Abstract
Introduction:
Inclusive education and participatory research (PR) are both premised upon engaging with local unique needs, social justice, and empowerment. PR is limited through the lack of empirical exploration into the research approach itself, particularly its use in inclusive education. This paper explores findings from the co-construction process within a PR research project, which co-constructed a programme of inclusion for children with ADHD-type behaviours in kindergartens in countries in eastern/central Europe with local stakeholders.
Methods:
This paper will draw on findings from methods used at particular phases of the project, including two researcher constructed questionnaires: a pre-post teacher training questionnaire and an open-ended qualitative survey of participants on the process of empowerment within co-creation. The qualitative data was subject to Thematic Analysis and the Wilcoxon Signed Ranks tests was used to analyse the results from the pre-post teacher training questionnaire.
Results:
Findings support the use of participatory practices within inclusive education, especially teacher training, and the need for culturally and contextually relevant responses to including children with ADHD-type behaviours in early childhood education. Findings also emphasise particular experiences within and external to, but as a result of, the co-creation process, which were empowering, including collaborative dialogue, positioning within ones community, and finally the role of insider experts, and the emotional experience of being identified as an expert. Partners need to embrace this expert role, but they may be uncomfortable with or reject it.
1 Introduction
There is currently no internationally agreed definition of inclusive education (Dyssegaard and Larsen, 2013). Indeed, there is considerable confusion about what inclusion actually means at all levels (Ainscow, 2005). One individual’s or community’s definition may be different from another; one person’s inclusion, can be another’s exclusion. This lack of clarity about inclusion, in policy and practice, creates significant challenges for cross-cultural research.
Despite confusion, there is widespread recognition that the concept of inclusive education is underpinned by the right for children with special educational needs (SEN) to meaningfully participate in mainstream education alongside their peers. It is not only about their presence within education, it is also about the participation and achievement of all students (Ainscow, 2005); and a celebration and valuing of the diversity brought by each child, while promoting a sense of empowerment, belonging, and equality of opportunity for all children (UNICEF and UNESCO, 2024).
This inherent focus on empowerment and equality of opportunity leads to the onus for change being placed on those within each child’s environment and socio-cultural context. Actively being inclusive requires an understanding of inclusive education not as an endpoint, but rather as a process, in which stakeholders must collaborate to understand each child’s needs and provide individualised opportunities to participate and to belong (Carr-Fanning, 2023). In a practical sense, this requires a ‘reinvention’ of learning experiences based on the unique needs, strengths, and differences of the individual child (Carr-Fanning and Curran, 2023). However, the ability to be authentically inclusive is frequently impeded by neo-liberal, capitalist systems, where foreign education structures and practices that are deemed to be successful are imported, applied without cultural adaptation, and evaluated using quantitatively metrics, potentially leading to the creation of highly rigid, culturally inappropriate and inflexible systems (Ball, 2003; Waitoller, 2020).
Drawing on findings from a multi-stakeholder project, we observed significant tensions for educators in enacting authentic inclusive education. These tensions were particularly obvious due to the international nature of the project and the distinctly different cultures involved. The reality for many education systems, in the developing and the developed world, is that neo-liberalism has led to rigid inflexible educational structures and practices. These practices, often imported from elsewhere without careful consideration for the local context, can impede the need for flexible local, culturally-sensitive and contextually-relevant, responses. In this regard, Attention Deficit Hyperactivity Disorder (ADHD) represents a good case example, because cultural norms and contexts pose particular challenges for children with ADHD-type behaviours. This study was about ADHD, however, at times, we will use the broader term SEN when considering the wider implications of the findings for inclusive practice.
ADHD is a neurodevelopmental condition reported to affect between 5% (Polanczyk et al., 2007) and 7% (Lynch et al., 2022) of children. Although the median age of diagnosis of ADHD is estimated to be between 7 and 9 years of age (Kessler et al., 2007), ADHD characteristics appear far earlier in life, and are often apparent from the time that the child joins an early childhood education (ECE) setting (Pfiffner and DuPaul, 2014). This is supported by findings from McGoey et al.’s (2002) systematic review which concluded that inattention is one of the most common problems reported in early childhood education settings.
ADHD is characterised by hyperactivity-impulsivity and/or inattention (American Psychiatric Association, 2013). ADHD in ECE is less well researched than other educational stages, such as primary or post-primary (DuPaul and Stoner, 2014). Around the turn of the century, there was evidence to support that in ECE inattention is one of the biggest problems and children with hyperactive–impulsive behaviours are already at-risk of exclusion. Exclusion from ECE denies children the opportunity to develop socio-emotional and preacademic skill afforded their peers, such that they are at risk of starting formal school at an educational disadvantage (McGoey et al., 2002). ADHD was historically viewed in society as a problem of behaviour. More recently, however, ADHD research evidence has allowed for a more nuanced understanding of the characteristics of ADHD, with recognition of the diversity of presentation across children [including differences in emotional regulation, inattention, and executive functioning (Barkley, 2014)]. This improved understanding is increasingly leading to the implementation of neuro-affirmative practices (Swain and French, 2000) within educational settings, which require individualised and differentiated responses, which may include, but must also go beyond, behaviour modification. Here, again, ADHD represents a good case example within inclusive practice. The SEN associated with social, emotional, and/or mental health difficulties can be reduced to behaviour problems needing behavioural management, and so children experience ‘disadvantage, suspension or exclusion’ (Armstrong, 2018).
Although progress has been made in terms of availability of evidence-based parent and educator training programmes for supporting young children with ADHD in the early years (e.g., Murray et al., 2018), these are often solely behaviourally-based, focus primarily on conduct problems, focus on single contexts (home or school), and/or have been developed and validated for use in Western contexts. Cultural psychology has demonstrated the significant variations in beliefs about children, education, and behaviour across and within counties (see Bruner, 1996; Kagitcibasi, 2004, 2017), with these beliefs directly and indirectly underpinning meaningful or authentic educational inclusion (e.g., Carr-Fanning, 2023). Moreover, the influence of culture on individuals is bi-directional: culture informs the person and, in turn, the person creates the culture (Rogoff, 2003). Cultural responses to ADHD provide a good example of this. Research suggests that ADHD-type behaviours and their inclusion are socio-culturally situated (e.g., see Bergey et al., 2018). For example, the SEN and supports associated with ADHD are understood differently across countries. In the UK, ADHD is viewed as a disorder of anger and aggression, whereas, it is understood as a disorder of attention and learning in the USA; which Singh (2011) attributes to British cultural values around emotional repression. Indeed, behaviours which are considered acceptable within one cultural setting, may be deemed deviant in another (Davison and Ford, 2001), and the positionality, values, and priorities of different stakeholders [those directly affected by the issue / phenomena or their advocates (Jagosh et al., 2012)] (e.g., parent, teacher, child) can engender different beliefs about ADHD and the appropriate response (Carr-Fanning, 2023). All of these factors may converge to create significant barriers for inclusive education for young children with ADHD-type behaviours.
Participatory Research (PR) emphasises the importance of directly engaging with and for local priorities and perspectives (Cornwall and Jewkes, 1995). PR is an umbrella term for various designs, methods, and frameworks (Cargo and Mercer, 2008) that aim to co-design research projects, co-construct knowledge, or co-create interventions through partnerships between researchers and stakeholders or ‘insiders’ who are viewed as experts in their experiences of a phenomenon or an issue (Jagosh et al., 2012). Insiders’ perspectives tend to be experiential, and culturally and contextually bound (Cockburn, 2007; Beresford, 2005). Central to PR is the importance of doing research ‘with’ stakeholders, as opposed to ‘to’ or ‘about’ them as research ‘subjects’ (Vaughn and Jacquez, 2020). A common problem with research that does not take a PR approach is that the researchers (frequently situated in positions of power through being deemed as experts) who speak ‘about’ or ‘for’ others do so as outsiders (Swain and French, 2000). There is a very real risk that when outsiders have power to impact on the needs and wishes of local communities, they may do so without knowledge that reflects insiders’ experiences and views (e.g., Cefai and Cooper, 2010).
One of the primary goals of PR is empowerment (Juujärvi and Lund, 2016). Empowerment is a complex construct, with many proposed definitions. Broadly speaking, in education, it is understood as a relational concept; concerned with the giving or redistribution of power, authority, resources, and decision-making, and at a psychological level it is linked to self-efficacy, self-determination, and motivation (Hagquist and Starrin, 1997; Tengland, 2008). Inherent to empowerment, therefore, is the requirement for agency and agentic action.
Beginning with the classic work on empowerment by Freire (1990), collective learning and knowledge co-creation are viewed as empowering. However, the process of empowerment within PR has received little attention. PR is often suggested to be empowering without consideration for why that is or how it comes about. To the point, that often co-creation / PR is presented as a tidy empowering package, which does not recognize the messiness, complexities, and challenges therein. Juujärvi and Lund (2016) are one of the few to explore this area, and emphasised the importance of reflective dialogue within the process. In this vein, PR is perhaps particularly applicable to educational inclusion, given that inclusion is a complex process negotiated between different stakeholders, which involves the ‘reinvention’ of the learning experience based on the unique needs of the child. At its core, inclusion is socio-culturally situated, it is about removing barriers to participation and promoting the agency and competencies of individuals (Carr-Fanning and Curran, 2023). Indeed, empowerment is a goal of both PR and inclusive research.
As ecologically embedded research, PR combines academic knowledge (e.g., theory, methodology) with non-academic knowledge and experience, making research more relevant to real-world contexts and findings more transferable (Vaughn and Jacquez, 2020). In education, there are proposed benefits for stakeholders, such as citizenship, consumerism, engagement, and empowerment, as well as benefits to education, improving structures and practices (e.g., Beresford, 2005; Cook-Sather, 2006; Swain and French, 2000). The breadth of disciplines adopting PR approaches in their research may be a growing testament to its benefits, however, although many of the benefits of PR are proposed and presumed theoretically, there ironically remains a dearth of research evidence underpinning the approach itself.
This paper explores findings from the co-construction process that took place within a participatory research project that aimed to develop an early childhood inclusion curriculum to support children with ADHD-type behaviours in early childhood education settings in Hungary, Romania, and Slovakia. Although this project stemmed initially from perceived expertise of UK university academics, and a largely Western ADHD research and evidence-base, a PR approach was adopted to inform a programme for the inclusion of children with ADHD-type behaviours in the real-world contexts in question.
Although Hungary, Romania, and Slovakia were all once part of the Austro-Hungarian empire, each of these countries has its own unique cultural, socio-politically, and historical context, which impact upon the values, structures, and practices of the local educational systems. For example, although all three countries have significant numbers of minoritised groups, Hungarian minority groups (with retained culture and language) are common in Romania and Slovakia, while clearly not viewed as a minority group within Hungary itself. Furthermore, while documentation is not easy, there are an estimated 10 million Roma living in Central/Eastern Europe (Silver, 2010), with evident presence within the communities involved within the project. In addition to the distinct cultural considerations relevant to the three different real-world contexts in question, the project also included multiple stakeholder groups (parents/carers, educators, advocates, and researchers) from these diverse cultural contexts, each with its own positionality.
With a focus on enhancing inclusive education, this project co-constructed an early inclusion programme ‘with’ parents/carers and educators, to be used by educators to support children and parents/carers in the pursuit of inclusive education for children with ADHD-type behaviours in ECE in Hungary, Romania, and Slovakia. This paper offers a critical consideration of the need for, benefits of, and process of empowerment within a co-constructed, participatory research project. Specifically, this paper aims to provide:
-
greater understanding of factors informing an authentic process of co-creation as a means of understanding and supporting partners (insiders) to develop meaningful inclusive responses for young children with SEN in ECE, using ADHD as a case example;
-
an understanding of how active participation in the co-creation of inclusive responses may influence teachers’ perspectives on the SEN associated with behaviour and teachers’ perceived knowledge and confidence in inclusive practice; and
-
insight into how co-creation within a participatory research process may lead to empowerment for insider partners.
2 Materials and methods
2.1 Methodology and positionality
Through co-construction with insider stakeholders across multiple countries and contexts, this research project aimed to develop a programme of inclusion to support young children with ADHD-type behaviours in early childhood education in Hungary, Romania, and Slovakia. A constructivist methodological stance was adopted, recognising that all stakeholders and project group members were required to be actively involved in constructing systems of meaning which ultimately produced the results and outcomes of the project from the curriculum, through the trainings, to the evaluation of the programme (Lock and Strong, 2010).
From a researcher perspective, PR emphasises the importance of directly engaging with and for local priorities and perspectives (Cornwall and Jewkes, 1995). The issue within this project, and arguably all PR, is that the way in which researchers view and interpret social worlds is impacted by our positionality or ‘…. where, when, and how we are socially located and in what society’ (Jacobson and Mustafa, 2019, pg. 1). It requires us to analyse and consider the ways in which the research (and the co-construction process) was conducted, and the role of power, privilege, and visibility in the research process.
The project was funded to be led in partnership by academics from a UK and a Hungarian university. These academic partners brought professional expertise in psychology, education (Hungary and England), and paediatric occupational therapy (England). Insider stakeholders included educators from kindergartens or ADHD advocates in the countries where the programme was to be implemented (Hungary, Slovakia, and Romania).
At the project’s inception, the academic professionals were identified as the ADHD ‘experts’, bestowing on them an apparent position of power, which was frequently hard to shift during the co-construction process. This was further complicated by the fact that the presumed experts were socially located in different societies, and from different social and professional contexts. This is an example of neoliberalism, where educational structures and practices are imported from elsewhere (Waitoller, 2020).
In the early stages of the project, the position reverted to by local stakeholders partners was frequently one of consumers. Although the funding arrangements for the project placed much of the onus of responsibility for the project outputs on the academic partners, the PR approach adopted meant that through the project stages, the academic partners had to regularly work towards shifting the consumer position of insider project partners. This did eventually shift, with stakeholders embracing their role as experts.
2.2 Overview of phases
Funding was awarded for a project with the specific aim of developing and evaluating an early childhood inclusion curriculum to support children with ADHD-type behaviours in early childhood education in Hungary, Romania and Slovakia, with the following outputs: two digital manuals (teacher and parents), along with a teacher training program. This Erasmus+ funded project included 7 organisations (from the UK, Hungary, Romania and Slovakia). Stakeholders were recruited using a snowballing approach and Ethical approval for the research project, which included the collection of data on the co-construction process, was granted by Coventry University and Elte University.
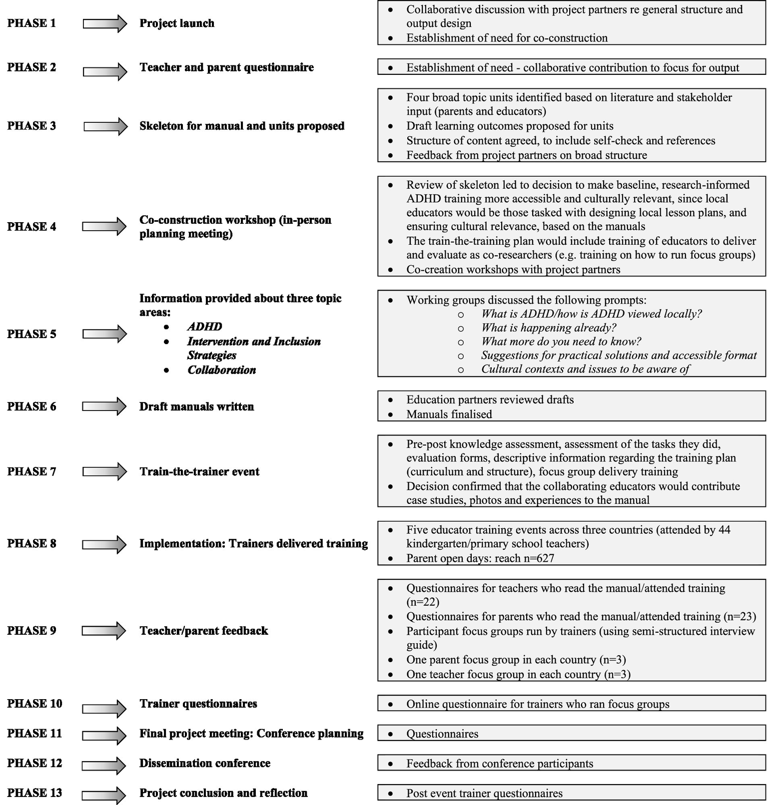
The project took place over 24 months, and followed multiple phases, during which time a large amount of data were collected from various participant groups, and for a variety of reasons. To contextualise this report, an overview of all phases of the project from the launch to concluding meetings is presented in Figure 1.
Figure 1

Overview of all project phases (from launch to conclusion).
Within this wider context, this paper reports specifically on the process of co-construction with project partners and, as such, discusses only phases wherein project partners were involved as co-creators. This section will provide a breakdown of the relevant details from specific phases within the co-construction processes, namely 2, 4, 7, 8, and 13. The details provided are those required to interpret the results reported. For ease of understanding, will we present the procedures, participants, instruments, and data analysis separately within the relevant phases.
2.2.1 Co-constructing the skeleton (Phases 2 and 3)
Phase 2 of the project (Figure 1), which was intended to formalise the detailed structure and design of the project outputs, all project partners worked together to collaboratively establish areas of need and the initial focus required for the teacher and parent manuals. An initial survey was conducted to gain an understanding of what parents/carers and teachers thought needed to be included. A sample of convenience was adopted to access teachers and parents/carers, using teachers and parents/carers within the stakeholders (i.e., school community and ADHD advocates) participating in the project. This included those participating in the project, and within the schools, it included their wider community (e.g., parents/carers and teachers). This led to a proposed researcher-developed skeleton outline of the parent and teacher manuals as a foundation for the subsequent phases of the project (Phase 3). The skeleton and some example sections were circulated to partners who were asked for feedback. Although insider partners provided feedback and a list of requests, no contributions were made to the content. As such, the decision was made to create space for co-construction at the next in-person meeting.
2.2.2 Co-construction workshop (Phase 4)
2.2.2.1 Procedure
In Phase 4 of the project (Figure 1), after the skeleton outline for the parent and teacher manuals had been expanded upon in line with stakeholder feedback and requests, an in-person planning meeting took place with all project partners. Content was delivered with simultaneous translation, with English and Hungarian as the primary languages. By this point in the project, the initial skeleton of the parent/teacher manuals (number of units, topic focus of units and learning outcomes) had been agreed by the project collaborators using an iterative process through emails and shared electronic files. During the in-person meeting, a workshop took place with the intention of collaborative content development of the four agreed units of the parent/teacher manuals. Working groups were divided into geographical areas (Hungary, Romania, Slovakia) to explore cultural differences and identify unconscious biases (e.g., attitudes towards Roma communities, behavioural norms, stigma), and one academic/university partner. Each group explored a particular unit before moving to the next, followed by whole group discussions, preliminary findings of this include priorities and content.
2.2.2.2 Participants
Participants at the in-person planning meeting were individuals from the stakeholder organisations who were participating in the project. They volunteered to represent their organisation, and many had been part of the decision to participate in the project. The project partners joined the project through a variety of methods, which can be understood as a sample of convenience (within existing networks) and also snowballing within that network. Organisations looked for volunteers within their own community who then participated within the project.
The in-person planning meeting was attended by participants from 7 organisations [1 education publishing company (Hungary), 2 universities (UK and Hungary), 1 non-governmental organisation (Hungary) and 3 kindergartens (Hungary, Slovenia and Romania)]. Participants at this meeting (n = 14) included education publishing company team members (n = 2), university lecturers/academics (n = 4), non-governmental organisation volunteers (n = 2) and two nursery educators from each of the three countries (n = 6).
2.2.2.3 Instruments
In the working groups, participants were asked to discuss the following prompt questions:
-
If you received a manual, structured in line with what this skeleton is suggesting, what content would you want us to ensure is included?
-
How can we ensure that the content that is included is appropriate for the local early childhood education context? What factors do we need to be aware of?
2.2.2.4 Data analysis
An inductive approach to Thematic Analysis (Braun and Clarke, 2006) was adopted to explore data from the co-construction workshops. Initial themes were identified by academics during the working groups, these were then unpacked, expanded upon, and confirmed with the wider group, before being consolidated by the research team. These priorities and content informed the subsequent development of the manuals / curriculum and the teacher training.
2.2.3 Train-the-trainer event (Phase 7)
2.2.3.1 Procedure
In Phase 7 of the project (Figure 1), a 5-day in-person train-the-trainer event took place in the UK. Within the funded project plan, this event was designed to further develop the perceived competencies of kindergarten teacher partners in relation to dissemination of the parent/teacher manuals through a bespoke training plan. The content of this train-the-trainer event was developed to complement educator knowledge in relation to the units of the parent and teacher manuals, in order to support effective dissemination of the content during the local training events. As the launch of the manual programme in the three locales (Hungary, Romania, and Slovakia) was to be delivered by local educator partners, the train-the-trainer event was designed to support local educators to achieve the following objectives:
-
Critically reflect on professional values, with a particular focus on cultural sensitivity (e.g., bias and stigma)
-
Identify and explain what ADHD is and its effects on children
-
Identify and apply evidence-based strategies to support the needs of children with ADHD-like behaviours
-
Design and create inclusive learning environments for children with ADHD-like behaviours
-
Develop knowledge and skills to work collaboratively with other stakeholders
-
Design and deliver training of the program to other stakeholders (teachers and parents/carers)
-
To create space for partners to contribute to the ongoing co-construction of the programme / curriculum prior to local implementation / dissemination
Throughout all training sessions, opportunities were provided for partners to feed back on the manual development and make contributions to proposed content. These suggestions and group discussions were recorded using flipcharts. At the end of the training, one of the kindergarten teacher partners volunteered to develop a booklet (filled with lesson plans and activities with directions and classroom pictures collected from the group) to accompany the teachers manual.
On the final day of the training, participants were divided into groups and tasked with planning and delivering a 45 min kindergarten teaching session, covering a defined section of the teacher manual. These teacher-delivered sessions were presented on the final day in Hungarian, with simultaneous translation to English. The observer partners ‘assessed’ and provided feedback to other teachers on the different components of the training that participant working groups had focused on.
2.2.3.2 Participants
As with the in-person planning meeting, a sample of convenience was utilized, and participants were individuals from the stakeholder organisations within the research project.
The 5-day in-person train-the-trainer event (see Figure 1) was attended by n = 2 UK project partners, and n = 12 international participants. This included n = 3 kindergarten teachers each from Hungary, Romania and Slovakia, n = 2 project partner representations from the ADHD Hungary Organisation and n = 1 publishing company partner.
2.2.3.3 Instruments
To evaluate the impact of the training event from the perspective of the participants, pre- and post-event questionnaires were used. In these questionnaires, 12 statements related to participant knowledge and confidence were rated on a 10-point Likert scale of agreement (0 = no agreement/10 = complete agreement). Additionally, participants were asked to respond to four open-text questions:
-
In your own words, please describe what comes to mind when you think of ADHD and how it affects young children
-
What do you think are the best interventions for teachers and parents of young children with challenging and ADHD-like behaviours?
-
What do you think are the best strategies for including young children with challenging and ADHD-like behaviours in the kindergarten classroom?
-
Which other stakeholders do you usually work with when you have a child in your classroom with challenging and ADHD-like behaviours?.
2.2.3.4 Data analysis
To interpret the numeric data from the training evaluation gathered, as well as the pre-post confidence/knowledge questionnaires, descriptive statistics were used. Average scores were calculated at baseline and after the training, with mean differences compared using Wilcoxon (paired) signed-rank test; effect sizes were calculated using Rosenthal’s approach (1994) and interpreted as r = 0.1: small effect, r = 0.3: medium effect and r = 0.5: large effect (Ellis, 2010). A thematic analysis (Braun and Clarke, 2006) was used to analyse the written responses from participants (at baseline and after the 5-day training event) from the training evaluations.
2.2.4 Implementation (Phase 8)
In Phase 8 (Figure 1), the parent and teacher training manuals were distributed by all three kindergarten teachers from each of the three countries who had participated in the train-the-trainer event (n = 9). These teachers went back to their schools where they trained teachers and supported parents/carers. In Hungary, 2 local training events of 3.5 h each, were delivered to a total of n = 22 participants teachers. In Romania, 2 local training events of 3 h each, were delivered to a total of n = 14 participants teachers. In Slovakia, 1 local training event of 3 h, was delivered to a total of n = 8 participant teachers.
2.2.5 Project conclusion and reflection (Phase 13)
2.2.5.1 Procedure
In Phase 13 of the project (Figure 1), after the final project dissemination conference, all project partners were invited to complete a written questionnaire. This was gathered during an in-person meeting, where participants were asked to answer two text-based questions.
2.2.5.2 Participants
As with previous sampling procedures, a sample of convenience was used, and participants were the project partners involved in the project.
Project partners (n = 10) provided responses to the project partner questionnaire (Figure 1).
2.2.5.3 Instruments
A qualitative survey with two open-ended questions explored partners experiences of empowerment over the project. The questions posed focused on considering notions of expertise, premised on the understanding that acceptance of role as ‘expert’ or ‘having expertise’ as a basis for empowerment (within co-creation of curriculum, inclusive pedagogies, etc.):
-
Now that the project is over, how do you know that you have developed expertise in supporting colleagues and families?
-
What were the most significant moments during the project that contributed towards your professional development and your becoming a practical ADHD expert?
2.2.5.4 Data analysis
An inductive thematic analysis (Braun and Clarke, 2006) was again used to analyse the written responses from the end of project partner qualitative open-ended questionnaires. Initial transcripts were coded independently by two researchers, the themes were refined and named collaboratively.
3 Results
Findings from three phases of data collection (co-construction workshop, pre-post training questionnaire, and qualitative survey of co-researchers) are presented within this section.
3.1 Co-construction workshop
Phase 4: In Phase 4 (Figure 1), the nature of the project partner contributions reflect the co-creative nature of the manual content development. Below is a summary of the type of content that insider partners suggested needed to be included in the manuals to ensure local relevance. The development of content for the same agreed unit within the manual skeletons was informed by the views and experiences of the different partner groups from different countries. Furthermore, the points raised by collaborators were essential to the overall relevance of the outputs, while simultaneously reflecting vital insights that foreign academic project partners would not have had any knowledge or awareness of. Particular insights and contributions from these workshops led to the following specific points that guided the development and design of the parent/teacher manuals, which would not have occurred without this phase of co-creation:
-
Parents ≠ teacher view: Differing perspectives between stakeholder groups on behaviour
-
Cities ≠ villages: Different needs, structures and practices between urban and rural schools
-
Cultural environment of the three countries is not the same
-
Culture, stigma, and the Roma community: Differing views about behavioural norms, what is ADHD and what is culture, and an over representation of children from the Roma communities identified with ADHD-type behaviour
-
Diagnostic processes and services are not the same across countries
-
Very different practical realities
-
Examples in the manuals needed to take all three cultural realities into account
-
Make it real: case studies and examples are essential
-
the final sections of the manual should provide location-specific resources and contacts
3.2 Pre-post training: knowledge and confidence questionnaire
Results from the Phase 7 (Figure 1) pre- and post-event training knowledge and confidence questionnaires from all international participants (n = 12) are presented in Table 1. Wilcoxon Signed Ranks tests demonstrated significant pre-post differences in all but one of the questions asked. The only item which did not reveal a significant difference as a result of the training was that which related to the respondents’ confidence in being able to work collaboratively with other professionals when supporting children with ADHD-like behaviours.
Table 1
| Range | Mean (±SD) | Z | p | r | ||
|---|---|---|---|---|---|---|
| I feel knowledgeable about what ADHD is and how it affects young children | Pre | 3–9 | 6.42 (1.78) | −3.09 | <0.01* | 0.63† |
| Post | 8–10 | 9.58 (0.79) | ||||
| I feel confident in my ability to work inclusively with children demonstrating challenging and ADHD-like behaviours | Pre | 5–9 | 7.00 (1.65) | −2.83 | <0.01* | 0.58† |
| Post | 8–10 | 9.33 (0.65) | ||||
| I feel confident in my ability to identify and develop appropriate interventions to work with children demonstrating challenging and ADHD-like behaviours | Pre | 4–10 | 6.83 (2.12) | −2.43 | 0.02* | 0.50† |
| Post | 8–10 | 9.00 (0.85) | ||||
| I feel confident in my ability to identify and use techniques from a strengths-based approach in my work with children who demonstrate challenging and ADHD-like behaviours | Pre | 5–9 | 6.83 (1.53) | −3.10 | <0.01* | 0.63† |
| Post | 8–10 | 9.33 (0.65) | ||||
| I feel confident in my ability to work collaboratively with other professionals to support children with challenging and ADHD-like behaviours | Pre | 4–10 | 8.27 (2.20) | −1.22 | 0.22 | 0.25 |
| Post | 8–10 | 9.50 (0.67) | ||||
| I feel confident in my ability to create inclusive learning environments for children with challenging and ADHD-like behaviours | Pre | 4–10 | 6.92 (1.88) | −2.57 | 0.01* | 0.52† |
| Post | 8–10 | 9.08 (0.90) | ||||
| I feel confident in my ability to communicate with parents of children demonstrating challenging and ADHD-like behaviours | Pre | 4–10 | 7.75 (1.96) | −2.51 | 0.01* | 0.51† |
| Post | 9–10 | 9.67 (0.49) | ||||
| I feel confident in my ability to teach parents about challenging and ADHD-like behaviours | Pre | 4–10 | 7.00 (2.34) | −2.73 | <0.01* | 0.56† |
| Post | 8–10 | 9.42 (0.79) | ||||
| I feel confident in my ability to teach other teachers about challenging and ADHD-like behaviours | Pre | 3–10 | 6.42 (2.11) | −2.52 | 0.01* | 0.52† |
| Post | 7–10 | 9.00 (0.95) | ||||
| I feel confident in my ability to teach other teachers about the inclusion of children with challenging and ADHD-like behaviours (including interventions) | Pre | 3–9 | 6.18 (2.09) | −2.61 | <0.01* | 0.53† |
| Post | 8–10 | 9.00 (0.95) | ||||
| I feel confident in my ability to teach other teachers about strengths-based approach to working with young children with challenging and ADHD-like behaviours | Pre | 3–9 | 6.17 (1.80) | −2.84 | <0.01* | 0.58† |
| Post | 7–10 | 9.08 (0.99) | ||||
| I feel confident in my ability to teach other teachers about collaborative working to support children with challenging and ADHD-like behaviours | Pre | 3–10 | 6.33 (2.06) | −2.60 | <0.01* | 0.53† |
| Post | 7–10 | 9.08 (0.99) |
Pre- and post-training event knowledge and confidence questionnaires (n = 12).
*p < 0.05 deemed a significant difference.
†r > 0.5 deemed a large effect size.
Table 2 presents a summary of the basic thematic analysis of the open-text questions posed to participants at the start and at the end of the training event, together with responses from the general post-training feedback questionnaire with relevance to the process of co-creation.
Table 2
| Question | Summary of responses pre-training | Summary of responses post-training |
|---|---|---|
| In your own words, please describe what comes to mind when you think of ADHD and how it affects young children | At baseline, the words used appeared to be more heavily swayed towards negative phrasing and words placing an emphasis on the deficit of the child itself and his/her behaviour (such as challenge, difference, misunderstood, restless, disturbs other children). However, some strengths-based language was also apparent (creativity, intelligence). | After the training, the language used appeared to shift to different positive phrasing (talent, variety) and the emphasis appeared to be less on the child and more on the diagnosis and the environment/society (need to help the child adapt, different perspectives, neurobiological disorder, adapt the environment). |
| What do you think are the best interventions for teachers and parents of young children with challenging and ADHD-like behaviours? | At baseline, the main words used were broad and did not per se include actual strategies to achieve what was noted (cooperation, assistance, support, acceptance, understanding). | After the training, the language used appeared to shift and emphasised phrases implying actual strategy use (self-care, reward, practical strategies, consistency, ABC model, praise). |
| What do you think are the best strategies for including young children with challenging and ADHD-like behaviours in the kindergarten classroom? | At baseline, the words used were broad (calm environment, persistence, understanding, acceptance, rely on strengths, cooperation) but also included some specific strategies (small group size, ABC, sandwich method to communicate with parents). | After the training, the language used appeared to shift but did not per say show emphasis on phrases implying actual strategy use (teaching coping techniques, developing emotional intelligence). |
| Which other stakeholders do you usually work with when you have a child in your classroom with challenging and ADHD-like behaviours? | At baseline, the individuals listed included psychologists, educational psychologists, parents, colleagues, specialist teachers, speech therapists, parents. | After the training, the same professionals were listed but the following were added: psychiatrist, other concerned parents in the country, occupational therapists |
| Please provide feedback on your overall experience of the training event | Knowledge, expertise and experience of the trainers who were well prepared and provided useful theoretical and practical knowledge. The training experience was reported to change participants’ perceptions related to ADHD. Useful and meaningful. Enabled the effective connection of knowledge. | |
| What were the strengths of the training experience? | Preparedness of the trainers, professional knowledge and positive reinforcement for participants. Use of many examples to support and expand on the theoretical information. Interactivity of the content, and strengthening/reinforcing for participants the knowledge that they already had. | |
| What is the most important added value you take home after participating in the training? | Having more practical strategies as well as more knowledge. Having a greater awareness of the importance of a positive attitude towards children with ADHD, having a strengths-based approach, and how to ensure that they are integrated within the group. |
Summary of basic thematic analysis of participant responses to open-text questions (start and end of the training event; general post-training feedback questionnaire).
3.3 Qualitative questionnaire: empowerment through the co-construction process
Data gathered from the open-text written questionnaire in Phase 13 were analysed in relation to the two open-text questions that were posed and appeared to address the question of ‘how does co-creation lead to empowerment?’ The themes that emerged identified drivers towards empowerment occurring within the co-creation process, and those that occurred external to the co-creation process. Within these, three overarching themes, with five sub-themes were identified (Figure 2).
Figure 2

Co-creation and empowerment: thematic schema.
3.3.1 Within the co-creation process
3.3.1.1 Me and myself
‘Me and myself’ was the first theme of the two themes identified within the co-creation process. This appeared to reflect the idea that, for empowerment to occur, some form of change needs to occur for each individual within the co-creation partnership. From the perspective of the project partners who completed the end-of-project questionnaire, this is evident in the apparent shift in their recognition of themselves as having knowledge that does, in fact, exceed the level of knowledge of most other people.
This theme comprised two sub-themes, the first of which was entitled ‘I know, therefore I am [an expert]’. This sub theme refers to the idea that insider partners’ road to empowerment may in part have been down to experiences that led them to self-identify the existence of their own expertise. For example, as one educator said, ‘my personal experience of the things I did [with children with ADHD] is now not only confirmed, but consistent with the suggestions and experiences of the professionals. This way I can be more credible myself’ (E1). This shift in recognition—that every project partner had expertise and brought something vital to the table—was particularly evident in feedback from one of the participants who noted that, ‘in the beginning, it was very scary… [there was] a lot of professional experience that I [do not have]. I saw the others on a much higher level, skilled speakers and I panicked. But I felt I could support the project with my practical work, which I do wholeheartedly and with love.’ (E9). This confirmation of existing knowledge and expertise was in itself empowering, ‘I received reinforcement of the effectiveness of the methods applied so far. So far, I have used these based on intuition, after trying, now consciously applying them.’ (E5).
The second sub theme identified in relation to ‘me and myself’ was the acquisition of ‘a new pair of glasses’ which refers to the acquisition of new knowledge and expertise. As one educator partner said, ‘Training was key for me. I gained a lot of theoretical and practical knowledge’ (E3). The impact of acquiring new knowledge was described in language reflective of ‘lightbulb moments’ such as ‘that revelational moment of executive function,’ (E4) whereby increased factual knowledge about ADHD was situated in relation to pre-existing experiences, knowledge and expertise that they had perhaps not foregrounded at the outset of the project. Partners noted that ‘what I have only done instinctively so far is now being done consciously’ (E5). Development of knowledge also appeared to be linked to shifts in values, attitudes, and perspectives, particularly in relation to the way that ADHD and challenging behaviours were viewed in early childhood. One participant noted that, ‘since attending [the 5-day] training, I have felt that my mentality towards children with signs of ADHD has changed’ (E3), and ‘I have a great insight into the behaviour of children… I can better understand the background to behaviours’ (E2).
3.3.1.2 Me and my partners
Within the co-creation process, the theme of ‘me and my partners’ refers to the interpersonal processes that occurred between different people who were working together within the shared co-creation process. This appeared to have been facilitated by ‘creativity and collaboration’ reflecting the idea that collaboration between different individuals participating in the process led to levels of creativity that were greater than the sum of its parts. For example, participants reflected that, ‘thinking together was a very uplifting and decisive experience for me’ (E6).
3.3.2 External to the co-creation process
3.3.2.1 Me and others
External to the co-creation process, the theme of ‘me and others’ captures participant experiences of interpersonal interactions between the participants and identifiable others who were essential to the project, but peripheral to the co-creation process. This theme comprised two sub themes.
The first sub theme was labelled, ‘heavy is the head that wears the crown,’ as it was evident from participant responses that a heightened level of responsibility in their interactions with others had developed. For example, one participant noted that, ‘I try to persuade my colleagues to look at children with this kind of behaviour from a different viewpoint’ (E8) while another indicated that ‘people keep thinking I’m an expert and ask me questions, and I tend to know the answer’ (E9).
The second sub theme, ‘us and them’ captures the idea that through the changes that participants have undergone within the process of co-creation, they now have a role that makes them different, and thus more visible to colleagues. This visibility also relates to being positioned in a place of knowledge (and thus power and responsibility) in the eyes of other people. Being in this position of visibility and associated responsibility brings with it a new power dynamic, which is—in and of itself—empowering and has the potential to enhance confidence. For example, one participant reflected that they have ‘received a lot of positive feedback…I slowly and expertly encourage everyone to listen to their feelings, give them lots of advice, and others have begun to seek my opinion’ (E4) while another mentioned that, ‘running the parent open days were the best, because I felt there that my professional development had really peaked’ (E7).
4 Discussion
Empowerment, inclusion, and PR are also inherently about power—who has it and whether it is being shared. PR would consider expertise as central to this process of power sharing. As Burduladze et al. (2022) suggested, PR is about power dynamics within the partnership and the power imbalance in decision-making; which usually refers to the research team—how much power they are willing to share. So, PR is also about privilege and visibility—who is seen and heard. In the current study, the decision-making included what were the contents of the programme, how data was collected, and how findings were interpreted. It was evident from the outset (e.g., the wording within the funding proposal stated that English university would contribute the ADHD expertise) that the Wester academic ‘expertise’ and evidence-base was considered more valuable by the non-academic partners, often obscuring their own expertise. In many ways, this is neo-liberalism as work, where educational systems and professionals want to adopt programmes that ‘work’ elsewhere and apply them to their own context in a one-size-fits-all approach, which is often not appropriate in inclusive practice. Addressing this power imbalance and providing space for the empowerment of partners / co-creators became a core focus of the co-construction process.
A significant strength and challenge for this project was the diversity in contexts and cultures. As researchers, we had to be aware of our own positionality and the limitations of the (Western) evidence-base we were drawing up. Therefore, this project co-constructed with stakeholders (parents/carers, teachers, and ADHD advocates) a research-informed programme, which was embedded within and relevant to local cultures and educational practices.
In this project, the unique cultures were obvious in part by the different countries, however, we would argue that this applies to working with stakeholders within a country, where unique experiences, cultural/ethnicity, and positionality inform distinct perspectives.
4.1 Co-creating inclusive practice
As can be seen from the findings from the co-construction workshop, the need to work participatorily with stakeholders when including children with ADHD is important. Using ADHD as an example, without an understanding of how specific SEN presented, the difficulties faced by teachers, and the barriers to inclusion; it would have been difficult to develop a culturally sensitive and contextually embedded program of inclusion that met the needs of all stakeholders. Furthermore, as previously discussed, the meaning or definition of inclusion and inclusive practice is unclear—it can vary across individuals and cultures. Beyond the question of what inclusion is, is the question of who gets to decide what is (and is not) inclusive. Current trends advocate decolonising education as a core part of inclusive practice (e.g., Race et al., 2022); to create space for the multiplicity of voices and histories of those involved in learning communities. Inclusive educational researchers, especially those working across or with multiple ethnicities / cultures, need to support the development of inclusive education, while also being mindful of the potential risk of neo-colonialism (i.e., imposing, maintaining, or reinforcing Western or Eurocentric notions around inclusion).Findings reported here reinforce theoretical discussions about the problem of speaking ‘about’ and ‘for’ others where outsiders (often in positions of power based on their positioning as experts) decide another person or group’s needs, wishes, what’s best for them, and determines what ‘works’ in practice (Swain and French, 2000). There were significant issues with the evidence-base that needed to be removed or adapted for use in the contexts we were working across. Arguably, this is applicable to all inclusive practice as educators must work to reinvent the learning experience based on the unique needs of the background (Carr-Fanning and Curran, 2023).
Furthermore, the co-construction workshop evidenced the importance of drawing upon insiders’ experiential perspectives, as Cockburn (2007) suggested is that they are culturally and contextually bound, enabling us to develop a programme which was culturally sensitive and contextually relevant. Enabling different participation groups from different geographical regions to contribute separately to the development of resources enabled tapping into more in-depth insights and draw from a wider pool of culturally appropriate knowledge and expertise. In this project, the unique cultures were obvious in part by the different countries, however, we would argue that this applies to working with stakeholders within a country, where unique experiences, cultural/ethnicity, and positionality inform distinct perspectives. As Carr-Fanning (2023) concluded, differing perspectives among stakeholders within the process of inclusion can create a ‘confusing mess’, they represent perhaps the most significant barrier to inclusion and require meaningful dialogue and collaboration between all stakeholders.
The importance of insider expertise does not negate the need for external (academic) contributions. The beginning foundations for the programme was the evidence-base, which was adapted for use within the socio-cultural contexts and practical realities of the countries / schools. Furthermore, as discussed further below, evidence from both the pre-post training questionnaire and the final qualitative survey suggests that academic knowledge acquisition contributed to the increased knowledge and confidence, and was central to empowerment. It may also be important for academics or external individuals to be involved, because insiders may have blind spots or biases. In this study, the academic team identified the attitudinal barriers arising from stigma about the Roma community which informed the training programme. This is the essence of PR where academic bring research and methodological knowledge to what Vaughn and Jacquez (2020) describe as a ‘mutually reinforcing partnership’.
Findings from the current study also support the efficacy of using participatory practices within teacher training, where educational experiences are tailored to the needs and the realities of the participants. In this study, teacher training experiences were interactive, and as well as providing knowledge, space was created for collaboration and the development of a community of practice. The need for communities of practice within the process of inclusion have been explored by Ainscow (2005). As a result of this participatorily created training experiences, accompanied by co-designed manuals, teachers reported increased knowledge and confidence across most areas in terms of including children with ADHD and working with other teachers and parents/carers. There were also observable differences in the way in which participants described the nature, effects, and optimal means of support for and inclusion of young children with challenging and ADHD-like behaviours (e.g., shifts from medicalised deficit—to more inclusive strength-based language). In this regard, the study provides support for the use of co-creation within inclusion. Not only is inclusion about meaningful participation (UNICEF, n.d.), but inclusion requires educators to shift their perspectives from students’ deficits to the disabling effects of social and educational contexts (Carr-Fanning and Curran, 2023).
Embedded opportunities for co-creation within a structured training event, combined with transfer of responsibility relating to aspects of content development and training to end users led to significant improvement in the confidence of partners across almost all areas explored; this included enhanced confidence related to future training of others. This provides empirical support to Freire’s (1970) seminal work, true education must occur within a collaborative reflective process where knowledge is co-created. Findings from this study suggest that this collaborative dialogue should also represent both a precursor to and continue as an emergent process within the educational experience.
4.2 Exploring the process of empowerment
A significant contribution of this study was exploring empowerment as a process. Typically, research explores empowerment as an outcome of PR, but not how or why it happens (Juujärvi and Lund, 2016). If the underlying mechanisms are identified and understood, researchers and practitioners can tap into and mobilise them more readily. Findings suggest there are experiences both within and external to, but as a result of, the co-creation process which may be empowering for participants.
Within co-creation, partners report initially feeling unsure about their experience and feeling uncomfortable with it. However, through experiences within the co-creation process, significant differences [with large effect sizes (Ellis, 2010)] in knowledge and confidence were found. Participants recognised, acknowledged, and embraced their expertise which included engaging with others through collaboration (academic and non-academic partners). This builds on the work of Juujärvi and Lund’s (2016) PR project who supported Freire’s (1970) theory, and found that reflective collaboration is essential within the process of empowerment. Further to this, we can consider the findings discussed above, where this discursive process was embedded within a practice project, and so we can also emphasise the role of praxis (or the action resulting from dialogue).
Empowerment was also effected by external forces, being identified by others (external others) as the expert and empowering experience and being positioned as expert and being visible to others within the community lead to their acceptance of expertise and responsibility, which were empowering. In theory, power, privilege, and visibility refers to the responsibility academic researchers have in ensuring they manage the power dynamic within decision-making (Burduladze et al., 2022). However, as findings from the qualitative survey suggest, power, privilege and visibility may occur within other dynamics. Participating in PR may place individuals in privileged powerful positions within their communities, which leads to empowering experiences.
PR emphasises the need for researchers to manage power dynamics, and ensure partners have power and visibility, based on the belief that partners are experts-by-experience (Meriluoto, 2018). Findings from this study suggest that participants may not feel comfortable being identified as experts, and may retreat into consumer roles. However, the experiences which they have within and external to, but as a result of, the co-construction process may shift this uncomfortableness, leading to an acceptance of their expertise, which is empowering. It is hard to say exactly which factors contribute to this shift or if the sum is greater than any of its parts, which future researchers may consider in greater detail. However, what is clearer is that identifying insiders as experts is often uncritically lauded as a universally positive experience (Meriluoto, 2018) or that it is the academics or professionals who reject / ignore the expertise of insiders (Weiste et al., 2022). This study suggests that researchers should be cautious about assuming this and attempt to address any uncomfortableness insiders have early on, but also to confront it and try to ensure partners ‘lean in’ to this responsibility, as this was key to the process of empowerment as reported by participants in this study.
4.3 Limitations
Collaborative enquiry and PR is based on discussion and the co-creation of meaning. In this project, we spoke different languages, requiring translators unfamiliar with PR throughout the co-construction process. Many of the stakeholders had not contributed to the drafting of the research proposal or the project plan. While efforts were made to educate those responsible for communicating (e.g., translators) and those leading and facilitating the in-person discussions and written / electronic feedback to educate them about PR. However, given this language barrier we must be cautious about what might have been ‘lost in translation’ along the way in terms of communications and an understanding of role and process. Future researchers may want to think carefully about how they would manage from the outset, during proposal drafting. The language barriers also represent limitations in a range of ways. For example, as previously discussed the meaning of inclusion may have varied across individuals / cultures, and so we may have been assuming shared understanding that did not exist. Similarly, there could have been misunderstanding of the meaning of key terms within the project or the manuals (e.g., ADHD, early intervention, teaching practices, etc.) creating problems gathering and interpreting feedback, and more broadly within co-construction.
Findings from the current study, particularly, the pre-post training survey, are limited by the fact that participants both contributed to co-construction and participated in the training. It would be interesting to see whether there were differences in increased knowledge and confidence when participants were involved only in the training. The study suggests participation in co-construction is an important experience for empowerment, it would be interesting to explore whether and to what degree participation in the co-construction contributed to increases in knowledge and confidence, as well as empowerment. Given that participation lead to culturally sensitive and contextually relevant manuals and training, it hopefully also increases knowledge and confidence, and possibly empowerment, in those who did not participate in co-construction.
Another significant limitation of this study is that it was missing the voice of the child in the design of the manuals and training.
5 Conclusion
Findings from this study supports the use of participatory approaches within inclusive ECE, in terms of developing more inclusive culturally and contextually relevant inclusive responses, increasing teachers knowledge and confidence, and shifting perspectives from medicalised deficit-based views of students to more inclusive holistic strengths-based ones.
Findings also contribute to our understanding of the mechanisms involved in the process of empowerment within co-construction. Partners have access to empowering experiences both (a) within the co-creation process, including collaborative dialogue and action and (b) and external to, but as a result of, the co-creation process, such as being positioned as experts within their wider communities. This study found that positioning partners as experts was essential, both within and external to the co-creation process. However, findings also suggest a need for researchers to be sensitive and cautious. Being identified as an expert is not a universally positive experience, it may create uncomfortableness and some may reject the role. Researchers can support partners to process any negative emotions or uncomfortableness, and to accept their expertise, which is part of the process of empowerment.
Statements
Data availability statement
The original contributions presented in the study are included in the article/supplementary material, further inquiries can be directed to the corresponding author.
Ethics statement
The studies involving humans were approved by Coventry University and ELTE University, Hungary. The studies were conducted in accordance with the local legislation and institutional requirements. The participants provided their written informed consent to participate in this study.
Author contributions
KC-F: Writing – original draft, Writing – review & editing. TR: Writing – original draft, Writing – review & editing.
Funding
The author(s) declare that financial support was received for the research, authorship, and/or publication of this article. This project was funded by Erasmus+ and done in collaboration with kindergartens in Easter/Central Europe and ELTE University, Hungary (2017-1-HU01-KA201-036016).
Conflict of interest
The authors declare that the research was conducted in the absence of any commercial or financial relationships that could be construed as a potential conflict of interest.
Publisher’s note
All claims expressed in this article are solely those of the authors and do not necessarily represent those of their affiliated organizations, or those of the publisher, the editors and the reviewers. Any product that may be evaluated in this article, or claim that may be made by its manufacturer, is not guaranteed or endorsed by the publisher.
References
1
Ainscow M. (2005). Developing inclusive education systems: what are the levers for change?J. Educ. Chang.6, 109–124. doi: 10.1007/s10833-005-1298-4
2
American Psychiatric Association (2013). Diagnostic and statistical manual of mental disorders. 5th Edn. Author: Arlington, VA.
3
Armstrong D. (2018). Addressing the wicked problem of behaviour in schools. Int. J. Incl. Educ.22, 997–1013. doi: 10.1080/13603116.2017.1413732
4
Ball S. (2003). The teachers soul and the terrors of performativity. J. Educ. Policy18, 215–228. doi: 10.1080/0268093022000043065
5
Barkley R. A. (2014). Attention-deficit hyperactivity disorder: A handbook for diagnosis and treatment. New York, USA: Guilford Publications.
6
Beresford P. (2005). Developing the theoretical basis for service user/survivor-led research and equal involvement in research. Epidemiol. Psychiatr. Sci.14, 4–9. doi: 10.1017/S1121189X0000186X
7
Bergey M. R. Filipe A. M. Conrad P. Singh I. (2018). Global perspectives on ADHD: Social dimensions of diagnosis and treatment in sixteen countries. Maryland, USA: Johns Hopkins University Press.
8
Braun V. Clarke V. (2006). Using thematic analysis in psychology. Qual. Res. Psychol.3, 77–101.
9
Bruner J. (1996). What we have learned about early learning. Eur. Early Child. Educ. Res. J.4, 5–16. doi: 10.1080/13502939685207811
10
Burduladze N. Jones L. P. Jones B. D. Msowoya U. Salsberg J. Whitney A. et al . (2022). Moving from theory to practice: exploring power and power sharing in participatory health research partnerships: a scoping review protocol. medRxiv, p. 11.
11
Cargo M. Mercer S. L. (2008). The value and challenges of participatory research: strengthening its practice. Annu. Rev. Public Health29, 325–350. doi: 10.1146/annurev.publhealth.29.091307.083824
12
Carr-Fanning K. (2023). Meaning-making within inclusion: exploring parents, teachers and students lay theories of ADHD and their implications for inclusive practice. J. Res. Spec. Educ. Needs24, 133–144.
13
Carr-Fanning K. Curran H. (2023). “The Special and Inclusive Education Continuum: Understanding and responding to SEN,” in Psychology and educational inclusion: Identifying and supporting children with special educational needs. eds. NiolakiG.Carr-FanningK.TerzopoulosA. (Berkshire, UK: Open University Press), p. 3–19.
14
Cefai C. Cooper P. (2010). Students without voices: the unheard accounts of secondary school students with social, emotional and behaviour difficulties. Eur. J. Spec. Needs Educ.25, 183–198. doi: 10.1080/08856251003658702
15
Cockburn T. (2007). Partners in power: a radically pluralistic form of participative democracy for children and young people. Child. Soc.21, 446–457. doi: 10.1111/j.1099-0860.2006.00078.x
16
Cook-Sather A. (2006). Sound, presence, and power: “student voice” in educational research and reform. Curric. Inq.36, 359–390. doi: 10.1111/j.1467-873X.2006.00363.x
17
Cornwall A. Jewkes R. (1995). What is participatory research?Soc. Sci. Med.41, 1667–1676. doi: 10.1016/0277-9536(95)00127-S
18
Davison J. C. Ford D. Y. (2001). Perceptions of attention deficit hyperactivity disorder in one African American community. J. Negro Educ.70, 264–274. doi: 10.2307/3211279
19
DuPaul G. J. Stoner G. (2014). ADHD in the schools: Assessment and intervention strategies. New York, USA: Guilford Publications.
20
Dyssegaard C. B. Larsen M. S. (2013). Evidence on inclusion. Copenhagen: Danish Clearinghouse for Educational Research.
21
Ellis P. D. (2010). The essential guide to effect sizes: Statistical power, meta-analysis, and the interpretation of research results (Vol. 52). Cambridge University Press.
22
Freire P. (1970). Cultural action and conscientization. Harv. Educ. Rev.40, 452–477.
23
Freire P. (1990). Pedagogy of the oppressed. New York: Continuum.
24
Hagquist C. Starrin B. (1997). Health education in schools—from information to empowerment models. Health Promot. Int.12, 225–232. doi: 10.1093/heapro/12.3.225
25
Jacobson D. Mustafa N. (2019). Social identity map: a reflexivity tool for practicing explicit positionality in critical qualitative research. Int J Qual Methods18. doi: 10.1177/1609406919870075
26
Jagosh J. Macaulay A. C. Pluye P. Salsberg J. O. N. Bush P. L. Henderson J. I. M. et al . (2012). Uncovering the benefits of participatory research: implications of a realist review for health research and practice. Milbank Q.90, 311–346. doi: 10.1111/j.1468-0009.2012.00665.x
27
Juujärvi S. Lund V. (2016). Participatory action research as a practice of empowerment in deprived communities. In Association for Moral Education Conference Proceedings (Vol. 41, No. 1).
28
Kagitcibasi C. (2004). “Child development and culture” in Encyclopedia of applied psychology, vol. 1. ed. SpielbergerC. D. (Amsterdam: Elsevier), 329–338.
29
Kagitcibasi C. (2017). Doing psychology with a cultural lens: a half-century journey. Perspect. Psychol. Sci.12, 824–832. doi: 10.1177/1745691617700932
30
Kessler R. C. Angermeyer M. Anthony J. C. De Graaf R. O. N. Demyttenaere K. Gasquet I. et al . (2007). Lifetime prevalence and age-of-onset distributions of mental disorders in the World Health Organization’s world mental health survey initiative. World Psychiatry6, 168–176
31
Lock A. Strong T. (2010). Social constructionism: Sources and stirrings in theory and practice. Cambridge: Cambridge University Press.
32
Lynch S. McDonnell T. Leahy D. Gavin B. McNicholas F. (2022). Prevalence of mental health disorders in children and adolescents in the Republic of Ireland: a systematic review. Ir. J. Psychol. Med.40, 1–12. doi: 10.1017/ipm.2022.46
33
McGoey K. E. Eckert T. L. Dupaul G. J. (2002). Early intervention for preschool-age children with ADHD: a literature review. J. Emot. Behav. Disord.10, 14–28. doi: 10.1177/106342660201000103
34
Meriluoto T. (2018). Making experts-by-experience: Governmental ethnography of participatory initiatives in Finnish social welfare organisations. Dissertation. University of Jyvaskyla.
35
Murray D. W. Lawrence J. R. LaForett D. R. (2018). The incredible years® programs for ADHD in young children: a critical review of the evidence. J. Emot. Behav. Disord.26, 195–208. doi: 10.1177/1063426617717740
36
Pfiffner L. J. DuPaul G. (2014). “Treatment of ADHD in school settings” in Attention-deficit hyperactivity disorder: A handbook for diagnosis and treatment. ed. BarkleyR.. 4th ed (New York, USA: Guilford Press).
37
Polanczyk G. De Lima M. S. Horta B. L. Biederman J. Rohde L. A. (2007). The worldwide prevalence of ADHD: a systematic review and metaregression analysis. Am. J. Psychiatry164, 942–948. doi: 10.1176/ajp.2007.164.6.942
38
Race R. Ayling P. Chetty D. Hassan N. McKinney S. Boath L. et al . (2022). Decolonising curriculum in education: continuing proclamations and provocations. Lond. Rev. Educ.20. doi: 10.14324/LRE.20.1.12
39
Rogoff B. (2003). The cultural nature of human development. Oxford: Oxford University Press.
40
Silver G. , (2010). Persecution and politicization: Roma (Gypsies) of Eastern Europe. Available at: https://www.culturalsurvival.org/publications/cultural-survival-quarterly/persecution-and-politicization-roma-gypsies-eastern-europe (accessed May 12, 2024).
41
Singh I. (2011). A disorder of anger and aggression: Children’s perspectives on attention deficit/hyperactivity disorder in the UK. Soc. Sci. Med.73, 889–896. doi: 10.1016/j.socscimed.2011.03.049
42
Swain J. French S. (2000). Towards an affirmation model of disability. Disabil. Soc.15, 569–582. doi: 10.1080/09687590050058189
43
Tengland P. A. (2008). Empowerment: a conceptual discussion. Health Care Anal.16, 77–96. doi: 10.1007/s10728-007-0067-3
44
UNICEF (n.d.) Inclusive education. Available at: https://www.unicef.org/education/inclusive-education (accessed July 18, 2024).
45
UNICEF and UNESCO . (2024). Brief 1: Building Strong Foundations. What is foundational education for health and well-being? Available at: https://www.unicef.org/media/158026/file/BSF1.%20What%20is%20Foundational%20Education%20for%20Health%20and%20Well-being.pdf.pdf (accessed July 18, 2024).
46
Vaughn L. M. Jacquez F. (2020). Participatory research methods–choice points in the research process. J. Particip. Res. Methods.1. doi: 10.35844/001c.13244
47
Waitoller F. R. (2020). Excluded by choice: Urban students with disabilities in the education marketplace. New York, USA: Teachers College Press.
48
Weiste E. Stevanovic M. Uusitalo L. L. (2022). Experiential expertise in the co-development of social and health-care services: self-promotion and self-dismissal as interactional strategies. Sociol. Health Illn.44, 764–780. doi: 10.1111/1467-9566.13457
Summary
Keywords
attention deficit hyperactivity disorder, co-construction, early childhood education, empowerment, inclusion, participatory research, co-creation
Citation
Carr-Fanning K and Rihtman T (2025) Inclusive early childhood education: exploring co-creation and the process of empowerment within participatory research and practice. Front. Educ. 10:1474975. doi: 10.3389/feduc.2025.1474975
Received
02 August 2024
Accepted
15 January 2025
Published
07 February 2025
Volume
10 - 2025
Edited by
Enrique H. Riquelme, Temuco Catholic University, Chile
Reviewed by
Jose Luis Ramos Sanchez, Universidad de Extremadura, Spain
Yaara Fine, Oranim Academic College, Israel
Updates
Copyright
© 2025 Carr-Fanning and Rihtman.
This is an open-access article distributed under the terms of the Creative Commons Attribution License (CC BY). The use, distribution or reproduction in other forums is permitted, provided the original author(s) and the copyright owner(s) are credited and that the original publication in this journal is cited, in accordance with accepted academic practice. No use, distribution or reproduction is permitted which does not comply with these terms.
*Correspondence: Kate Carr-Fanning, katecarrfanning@hotmail.com
Disclaimer
All claims expressed in this article are solely those of the authors and do not necessarily represent those of their affiliated organizations, or those of the publisher, the editors and the reviewers. Any product that may be evaluated in this article or claim that may be made by its manufacturer is not guaranteed or endorsed by the publisher.