Abstract
Soil freezing characteristic curve (SFCC) defines the relationship between unfrozen water content and subzero temperature. The SFCC is widely applied to estimate the soil properties. The current study explored the effects of initial water content, dry density, soil type and desalination on the SFCC during a freezing-thawing process. It showed that the initial water content, soil type and desalination had great impacts on SFCC, while the dry density had an insignificant effect on SFCC. Hysteresis behavior was observed for all the soil samples. The hysteresis behavior was obvious in the temperature range of -5°C < T < 0, but not obvious in the temperature range of T ≤ -10 °C. A new equation containing freezing/thawing point was proposed to model the SFCC. The new model and four SFCC models were evaluated with measured data in this study. It showed that the new model performed best among these models. The new model accurately mimics the SFCC and is continuous near the freezing/thawing point and 0 °C. It can be easily incorporated into numerical algorithms for coupled heat and mass transfer in cold regions.
1 Introduction
In freezing soils, a small amount of liquid water exists because of the capillarity and surface energy of soil particles (You et al., 2017; Li et al., 2020). The relationship between unfrozen water content and subzero temperature can be termed as soil freezing characteristic curve (SFCC). The SFCC is one of the vital hydromechanical properties of freezing soils and can be applied to estimate hydraulic conductivity (Ming et al., 2022), resilient modulus (Ren and Vanapalli, 2018), and thermal conductivity (Bi et al., 2019; Bi et al., 2020).
Experimental measurement and calculation method can be applied to determine unfrozen water content (Wen et al., 2012). The experimental measurement techniques include pulsed nuclear magnetic resonance method (Watanabe and Wake, 2009), time/frequency domain reflectometry method (Patterson and Smith, 1985; Xiao et al., 2018), calorimetry method (Kozlowski and Nartowska, 2013), and dilatometry method (Konrad, 1994). Experimental efforts have shown that the SFCC is affected by dry density, water content, confining stress, and salinity (Zhang et al., 2018; Mu et al., 2019; Liu et al., 2020; Xiao et al., 2020). Most researches have investigated the freezing branch of SFCC, but few researches studied the thawing branch of SFCC and hysteresis behavior.
Some unfrozen water content models were developed by the combination of soil water characteristic curve (SWCC) model and Clapeyron equation. For example, Bittelli et al. (2003) developed a SFCC model by using the van Genuchten SWCC model and neglecting the overburden pressure. Nishimura et al. (2009) substituted a Clausius-Clapeyron equation into the van Genuchten SWCC model, and obtained a SFCC model without considering the effect of ice pressure. Ren et al. (2017) revealed the similarity between SWCC and SFCC, and reviewed three SFCC models (Brooks and Corey SFCC model, van Genuchten SFCC model, and Fredlund and Xing SFCC model). These SFCC models have good performance in modeling the relationship between unfrozen water content and subzero temperature. However, these models didn’t consider freezing/thawing point. Therefore, the current study develops a new SFCC model containing freezing/thawing point during a freezing-thawing process.
The study aims to 1) analyze the effect of different properties on the SFCC and hysteresis behavior during a freezing-thawing process, 2) propose a new model containing freezing/thawing point to describe the SFCC, and 3) evaluate the new SFCC model and some published SFCC models using the measured data.
2 Materials and methods
2.1 Experimental apparatus
In this study, a freezing-thawing cabinet with a controlled temperature from -30°C to +20°C was used to measure SFCC (Figure 1). Each sample was equipped with a moisture sensor and a temperature sensor. The moisture sensor has an accuracy of ±3%, while the temperature sensor has an accuracy of ±0.05°C. All the sensors were put in the middle of the soil sample and connected to a CR6 data logger, with measurements recorded at 30-s intervals.
FIGURE 1

Experimental apparatus for freezing-thawing test.
2.2 Experimental method
The loess was collected from Lanzhou, Gansu Province, as shown in Figure 2. Its liquid and plastic limits are 25.92% and 16.75%, respectively. Table 1 shows properties of six soil samples. S01, S02 and S03 were prepared for investigating the effect of initial water content. S02 and S04 can be used to investigate the effect of dry density. S01 and S05 can be applied to study the effect of soil types. S01 and S06 can be used to investigate the effect of desalination.
FIGURE 2

Sampling area.
TABLE 1
| NO. | Initial water content (%) | Dry density (g/cm3) | Loess content (%) | Sand content (%) | Loess |
|---|---|---|---|---|---|
| S01 | 11 | 1.65 | 100 | 0 | loess |
| S02 | 14 | 1.65 | 100 | 0 | loess |
| S03 | 17 | 1.65 | 100 | 0 | loess |
| S04 | 14 | 1.55 | 100 | 0 | loess |
| S05 | 11 | 1.65 | 70 | 30 | loess |
| S06 | 11 | 1.65 | 100 | 0 | desalted loess |
Properties of six soil samples.
For desalted loess, distilled deionized water was used to eliminate salts. Thereafter, the desalted loess, loess and sand were oven-dried at a temperature of 105°C for more than 24 h. The oven-dried loess was filtered by 2-mm sieve to remove the impurity. The mass of the over-dried loess, over-dried sand and distilled deionized water for one sample can be calculated using equations in Appendix A.
For loess samples, the required mass of distilled deionized water and oven-dried loess were evenly mixed to reach the desired water content. To obtain a uniform moisture distribution, the mixture was kept in a sealed plastic bag for 24 h. For loess-sand mixed samples, in order to obtain uniform moisture distribution, they followed the same procedure.
The diameter and height of soil sample were 100 mm and 120 mm, respectively. To achieve a desired dry density, the sample was tamped in 12 layers. A moisture sensor and a temperature sensor were put in the middle of soil sample, as shown in Figure 1. To avoid water evaporation, the plastic bags were applied to cover the top surface of the sample. After that, the soil specimens were kept at 0.5 °C for 24 h to achieve hydro-thermal balance. The experiment was conducted in accordance with the changes of controlled temperatures, as listed in Table 2. At each controlled temperature, the soil specimens were kept for 12 h to reach hydro-thermal balance.
TABLE 2
| Freezing method | Thawing method | Controlled temperatures/°C |
|---|---|---|
| Step freezing | Step thawing | 0.5, 0, -0.5, -1.0, -1.5, -2.0, -2.5, -3.0, -3.5, -4.0, -4.5, -5.0, -7.0, -10.0, -15.0, -20.5, -15.0, -10.0, -7.0, -5.0, -4.5, -4.0, -3.5, -3.0, -2.5, -2.0, -1.5, -1.0, -0.5, 0, 0.5 |
Freezing/thawing method and controlled temperatures.
2.3 Models
2.3.1 VG SFCC model
Previous studies have shown that the SFCC model can be derived by combining Clapeyron equation and SWCC model, which can mimic the relationship between unfrozen water content and subzero temperature during a freezing-thawing process (Zhang et al., 2016; Zhang et al., 2018; Wen et al., 2020), as shown in Eq. 1. The procedure for obtaining Eq. 1 was in Appendix B.where θ refers to volumetric water content, θr refers to residual volumetric water content, θs refers to saturated volumetric water content, L refers to latent heat of fusion of water, ρw refers to density of water, α, m, n are parameters of the van Genuchten model, m=1-1/n, and m=1-2/n.
2.3.2 Generalized VG SFCC model
Wen et al. (2020) indicated that θ at 0 °C determined by Eq. 1 was equal to θs, which was not suitable for the unsaturated soil samples. Hence, θs was replaced by initial volumetric water content, and a generalized VG SFCC (GVG SFCC) model was obtained.where θ0 refers to initial volumetric water content.
2.3.3 A new SFCC model containing freezing/thawing point
Freezing/thawing point represents the boundary between unfrozen and frozen states (Wang et al., 2018). The SFCC remains unchanged when temperature is larger than freezing/thawing point (Wang et al., 2017; Zhang et al., 2018; Li et al., 2020). Previous studies seldom considered the freezing/thawing point in the model, which may lead to a biased unfrozen water content at freezing/thawing point and 0°C. Therefore, a new equation containing the freezing/thawing point was developed, as shown in Eq. 3.where Tf/t is the freezing/thawing point, and m=1-1/n.
3 Results and discussion
3.1 Effect of soil properties on the SFCC
3.1.1 Effect of initial water content
Figure 3 shows the results of three soil samples with three initial gravimetric water contents (11% for S01, 14% for S02, 17% for S03) and same dry density (1.65 g/cm3). The freezing points (Tf) for S01, S02 and S03 were -3.12°C, -2.25°C and -2.17°C, respectively, while the thawing points (Tt) for S01, S02 and S03 were -2.07°C, -1.69°C and -1.37°C, respectively. It can be concluded that increasing initial water content leads to the increase of Tf (Tt). It can be explained by the Gibbs-Thomson equation and bundle of cylindrical capillary model (Zhou et al., 2015). A larger initial water content leads to a larger cylindrical capillary. Based on the Gibbs-Thomson equation, a larger cylindrical capillary indicates a larger freezing point.
FIGURE 3

Effect of initial water content on the SFCC.
The SFCC during a freezing-thawing process can be categorized into three stages (Zhang et al., 2018). In the freezing process, SFCC seldom changes in the temperature range of Tf to 0°C (Stage 1). Once the temperature drops below Tf, the SFCC sharply decreases and a large quantity of ice forms (Stage 2). At a certain subzero temperature, further decreasing temperature does not significantly reduce the unfrozen water (Stage 3). The similar trend can be also observed in the thawing process. At a subzero temperature, the unfrozen water content in freezing branch of SFCC was larger than that in the thawing branch of SFCC, owing to the freezing-thawing hysteresis effect (Tian et al., 2014). The hysteresis effect was obvious in the higher temperature range (-5°C to 0). When the temperature was below -10°C, the thawing branch of SFCC was almost the same as the freezing branch, indicating that the hysteresis behavior was not obvious in this temperature range. The same results have been reported by Li et al. (2020).
3.1.2 Effect of dry density
Figure 4 shows the SFCC of two soil samples with two dry densities (1.65 g/cm3 for S02 and 1.55 g/cm3 for S04) and same gravimetric water content (14%). Tf values for S02 and S04 were -2.25°C and -2.05°C, respectively, while Tt values for S02 and S04 were -1.69°C and -1.38°C, respectively. A small increase in the Tf and Tt was observed between S02 and S04. It can be attributed to the small decrease in dry density (i.e., 6.45% decrease in dry density between S02 and S04). With the decrease of dry density, the amount of large pores decreases significantly and the amount of small pores seldom changes. The large pore change affects the Tf and Tt. The changing trend and slope of two SFCCs with different dry densities were similar. Both soil samples exhibited hysteresis behavior. Compared to the lower temperature range (<-10°C), the hysteresis behavior was more obvious in the higher temperature range (-5°C < T < 0). The SFCC at the lowest measured subzero temperature was different. Volumetric unfrozen water at the lowest measured subzero temperature gradually increased with the increase of dry density.
FIGURE 4

Effect of dry density on the SFCC.
3.1.3 Effect of soil type
Figure 5 shows the SFCC of two different soils. S01 was loess sample, while S05 was loess-sand mixture. Tf values for S01 and S05 were -3.12°C and -0.98°C, respectively, while Tt values for S01 and S05 were -2.07°C and -0.10°C, respectively. It indicated that soil type had a great influence on Tf and Tt. For S05, the SFCC started to decrease at -0.98°C. In contrast, the SFCC of S01 was relatively flat and seldom changed in the temperature range of -3.12°C–0°C. In stage 2, the SFCC sharply decreased with the decrease of subzero temperature. The slope of SFCC was steep for S05, while the slope of SFCC for S01 was gentle. This indicated that the unfrozen water in S05 dropped at a faster rate than that in S01. The unfrozen water content at the lowest measured subzero temperature of S05 is smaller than that of S01. These may be because S01 can store more unfrozen water by larger adsorptive forces owing to its larger specific surface area and higher fine content (Ren and Vanapalli, 2018). The loess-sand mixture also exhibited hysteresis behavior, but it was obvious in a narrower temperature range compared to S01.
FIGURE 5

Effect of soil type on the SFCC.
3.1.4 Effect of desalination
Figure 6 investigates the effect of desalination on the SFCC. S01 was loess sample, while S06 was desalted loess sample. The two soil samples had same initial gravimetric water content (11%) and dry density (1.65 g/cm3). Tf values for S01 and S05 were -3.12°C and -0.71°C, respectively, while Tt values for S01 and S05 were -2.07°C and -0.02°C, respectively. Desalination greatly affected the SFCC. For the desalted loess sample (S06), the SFCC significantly decreased at -0.71 °C. However, the SFCC of loess sample (S01) seldom changed in the temperature range of -3.12°C–0°C. The significant differences of SFCC between S01 and S06 may be due to the larger amount of fine and salt contents of S01 compared to S06. Xu et al. (2016) investigated the grain size distributions of a soil and a desalted soil, and indicated that the quantity of solid particles smaller than 0.075 mm in the desalted soil was lower than that in the natural soils. For S06, the salt and fine contents may be lost during the desalting process, resulting in a weakened ability to retain unfrozen water by adsorptive forces (Xu et al., 2016; Xu et al., 2017).
FIGURE 6

Effect of desalination on the SFCC.
3.2 General features of the new model
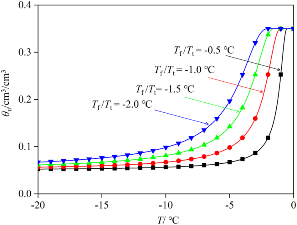
Figure 7 shows the effect of parameter Tf/Tt on the SFCC when n=2.3, θr=0.05, θ0=0.35, and Tf/Tt decreases from -0.5°C to -2.0°C. When the temperature is larger than Tf/Tt, the SFCC remains unchanged during the freezing/thawing process. When the temperature is lower than Tf/Tt, the SFCC with a larger value of Tf/Tt declines at a faster rate than that with a lower value of Tf/Tt, and the shape and slope of SFCC change with temperature.
FIGURE 7

Effect of the parameter Tf/Tt on the new model.
Figure 8 indicates the effect of parameter n on the SFCC when Tf/Tt=-1.5°C, θr=0.05, θ0=0.35, and n increases from 1.5 to 4.5. The parameter n significantly affects the slope of the SFCC during the freezing/thawing process. The SFCC with a smaller value of n resembles the letter “S” with a gentler slope, while the SFCC with a larger value of n resembles the letter “S” with a steeper slope. Parameter n also reflects the ability to retain unfrozen water. For a larger value of n, unfrozen water significantly reduces with the decrease of temperature.
FIGURE 8

Effect of the parameter n on the new model.
3.3 Model valuation and comparisons
The current experimental data were applied to evaluated the performance of the proposed model and four other models (GVG SFCC model with m=1-1/n, GVG SFCC model with m=1-2/n, VG SFCC model with m=1-1/n, and VG SFCC model with m=1-2/n). Figure 9 indicated that the new model performed best among the five models for all the six soil samples. The new model accurately captured the variation of SFCC during a freezing-thawing process. In the temperature range of Tf/Tt to 0°C, the SFCC calculated by the new model remained unchanged with the decrease of temperature and matched well with the experimental results. Further decreasing temperature led to a continuously decrease of SFCC with temperature. The GVG SFCC model with m=1-1/n and GVG SFCC model with m=1-2/n had similar trends, but the GVG SFCC model with m=1-2/n performed better than the GVG SFCC model with m=1-1/n, especially in the temperature range of -10 to -2 °C.
FIGURE 9

(Continued).
Figure 9 showed that the SFCCs determined by the VG SFCC model with m=1-1/n and VG SFCC model with m=1-2/n usually had computational oddity in the temperature range of Tf to 0°C. For example, the two models significantly overestimated the unfrozen water content near 0°C. It can be attributed to the fact that the calculated volumetric unfrozen water content determined by the VG SFCC model with m=1-1/n and VG SFCC model with m=1-2/n at 0°C was equal to saturated volumetric unfrozen water content, and the measured value was the initial volumetric unfrozen water content. The significant difference between measured and calculated results at 0°C led to the biased SFCC determined by the two models. In the lower temperature range, the two models overestimated the SFCC.
Figure 10 shows the comparison of the calculated and measured SFCC with 1:1 line for the five models. Similar to the above analysis, the new model performed best among the five models. The GVG SFCC model with m=1-1/n and GVG SFCC model with m=1-2/n also performed very well, and all the data points clustered around 1:1 line. For the VG SFCC model with m=1-1/n and VG SFCC model with m=1-2/n, the two models performed well when the volumetric unfrozen water content was lower than 0.2 cm3/cm3, and obtained unsatisfactory results when the volumetric unfrozen water content was larger than 0.2 cm3/cm3. It can be attributed to the fact that the saturated volumetric unfrozen water content was included in the two models.
FIGURE 10

Comparison of measured and estimated SFCC.
The performance of the models was evaluated with root mean squared error (RMSE) and average deviations (AD). Table 3 shows that the new model has the lowest value of RMSE in different branches (freezing branch, thawing branch and both branches), suggesting that the new model performed best among the five models, followed by the GVG SFCC model with m=1-2/n, GVG SFCC model with m=1-1/n, VG SFCC model with m=1-1/n, and VG SFCC model with m=1-2/n. Compared to the freezing branch, the SFCC model performed better in the thawing branch. From Table 4, the positive AD values revealed that the new model, VG SFCC model with m=1-1/n, and VG SFCC model with m=1-2/n usually overestimated the SFCC, and the negative AD values indicated that the GVG SFCC model with m=1-2/n usually underestimated the SFCC. The GVG SFCC model with m=1-1/n underestimated the SFCC in the freezing branch and overestimated the SFCC in the thawing branch. Based on the above analysis, it can be concluded that the new SFCC model accurately mimicked the variations of SFCC during a freezing-thawing process.
TABLE 3
| Branch | New model | GVG SFCC model | VG SFCC model | ||
|---|---|---|---|---|---|
| m=1-1/n | m=1-1/n | m=1-2/n | m=1-1/n | m=1-2/n | |
| Freezing branch | 0.0067 | 0.0111 | 0.0074 | 0.0518 | 0.0520 |
| Thawing branch | 0.0029 | 0.0085 | 0.0034 | 0.0504 | 0.0508 |
| Both branches | 0.0052 | 0.0099 | 0.0058 | 0.0511 | 0.0514 |
RMSE for different SFCC models.
TABLE 4
| Branch | New model | GVG SFCC model | VG SFCC model | ||
|---|---|---|---|---|---|
| m=1-1/n | m=1-1/n | m=1-2/n | m=1-1/n | m=1-2/n | |
| Freezing branch | 0.0001 | -0.0011 | -0.0006 | 0.0147 | 0.0132 |
| Thawing branch | 0.0004 | 0.0005 | -0.0001 | 0.0140 | 0.0143 |
| Both branches | 0.0002 | -0.0003 | -0.0003 | 0.0144 | 0.0137 |
AD for different SFCC models.
3.4 Strengths and limitations of the proposed model
Previous researches have indicated that unfrozen water content remained unchanged in the temperature range of Tf/Tt to 0 °C (Zhang et al., 2018; Kong et al., 2020). Two different temperatures (Tf/Tt and 0 °C) were applied to study the boundary conditions of different models. Table 5 summarized the unfrozen water contents at two temperatures. It showed that the unfrozen water contents at Tf/Tt varied significantly. The unfrozen water content determined by the new model was equal to θ0, which satisfied the theoretical analysis (Zhang et al., 2018; Kong et al., 2020). However, for the other four SFCC models, the unfrozen water contents at Tf/Tt were smaller than θ0 and varied significantly. When T=0 °C, the calculated results should be θ0. However, the results determined by VG SFCC model with m=1-1/n and VG SFCC model with m=1-2/n were θs, which disagreed with the theoretical analysis (Zhang et al., 2018; Kong et al., 2020). The new model satisfied the theoretical analysis at Tf/Tt and 0°C. Therefore, we can conclude that the new model is best among the five SFCC models.
TABLE 5
| Models | T=Tf/Tt | T=0 °C |
|---|---|---|
| New model (m=1-1/n) | θ 0 | θ 0 |
| GVG SFCC model (m=1-1/n) | θ 0 | |
| GVG SFCC model (m=1-2/n) | θ 0 | |
| VG SFCC model (m=1-1/n) | θ s | |
| VG SFCC model (m=1-2/n) | θ s |
Boundary conditions for different SFCC models.
The proposed SFCC model contains an independent variable (subzero temperature), which is simple and easy to use. The lowest value of RMSE indicates that the new model has good fitting performance. However, the new model cannot be used to estimate SFCC using some easy-to-obtain soil parameters. Further studies should attempt to develop a relationship between the parameter n and soil parameters (e.g. initial water content, dry density, liquid limit, plastic limit, plasticity index, specific surface area), which will benefit for the numerical modelling in cold regions.
4 Conclusion
This study investigated the effects of initial water content, dry density, soil type, and desalination on the SFCC during a freezing-thawing process. A new equation of SFCC containing a freezing/thawing point was proposed. The current experimental results were applied to evaluate the performance of the new models and four other models. The following conclusions can be drawn:
(1) The initial water content, soil type and desalination have a large effect on the SFCC, while the dry density has an insignificant effect on the SFCC.
(2) Hysteresis behavior can be observed from the SFCCs of freezing branch and thawing branch. Hysteresis behavior is obvious in the higher temperature range (-5°C < T < 0), but not in the lower temperature range (T ≤ -10°C).
(3) The new model accurately calculated the SFCC during a freezing-thawing process, especially in the higher temperature range. In addition, it has simple formula and is continuous near freezing/thawing point and 0°C, which can be easily incorporating into the numerical algorithms for coupled heat and mass transfer in cold regions.
Statements
Data availability statement
The raw data supporting the conclusion of this article will be made available by the authors, without undue reservation.
Author contributions
JB: Conceptualization, Methodology, Writing—Original draft, ZW: Conceptualization, Supervision, Funding acquisition, Writing—Review and Editing, YL: Investigation, Writing—Review and Editing, HW: Writing—Review and Editing, YZ: Investigation, Writing—Review and Editing, YS: Investigation, Writing—Review and Editing, TW: Investigation, GW: Investigation, Software.
Funding
This study was financially supported by the National Natural Science Foundation of China (Grant No. 42102306), the Second Tibetan Plateau Scientific Expedition and Research (STEP) Program (Grant No. 2019QZKK0905), the National Earthquake Science Joint Foundation of China (Grant No. U1939209), the program of the State Key Laboratory of Road Engineering Safety and Health in Cold and High-Altitude Regions (Grant No. YGY2020KYPT-07), the Open Fund of State Key Laboratory of Frozen Soil Engineering (Grant No. SKLFSE202108, SKLFSE202009), and the Project of the State Key Laboratory of Frozen Soil Engineering (Grant No. SKLFSE-ZQ-57).
Conflict of interest
YZ was employed by the CCCC First Harbor Consultants Co., Ltd.
The remaining authors declare that the research was conducted in the absence of any commercial or financial relationships that could be construed as a potential conflict of interest.
Publisher’s note
All claims expressed in this article are solely those of the authors and do not necessarily represent those of their affiliated organizations, or those of the publisher, the editors and the reviewers. Any product that may be evaluated in this article, or claim that may be made by its manufacturer, is not guaranteed or endorsed by the publisher.
Appendix A
The mass of the over-dried loess, over-dried sand and distilled deionized water for one sample can be determined by Eqs. (A.1)-(A.3).
where mloess is the mass of over-dried loess in one specimen; msand is the mass of over-dried sand in one specimen; mwater is the mass of water in one specimen; V is the volume of one specimen; Cloess is the loess content of one specimen, %; Csand is the sand content of one specimen, %; Cloess+Csand =100%; wd is the desired water content of one specimen, %; wo is the initial water content of over-dried soil sample, %, wo=0.
Appendix B
By substituting the Clapeyron equation (Eq. (B.1)) into VG SWCC model (Eq. (B.2)), the VG SFCC model (Eq. 1) can be obtained (Ren et al., 2017; Wen et al., 2020; Zhang et al., 2016).
where ψcryo refers to cryogenic suction, and Se refers to effective saturation.
References
1
Bi J. Chen W. Zhang J. Zhang Y. Fan W. Jia B. (2019). A modified calculation model for the saturation-dependent thermal conductivity of fine-textured soils. Results Phys15, 102673. 10.1016/j.rinp.2019.102673
2
Bi J. Zhang M. Lai Y. Pei W. Lu J. You Z. et al (2020). A generalized model for calculating the thermal conductivity of freezing soils based on soil components and frost heave. Int. J. Heat Mass Transf.150, 119166. 10.1016/j.ijheatmasstransfer.2019.119166
3
Bittelli M. Flury M. Campbell G. S. (2003). A thermodielectric analyzer to measure the freezing and moisture characteristic of porous media. Water Resour. Res.39. 10.1029/2001WR000930
4
Kong L. Wang Y. Sun W. Qi J. (2020). Influence of plasticity on unfrozen water content of frozen soils as determined by nuclear magnetic resonance. Cold Regions Sci. Technol.172, 102993. 10.1016/j.coldregions.2020.102993
5
Konrad J. M. (1994). Sixteenth Canadian geotechnical colloquium: Frost heave in soils: Concepts and engineering. Can. Geotech. J.31, 223–245. 10.1139/t94-028
6
Kozlowski T. Nartowska E. (2013). Unfrozen water content in representative bentonites of different origin subjected to cyclic freezing and thawing. Vadose Zone J.12, vzj2012.0057. 10.2136/vzj2012.0057
7
Li Z. Chen J. Sugimoto M. (2020) Pulsed NMR measurements of unfrozen water content in partially frozen soil. J. Cold Reg. Eng.34:04020013. 10.1061/(ASCE)CR.1943-5495.0000220
8
Liu J. Yang P. Yang Z. (2020). Electrical properties of frozen saline clay and their relationship with unfrozen water content. Cold Regions Sci. Technol.178, 103127. 10.1016/j.coldregions.2020.103127
9
Ming F. Pei W. Zhang M. Chen L. (2022). A hydraulic conductivity model of frozen soils with the consideration of water films. Eur. J. Soil Sci.73, e13210. 10.1111/ejss.13210
10
Mu Q. Y. Zhou C. Ng C. W. W. Zhou G. G. D. (2019). Stress effects on soil freezing characteristic curve: Equipment development and experimental results. Vadose zone J.18, 1–10. 10.2136/vzj2018.11.0199
11
Nishimura S. Gens A. Olivella S. Jardine R. J. (2009). THM-Coupled finite element analysis of frozen soil: Formulation and application. Géotechnique59, 159–171. 10.1680/geot.2009.59.3.159
12
Patterson D. E. Smith M. W. (1985). Unfrozen water content in saline soils: Results using time-domain reflectometry. Can. Geotech. J.22, 95–101. 10.1139/t85-009
13
Ren J. Vanapalli S. K. Han Z. (2017). Soil freezing process and different expressions for the soil-freezing characteristic curve. Sci. Cold Arid Regions9, 221–228. 10.3724/SP.J.1226.2017.00221
14
Ren J. Vanapalli S. K. (2018). Prediction of resilient modulus of frozen unbound road materials using soil-freezing characteristic curve. Can. Geotech. J.55, 1200–1207. 10.1139/cgj-2017-0153
15
Tian H. Wei C. Wei H. Zhou J. (2014). Freezing and thawing characteristics of frozen soils: Bound water content and hysteresis phenomenon. Cold Regions Sci. Technol.103, 74–81. 10.1016/j.coldregions.2014.03.007
16
Wang C. Lai Y. Yu F. Li S. (2018). Estimating the freezing-thawing hysteresis of chloride saline soils based on the phase transition theory. Appl. Therm. Eng.135, 22–33. 10.1016/j.applthermaleng.2018.02.039
17
Wang C. Lai Y. Zhang M. (2017). Estimating soil freezing characteristic curve based on pore-size distribution. Appl. Therm. Eng.124, 1049–1060. 10.1016/j.applthermaleng.2017.06.006
18
Watanabe K. Wake T. (2009). Measurement of unfrozen water content and relative permittivity of frozen unsaturated soil using NMR and TDR. Cold Regions Sci. Technol.59, 34–41. 10.1016/j.coldregions.2009.05.011
19
Wen H. Bi J. Guo D. (2020). Evaluation of the calculated unfrozen water contents determined by different measured subzero temperature ranges. Cold Regions Sci. Technol.170, 102927. 10.1016/j.coldregions.2019.102927
20
Wen Z. Ma W. Feng W. Deng Y. Wang D. Fan Z. et al (2012). Experimental study on unfrozen water content and soil matric potential of Qinghai-Tibetan silty clay. Environ. Earth Sci.66, 1467–1476. 10.1007/s12665-011-1386-0
21
Xiao Z. Lai Y. Zhang J. (2020). A thermodynamic model for calculating the unfrozen water content of frozen soil. Cold Regions Sci. Technol.172, 103011. 10.1016/j.coldregions.2020.103011
22
Xiao Z. Lai Y. Zhang M. (2018). Study on the freezing temperature of saline soil. Acta Geotech.13, 195–205. 10.1007/s11440-017-0537-1
23
Xu X. Wang Y. Bai R. Fan C. Hua S. (2016). Comparative studies on mechanical behavior of frozen natural saline silty sand and frozen desalted silty sand. Cold Regions Sci. Technol.132, 81–88. 10.1016/j.coldregions.2016.09.015
24
Xu X. Wang Y. Yin Z. Zhang H. (2017). Effect of temperature and strain rate on mechanical characteristics and constitutive model of frozen Helin loess. Cold Regions Sci. Technol.136, 44–51. 10.1016/j.coldregions.2017.01.010
25
You Z. Lai Y. Zhang M. Liu E. (2017). Quantitative analysis for the effect of microstructure on the mechanical strength of frozen silty clay with different contents of sodium sulfate. Environ. Earth Sci.76, 143. 10.1007/s12665-017-6454-7
26
Zhang M. Zhang X. Lu J. Pei W. Wang C. (2018). Analysis of volumetric unfrozen water contents in freezing soils. Exp. Heat. Transf.32, 426–438. 10.1080/08916152.2018.1535528
27
Zhang S. Teng J. He Z. Sheng D. (2016). Importance of vapor flow in unsaturated freezing soil: A numerical study. Cold Regions Sci. Technol.126, 1–9. 10.1016/j.coldregions.2016.02.011
28
Zhou J. Tan L. Wei C. Wei H. (2015). Experimental research on freezing temperature and super-cooling temperature of soil. Rock Soil Mech.36 (3), 777–785. 10.16285/j.rsm.2015.03.023
Summary
Keywords
unfrozen water content, soil freezing characteristic curve, freezing-thawing process, hysteresis behavior, freezing point
Citation
Bi J, Wu Z, Lu Y, Wen H, Zhang Y, Shen Y, Wei T and Wang G (2023) Study on soil freezing characteristic curve during a freezing-thawing process. Front. Earth Sci. 10:1007342. doi: 10.3389/feart.2022.1007342
Received
30 July 2022
Accepted
21 October 2022
Published
11 January 2023
Volume
10 - 2022
Edited by
Danqing Song, Tsinghua University, China
Reviewed by
Zhuo Chen, Sichuan Agricultural University, China
Lulu Liu, China University of Mining and Technology, China
Mengxin Liu, Northeast Forestry University, China
Updates
Copyright
© 2023 Bi, Wu, Lu, Wen, Zhang, Shen, Wei and Wang.
This is an open-access article distributed under the terms of the Creative Commons Attribution License (CC BY). The use, distribution or reproduction in other forums is permitted, provided the original author(s) and the copyright owner(s) are credited and that the original publication in this journal is cited, in accordance with accepted academic practice. No use, distribution or reproduction is permitted which does not comply with these terms.
*Correspondence: Zhijian Wu, zhijian@njtech.edu.cn
This article was submitted to Geohazards and Georisks, a section of the journal Frontiers in Earth Science
Disclaimer
All claims expressed in this article are solely those of the authors and do not necessarily represent those of their affiliated organizations, or those of the publisher, the editors and the reviewers. Any product that may be evaluated in this article or claim that may be made by its manufacturer is not guaranteed or endorsed by the publisher.