, participants also trusted advertised product information more when the advertiser ate a similar snack. It should be aware of that the participants in that study did not interact with each other but only observed each other's eating behavior. Furthermore, in face-to-face situations, people may exchange food or use shared plates. Sharing food can increase coordination and promote bonding, thus implying a positive social relationship (Miller et al., 1998; Fischler, 2011; Woolley and Fishbach, 2019). Besides, Kaisari and Higgs (2015) explored the effects of meal similarity on social modeling of food intake and found that modeling occurred either eating the same or different snacks in the meal.
Methodology
Motivated by the aforementioned gaps and problems, we experimentally investigated the effects of similar and different meals on interpersonal synchronization and subjective feelings in tele-dining. To that end, we conducted a lab-based remote dining experiment and analyzed videos of three-party remote dining. The participants attended a tele-dining experiment near lunchtime or dinnertime and were provided with lunch boxes by an online catering service. The experiment had a within-subjects design and consisted of three sessions with three conditions: a “same meal items” condition, a “different meal items” condition, and a “no meal items” condition. To focus on the effects of meal similarity, we focused only on a comparison between the “same meal items” and “different meal items” conditions. Before conducting the experiment, we obtained ethical approval from the Ethics Review Committee of Faculty of Library, Information and Media Science, University of Tsukuba (No. 20-88).
Participants
Thirty-six women aged 22 to 58 years (M = 41, SD = 11.2 years) participated in the study voluntarily and were divided into twelve groups (G1–G12). In this study, we recruited adults with jobs, which were major users of online catering services. Considering the COVID-19 pandemic, we recruited participants with no sick symptoms and excluded people working in the medical and welfare industries. The participants had no health issues and had no problems having a meal and a conversation. Consistent with previous research, all the participants were women (Mukawa et al., 2009; Hermans et al., 2012; Sharps et al., 2015), and all the groups consisted of strangers (Woolley and Fishbach, 2017) to avoid the influences of mixed genders and different relationships. The participants were recruited through a recruitment agency and grouped according to their time availability. Each participant received 6,500 yen for 90 min of participation.
Instruments and Experimental Environment
We adopted a within-subjects design to avoid the effects of personal eating habits, as some people are more talkative than others during a meal or can eat more comfortably in the presence of others. To explore the effects of meal items, triads of participants were provided with “same meal items,” “different meal items,” and “no meal items” (only drinks) lunch boxes. The participants were exposed to these three conditions in three remote sessions with the same partners.
In each session, the participants chatted freely via a video call lasting 15 min. Chatting topics were not assigned. The participants generally talked about their daily lives, upcoming events, and sometimes food and cooking. In the “same meal item” and “different meal item” conditions, each participant was provided with a lunch box containing nine small dishes, a rice dish, and a cup of tea to consume while chatting. Before each session, the menu was shown to the participants. This included the lunch box that each participant was offered, and the name and picture of each dish. The participants took a glance at the menu but did not memorize it so that they could still ask their partners what food they were having. The eating pace and amount were not predetermined, and no participants had finished their meals by the 8 min of dining.
Regarding the experimental environment, the participants in each group were shown to three different rooms in Kasuga Area, University of Tsukuba. The participants were seated in a chair facing a 42-inch display (Panasonic TH-L42E60) 100 cm away. A laptop PC was connected to the display, and Zoom was used for the video conferences (25 fps). A USB webcam with a 1920 × 1080 resolution was used, and each partner's face and meal items could be clearly seen on the screen. Each participant's own image was displayed at the center, while those of the partners were shown on the left and right above, like eating at a round table. The built-in speakers of the display and the built-in microphone of the webcam were used, and the volume of the partners' voices was adjusted to a normal conversational level. The screens during the sessions were recorded by Zoom for video analysis. Another two cameras in each room, one in front of the participant and the other behind the entire environment, recorded backup videos. One experimenter was behind the curtain in each room during the sessions and set up the lunch box and questionnaire between the sessions.
Meal Items
Four lunch box sets (A–D) sold for online dining parties were provided by online catering company nonpi Inc. (2021). We used four menus, called “Standard Plan Japanese,” “Standard Plan Western,” “Miyabi Early Summer,” and “Miyabi Taste of Edo,” in which the amounts of food were similar, but the style, ingredients, and cooking methods were different (Table 1). To compose four lunch box sets with no duplicate dishes, we used nine small dishes and a rice dish with a cup of cold oolong tea. The rice dishes were a bowl of rice with salmon, a bowl of rice with tomato, a bowl of onigiri, and three onigiri wrapped in leaves. To avoid the effects of lunch box set type, the use of sets A–D was balanced, with each set used in the “same meal items” condition for three random groups and in the “different meal items” condition for the other nine groups.
Table 1
| Food box | Dish number | Main ingredients | Size (small, long, big) | Mean size | Hardness | Mean hardness | Picture |
|---|---|---|---|---|---|---|---|
| A | 1 | Beef | Long (2) | 2.1 | 3.5 (3, 4) | 2.7 | ![]() |
| Bean sprouts | |||||||
| 2 | Eggplant | Big (3) | 1 (1, 1) | ||||
| Ham | |||||||
| 3 | Chicken | Long (2) | 3 | ||||
| 4 | Sweet potato | Long (2) | 3 (4 ,2) | ||||
| Octopus | |||||||
| 5 | Eel | Long (2) | 2 | ||||
| 6 | Green soybeans tofu | Big (3) | 1 | ![]() | |||
| 7 | Onion | Long (2) | 3 | ||||
| 8 | Broccoli | Long (2) | 3 | ||||
| 9 | Nut | Small (1) | 5 | ||||
| B | 1 | Salmon | Long (2) | 2.2 | 3 (3, 3) | 3.1 | ![]() |
| cabbage | |||||||
| 2 | Nut | Small (1) | 5 | ||||
| 3 | Olives | Small (1) | 3 (3 (estimate), 3) | ||||
| Cheese | |||||||
| 4 | Broccoli | Long (2) | 3 | ||||
| 5 | Beef | Big (3) | 3 | ||||
| 6 | Eggplant | Big (3) | 1 (1, 1) | ![]() | |||
| Cheese | |||||||
| 7 | Duck | Big (3) | 3 | ||||
| 8 | Chicken | Big (3) | 3 | ||||
| 9 | Shrimp | Long (2) | 3.5 (3, 4) | ||||
| Penne | |||||||
| C | 1 | Tofu | Big (3) | 2.7 | 1 | 2.2 | ![]() |
| 2 | Fried squid | Big (3) | 4 (4, 4) | ||||
| Fried hanpen | |||||||
| 3 | Green soybeans | Big (3) | 1 | ||||
| tofu | 1 | ||||||
| 4 | Kelp | Long (2) | 3 | ||||
| 5 | Akao (Fish) | Big (3) | 2 (estimate) | ||||
| 6 | Eggplant | Big (3) | 1 (1, 1 (estimate)) | ![]() | |||
| Crab Dango | |||||||
| 7 | Tamagoyaki | Long (2) | 3 | ||||
| 8 | Chicken | Big (3) | 3 | ||||
| 9 | Bamboo shoots | Long (2) | 2 | ||||
| D | 1 | Fried chicken | Big (3) | 3 | 1 | 2.9 | ![]() |
| 2 | Chicken | Big (3) | 4 (4, 4) | ||||
| 3 | Chicken | Big (3) | |||||
| lotus root | |||||||
| 4 | Beef | Long (2) | 3 | ||||
| Bamboo Shoots | |||||||
| 5 | Taro | Big (3) | 2 (estimate) | ||||
| carrot | |||||||
| 6 | Daikon (Radish) | Big (3) | 1 [1, 1 (estimate)] | ![]() | |||
| Green soybeans | Big (3) | 1 [1, 1 (estimate)] | |||||
| 7 | Tofu eel | Long (2) | 3 | ||||
| 8 | Shrimp cutlet | Big (3) | 3 | ||||
| 9 | Taro carrot | Long (2) | 2 | ||||
| carrot |
Main ingredients, size, and hardness of the dishes in lunch boxes A–D.
To determine the features of the four lunch box sets, we identified the main ingredients, size, and hardness of the nine dishes in each set. First, we identified the main ingredients according to the photograph and menu name of each dish. We then identified the sizes of the main ingredients according to the photograph. We used a three-centimeter cube (Koga et al., 2016) as a standard to determine whether the main ingredients could be eaten in one bite and divided them into three levels: small (all sides <3 cm) = 1, long (one side >3 cm) = 2, and big (two sides >3 cm) = 3. We expected that the larger the food was, the more likely the participants were to cut it with chopsticks, which might affect the food holding duration. Lastly, we determined hardness according to a hardness list of common ingredients and cooking methods compiled by Sekiguchi et al. (1996) using a tactile sensor. If there were no directly corresponding ingredients on the list, we used similar ingredients to estimate their hardness. We divided hardness according to the eight levels on the list. Typically, levels 1–2 include soft dishes, such as tofu (bean curd) and fish; levels 3–4 include hard dishes, such as vegetables and meat; and level 5 includes nuts and fried food. Levels 6–8 include snacks, which were not used in this study. It is considered that, given the same food size, the harder the food, the more chewing is required (Michiwaki et al., 2001).
The features of the four lunch box sets determined according to the aforementioned method are shown in Table 1. The average sizes of the dishes in lunch boxes A–D were 2.1, 2.2, 2.7, and 3, respectively. The average hardness levels of lunch boxes A–D were 2.7, 3.1, 2.2, and 2.9, respectively. In lunch box A, there were some soft dishes, such as fish and tofu, as well as some hard dishes, such as nuts and vegetables. In lunch box B, there were more hard dishes, such as nuts and meat. In lunch box C, there were more soft dishes, such as fish and tofu. In lunch box D, there were more hard dishes, such as fried foods.
Experimental Procedures
The experiment consisted of three sessions and lasted about 90 min in total. In the experiment, the participants got with the same person 3 times. To minimize the order effects such as feeling less hungry or getting familiar with the partners in the later sessions, the three sessions with the three conditions were balanced with six different orders, which were S → D → N, S → N → D, D → S → N, D → N → S, N → S → D, and N → D → S (S: same meal items, D: different meal items, N: no meal items). Each of the orders was assigned to two groups of participants randomly. The following procedure was followed (the order of S → D → N is used as an example):
Explain the experiment to the participants in writing and orally and obtain signed consent forms. Show the menus of lunch box sets A–D and ensure that there are no allergies to the ingredients.
Conduct the “same meal items” remote dining session.
a. Have the participants fill in the levels of hunger and show the menus used in the session.
b. Let the participants have a 15-min remote dining session.
c. Have the participants fill in the questionnaires regarding their co-eating experience.
Conduct the “different meal items” remote dining session.
a. Have the participants fill in the levels of hunger and show the menus used in the session.
b. Let the participants have a 15-min remote dining session.
c. Have the participants fill in the questionnaires regarding their co-eating experience.
Conduct the “no meal items” remote session.
a. Have the participants fill in the levels of hunger.
b. Let the participants have a 15-min remote session.
c. Have the participants fill in the questionnaires regarding their communication experience.
Conduct a 10-min interview with each participant based on the answers to the questionnaires.
Data Collection and Analysis
Video Data and Labeling
We used video recordings to analyze each participant's eating behavior. We focused on 3–8 min of each 15-min remote dining session, because the participants first greeted each other and opened their lunch boxes and because interpersonal synchronization is more likely to occur in the first half of a meal (Hermans et al., 2012). The backup videos recorded by the cameras in front of and behind each participant were occasionally used to supplement the video call recordings.
The video recordings of each participant (6 h in total) were manually labeled using ELAN (Figure 1), a video analysis tool, and analyzed quantitatively by two authors. The labels were predefined in a codebook by both observers. The two observers labeled a 5-min video of one group and resolved any disagreements after discussion before labeling other videos. Codes for actions that had not been anticipated, such as licking chopsticks, were decided through discussion and added to the codebook. There were no more code additions after half of the groups had been labeled. After labeling, we calculated and compared the proportions of the total duration of participants' eating actions in 5 min (%), frequency of participants' eating actions (times per minute), and average length of participants' eating actions (seconds per time) in the “same meal items” and “different meal items” conditions.
Figure 1

Image of video analysis using ELAN.
According to previous studies, the process of food consumption includes holding tableware, holding food, taking a bite (putting food in the mouth), and chewing (Mukawa et al., 2009; Inoue et al., 2019). In this study, we labeled and analyzed the durations of holding food and biting, followed by chewing, as the main elements of eating behavior. We considered putting food in the mouth to be a kind of biting, so these two actions were treated as one. We also labeled the drinking period and the period of not holding tableware as resting periods.
Holding Food
Holding food was defined as the period during which food was held by hand or tableware. It started when the tableware or hand picked up food and ended when it released it—for example, putting it in the mouth or back in the lunch box. When food was not taken in with a single bite, the Hf period restarted after the biting period and ended when the tableware released the food. This definition thus included the periods of holding the bowl of rice or onigiri and cutting the food but not the period of holding the cup of tea. Moreover, the participants sometimes cut the food several times, which fragmented the Hf period. Thus, besides the average length of each action, we also calculated the average time the participants spent holding food per bite (Figure 2) by dividing the total time by the number of bites.
Figure 2

Timeline of eating actions. The average time the participants spent holding food per bite (HfpB) was the total holding food time divided by the number of bites.
Biting and Chewing
Biting was defined as the moment when a participant took a bite. We considered the duration of a bite to be 0.2 sec. Licking chopsticks was not included (Bell et al., 2019). Chewing was defined as the period that started after a participant took a bite and ended when the participant swallowed or took another bite. We calculated the frequency of bites, the proportion of chewing, and the average length of chewing.
Drinking
Drinking was defined as the period during which a participant drank tea, which was considered a resting period.
Not Holding Tableware
Not holding tableware was defined as the period during which a participant did not hold any tableware, such as chopsticks, a spoon, a bowl, or a cup, which was considered a period of resting or changing tableware.
Interpersonal Synchronization
To investigate the phenomenon of eating behavior synchronization between co-eaters, we focused on the timing of biting. While previous studies focused on the likelihood of biting mimicry (Hermans et al., 2012; Sharps et al., 2015; Bell et al., 2019), to adopt a broader perspective, we looked at the instances and proportion of synchronized biting beside its likelihood. Based on previous studies (Hermans et al., 2012; Sharps et al., 2015; Bell et al., 2019), we calculated pairwise synchronization, considered the biting synchronization delay to be five seconds, and let pairwise synchronized biting Pi → Pj meant participant i took a bite within five seconds of participant j taking a bite (Figure 3). Accordingly, synchronized biting was identified automatically using the biting start times generated by ELAN. We also calculated the proportion of pairwise synchronized biting Pi → Pj as pairwise synchronized biting Pi → Pj divided by the total number of biting Pi.
Figure 3

Synchronized biting of P1 → P2, P3 → P1, and P3 → P2. Synchronized biting Pi → Pj was defined as participant i taking a bite within 5 sec of participant j taking a bite.
The likelihood of biting mimicry pairwise refers to the tendency (or lack thereof) to take a bite after a partner does. The likelihood indicators are the sensitive period, the non-sensitive period, the rate of sensitive biting, and the rate of non-sensitive biting. The sensitive period is a five-second period after a partner takes a bite, and the non-sensitive period is the total time other than the sensitive period. The rate of sensitive biting is calculated as synchronized biting divided by the sensitive period, and the rate of non-sensitive biting is calculated as non-synchronized biting divided by the non-sensitive period. Lastly, the biting ratio (the rate of sensitive biting divided by the rate of non-sensitive biting) is considered the likelihood of biting mimicry (Hermans et al., 2012; Sharps et al., 2015; Bell et al., 2019), the equation is:
To calculate the synchronization in a group, we considered triad synchronization, which meant the synchronization in all the three members. To calculate triad synchronization for each person, in each group of participants i, j, and k, we obtained the instances of triad-synchronization Pi as the number of {{synchronized biting Pi → Pj.} AND {synchronized biting Pi → Pk}} and obtained the proportion of triad synchronized biting Pi as the number of triad synchronized biting Pi divided by the total number of biting Pi, which are:
In addition, we also considered either-two-synchronization, which meant the synchronization in any of the two members. To calculate either-two-synchronization for each person, in each group of participants i, j, and k, we obtained the instances of either-two-synchronization Pi as the number of {{synchronized biting Pi → Pj} OR {synchronized biting Pi → Pk}} and obtained the proportion of either-two-synchronized biting Pi as the number of either-two-synchronized biting Pi divided by the total number of biting Pi. We also considered passive synchronization, which meant the participant's bite was before the partner's bite, while synchronization meant the one after the partner's bite. We obtained either-two-passive synchronization Pi as the number of {{synchronized biting Pj → Pi} OR {synchronized biting Pk → Pi}} and obtained the proportion of either-two-passive synchronized biting Pi divided by the total number of biting Pi, which are:
Questionnaire
To examine the participants' subjective feelings, we administered a questionnaire rated on a seven-point Likert scale (where one represented strongly disagree, and seven represented strongly agree) with a section for free comments. This was followed by a short interview. The questionnaire used in the experiment consisted of forty-eight items. Twenty-one of these items were analyzed in this study to focus on impressions of the tele-dining experience. Other twenty-seven items were related to intentions and perceptions of conversations, intentions and perceptions of gaze directions, environments of the experiment, and were excluded from the analysis because they were out of focus on the topic of this article. Among the twenty-one items analyzed in this study, eight items were selected from the studies focusing on impressions of co-eating experiences (Furukawa and Inoue, 2013), three of them were selected from the studies focusing on closeness of co-eating partners (Woolley and Fishbach, 2017), and necessary modifications were made for clarity. Other ten items were developed with reference to (Ceccaldi et al., 2020) to explore whether people's expectations of co-eating were satisfied, such as “feeling the food is delicious” and “feeling like eating together”. The items used in this study fell under the following eight categories:
∙“Tastiness” (one item). The item “It was my favorite meal” was included because observing others' eating behaviors is believed to enhance perceptions of the taste of food (Nakata and Kawai, 2017; Kawai et al., 2021; Kimura et al., 2021).
∙“Enjoyment of meal” (two items) and “ease of meal” (four items). These items were related to general impressions of the meal (Furukawa and Inoue, 2013), intake coordination (Woolley and Fishbach, 2019), and concentration. The items were “I enjoyed the meal,” “I felt awkward about the meal” (reverse order), “It was easy to eat,” “I was able to eat the amount that I wanted,” “I paid attention to the progress of the partners' meal,” and “I was concentrated on eating.”
∙“Enjoyment of conversation” (two items) and “ease of conversation” (four items). These items were related to general impressions of the conversation (Furukawa and Inoue, 2013) and to concentration. The items were “I enjoyed the conversation,” “I felt awkward about the conversation” (reverse order), “It was easy to talk,” “I understood what the partners were saying,” “I think that what I was saying was understood by the partners,” and “I was concentrated on the conversation.”
∙“Having a meal together” (two items), “closeness” (three items), and “food topics” (three items). These items were included because people seek a sense of companionship in remote dining (Ceccaldi et al., 2020). Furthermore, while sharing the taste of food is an important interaction that is limited by physical distance (Miller et al., 1998; Ceccaldi et al., 2020), we asked about discussing food topics. The items were “I felt like I was eating with the partners,” “I enjoyed the meal with the partners,” “I felt a sense of companionship,” “I felt close to the partners,” “I liked the partners,” “I talked about the taste of food,” “I talked about my food preferences,” and “I talked about my memories of food.”
Statistical Analysis
To answer the research questions, we used non-parametric analysis as some of the items in eating actions, interpersonal synchronization and subjective feelings were not normally distributed according to Shapiro-Wilk normality test. To answer RQ1, RQ2 and RQ3, Wilcoxon rank-sum test was used to compare the eating actions, interpersonal synchronization and subjective feelings between the “same meal items” and “different meal items” conditions, as the data were paired. In addition, Kruskal-Wallis test was used to compare the eating actions between the participants eating lunch box set “A”, “B”, “C” and “D”, as the data were not paired. Lastly, to answer RQ4, we used Spearman's rank correlation coefficient to investigate the relationship between either-two-interpersonal synchronization and subjective feelings.
Results
Eating Behavior
The median of participants' levels of hunger were 5.5 and 4 before they ate their first and second meals respectively on a seven-point Likert scale (where 1 represented strongly disagree with “I am hungry.”, and 7 represented strongly agree with “I am hungry.”). Overall, the participants were moderately hungry when they participated in the first session with a meal and were neutral when they participated in the second session with a meal.
The proportions of the total duration of participants' eating actions in five minutes (%), frequency of participants' eating actions (times per minute), and average length of participants' eating actions (seconds per time) are shown in Figure 4. Overall, the median of proportions of holding food in the “same meal items” and “different meal items” conditions were 36 and 37%, respectively. The mean proportions of chewing in the “same meal items” and “different meal items” conditions were 54 and 47%, respectively. To compare the time spent holding food and chewing between the conditions (Figure 4A), the Wilcoxon rank-sum test showed that proportions of chewing differed significantly between the conditions (N = 36, W = 200, p = 0.0373). This suggested that the participants spent more time eating when they were having the same food.
Figure 4

(A) Proportions of holding food and chewing. (B) Frequencies of holding food and biting. (C) Average lengths of holding food, holding food per bite, and chewing.
Regarding the eating pace, the participants held food 3.6 times and took 2.7 bites per minute in the “same meal items” condition, whereas they held food 2.8 times and took 2.0 bites per minute in the “different meal items” condition. The median lengths of holding food and holding food per bite were 6.0 and 7.5 sec, respectively, in the “same meal items” condition and 7.2 and 9.2 sec, respectively, in the “different meal items” condition. The median length of chewing was 11.4 sec in the “same meal items” condition and 12.4 sec in the “different meal items” condition. To comparing the eating pace between the conditions (Figures 4B,C), the Wilcoxon rank-sum test showed that the frequencies of holding food and biting differed significantly between the conditions (NHf = 34, WHf = 158.5, pHf = 0.018; NB = 34, WB = 158.5, pB = 0.018). The median lengths of holding food and holding food per bite showed marginally significant and significant differences, respectively, between the conditions (NHf = 36, WHf = 214, pHf = 0.063; NHfpB = 36, WHfpB = 200, pHfpB = 0.037). This suggested that the participants ate at a faster pace when they were having the same food.
Regarding the resting periods, in both conditions, 18 participants drunk the water and the median proportion of drinking of these people is 1%. In the “same meal items” and “different meal items” conditions, 15 participants and 23 participants put down their tableware and the median proportion of not holding tableware were 3 and 11% of these people, respectively. The Wilcoxon rank-sum test showed that the proportions of not holding tableware of the whole participants differed significantly between the conditions. This suggested that the participants put their tableware down less frequently when they were having the same food.
Interpersonal Synchronization
The numbers of pairwise synchronized bites of each pair in 5 min and the proportions of pairwise synchronized biting in each pair are shown in Figure 5. The medians of pairwise synchronized bites were 3 and 2 in the “same meal items” and “different meal items” conditions, respectively. The median proportions of pairwise synchronized biting were 25 and 20%, respectively. To compare the instances and proportions of pairwise interpersonal synchronization, the Wilcoxon rank-sum test showed that the instances and proportions of pairwise synchronized biting differed significantly between the conditions (Nnumbers = 60, Wnumbers = 520, pnumbers = 0.003; Nproportion = 69, Wproportion = 834, pproportion = 0.026; Figures 5A,B). In terms of the likelihood of biting mimicry, the ratios of sensitive to nonsensitive bites did not differ significantly between the conditions: 1.10 and 0.92 in the “same meal items” and “different meal items” conditions (Figure 5C), respectively. This suggested that the tendency “to eat when partners eat and not to eat when partners do not” did not differ between the two conditions.
Figure 5

Numbers of (A) pairwise synchronized bites over 5 min. Proportions of (B) pairwise synchronized biting and (C) likelihood of biting mimicry.
The numbers of triad synchronized bites of each person in five minutes and the proportions of triad synchronized biting of each person are shown in Figure 6. The total of triad synchronized bites were 31 and 15, and the medians were 1 and 0 in the “same meal items” and “different meal items” conditions, respectively. The median proportions of triad synchronized biting were 5 and 0%, respectively. To compare the instances and proportions of triad interpersonal synchronization, the Wilcoxon rank-sum test showed that the instances of triad synchronized biting marginally differed significantly between the conditions and proportions of triad synchronized biting differed significantly between the conditions (Nnumbers = 22, Wnumbers = 72.5, pnumbers = 0.075; Nproportion = 24, Wproportion = 78, pproportion = 0.041; Figures 6A,B).
Figure 6

Numbers of (A) triad synchronized bites over 5 min and (B) proportions of triad synchronized bites to total biting. Numbers of (C) either-two-synchronized bites over 5 min and (D) proportions of either-two-synchronized bites to total biting. Numbers of (E) either-two-passive synchronized bites over 5 min and (F) proportions of either-two-passive synchronized bites to total biting.
Lastly, the numbers of either-two-synchronized and either-two-passive synchronized bites of each person in 5 min, the proportions of either-two-synchronized and either-two-passive synchronized biting of each person, are also shown in Figure 6. The medians of either-two-synchronized bites were both 5 in the “same meal items” and “different meal items” conditions, respectively. The median proportions of either-two-synchronized biting, representing the proportions of the biting that following any partner's biting, were 48 and 42%, respectively. The medians of either-two-passive synchronized bites were 6 and 5, respectively. The median proportions of either-two-passive synchronized biting, representing the proportions of the biting that is followed by any partner's biting, were 39 and 36%, respectively. To compare the instances and proportions of either-two-interpersonal synchronization, the Wilcoxon rank-sum test showed that the instances of either-two-synchronized biting and either-two-passive-synchronized biting differed significantly between the conditions (Neither−two−synchronization = 29, Weither−two−synchronization = 112.5, peither−two−synchronization = 0.023; Neither−two−passivesynchronization = 31, Weither−two−passivesynchronization = 126, peither−two−passivesynchronization = 0.017; Figures 6C,E). The median of the difference of the number of either-two-synchronized and either-two-passive- synchronized biting between two conditions (same meal item condition – different meal item condition) were 1 and 1.5. This suggested that there were more instances of either-two-interpersonal synchronization when the participants were having the same food. However, the proportion of either-two-synchronized or either-two-passive synchronized biting did not differ significantly between the conditions.
Meal Items and Eating Patterns
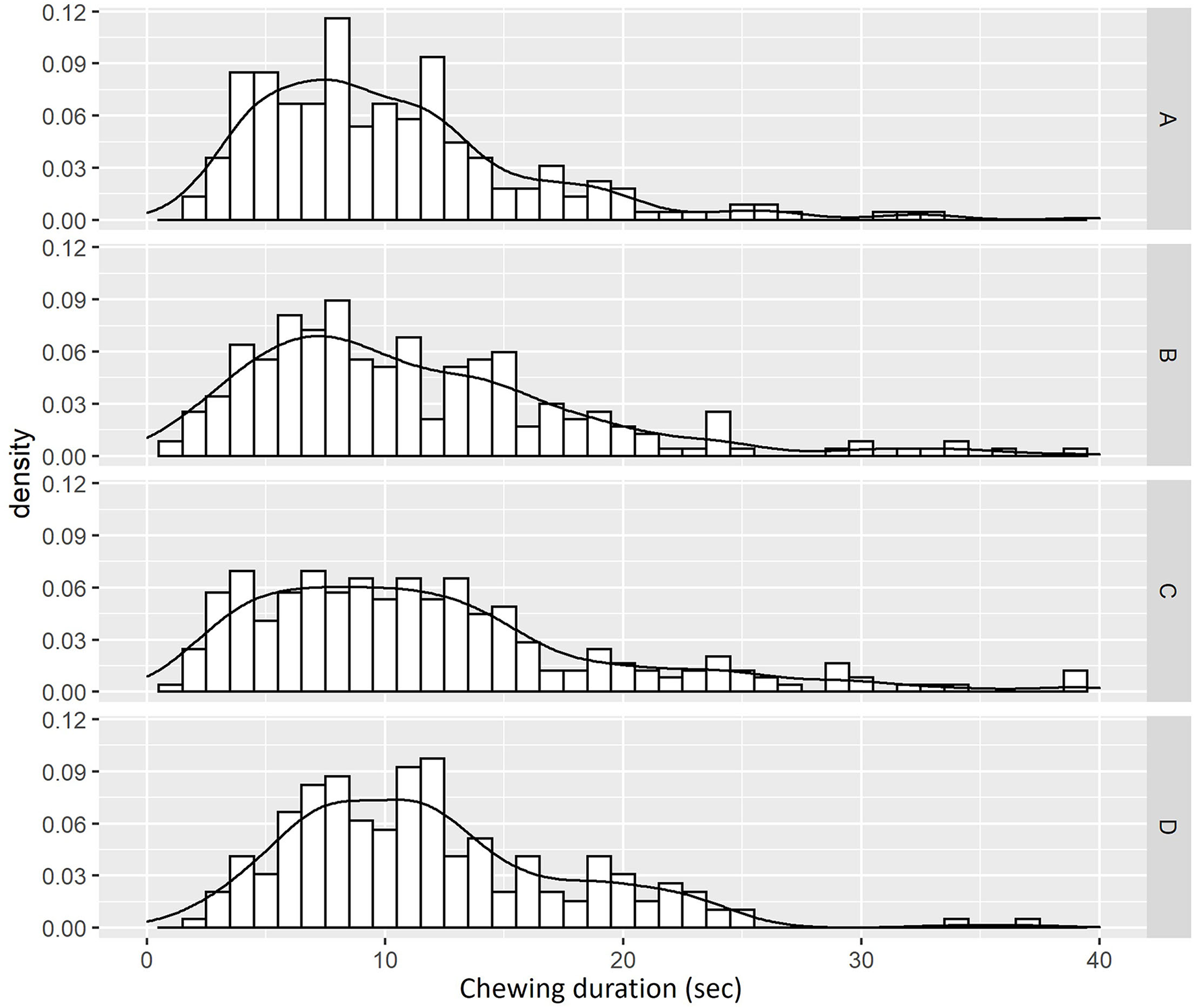
The mean lengths of holding food per bite and chewing (seconds per time) are shown in Figure 7. To compare the mean lengths of holding food per bite and chewing between participants eating each lunch box set, we used the Kruskal-Wallis test, as some items were not normally distributed. There were no statistically significant differences between participants eating each lunch box set. The distribution of chewing duration using the four lunch box sets is shown in Figure 8.
Figure 7

Average lengths of holding food per bite in (A) the “same meal items” condition and (B) the “different meal items” condition using four lunch box sets. Average lengths of chewing in (C) the “same meal items” condition and (D) the “different meal items” condition using four lunch box sets.
Figure 8

Chewing length density of the participants using lunch box sets (A–D).
Subjective Feelings
The average scores of subjective feelings in each category are shown in Figure 9.
Figure 9

Subjective feelings of tastiness, enjoyment of meal, ease of meal, enjoyment of conversation, ease of conversation, having a meal together, closeness, and food topics (1: strongly disagree; 7: strongly agree).
In terms of tastiness, the participants generally reported liking the food (MdS = 6; MdD = 5). There was a marginally significant difference between the conditions (N = 15, W = 29.5, p = 0.0775), suggesting that the participants found the food more likable when they were having the same meal.
Regarding their feelings about the meal, the participants had a generally positive attitude toward “enjoyment of meal” (MdS = 5.3; MdD = 5.0; Cronbach's alpha = 0.68) but a neutral attitude toward “ease of meal” (MdS = 4.3; MdD = 4.2; Cronbach's alpha = 0.58). In terms of feelings about the conversation, the participants had a generally positive attitude toward “enjoyment of conversation” (MdS = 4.8; MdD = 5.0; Cronbach's alpha = 0.68) and “ease of conversation” (MdS = 5.0; MdD = 4.8; Cronbach's alpha = 0.58).
Regarding their feelings about companionship, the participants had a generally positive attitude toward “having a meal together” (MdS = 5.0; MdD = 5.0; Cronbach's alpha = 0.81) and “closeness” (MdS = 5.0; MdD = 5.0; Cronbach's alpha = 0.93) but a neutral attitude toward “food topics” (MdS = 3.5; MdD = 3.3; Cronbach's alpha = 0.54). Among the items in the “food topics” category, the participants reported having conversations about the “taste of food” (MdS = 5; MdD = 5) but not about their “food preferences” (MdS = 3; MdD = 2) or “memories of food” (MS = 2; MD = 2). The Wilcoxon rank-sum test showed a marginally significant difference in the feeling of “having a meal together” between the conditions (N = 24, W = 89, p = 0.0809), suggesting that the participants had a greater sense of having a meal together when they were having the same meal.
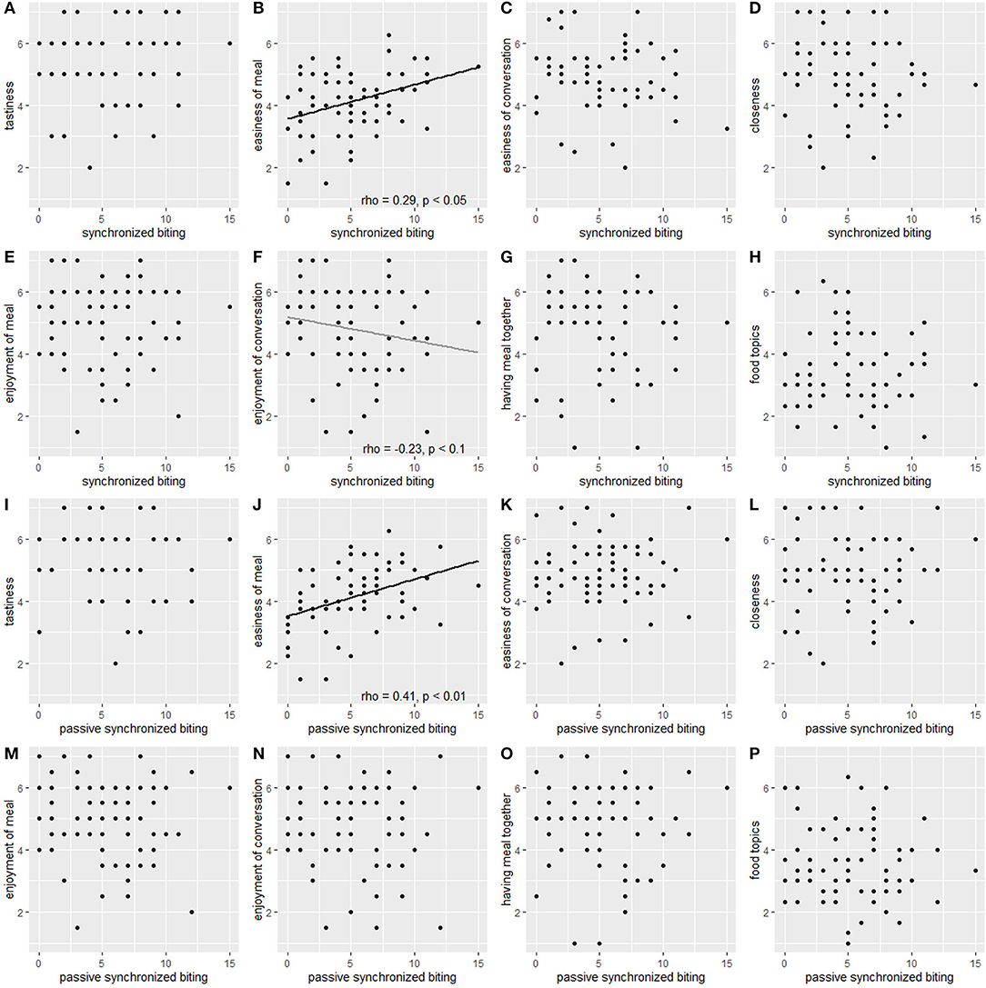
Relationship Between Interpersonal Synchronization and Subjective Feelings
In seventy-two samples collected from thirty-six participants in the two conditions, Spearman's rank correlation coefficient showed that interpersonal synchronization positively correlated with the feeling of “ease of meal”: “ease of meal” modestly correlated with the numbers of either-two-synchronized biting (rho = 0.29, p = 0.011), and moderately correlated with the numbers of either-two-passive synchronized biting (rho = 0.41, p = 0.000). This suggested that interpersonal synchronization was related to the ease of co-eating. Scatterplots of the numbers of synchronized biting and subjective feeling and the numbers of passive synchronized biting and subjective feeling are shown in Figure 10. Surprisingly, no other positive correlations were found.
Figure 10

Relationships between (A–H) the amount of either-two-synchronized biting and subjective feelings and (I–P) the amount of either-two-passive synchronized biting and subjective feelings (N = 72).
Besides the abovementioned positive correlation, there was a modestly negative correlation between the numbers of either-two-synchronized biting and the feeling of “enjoyment of conversation” (rho = −0.21, p = 0.082) but not between either-two-passive synchronized biting and “enjoyment of conversation” (rho = −0.10, p = 0.397).
Discussion
To address negative thoughts and the lack of feelings of togetherness in interactions in remote dining, this study aimed to explore whether having the same food can make co-eaters more synchronized and enhance the co-eating experience. Moreover, we investigated the relationship between interpersonal synchronization and co-eaters' feelings.
To answer RQ1 (“How is meal similarity related to eating actions in three-party remote dining?”), we conducted an experiment with a within-subjects design and analyzed the participants' eating actions through video analysis. The results showed that people ate at a faster pace and spent more time eating when they were having the same meal: they took in food more times per minute and spent more time chewing. Moreover, the holding food per bite time, including cutting food, picking it up, holding it waiting for proper timing, and bringing it to the mouth, was shorter when the participants were having the same meal. This suggests that they were less hesitant to eat and experienced a smoother eating process. Although we did not record calorie intake, the eating frequency and proportion suggest that the participants ate more when eating the same food. Studies on the social facilitation of eating (De Castro, 1990, 1994; Lumeng and Hillman, 2007; Herman, 2015; Nakata and Kawai, 2017; Kawai et al., 2021; Kimura et al., 2021) have consistently shown that food intake is higher when people eat with others—either friends, strangers, or even their self-images—than when they eat alone. Although several reasons for and limitations of social facilitation have been suggested (Tolman, 1968; De Castro, 1990, 1994; Herman, 2015), our results may be explained by disinhibition: “observing someone else eating may remove constraints on eating that otherwise would limit the amount ingested” (De Castro, 1990, p. 1134). Recent artificial co-eating studies have found that observing others' eating behaviors makes people think the food is more delicious and eat more in a shorter time (Nakata and Kawai, 2017; Kawai et al., 2021). Whereas in these studies, the co-eaters were generally eating the same food, we investigated the effects of eating the same and different meals. The differences between the “same meal items” and “different meal items” conditions, including enhancing frequency of eating actions and thinking the food more likable in the former, were consistent with the effects of social facilitation in these studies. Thus, we suggest that social facilitation is more effective when people eat the same food, and further studies with the “eating alone” condition as a baseline are needed. On the other hand, further analysis is needed for exploring what participants spent time for in the resting periods, such as talking, listening, or waiting for someone start to speak.
To answer RQ2 (“How is meal similarity related to interpersonal synchronization in three-party remote dining?”), we investigated the synchronization of eating behaviors. We found that pairwise interpersonal synchronization and triad synchronization were greater when the participants were having the same food. The numbers and proportions of pairwise and triad synchronized biting were higher in the “same meal items” condition. Besides, the numbers of either-two synchronized and either-two passive synchronized biting were also higher in the “same meal items” condition. This suggests that in this condition, there were more instances that participants were eating at the same time. Some possible situational factors could be considered. One consideration is whether meal similarity influences mimicry. In our study, the likelihood of biting mimicry was similar in the “same meal items” and “different meal items” conditions; therefore, meal similarity cannot be considered a situational factor. Another consideration is whether individuals' eating behaviors are influenced by the meal items and result in similar eating patterns with similar food. In our study, there were no significant differences in the average length of holding food per bite or chewing. Although previous studies have found that the texture and size of food may influence the average time required for chewing (Michiwaki et al., 2001; Shiozawa et al., 2016), this is hard to verify when using multi-item meals in co-eating. In this case, the participants may have adjusted the amount of food to take in per bite and the choice of dish to make the rhythm of eating and conversation more comfortable. Lastly, the number and proportion of synchronized biting may be influenced by the frequency of biting. For example, when a partner eats more, there is a higher chance that an individual and the partner will also eat with similar timing. It is notable that strangers were used in this experiment, and thus our results might be limited to strangers. Nevertheless, the synchronization of eating was found to occur during the meal either with familiar partners (Sharps et al., 2015; Bell et al., 2019) or with strangers (Hermans et al., 2012) respectively in previous studies. The effects of familiarity on some phenomena similar to synchronization, such as modeling or matching of eating, were examined. Familiarity does not have a significant effect in many known cases (Salvy et al., 2007; Kaisari and Higgs, 2015), although a few reported the effects (Salvy et al., 2009) and thus this issue is inconclusive. Woolley and Fishbach (2019) have examined the effects of familiarity and eating style on perceived coordination during the meal and found effects of both of them with no significant interaction effect.
To answer RQ3 (“How is meal similarity related to subjective feelings in three-party remote dining?”), we collected information on subjective feelings through a questionnaire. The results showed that the participants found the food more likable and had a greater sense of “having a meal together” when they were having the same food. This suggests that having the same food could be a solution to the commonly reported lack of a sense of togetherness in remote dining. According to a survey conducted by Ceccaldi et al. (2020), one of the shortcomings of tele-ding causing this problem is that people cannot share the taste of food due to physical barriers. It seems that eating the same food could mitigate this shortcoming and improve the feeling of “having a meal together.” In the short interviews after the experiment, we asked the participants why their sense of “having a meal together” was similar or dissimilar in the two conditions. Some participants cited the importance of sharing impressions or taste with the partners. For example, one participant stated, “Because everyone was having the same meal, I was able to share my impressions of the menu” (G5, Participant 2). Another participant said, “When we were eating the same meal, we talked about food, so I felt that [the partner] was eating even though [the partner] was not in front of me” (G7, Participant 1). Another participant said, “I was able to share the taste of food by talking about food and sharing the scene with no time difference. Also, I was able to discuss my impressions” (G8, Participant 2). Thus, for a stronger feeling of having a meal together, eating the same food in tele-dining is recommended.
Lastly, to answer RQ4 (“How is interpersonal synchronization related to subjective feelings in three-party remote dining?”), we used Spearman's rank correlation coefficient. We found that interpersonal synchronization positively correlated with the feeling of “ease of meal.” While previous studies have found that synchronization is beneficial in increasing the smoothness of interactions, liking partners, and the sense of sharing the same field (Chartrand and Bargh, 1999; Itai and Miwa, 2004; Nagaoka et al., 2005; Reidsma et al., 2010; Wu et al., 2020), we found only a relationship between synchronized biting (or passive synchronized biting) and ease of eating. The more the participants ate synchronously (after 5 sec), or the more the participants' eating was synchronized (before 5 sec), the more they felt the ease of the meal. We speculate that this could be either due to a feeling that the food was easier to eat when the participants were more synchronized with their partners or due to being more synchronized with their partners when they found the food easy to eat. On the other hand, enjoyment of conversation was found modestly negatively correlated with the number of synchronized biting but not with the number of passive synchronized biting. We speculate that initiating and holding a conversation may be related to the initiation of synchronization, which requires further analysis.
Conclusion
In this study, we found that eating the same meal in a three-party remote dining session increased the frequency of taking bites, eating time proportion, and interpersonal synchronization of biting. We also found that eating the same meal enhanced the perception of tastiness and the feeling of having a meal together. Interpersonal synchronization was related to the feeling that the meal was easy to eat. Therefore, since one of the main purposes of remote dining is being together and creating a sense of companionship, we suggest that preparing similar meals or ordering the same dishes can enhance the remote dining experience. Furthermore, the higher eating frequency and eating time proportion in the “same meal items” condition suggest that having the same food in remote dining might offer a better experience to people who are physically alone and suffer from a loss of appetite or people who are not familiar with each other and feel not easy to eat in front of each other. To enhance the remote dining experience, the long-term effects of meal similarity in regularly remote dining and the effects of meal similarity on specific types of people should be investigated.
Funding
This study received funding from nonpi Inc. The funder was not involved in the study design, collection, analysis, interpretation of data, the writing of this article, or the decision to submit it for publication.
Publisher's Note
All claims expressed in this article are solely those of the authors and do not necessarily represent those of their affiliated organizations, or those of the publisher, the editors and the reviewers. Any product that may be evaluated in this article, or claim that may be made by its manufacturer, is not guaranteed or endorsed by the publisher.
Statements
Data availability statement
The raw data supporting the conclusions of this article will be made available by the authors, without undue reservation.
Ethics statement
The studies involving human participants were reviewed and approved by Ethics Review Committee of Faculty of Library, Information and Media Science, University of Tsukuba (No. 20-88). The patients/participants provided their written informed consent to participate in this study.
Author contributions
J-YW and SK collected and analyzed the data. SK organized the video analysis data. J-YW performed the interpersonal synchronization calculations and drafted the manuscript. TI provided critical revisions. All authors developed the idea for the study, collaboratively designed the study, and revised the manuscript. All authors contributed to the article and approved the submitted version.
Conflict of interest
The authors declare that the research was conducted in the absence of any commercial or financial relationships that could be construed as a potential conflict of interest.
References
1
BellB. M.Spruijt-MetzD.Vega YonG. G.MondolA. S.AlamR.MaM.et al. (2019). Sensing eating mimicry among family members. Transl. Behav. Med.9, 422–430. 10.1093/tbm/ibz051
2
CavazzaN.GuidettiM.ButeraF. (2017). Portion size tells who i am, food type tells who you are: specific functions of amount and type of food in same- and opposite-sex dyadic eating contexts. Appetite112, 96–101. 10.1016/j.appet.2017.01.019
3
CeccaldiE.HuismanG.VolpeG.ManciniM. (2020). “Guess who's coming to dinner? surveying digital commensality during covid-19 outbreak,” in Companion Publication of the 2020 International Conference on Multimodal Interaction. New York, NY: ACM. p. 317–321. 10.1145/3395035.3425649
4
ChartrandT. L.BarghJ. A. (1999). The chameleon effect: the perception–behavior link and social interaction. J. Personal. Soc. Psychol.76, 893–910. 10.1037/0022-3514.76.6.893
5
ChoiM. J.ParkY. G.KimY. H.ChoK. H.NamG. E. (2020). Eating together and health-related quality of life among korean adults. J. Nutr. Educ. Behav.52, 758–765. 10.1016/j.jneb.2019.11.013
6
CruwysT.BevelanderK. E.HermansR. C. (2015). Social modeling of eating: a review of when and why social influence affects food intake and choice. Appetite86, 3–18. 10.1016/j.appet.2014.08.035
7
De CastroJ. M.. (1990). Social facilitation of duration and size but not rate of the spontaneous meal intake of humans. Physiol. Behav.47, 1129–1135. 10.1016/0031-9384(90)90363-9
8
De CastroJ. M.. (1994). Family and friends produce greater social facilitation of food intake than other companions. Physiol Behav.56, 445–455. 10.1016/0031-9384(94)90286-0
9
FischlerC.. (1988). Food, self and identity. Soc. Sci. Inf.27, 275–292. 10.1177/053901888027002005
10
FischlerC.. (2011). Commensality, society and culture. Soc. Sci. Inf.50, 528–548. 10.1177/0539018411413963
11
FujiiA.KochigamiK.KitagawaS.OkadaK.InabaM. (2020). “Development and evaluation of mixed reality co-eating system: sharing the behavior of eating food with a robot could improve our dining experience,” in 2020 29th IEEE International Conference on Robot and Human Interactive Communication (RO-MAN) (New York, NY: IEEE), 357–362. 10.1109/RO-MAN47096.2020.9223518
12
FurukawaO.InoueT. (2013). Showing meal in video-mediated table talk makes conversation close to face-to-face [in Japanese]. Trans. Inf. Process. Soc. Japan54, 266–274. Available online at: http://id.nii.ac.jp/1001/00088675/
13
HarristA. W.WaughR. M. (2002). Dyadic synchrony: its structure and function in children's development. Develop. Rev.22, 555–592. 10.1016/S0273-2297(02)00500-2
14
HartmannA.ZeeckA.BarrettM. S. (2010). Interpersonal problems in eating disorders. Int. J. Eat. Diso.43, 619–627. 10.1002/eat.20747
15
HermanC. P.. (2015). The social facilitation of eating: a review. Appetite86, 61–73. 10.1016/j.appet.2014.09.016
16
HermansR. C.Lichtwarck-AschoffA.BevelanderK. E.HermanC. P.LarsenJ. K.EngelsR. C. (2012). Mimicry of food intake: the dynamic interplay between eating companions. PLoS ONE7, e31027. 10.1371/journal.pone.0031027
17
InoueT.NoguchiY.GuY. (2019). Effect of co-eating agents' eating behavior synchronization [in Japanese]. IEICE Techn. Report119, 153–158. Available online at: https://www.ieice.org/ken/paper/20190517U1mQ/eng/
18
ItaiS.MiwaY. (2004). “Co-existing communication using a robot as your agent,” in 2004 IEEE/RSJ International Conference on Intelligent Robots and Systems (IROS).New York: IEEE. vol. 2, p. 1218–1225.
19
KaisariP.HiggsS. (2015). Social modelling of food intake: the role of familiarity of the dining partners and food type. Appetite86, 19–24. 10.1016/j.appet.2014.09.020
20
KawaiN.GuoZ.NakataR. (2021). Watching a remote-video confederate eating facilitates perceived taste and consumption of food. Physiol. Behav.238, 113469. 10.1016/j.physbeh.2021.113469
21
KimuraA.TokunagaH.SasakiH.ShuzoM.MukawaN.WadaY. (2021). Effect of co-eating on unfamiliar food intake among japanese young adults. Food Quality Prefer.89:104135. 10.1016/j.foodqual.2020.104135
22
KogaT.YoshinagaN.BabaS. (2016). Effects of devised dietary constituents on mastication count, meal duration, and awareness regarding mastication behavior [in Japanese]. Nagasaki Int. Univ. Rev.16, 159–168. Available online at: http://id.nii.ac.jp/1171/00000940/
23
KonnoH.TokunagaH.MukawaN.HineK. (2017). Influence of video-mediated co-eating communication between elderly parents and their independent child on meal satisfaction and quality of life [in Japanese]. IEICE Tech. Rep.117, 265–270. Available online at: http://id.ndl.go.jp/bib/10434820
24
LibermanZ.WoodwardA. L.SullivanK. R.KinzlerK. D. (2016). Early emerging system for reasoning about the social nature of food. Proc. Nat. Acad. Sci.113, 9480–9485. 10.1073/pnas.1605456113
25
LumengJ. C.HillmanK. H. (2007). Eating in larger groups increases food consumption. Arch. Dis. Childhood92, 384–387. 10.1136/adc.2006.103259
26
MichiwakiY.KinumatsuY.YokoyamaM.SumiY.TakahoriT.MichiK. (2001). Influence of sizes and textures of foods on mandibular movement during mastication [in Japanese]. J. Japanese Stomatol. Soc.50, 70–75. 10.11277/stomatology1952.50.70
27
MillerL.RozinP.FiskeA. P. (1998). Food sharing and feeding another person suggest intimacy; two studies of american college students. Eur. J. Soc. Psychol.28, 423–436. 10.1002/(SICI)1099-0992(199805/06)28:3<423::AID-EJSP874>3.0.CO;2-V
28
Ministry of Agriculture Forestry Fisheries.. (2021). About the New Coronavirus Infection and Eating Habits [in Japanese]. Available online at: https://www.maff.go.jp/j/syokuiku/ishiki/r03/3-9.html (Accessed November 16, 2021).
29
MukawaN.MinezoeM.TokunagaH.TeraiH.YuasaM.TateyamaK. (2009). Analysis of three-party table talk through gazes, eating-motions and turn-taking behaviors: comparison between platter-for-share-style and individual-plate-style [in Japanese]. IEICE Tech Rep.109, 17–22.
30
NagaokaC.KomoriM.YoshikawaS. (2005). “Synchrony tendency: interactional synchrony and congruence of nonverbal behavior in social interaction,” in Proceedings of the 2005 International Conference on Active Media Technology.New York: IEEE. p. 529–534.
31
NakataR.KawaiN. (2017). The “Social” facilitation of eating without the presence of others: self-reflection on eating makes food taste better and people eat more. Physiol. Behav.179, 23–29. 10.1016/j.physbeh.2017.05.022
32
NiewiadomskiR.CeccaldiE.HuismanG.VolpeG.ManciniM. (2019). Computational Commensality: from theories to computational models for social food preparation and consumption in HCI. Front. Robot. AI.6, 119. 10.3389/frobt.2019.00119
33
NoguchiY.InoueT. (2016). Automatic synchronization between local and remote video persons in dining improves conversation. J. Univers. Comput. Sci. 22, 1418–1435. 10.3217/jucs-022-10-1418
34
nonpi Inc. (2021). Company Info. Available online at: https://www.nonpi.com/about/company (accessed December 22, 2021).
35
ObataK.NakamuraY.ChenL.AugeriJ. (2020). “Asynchronous co-eating through video message exchange: support for making video messages,” in International Conference on Human-Computer Interaction. Cham: Springer. p. 338–348. 10.1007/978-3-030-49913-6_29
36
PilgrimA.RobinsonS.SayerA. A.RobertsH. (2015). An overview of appetite decline in older people. Nurs. Older People.27, 29–35. 10.7748/nop.27.5.29.e697
37
PolivyJ.. (2017). What's that you're eating? Social comparison and eating behavior. J. Eating Diso.5, 1–5. 10.1186/s40337-017-0148-0
38
Recruit Co Ltd. (2020). Investigation into the Actual Situation and Future Intentions of Participating in Online Drinking Parties and Dinner Parties [in Japanese]. Available online at: https://www.recruit.co.jp/newsroom/recruit-lifestyle/uploads/2020/08/RecruitLifestyle_ggs_20200824.pdf (accessed November 16, 2021).
39
ReidsmaD.NijholtA.TschacherW.RamseyerF. (2010). “Measuring Multimodal Synchrony for Human-Computer Interaction,” in 2010 International Conference on Cyberworlds. New York: IEEE. p. 67–71. 10.1109/CW.2010.21
40
SalvyS. J.HowardM.ReadM.MeleE. (2009). The presence of friends increases food intake in youth. Am. J. Clin. Nutr.90, 282–287. 10.3945/ajcn.2009.27658
41
SalvyS. J.JarrinD.PaluchR.IrfanN.PlinerP. (2007). Effects of social influence on eating in couples, friends and strangers. Appetite49, 92–99. 10.1016/j.appet.2006.12.004
42
ScanderH.Lennernäs WiklundM.YngveA. (2021). Assessing time of eating in commensality research. Int. J. Environ. Res. Public Health18, 2941. 10.3390/ijerph18062941
43
SekiguchiH.MachidaY.OmataS. (1996). Evaluation of the hardness of foods measured by the new tactile sensor for detecting hardness [in Japanese]. Japanese J. Pediatr. Dent.34, 99–109.
44
SharpsM.HiggsS.BlissettJ.NouwenA.ChechlaczM.AllenH. A.et al. (2015). Examining evidence for behavioural mimicry of parental eating by adolescent females. an observational study. Appetite89, 56–61. 10.1016/j.appet.2015.01.015
45
ShiozawaK.OhnukiY.MototaniY.UmekiD.ItoA.SaekiY.et al. (2016). Effects of food diameter on bite size per mouthful and chewing behavior. J. Physiol. Sci.66, 93–98. 10.1007/s12576-015-0411-6
46
SpenceC.MaurizioM.HuismanG. (2019). Digital commensality: eating and drinking in the company of technology. Front. Psychol.10, 2252. 10.3389/fpsyg.2019.02252
47
TolmanC. W.. (1968). The Role of the Companion in Social Facilitation of Animal Behavior. Social Facilitation and Imitative Behavior. Boston: Allyn and Bacon. p. 33–54.
48
WoolleyK.FishbachA. (2017). A recipe for friendship: similar food consumption promotes trust and cooperation. J. Consumer Psychol.27, 1–10. 10.1016/j.jcps.2016.06.003
49
WoolleyK.FishbachA. (2019). Shared plates, shared minds: consuming from a shared plate promotes cooperation. Psychol. Sci.30, 541–552. 10.1177/0956797619830633
50
WuK.LiuC.CalvoR. A. (2020). Automatic nonverbal mimicry detection and analysis in medical video consultations. Int. J. Human–Comput. Interac.36, 1379–1392. 10.1080/10447318.2020.1752474
Summary
Keywords
meal similarity, synchronization, online commensality, remote dining, co-eating communication
Citation
Wang J-Y, Kubota S and Inoue T (2022) Effects of Meal Similarity on Interpersonal Synchronization in Three-Party Remote Dining. Front. Comput. Sci. 4:838229. doi: 10.3389/fcomp.2022.838229
Received
17 December 2021
Accepted
30 May 2022
Published
22 June 2022
Volume
4 - 2022
Edited by
Janet van den Boer, University of Twente, Netherlands
Reviewed by
Eleonora Ceccaldi, University of Genoa, Italy; Monica Mars, Wageningen University and Research, Netherlands
Updates
Copyright
© 2022 Wang, Kubota and Inoue.
This is an open-access article distributed under the terms of the Creative Commons Attribution License (CC BY). The use, distribution or reproduction in other forums is permitted, provided the original author(s) and the copyright owner(s) are credited and that the original publication in this journal is cited, in accordance with accepted academic practice. No use, distribution or reproduction is permitted which does not comply with these terms.
*Correspondence: Tomoo Inoue inoue@slis.tsukuba.ac.jp; orcid.org/0000-0003-3600-214X
This article was submitted to Human-Media Interaction, a section of the journal Frontiers in Computer Science
Disclaimer
All claims expressed in this article are solely those of the authors and do not necessarily represent those of their affiliated organizations, or those of the publisher, the editors and the reviewers. Any product that may be evaluated in this article or claim that may be made by its manufacturer is not guaranteed or endorsed by the publisher.







