Abstract
Effective school leadership significantly impacts student learning outcomes and equitable educational opportunities. However, the increasing complexity of educational environments—marked by expanded learning spaces and diverse institutional involvement—presents new challenges. This study investigates leadership approaches within Germany’s extended education system, using all-day schooling as a case study. Data were collected from 1,355 school leaders across primary and secondary schools via a standardized online questionnaire. Structural equation modeling was employed to explore the effects of shared leadership responsibility and collaborative school development on key organizational quality indicators: designated collaboration time, breadth of extracurricular aims, and curricular-extracurricular synergy. The findings highlight that collaborative school development, rather than shared leadership responsibility, is the primary driver of organizational quality across all measured indicators. Shared leadership responsibility, while less impactful overall, contributes to the allocation of staff collaboration time, a crucial factor for teamwork and integration. These results underscore the importance of fostering collaborative practices within leadership frameworks to enhance educational quality in extended education contexts. This study provides insights into broader leadership strategies that prioritize collaboration as a cornerstone of innovation and progress in extended education.
1 Introduction
1.1 Problem of the study
Effective school leadership exerts a significant and well-documented influence on students’ learning outcomes and overall educational experiences (Hattie, 2024). By shaping school culture and promoting high-quality, equitable educational opportunities, leaders play a critical role in ensuring student success. However, the increasing diversity of educational programs, the expansion of learning environments beyond traditional classrooms, and the growing involvement of varied institutions and staff in supporting students collectively intensify the complexity of leadership. This evolving landscape raises important questions about how leadership responsibilities and organizational development strategies can effectively address and navigate such multifaceted challenges.
This study contributes to this area of inquiry by examining leadership approaches within the context of the German education system. Initiatives such as the introduction of all-day schooling and inclusive education have significantly increased the complexity of school operations in Germany (Kielblock et al., 2017), making it an ideal setting to investigate forms of leadership.
While this study focuses on Germany, its findings hold relevance for other education systems that have expanded learning opportunities beyond traditional school hours. Any model of extended education similarly requires school leaders to coordinate diverse stakeholders, align extracurricular activities with curricular goals, and foster collaboration among staff. By analysing leadership in Germany’s all-day schooling context, this study provides insights that may inform leadership strategies in other nations facing similar organizational challenges in extended education.
1.2 Context of the study
This study explores Germany as a context for investigating shared leadership responsibilities and collaborative approaches to organizational development. The German education system provides an exemplary setting for such inquiries due to its structural and policy transformations. Over the past two decades, Germany has undergone substantial school reforms. Among these is the shift from a traditional half-day school model—centred primarily on curricular instruction—to all-day schools that integrate classes, extracurricular activities, and meal provisions (Stecher and Maschke, 2013).
According to the Standing Conference of the Ministers of Education and Cultural Affairs—KMK (2023a), all-day schools are educational institutions in primary and lower secondary education in Germany that provide extended care and learning opportunities. These include full-day supervision for at least seven hours daily on a minimum of three days per week. Additionally, on days with an extended program, participating students are provided with a lunch. The organization and implementation of all-day offerings fall under the responsibility or co-responsibility of the school principal. These offerings are conceptually aligned with regular classroom instruction, ensuring an integrated educational approach. Currently, over 70% of schools in Germany are classified as all-day schools (KMK, 2023a).
The increased complexity of all-day schools demands deliberate school development strategies to ensure the seamless integration of varied learning environments and to foster effective collaboration among diverse teaching staff. These efforts are crucial for establishing high-quality educational settings and achieving positive outcomes for students. The multifaceted nature of all-day schools highlights the importance of cohesive school development practices that promote synergy across the curricular and extracurricular domains. In this way, research underscores the critical role of collaborative leadership and shared responsibility in enhancing staff cooperation and cultivating positive learning environments (Huber, 2020; Kielblock, 2023a). In the German context, the recent legal mandate for access to all-day education for primary school students (GaFöG, 2021) further accentuates the challenges of leadership and school development, especially in primary education.
This study focuses on the German context, with the all-day school as a setting where collaborative leadership is essential. It serves as a context in which complex leadership settings are highly visible and thus can be effectively analyzed. The findings of this study, however, also provide valuable insights that extend beyond Germany and are applicable to other contexts where various actors and institutions are involved in providing extended education.
1.3 Collaborative forms of leadership
Before the 2000s, it was common in school leadership research to focus primarily on the individual agency of leaders such as principals and their downward influence on staff. Spillane et al. (2001) challenged this understanding of school leadership. They argue that this perspective is insufficient, as leadership cannot be reduced to what leaders know and do in isolation. Instead, they propose a distributed framework, which views leadership as an activity shaped by the interactions between different leaders, followers, and their shared school environment. According to Spillane et al. (2001), this distributed perspective reframes leadership as a practice that is socially and situationally distributed, offering a more nuanced understanding of how instructional change is enacted in schools.
1.3.1 Definition(s) of the concept
The concept of distributed leadership has garnered significant interest subsequent to Spillane et al. (2001). Yet, it remained subject to diverse and occasionally conflicting interpretations. Harris (2008) describes distributed leadership as a lateral form of leadership, wherein influence and decision-making emerge from interactions among organizational members rather than relying solely on individual direction. However, this does not negate the importance of formal leadership structures; rather, distributed leadership involves an interplay between vertical and lateral processes.
Harris (2008) noted that definitions of distributed leadership span from normative to theoretical perspectives, with literature overlapping substantially with concepts of shared, collaborative, democratic, and participative leadership. This was underlined by Mayrowetz (2008), too, who examined the diverse usages of distributed leadership in the literature. Four primary interpretations were found: as a theoretical lens for understanding leadership activities, as a means of fostering democracy, as a strategy for enhancing efficiency and effectiveness, and as a tool for building human capacity. Mayrowetz (2008) concludes that striving for a universal definition of distributed leadership may be unwise, advocating instead for research that clearly defines the concept in relation to school improvement and leadership development, ensuring both theoretical grounding and practical relevance.
In later reviews, the diversity of definitions is still present. Tian et al. (2015) review research on distributed leadership from 2002 to 2013, noting its growing independence and scope, but highlighting the lack of a universally accepted definition as a key limitation. Harris et al. (2022) review two decades of research on distributed leadership. According to their literature analysis, early evidence (2001–2011) highlighted the positive relationship between distributed leadership, organizational improvement, and student achievement, though critiques emerged regarding its conceptual clarity. Contemporary research (2011–2021) spans broader contexts and disciplines, introduces advanced measurement tools, and continues to explore distributed leadership’s impact across variables such as trust and optimism.
Further attempts are made to systematize the field and clarify the different terms. According to De Jong et al. (2023), distributed leadership should be conceptualized as a sociocultural and contextually embedded process of social interaction. It involves multiple individuals collectively exerting influence within a given context. D’Innocenzo et al. (2014) highlight the fragmented nature of shared leadership definitions and propose an integrative definition: „Shared leadership is an emergent and dynamic team phenomenon whereby leadership roles and influence are distributed among team members” (D’Innocenzo et al., 2014, p. 1968).
These attempts illustrate the difficulty of adequately accounting for the social dynamics in the definition of distributed leadership, while also preventing the ‘lead’ component from dissolving entirely into the conception of social interactions. In this way, it gets clear that leadership responsibilities are as important as the relation of leadership practices to school development processes.
In the following sections, shared leadership responsibility and collaborative school development are treated as distinct concepts. Shared leadership responsibility refers to the extent to which the management responsibility of the extended school program is distributed among multiple individuals or groups rather than being concentrated in a single leader or role. It is characterized by the involvement of steering groups, committees, or other collaborative structures within or beyond the school, whereas non-shared leadership is defined by individual management responsibility. Collaborative school development, in contrast, captures the extent to which various stakeholder groups actively participate in school development processes. This concept reflects the number of stakeholder groups—including school leadership, teachers, school staff, external staff, parents, students, etc.—engaged in shaping the school’s development.
1.3.2 Impact of leadership on instruction and school performance
Research has put much emphasis on effects on instruction and school performance. The meta-analysis conducted by D’Innocenzo et al. (2014) revealed two key insights. First, a significant positive relationship between shared leadership and team performance was found, supporting the notion that shared leadership enhances team outcomes. However, the magnitude of this effect varied across studies. Second, the study demonstrated that the way shared leadership is theoretically conceptualized and measured plays a critical role regarding the effect sizes. For example, network-based conceptions, which focus on dyadic leadership exchanges within teams, yielded higher correlations with team performance compared to more holistic, aggregated measures of shared leadership. These findings might remind us that “distributed leadership is not a panacea; it depends on how it is shared, received and enacted” (Harris and DeFlaminis, 2016).
De Jong et al. (2023) explore how distributed leadership is embedded in sociocultural contexts across individual, team, and school levels. Their study of 14 collaborative innovation-oriented teacher teams found that stronger distributed leadership practices foster a collaborative spirit, characterized by teachers seeking advice on schoolwide improvements, engaging beyond formal roles, and principals promoting innovation as a joint endeavor. Teams with such practices demonstrated a shared commitment to improving education, highlighting the link between distributed leadership and collective educational development.
Wahlstrom and Louis (2008) investigated how leadership is experienced and enacted by teachers, focusing on the interactions between principals and teachers, as well as between teachers themselves, to understand their impact on classroom instructional practices. Using data from a survey of 4,165 teachers across K-12 schools in the United States, the study identified three distinct instructional teaching behaviors: (1) Standard Contemporary Practice, (2) Focused Instruction, and (3) Flexible Grouping Practices. The findings revealed that the presence of shared leadership and a professional community significantly influenced the strength of these teaching styles.
Hallinger and Heck (2010) investigated the effects of collaborative leadership on school improvement and student reading achievement through a longitudinal study of 192 elementary schools in the United States. Using latent change analysis, they examined how changes in leadership influenced academic capacity and reading outcomes over four years. The study revealed that collaborative leadership had significant direct effects on enhancing schools’ academic capacity and indirect effects on students’ reading achievement. Additionally, it identified varying growth trajectories among schools, reflecting diverse improvement processes. These findings underscore the role of collaborative leadership in fostering organizational improvement and student success.
1.3.3 Distributed leadership in the context of all-day schools
Today, there are increasing demands on schools to respond to social, economic, ecological, and cultural changes. Pearce (2004) argues that shared leadership is particularly effective in contexts that require a high level of creativity, as it fosters collaborative development of innovative solutions. This is particularly relevant to the current paper, which explores leadership in the context of extended education, where both creativity and the management of complex, dynamic educational environments are crucial. In this way, Huber (2020) highlights that German all-day schools (Ganztagsschulen) might represent a pivotal response to these challenges. He underscores that leadership in all-day schools should be grounded in cooperation, with the primary aim of fostering students’ educational biographies and enhancing educational quality. Cooperative leadership is characterized by shared decision-making, empowerment of staff, delegation of responsibilities, and the collective determination of goals, aligning leadership practices with the broader mission of schools as holistic, life-encompassing learning environments.
1.4 Toward effective learning environments
International research on extended education has emphasized that extracurricular, afterschool and out-of-school time activities have positive effects on students (Durlak et al., 2010; Feldman and Matjasko, 2005; Metsäpelto and Pulkkinen, 2014; Abraczinskas et al., 2016; Murray et al., 2024) and is able to reduce social inequalities (O’Donnell et al., 2022; Heath et al., 2022; Bouchard et al., 2023). A similar state of research seems to be present for Germany (Kielblock and Maaz, 2024).
1.4.1 Effectiveness research in Germany—an overview
Empirical research from Germany provides limited evidence for direct benefits of all-day schooling compared to half-day schooling. Positive effects, where identified, predominantly related to social behavior (Kanevski and Salisch, 2011; Salisch and Kanevski, 2011; Reinders et al., 2013). Some studies suggest differential benefits for specific groups (Strietholt et al., 2015). Similarly, reduced associations between socioeconomic background and mathematics performance are observed in all-day schools where attendance is compulsory for all students (Züchner and Fischer, 2014).
A longer duration of participation in all-day programs is linked to academic and behavioral improvements. Evidence indicates gains in goal orientation, grades (Fischer et al., 2009), transitions to higher education tracks (Seidlitz and Zierow, 2022), prosocial behavior, and mathematics achievement (Arnoldt, 2021). Long-term participation correlates with positive social behavior (Kuhn and Fischer, 2011b; Fischer et al., 2011b), reduced grade repetition risk (Steiner, 2011), and greater educational attainment (Arnoldt et al., 2016). It also positively affects well-being, such as school enjoyment (Fischer and Brümmer, 2012). A higher intensity of program attendance is associated with more positive grades (Kuhn and Fischer, 2011a).
Voluntary engagement in programs appears crucial; students opting into reading-focused activities exhibit improvements in reading comprehension and motivation (Fischer et al., 2016; Sauerwein and Heer, 2020). Voluntary participation also supports social behavior, psychological health, and personality traits like openness and emotional stability (Schmitz, 2022b; Schmitz, 2022a).
Program-specific participation profiles are tied to educational outcomes (Arnoldt et al., 2016; Sauerwein et al., 2016), including reading achievement (Bellin and Wegner, 2010). Structured extracurricular programs in reading and science show positive effects on subject-specific competencies, self-regulation, and motivation (Holtappels et al., 2018; Lossen et al., 2016; Schröder, 2021). Even alternative programs, such as organized ‘learning time’ instead of traditional homework support, enhance student well-being and self-perceived competence (Brisson and Theis, 2020).
The concept of “process quality” represents the views of the students, if activities are engaging, motivating and if they allow for active participation. High process quality leads to improved grades (Kuhn and Fischer, 2011a), goal orientation (Fischer et al., 2011a; Fischer et al., 2009; Fischer et al., 2016), social behavior (Fischer et al., 2011b; Sauerwein et al., 2018; Kuhn et al., 2016), self-esteem and self-efficacy (Sauerwein, 2017; Sauerwein, 2019) and well-being (Fischer et al., 2011a; Fischer and Theis, 2014). For science programs, process quality influences the domain-specific self-concept (Lossen et al., 2016).
Strong relationships between program leaders and students contribute to academic and behavioral benefits, including better grades, goal orientation, and well-being (Kuhn and Fischer, 2011a; Fischer et al., 2011b; Fischer et al., 2011a; Fischer and Theis, 2014). Mentorship programs further demonstrate positive effects on academic performance, such as English achievement (Dohrmann et al., 2021).
1.4.2 Relevant organizational factors leading to effective learning environments
The previous section demonstrated that participation in extended education programs, program/process quality, and the nature of relationships within these programs are critical for achieving positive outcomes. To ensure these elements, effective collaboration among educational staff is paramount. All-day schools bring together professionals from diverse pedagogical backgrounds, such as teachers and those with expertise in social pedagogy, special education, or even non-pedagogical fields. This diversity necessitates coherent collaboration within multi-professional and inter-institutional teams (Kielblock, 2023b, Qualitätsdialog Zum Ganztag, 2021). To achieve this, designated time for collaboration must be systematically allocated. Empirical studies underline that structured collaboration time is an indispensable prerequisite for effective teamwork (Fussangel, 2013; Meyer, 2020; Beher et al., 2007; Steiner, 2010; Tillmann and Rollett, 2014).
Establishing favorable conditions for collaboration (such as allocated collaboration time) requires robust school management with a clear emphasis on cooperative processes. All-day schools are inherently complex institutions, given their diverse organizational and governance demands. Relying on individual efforts to manage this complexity is neither sustainable nor effective. Instead, a collaborative leadership model is essential, ideally realized through a steering group (Kielblock, 2023a; Qualitätsdialog Zum Ganztag, 2021). Such a steering group should include representatives from all key stakeholder groups, whose composition may vary depending on the specific organizational configuration.
The steering group serves several critical functions. First, it facilitates the establishment of structured collaboration time for educational staff. Second, it enables the articulation and implementation of a coherent vision for the all-day programme, aligning extracurricular and curricular aims. Third, it fosters meaningful curricular-extracurricular synergy, ensuring that academic instruction and extended education programs are cohesively integrated. This approach underscores the importance of well-designed collaborative frameworks, strategic leadership, and intentional alignment of instructional and extracurricular efforts as prerequisites for maximizing the impact of extended education (see also Section 1.3).
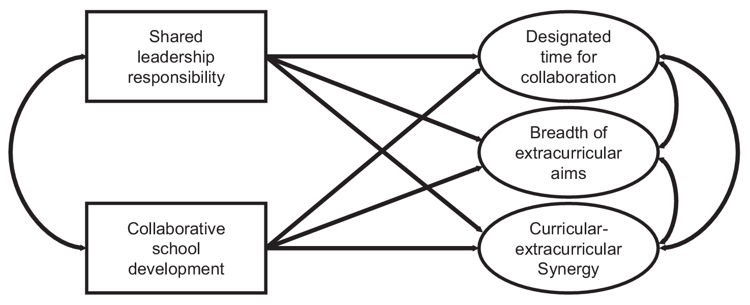
1.5 Conceptual framework and research questions
1.5.1 Conceptual model
The present study utilises the all-day school effectiveness model, which was developed by Holtappels (2009). The model assumes that contextual aspects (such as policies, infrastructure) have an impact on the quality of the school processes. These comprise the school organization, the concepts, but also the staff. School processes lead to the quality of learning processes of the students, and these result into certain outcomes. The student outcomes are also dependent on the socioeconomic background of the students. The present study is concerned with the quality of the school processes, and the model allows to understand, how this facet is embedded in other factors of schooling.
Research highlights parts of the model (as the literature review pointed out; summarized in Kielblock and Maaz, 2024). Namely: (1) High quality learning processes and positive social relationships lead to positive student outcomes. (2) High quality learning processes depend on positive and collaboration-friendly working conditions of staff and a clear and cohesive overarching concept with a focus on extended education. (3) Shared responsibilities and collaborative school development processes are necessary to providing sufficient working conditions and concepts. (4) Context and external support services are enabler for (3). This leads to the model proposed by Kielblock (2023a), which is depicted in Figure 1.
Figure 1

Model of collaborative leadership in extended education. This model was originally published in Kielblock (2023a) and is presented here in a modified version.
The grey part of the model represents the focus of the present study, which is how shared responsibilities and collaborative school development processes might help in providing sufficient working conditions and concepts.
1.5.2 Research gap and research questions
While prior research has examined the effects of shared leadership responsibility and collaborative school development on various outcomes, relatively little attention has been given to their comparative impact on organizational quality. Existing studies highlight the benefits of shared leadership responsibility in fostering team effectiveness and strengthening collaborative school cultures, while research on collaborative school development underscores its role in enhancing instructional practices and academic outcomes. However, the extent to which these two constructs contribute differentially to school improvement remains largely unexplored. This gap in the literature limits our understanding of whether they function as complementary or distinct mechanisms in shaping organizational effectiveness. Addressing this question is crucial for refining leadership models and optimizing strategies for school development in complex educational environments.
Accordingly, this study addresses the following research questions: Can (A) shared responsibility, and/or (B) collaborative school development predict the (C) working conditions of staff (facilitated by designated time for cooperation), as well as (D) enhanced conceptual integration of the learning environments (in the form of a clear school vision, and the breadth of overarching pedagogical concepts).
1.5.3 Hypotheses
As argued earlier in this study (see Section 1.4), shared leadership structures in all-day schools create the foundation for collaborative school development by engaging representatives from all key stakeholder groups in developmental processes. This collaborative approach fosters an environment in which practical challenges, such as establishing designated collaboration time for staff, can be systematically addressed. Furthermore, it enables the development of broader and more coherent extracurricular aims while promoting stronger curricular-extracurricular synergy. These improvements not only enhance working conditions for staff but also ensure that extended education programs are aligned with the school’s overall pedagogical vision, ultimately maximizing their impact on student outcomes.
As previously highlighted in the research gap, existing literature only partially addresses the specific research problem of this study. While the reviewed studies provide valuable insights into the effects of shared leadership responsibility and collaborative school development, the direct empirical foundation for their impact on working conditions and the conceptual integration of learning environments remains limited. Nevertheless, the existing body of research suggests plausible relationships that serve as a basis for formulating hypotheses.
H1: Schools with higher levels of shared leadership responsibility and collaborative school development are expected to allocate more designated time for cooperation among staff, as both foster collaborative work structures and joint decision-making (De Jong et al., 2023; Wahlstrom and Louis, 2008; Hallinger and Heck, 2010).
H2: Shared leadership responsibility and collaborative school development are expected to positively predict a clear school vision and the breadth of pedagogical concepts, as both foster collective decision-making, stakeholder engagement, and a shared sense of direction (D’Innocenzo et al., 2014; Pearce, 2004; Wahlstrom and Louis, 2008; De Jong et al., 2023).
H3: Collaborative school development is expected to be a stronger predictor of staff working conditions and pedagogical concepts than shared leadership responsibility, as it is more immediate in shaping these outcomes. Moreover, collaborative school development may moderate the relationship between shared leadership responsibility and these outcomes.
2 Methods
2.1 Sample
This study presents an analysis of data from the Study on the Development of All-Day Schools (StEG; Data doi:10.5159/IQB_StEG_Systemmonitoring_V2). The sample included three types of schools: primary/elementary schools (PRM), typically encompassing grades 1 to 4 (students aged 6–10 years). In two of Germany’s sixteen Federal States, primary schools extend to grade 6 (students aged 6–12 years). Secondary schools were classified into two categories: the Gymnasium (GYM), a selective track with explicit academic orientation, and non-gymnasium secondary schools (SEK), which comprise all other secondary school forms. Representative samples were drawn for each school type. Analyses either treated these school types as distinct samples or, in more complex models, as distinct groups (see Section 2.3 for details).
The sampling process followed an elaborate and rigorous design to ensure representativeness [see Furthmüller (2019) for further details]. The sampling frame consisted of lists of all all-day schools in each Federal State, provided by respective state governments. Schools were randomly selected from these lists.
Prior to data collection, the study instruments and procedures underwent a comprehensive review process required by all sixteen Federal States. Beginning in August 2017, school authorities and data protection offices evaluated all materials. Approval from all States was granted in February 2018, after which sampling and data collection commenced.
A three-stage recruitment process was implemented to maximize participation. Initially, schools were contacted via postal mail with access credentials for an online questionnaire. Approximately two weeks later, non-responding schools received a follow-up email. After three weeks, a second postal reminder was sent to schools that had not yet participated. If no response was received within four weeks, a backup school with similar organizational characteristics was contacted. Throughout the data collection phase, schools were supported via multiple communication channels, including a telephone hotline and email.
The target sample consisted of 1,991 schools (PRM: 735; SEK: 827; GYM: 429). The final sample included 509 primary schools (response rate: 69.3%), 574 non-gymnasium secondary schools (response rate: 69.4%), and 272 Gymnasium schools (response rate: 63.4%). These relatively high response rates were achieved through persistent follow-ups and the use of a multiple-sample design, which included backup schools to replace non-responding institutions, as described above. Consequently, the dataset provides a robust representation of all-day schools in Germany during the 2017/18 school year.
School size varied considerably within the sample, ranging from fewer than 100 to over 1,000 students. On average, primary schools had 224 students, non-gymnasium secondary schools 455 students, and Gymnasium schools 587 students. Further details regarding the sample can be found in Furthmüller (2019).
The survey also explored when the school became an ‘all-day’ school. Some schools reported transitioning to the all-day format as early as the 1960s. The adoption of all-day schooling in Germany surged following the political decision to promote this model in 2002 and the implementation of the Investment Programme for the Future of Education and Childcare (IZBB) policy. Between 2003 and 2009, the IZBB policy facilitated substantial investments in all-day school infrastructure and program development. Researchers (e.g., Klemm, 2014) argue that this period witnessed the largest expansion of all-day schools in Germany, with the rate of new adoptions slowing thereafter. This trend is corroborated by the data: between 2003 and 2009, 193 primary schools, 203 non-gymnasium secondary schools, and 125 Gymnasium schools transitioned to the all-day model. In contrast, between 2010 and 2016, the numbers dropped to 158, 191, and 96 new all-day schools, respectively.
To collect relevant institutional information, the study surveyed school leaders. Eligible respondents varied by school, hence, participants were asked to identify their roles. In most cases, the principal completed the survey (PRM: 434, 85.3%; SEK: 384, 66.9%; GYM: 152, 55.9%). Other respondents included deputy principals (PRM: 36, 7.1%; SEK: 74, 12.9%; GYM: 36, 13.2%) and designated coordinators for all-day school activities (PRM: 27, 5.3%; SEK: 84, 14.6%; GYM: 75, 27.6%). In a few cases, the respondent indicated an alternative role.
2.2 Instruments
2.2.1 Data collection method
The data were collected through a standardized questionnaire accessible via a password-protected online portal. Comprising 68 questions, the interactive design of the questionnaire facilitated a user-friendly data collection by tailoring the survey dynamically to participants’ prior responses. This adaptive approach excluded irrelevant items, enhancing both efficiency and relevance. The questionnaire addressed general school characteristics and specific aspects of all-day school operations, including institutional resources, school development practices, the roles of teachers, educational staff, and external cooperation partners, as well as the structure and provision of all-day programs. Additional questions explored diversity within schools, with a particular focus on inclusion and exclusion.
2.2.2 Measures
Shared leadership responsibility and collaborative school development are the explaining variables of interest. Collaborative working conditions are measured by the designated time for collaboration. Breadth of extracurricular aims and curricular-extracurricular synergy are both used to measure concepts. These three measures are the explained variables. Table 1 contains all descriptive information regarding the important variables. How these variables were measured is explained in the following paragraphs, and then, the structure of the explained (latent) variables is examined and confirmed.
Table 1
| PRM | SEK | GYM | ||||
|---|---|---|---|---|---|---|
| n | % | n | % | n | % | |
| Shared leadership responsibility | 107 | 23.0 | 98 | 17.9 | 52 | 20.4 |
| Collaborative school development | ||||||
| 1 group involved | 25 | 5.7 | 36 | 7.1 | 20 | 8.5 |
| 2 groups involved | 68 | 15.6 | 111 | 22.0 | 60 | 25.5 |
| 3 groups involved | 129 | 29.7 | 118 | 23.4 | 37 | 15.7 |
| 4 groups involved | 108 | 24.8 | 109 | 21.6 | 65 | 27.7 |
| 5 groups involved | 79 | 18.2 | 95 | 18.8 | 46 | 19.6 |
| 6 groups involved | 26 | 6.0 | 35 | 6.9 | 7 | 3.0 |
| Designated time for collaboration | ||||||
| Time for collaboration between teachers | 253 | 61.9 | 259 | 55.9 | 65 | 15.9 |
| Time for collaboration between other staff | 261 | 63.8 | 194 | 41.9 | 68 | 16.6 |
| Time for collaboration between teachers and staff | 214 | 52.5 | 187 | 40.3 | 64 | 15.6 |
| Breadth of extracurricular aims | ||||||
| Enhancing the learning culture | 286 | 65.6 | 340 | 67.5 | 142 | 59.4 |
| Fostering competencies and talent development | 197 | 45.2 | 282 | 55.8 | 150 | 62.8 |
| Community, social learning, and personal development | 396 | 90.6 | 445 | 87.9 | 199 | 83.3 |
| Curricular-extracurricular synergy | ||||||
| Focus areas link teaching and extracurricular activities | 138 | 32.9 | 191 | 39.5 | 72 | 31.0 |
| Learning difficulties addressed through programs | 285 | 67.7 | 417 | 86.3 | 199 | 85.8 |
| Extracurricular learning deepens topics from lessons | 135 | 32.3 | 190 | 39.6 | 80 | 34.6 |
| Teaching and other activities are poorly integrated | 237 | 56.8 | 241 | 50.0 | 144 | 62.6 |
Descriptive statistics of the relevant variables.
Dataset StEG 2017/18. For the presentation of the items related to “Breadth of Extracurricular Aims,” the categories “Largely” and “Fully” were combined. For the presentation of the items related to “Curricular-Extracurricular Synergy,” the categories “Somewhat Agree” and “Fully Agree” were merged.
2.2.2.1 Explaining variable: shared leadership responsibility
School leaders were asked, “Who mainly manages the extended school program at your school?” with eight response options. Four options indicated individual responsibility for managing the program: (1) the school principal and/or deputy principal, (2) the didactic/pedagogical manager or department head, (3) a designated teacher as coordinator, or (4) a member of the school’s pedagogical staff as coordinator. These responses were coded as [0] to indicate the absence of shared leadership responsibility. The other four options reflected shared leadership models: (5) an existing steering group at the school, (6) a specialized committee comprising teachers and pedagogical staff, (7) a coordination committee between the school and external partners, or (8) a committee involving the school and an external sponsor or organization. These responses were coded as [1], signifying shared leadership responsibility.
The data indicate that in most schools, the (deputy) principal has the primary responsibility for managing the extended school program, consistent with German policy emphasizing the principal’s role in this domain (KMK, 2023b). This pattern is especially pronounced in primary schools (50.8%), compared to non-gymnasium secondary schools (41.2%) and Gymnasium schools (27.8%). In secondary schools, individual teachers often coordinate the extended program (SEK: 20.9%; GYM: 31.0%). Shared leadership models, such as steering groups or committees, are reported in approximately 20% of schools (PRM: 23.0%; SEK: 17.9%; GYM: 20.4%; see Table 1).
2.2.2.2 Explaining variable: collaborative school development
School leaders were also asked to what extent various groups were actively involved in their school’s development processes. Respondents rated six stakeholder groups—(1) school principal (team), (2) teachers, (3) other school staff, (4) external staff (from collaborating institutions), (5) parents, and (6) students—on a 4-point scale: “not at all,” “somewhat,” “largely,” and “fully.” Responses of “largely” or “fully” were considered indicators of group involvement. These ratings were aggregated into an index ranging from 1 (non-collaborative) to 6 (fully collaborative), representing the number of groups actively participating in school development.
Descriptive statistics for this index are shown in Table 1. Primary and non-gymnasium secondary schools exhibit similar distributions, with three groups actively involved in school development processes most frequently reported (PRM: 29.7%; SEK: 23.4%). Few schools involve only one group or all six groups. By contrast, Gymnasium schools display a different distribution, with two (25.5%) and four (27.7%) groups being the most common constellations. Full collaboration involving all six groups is rare across all school types, especially in Gymnasium schools, where it occurs in only 3.0% of the cases.
2.2.2.3 Explained latent variable: designated time for collaboration
One latent variable examined is the designated time allocated for collaboration among school staff. School leaders were asked whether specific time was allocated for collaboration (1) among teachers, (2) among other staff, and (3) between teachers and other staff. Responses were binary (yes/no). Descriptive statistics (Table 1) reveal that designated collaboration time is most common in primary schools (52.5–63.8%), less frequent in non-gymnasium secondary schools (40.3–55.9%), and rare in Gymnasium schools (15.9–16.6%). A latent variable was specified to capture the shared variance across these three measures (see further details on confirmatory factor analysis below).
2.2.2.4 Explained latent variable: breadth of extracurricular aims
The breadth of extracurricular aims was conceptualized as another latent variable. School leaders were asked to what extent their school’s extended concept incorporated three objectives: (1) enhancing the learning culture, (2) fostering competencies and talent development, and (3) promoting community, social learning, and personal development. These items were rated on a 4-point scale: “not at all” to “completely.” For descriptive purposes (Table 1), responses of “largely” and “completely” were combined. The latent variable reflects the combined extent to which schools aim to achieve these objectives, with higher values indicating a broader set of extracurricular goals.
2.2.2.5 Explained latent variable: curricular-extracurricular synergy
Curricular-extracurricular integration was assessed through the question: “All-day schools enable the conceptual integration of subject teaching and extracurricular learning opportunities. How is this implemented at your school?” Responses were rated on a 4-point Likert scale (“not agree at all” to “fully agree”) for the following items: (1) Development of content-based curricular profiles and priorities that integrate teaching with all-day offerings. (2) Addressing classroom-identified learning problems and deficits through learning support programs or structured study periods. (3) Methodological and substantive links between extracurricular learning and subject teaching that deepen themes and knowledge areas. (4) Poor integration of teaching and extracurricular offerings (negatively worded). Descriptive statistics (Table 1) indicate moderate integration overall. Approximately one-third of schools agree or partially agree that extracurricular activities enhance curricular focus areas or deepen classroom topics. Conversely, 50.0–62.6% of schools report poor integration. The highest agreement concerns addressing classroom learning deficits through extracurricular activities, particularly in secondary schools (SEK: 86.3%; GYM: 85.8%) compared to primary schools (PRM: 67.7%).
2.2.2.6 Examination of the structure of the latent variables: parallel analysis
To evaluate the structure of the three explained latent variables—designated time for collaboration, breadth of extracurricular aims, and curricular-extracurricular synergy—Parallel Analysis (Horn, 1965) was conducted. This method compares Eigenvalues from the observed data’s correlation matrix with those from randomly generated datasets to determine the number of factors to retain. Retention criteria involve selecting factors whose Eigenvalues exceed those derived from random data.
As shown in Figure 2, the Eigenvalues for the observed data exceeded those of the random data for three dimensions (Empirical data: 3.30, 1.76, 1.12). This result suggests that the ten manifest variables are best represented by three dimensions, supporting the hypothesized structure of the constructs.
Figure 2

Parallel analysis of the indicators of the explained constructs.
2.2.2.7 Examination of the structure of the latent variables: multi-group confirmatory factor analysis
Building on the Parallel Analysis findings, a three-factor model was specified to correspond to the latent variables described earlier. Multi-group Confirmatory Factor Analysis (CFA) was performed using the R lavaan package (Rosseel, 2012). Table 2 presents the results. Most standardized loadings exceeded 0.5, indicating that the latent factors strongly explain the manifest variables. Although a few loadings fell below 0.5, all remained above 0.3 and were statistically significant. Notably, the negative loadings of Factor 3 on the item “Teaching and other activities are poorly integrated” align with the item’s negative phrasing.
Table 2
| PRM | SEK | GYM | |
|---|---|---|---|
| f1 Designated time for collaboration | |||
| Time for collaboration between teacher | 0.571 | 0.502 | 0.455 |
| Time for collaboration between other staff | 0.710 | 0.581 | 0.764 |
| Time for collaboration between teachers and staff | 0.705 | 0.758 | 0.584 |
| f2 Breadth of extracurricular aims | |||
| Enhancing the learning culture | 0.867 | 0.789 | 0.814 |
| Fostering competencies and talent development | 0.742 | 0.689 | 0.696 |
| Community, social learning, and personal development | 0.552 | 0.606 | 0.521 |
| f3 Curricular-extracurricular synergy | |||
| Curricular profiles link teaching and extracurricular activities | 0.726 | 0.626 | 0.760 |
| Learning difficulties are addressed through support programs | 0.554 | 0.429 | 0.332 |
| Extracurricular learning deepens topics from lessons | 0.800 | 0.785 | 0.844 |
| Teaching and other activities are poorly integrated | −0.660 | −0.529 | −0.647 |
| Covariances | |||
| f1 with f2 | 0.190 | 0.212 | 0.171 |
| f1 with f3 | 0.345 | 0.281 | −0.033 |
| f2 with f3 | 0.710 | 0.582 | 0.696 |
Confirmatory factor analysis.
n(PRM) = 452; n(SEK) = 523; n(GYM) = 244; CFI = 0.951; TLI = 931; RMSEA = 0.060 [0.050, 0.069]; SRMR = 0.052.
The model demonstrated good fit based on established cut-off criteria (Weiber and Mühlhaus, 2010; Kielblock, 2024). High goodness-of-fit indices (CFI = 0.951; TLI = 0.931) and low badness-of-fit indices [RMSEA = 0.060 (0.050, 0.069); SRMR = 0.052] indicate that the hypothesized structure fits the data well. These results confirm that the ten manifest variables are adequately captured by three latent constructs: (1) designated time for collaboration, (2) breadth of extracurricular aims, and (3) curricular-extracurricular synergy.
2.3 Analytic strategy
The analytic strategy comprises three steps to explore the relationships between shared leadership responsibility, collaborative school development, and their effects on working conditions and conceptual frameworks.
2.3.1 Step 1: Individual predictive analyses
In the first step, the relevance of the two explanatory variables—shared leadership responsibility and collaborative school development—as predictors of the three latent variables is examined. Specifically, shared leadership responsibility and collaborative school development are individually tested as predictors for designated time for collaboration, breadth of extracurricular aims and curricular-extracurricular synergy. Analyses are conducted separately for each explanatory-explained variable pairing, resulting in six models. The results identify which of the explanatory variables serves as a particularly strong predictor for each latent outcome.
2.3.2 Step 2: Moderation models
Building on the results from Step 1, Step 2 investigates whether the relationship between shared leadership responsibility and the working conditions and concepts (designated time for collaboration, breadth of extracurricular aims, and curricular-extracurricular synergy) is mediated by collaborative school development. This involves testing mediation models for each of the three explained variables. The paths are specified according to the model in Figure 3. In this step, particular attention is given to the indirect effect (ab), representing the potential mediated pathway from shared leadership responsibility through collaborative school development to the working conditions and concepts. The total effect (abc) is also calculated to determine the combined direct and indirect effects.
Figure 3

Specification of the mediation models. Y is either the designated time for collaboration (Model 1), the breadth of extracurricular aims (Model 2), or the curricular-extracurricular synergy (Model 3).
2.3.3 Step 3: Combined model
The third step integrates the findings into a unified structural equation model (SEM) to simultaneously estimate all relationships among the five variables. This comprehensive model assesses whether the relationships observed in the individual analyses persist when all paths are estimated together. The estimated model is depicted in Figure 4.
Figure 4

Specification of the overall structural equation model. The three latent variables are specified as described in Section 2.2.2. The full model is calculated as a multi-group structural equation model, where the group-variable is the school form. Hence, fit statistics apply to the full model, while estimates are given for each school group separately.
2.3.4 Analytical approach
All analyses were conducted using the lavaan package in R version 0.6–19 (Rosseel, 2012). As the explained variables are latent constructs, the SEM methodology was applied. Given the stratified sampling strategy across the three school forms, multi-group SEM was employed using the “group=” function in lavaan to account for school-type differences. Although the hierarchical structure of the data could suggest potential clustering effects, tests using Cluster Robust Standard Errors showed no deviations in significance patterns. Consequently, only the multi-group results are reported, as they address the primary clustering concerns inherent in the stratified design. Missing values were addressed using Full Information Maximum Likelihood (FIML) estimation to ensure robust parameter estimates. All coefficients are reported in standardized form (std.all).
3 Results
3.1 Relevant predictors of working conditions and concepts
In the initial phase of the analysis, it was examined whether shared leadership responsibility and collaborative school development significantly predict key aspects of working conditions and concepts. Six regression models were estimated, employing either shared leadership responsibility or collaborative school development as the independent variable. The dependent variables included designated time for collaboration, the breadth of extracurricular aims, and the integration of curricular and extracurricular activities.
As presented in Table 3, shared leadership responsibility emerged as a significant predictor for designated time for collaboration [β(PRM) = 0.138*; β(SEK) = 0.115*; β(GYM) = 0.263*]. Notably, the standardized coefficient was particularly pronounced for Gymnasium schools compared to the other two school types. This finding indicates that the relationship between shared leadership responsibility and the allocation of designated collaboration time is strongest in Gymnasium schools, although it remains significant across all school forms. Additionally, shared leadership responsibility was significantly associated with a greater breadth of extracurricular aims in secondary schools. However, no other significant associations were identified with respect to shared leadership responsibility.
Table 3
| Model | Primary | Secondary | Gymnasium |
|---|---|---|---|
| Shared leadership responsibility ➔ | |||
| (1) Designated time for collaboration | 0.138* | 0.115* | 0.263** |
| (2) Breadth of extracurricular aims | −0.045 | 0.109* | 0.045 |
| (3) Curricular-extracurricular synergy | 0.014 | 0.024 | 0.013 |
| Collaborative school development ➔ | |||
| (4) Designated time for collaboration | 0.296*** | 0.272*** | 0.220* |
| (5) Breadth of extracurricular aims | 0.329*** | 0.296*** | 0.379*** |
| (6) Curricular-extracurricular synergy | 0.397*** | 0.275*** | 0.342*** |
Relevant predictors of the working conditions and concepts.
Each of the six models is one independent manifest variable as predictor of one dependent latent variable (see Methods for more details). *p < 0.05; **p < 0.01; ***p < 0.001.
Table 3 also demonstrates that collaborative school development is significantly associated with all three variables representing working conditions and concepts. Regression analyses reveal that schools characterized by more collaborative development approaches tend to allocate greater time for collaboration, exhibit a broader range of extracurricular aims, and achieve stronger integration between curricular and extracurricular activities. Most regression coefficients were approximately 0.3. An exception was the relationship between collaborative school development and designated time for collaboration in Gymnasium schools, where the coefficient was lower than in other contexts but remained statistically significant at the 5% level.
3.2 Relative position of responsibility and development
To examine the relative influence of shared leadership responsibility and collaborative school development, the potential mediating role of collaborative school development was analyzed in the second stage of the study. The results of three (multi-group) mediation models are summarized in Table 4.
Table 4
| Model 1 | Model 2 | Model 3 | |||||||
|---|---|---|---|---|---|---|---|---|---|
| Y | Designated time for collaboration | Breadth of extracurricular aims | Curricular-extracurricular synergy | ||||||
| PRM | SEK | GYM | PRM | SEK | GYM | PRM | SEK | GYM | |
| a | 0.052 | 0.044 | 0.047 | 0.054 | 0.046 | 0.049 | 0.054 | 0.046 | 0.049 |
| b | 0.237*** | 0.263*** | 0.300*** | 0.291*** | 0.363*** | 0.320*** | 0.316*** | 0.367*** | 0.295*** |
| c | 0.141*** | 0.133*** | 0.162*** | 0.019 | 0.020 | 0.019 | 0.005 | 0.004 | 0.004 |
| ab | 0.012 | 0.016 | 0.017 | ||||||
| Total | 0.153*** | 0.035 | 0.022 | ||||||
Mediation models.
n(PRM) = 465; n(SEK) = 549; n(GYM) = 255; (a) shared leadership responsibility ➔ collaborative school development; (b) collaborative school development ➔ Y; (c) shared leadership responsibility ➔ Y (see Methods for more details). *p < 0.05; **p < 0.01; ***p < 0.001.
In all three models, path b is significant, confirming that collaborative school development is a strong predictor of the three outcome variables: designated time for collaboration, the breadth of extracurricular aims, and curricular-extracurricular synergy. These findings are consistent with the results reported in Section 3.1.
Path c, representing the direct effect of shared leadership responsibility on the outcome variables, is significant only for designated time for collaboration. Across all school types, schools implementing shared leadership responsibility are more likely to allocate designated time for collaboration. This result reinforces the conclusions from Section 3.1, which indicated a similar pattern. However, in non-Gymnasium secondary schools, the breadth of extracurricular aims is not significantly predicted by shared leadership responsibility, diverging from the trends observed in Section 3.1. Specifically, in Model 2, path c is not significant for non-Gymnasium secondary schools (see Table 4). None of the other direct effects were found to be significant.
The core focus of the mediation analysis is the indirect effect (ab), which would indicate whether collaborative school development mediates the relationship between shared leadership responsibility and the outcome variables. If a mediation effect were present, this would imply that shared leadership responsibility influences collaborative school development, which in turn affects the outcome variables. However, no significant mediation effect was identified across the three models (see ab in Table 4). Although a significant total effect was observed in Model 1, this does not alter the conclusion that collaborative school development does not mediate the relationship between shared leadership responsibility and the outcome variables.
Obviously, shared leadership responsibility serves not as a foundation for collaborative school development. Accordingly, based on the results of the mediation analyses, the overall model in the next section treats shared leadership responsibility and collaborative school development as correlated constructs. This approach assumes their impacts on the outcome variables to be of equal importance, rather than one construct mediating the other.
3.3 Overall model
The overall model was specified in accordance with the framework described in Section 2.3 (see Figure 4). Model fit was assessed as the first step in the analysis. The goodness-of-fit indices (CFI = 0.946; TLI = 0.922) indicate a good fit, while the low badness-of-fit indices (RMSEA = 0.053 [0.045, 0.061]; SRMR = 0.048) further underline the adequacy of the model. Table 5 presents the results of the multi-group structural equation model, including standardized estimates for regression paths, correlations, and p-values for each group.
Table 5
| PRM | SEK | GYM | ||||
|---|---|---|---|---|---|---|
| Est. | p | Est. | p | Est. | p | |
| Regressions | ||||||
| Shared leadership responsibility ➔ | ||||||
| Designated time for collaboration | 0.116 | 0.040 | 0.104 | 0.054 | 0.249 | 0.006 |
| Breadth of extracurricular aims | −0.062 | 0.226 | 0.086 | 0.080 | 0.025 | 0.733 |
| Curricular-extracurricular synergy | 0.002 | 0.969 | 0.007 | 0.895 | 0.007 | 0.923 |
| Collaborative school development ➔ | ||||||
| Designated time for collaboration | 0.306 | 0.000 | 0.264 | 0.000 | 0.242 | 0.011 |
| Breadth of extracurricular aims | 0.336 | 0.000 | 0.287 | 0.000 | 0.384 | 0.000 |
| Curricular-extracurricular synergy | 0.405 | 0.000 | 0.288 | 0.000 | 0.337 | 0.000 |
| Covariances | ||||||
| Shared leadership responsibility -- | ||||||
| Collaborative school development | 0.046 | 0.340 | 0.062 | 0.159 | 0.022 | 0.742 |
| Curricular-extracurricular synergy -- | ||||||
| Designated time for collaboration | 0.263 | 0.001 | 0.220 | 0.004 | −0.133 | 0.201 |
| Breadth of extracurricular aims | 0.670 | 0.000 | 0.553 | 0.000 | 0.649 | 0.000 |
| Designated time for collaboration -- | ||||||
| Breadth of extracurricular aims | 0.112 | 0.119 | 0.126 | 0.078 | 0.079 | 0.476 |
Overall structural equation model.
Estimates (Est.) are standardized coefficients. See Section 2.3 for more information regarding details of the multi-group structural equation model.
A consistent pattern emerges regarding collaborative school development, which serves as a significant predictor for all three outcome variables. The standardized regression coefficients are significant at the 0.1% level across all groups, with one exception: the regression of collaborative school development on designated time for collaboration is significant at the 5% level. This aligns with findings reported in earlier sections. In this analysis, the effect persisted to be significant even in a more complex model incorporating more variables.
In contrast, the effect of shared leadership responsibility on designated time for collaboration, which was prominent in earlier results, is slightly less robust in this model. Significant effects are observed only for primary and Gymnasium schools, where the coefficients reach significance at the 5% level. For non-Gymnasium secondary schools, the coefficient misses significance (p = 0.054). Under a 10% significance threshold, this effect would be considered significant. Nevertheless, the interpretation that shared leadership responsibility predicts designated collaboration time across all school types should be approached cautiously, given that significance is limited to primary and Gymnasium schools.
The overall structural equation model also facilitates analysis of covariances among the variables. Notably, no significant correlation was identified between shared leadership responsibility and collaborative school development. Similarly, the correlation between designated time for collaboration and the breadth of extracurricular aims was non-significant across all school groups.
However, significant correlations were observed in specific contexts. In primary and non-Gymnasium secondary schools, a significant association exists between designated time for collaboration and curricular-extracurricular synergy. Across all school types, a strong correlation was found between the breadth of extracurricular aims and curricular-extracurricular synergy. This is theoretically consistent, as both constructs reflect the concepts which are implemented.
4 Discussion
4.1 Interpretation
In Section 3.1, two primary findings were identified. First, collaborative school development emerged as a significant predictor for all relevant outcome variables across all three school types. Second, shared leadership responsibility was shown to be a significant predictor of designated time for collaboration across all school forms.
In Section 3.2, the analyses examined the mediating role of collaborative school development but found no evidence of a mediation effect. However, the mediation models reinforced two critical direct effects: collaborative school development significantly predicted all outcome variables, and shared leadership responsibility directly influenced designated time for collaboration. These findings corroborate the results from Section 3.1. Furthermore, the mediation models demonstrated that shared leadership responsibility does not account for collaborative school development. This indicates that the type of leadership responsibility operates independently from the extent to which school development processes engage broader stakeholder involvement.
In Section 3.3, a comprehensive model incorporating all variables examined in the study was estimated. This full model confirmed the consistent and significant impact of collaborative school development on all outcome variables—a robust finding throughout all stages of analysis. However, the effect of shared leadership responsibility on designated time for collaboration was significant only in primary and Gymnasium schools within the context of this larger model. The earlier result showing the independence of shared leadership responsibility and collaborative school development was also underlined by this analysis.
An additional noteworthy finding emerged from the full model: in primary and non-Gymnasium secondary schools, designated time for collaboration was significantly correlated with the conceptual integration of curricular and extracurricular activities. This highlights the nuanced ways in which collaboration time may support broader conceptual alignment in these school types.
These findings provide partial support for the proposed hypotheses. H1 was confirmed, as both shared leadership responsibility and collaborative school development consistently predicted designated time for collaboration. H2 received only partial support, as breadth of extracurricular aims and curricular-extracurricular synergy were predicted solely by collaborative school development. H3 was also only partially supported: while collaborative school development demonstrated a substantially stronger predictive power than shared leadership responsibility, moderation analyses did not indicate a significant moderating effect.
4.1.1 The importance of collaborative school development
Taken together, the results suggest that leadership is not just about shared responsibility but especially about collaborative school development. This resonates with Spillane et al. (2001) that leadership is framed as a practice shaped by interactions among leaders, followers, and the school environment, highlighting that leadership practices directly influence school improvement through dynamic exchanges. Similarly, it was emphasized by Harris (2008) that leadership is the interplay between vertical and lateral processes, and Mayrowetz (2008) argued that leadership needs to be understood in relation to school improvement. This is foundational for fostering collective school development rather than merely delegating and negotiating responsibilities. In this way, other studies also linked stronger distributed leadership practices to better schooling, which is showcasing how leadership drives collective development goals (De Jong et al., 2023; Hallinger and Heck, 2010; Wahlstrom and Louis, 2008). The current study underlines that leadership extends beyond the mere shared responsibility and instead actively facilitates collaborative processes that shape organizational development.
While the stronger predictive power of collaborative school development compared to shared leadership responsibility is a key finding, this does not necessarily imply that shared leadership is ineffective. Rather, it highlights an important conceptual distinction: Shared leadership responsibility refers to the distribution of management roles, whereas collaborative school development captures the extent of active stakeholder participation in shaping all-day school processes. The mere delegation of leadership responsibilities does not automatically foster meaningful collaboration. In contrast, collaborative school development reflects an embedded culture of joint decision-making and engagement, making it more directly relevant to school improvement efforts.
4.1.2 Shared responsibility and collaborative school development are independent
It would have been reasonable to assume that clarifying responsibilities would serve as the foundation for collaborative school development. However, the findings indicate that these two aspects are unrelated. The assumption that clarifying responsibilities is sufficient (as, for example, the policy of the KMK, 2023b states) proves to be an oversimplification. The present results suggest that it is essential for the all-day school team to drive collaborative school development forward. Therefore, it can be argued that “development outweighs responsibility” in fostering high quality organization in extended education.
4.1.3 Shared leadership responsibility as a factor for allocated collaboration time
Shared responsibility for leadership is not as important as collaborative school development, yet it seems to be central at least for providing a distinct time frame, which is reserved for staff collaboration. Research on multi-professional collaboration underscores the importance of opportunities for collaboration, with interview studies highlighting that participants consider allocated time for cooperation as a critical condition for success (Fussangel, 2013; Meyer, 2020), and this time is especially given, when team members have longer weekly working hours, which are often associated with more intensive and frequent collaboration (Beher et al., 2007; Steiner, 2010; Tillmann and Rollett, 2014). Thus, it is plausible to argue that the allocation of time for collaboration becomes less meaningful when significant portions of the staff are employed on an hourly basis, as they may not be able to fully utilize the allocated time. This issue, however, may be particularly addressed through leadership practices, especially when shared responsibility is implemented. In such cases, the relationship between shared leadership and the allocation of collaboration time can be explained, as the collaborative nature of leadership responsibility can facilitate both, adequate contracts, including enhanced amount of working time, and also specific time for collective engagement among staff.
4.1.4 Collaboration time is correlated with curricular-extracurricular synergy
At least for primary schools and non-gymnasium secondary schools, it has been shown that allocated collaboration time correlates with curricular-extracurricular synergy. More specifically, this means that at all-day school locations where time for collaboration is explicitly provided, there is a stronger integration of classroom teaching and extracurricular activities. This finding can be interpreted in various ways, as causal conclusions cannot be drawn from the cross-sectional research design. On the one hand, the curricular-extracurricular synergy could necessitate the need for collaboration, thereby prompting the introduction of collaboration time. On the other hand, the allocated collaboration time itself may be utilized in ways that further enable and enhance curricular-extracurricular synergy. In fact, if both factors are present, it could indicate the overall developmental stage of the all-day school (Holtappels and Rollett, 2009). Regardless of the direction of the effect, it can be concluded that the findings support the idea that staff collaboration time and curricular-extracurricular integration must go hand in hand—without such coordination, the integration of curricula and extracurricular activities (Haenisch, 2009) is difficult to imagine.
4.2 Limitations
Despite the robust analysis presented in this study, several limitations in the research design should be considered when interpreting the findings. Firstly, the data represent the state of all-day schools in Germany during the 2017/2018 school year. While this means they do not reflect the current situation in Germany, they nonetheless offer substantial analytical potential. The findings can help identify relationships and patterns that are likely still relevant today—and extend beyond the German context.
One key limitation is the cross-sectional nature of the data, which prevents the establishment of causal relationships between shared leadership responsibility, collaborative school development, and the outcomes of interest. Although mediation and moderation models were used to examine the pathways between variables, these statistical techniques can only suggest associations, not causality. Future longitudinal studies or experimental designs would be beneficial to establish more definitive causal links.
The data were collected using self-reported responses from school leaders. While the use of a structured questionnaire can provide valuable insights into participants’ perceptions, self-reporting can introduce biases, such as social desirability bias or response bias, which may affect the accuracy of the data. Future studies could include additional data sources to triangulate findings and increase the reliability of the results.
While the analysis accounts of school type differences, there may be other confounding factors that influence the relationships between the variables of interest. Further factors might be introduced in future research to control for potential further influences (such as institutional culture, individual leadership styles, or local policy constraints). Qualitative studies (interviews or case studies with school leaders) might offer a more nuanced understanding of how leadership structures translate into meaningful collaboration and school improvement.
4.3 Implications
Overall, the present analysis provides important insights into collaborative forms of responsibility and school development, and how they relate to relevant aspects of all-day schooling. The study and its findings are not only relevant to the German context but use the German context to study the broader phenomenon of effective leadership for quality in extended education.
The findings highlight that collaborative organizational development should be prioritized over clarifying leadership responsibilities. While shared leadership responsibility is important for allocating time for collaboration, impact comes from fostering a collaborative development-oriented spirit. Providers of extended education should create opportunities for participation in leadership tasks for all staff. Encouraging collaborative organizational developments will likely enhance both the quality and the effectiveness of extended education programs. Similarly, from a policy perspective, the study suggests that educational policies should emphasize the importance of supporting organizations in developing collaborative developmental practices rather than just focusing on the allocation of formal responsibilities.
To conclude, this study underscores a vital insight: true organizational improvement in extended education settings is driven not by the mere allocation of shared leadership responsibility, but by the dynamic force of collaborative organizational development. The findings illuminate the profound impact of fostering a culture of collaboration and ensuring the participation of all stakeholders in shaping collective progress. While the data stem from the context of German all-day schools, the insights extend to diverse settings in extended education, emphasizing that enhancing staff working conditions and developing meaningful educational concepts are universal drivers of quality. This research calls for a reimagining of leadership in extended education—one that places collaboration at the heart of progress and transformation. The path forward is clear: to build stronger, more innovative leadership practices in extended education, we must invest in the power of collaboration of all at every level.
Statements
Data availability statement
The datasets presented in this study can be found in online repositories. The names of the repository/repositories and accession number(s) can be found at: doi: https://doi.org/10.5159/IQB_StEG_Systemmonitoring_V2.
Ethics statement
The studies involving humans were approved by the school authorities and data protection offices in all sixteen Federal States. The studies were conducted in accordance with the local legislation and institutional requirements. The participants provided their written informed consent to participate in this study.
Author contributions
SK: Conceptualization, Data curation, Formal analysis, Funding acquisition, Investigation, Methodology, Project administration, Resources, Software, Supervision, Validation, Visualization, Writing – original draft, Writing – review & editing.
Funding
The author(s) declare that financial support was received for the research, authorship, and/or publication of this article. The data analyzed here were collected as part of the project Study on the Development of All-Day Schools (StEG), which was funded by the German Federal Ministry of Education and Research (BMBF). However, the analyses presented here were not conducted under any specific funding.
Conflict of interest
The author declares that the research was conducted in the absence of any commercial or financial relationships that could be construed as a potential conflict of interest.
Generative AI statement
The author(s) declare that no Gen AI was used in the creation of this manuscript.
Publisher’s note
All claims expressed in this article are solely those of the authors and do not necessarily represent those of their affiliated organizations, or those of the publisher, the editors and the reviewers. Any product that may be evaluated in this article, or claim that may be made by its manufacturer, is not guaranteed or endorsed by the publisher.
References
1
Abraczinskas M. Kilmer R. Haber M. Cook J. Zarrett N. R. (2016). Effects of extracurricular participation on the internalizing problems and intrapersonal strengths of youth in a system of care. Am. J. Community Psychol.57, 308–319. doi: 10.1002/ajcp.12048
2
Arnoldt B. (2021). “Nutzung außerunterrichtlicher Angebote und individuelle Entwicklungen: Ist der ganztagsschulische Rahmen ein Vorteil?” in Individuelle Förderung an Ganztagsschulen. Forschungsergebnisse der Studie zur Entwicklung von Ganztagsschulen (StEG). eds. KielblockS.ArnoldtB.FischerN.GaiserJ. M.HoltappelsH. G. (Weinheim: Beltz Juventa).
3
Arnoldt B. Furthmüller P. Steiner C. (2016). Zur Relevanz der Ganztagsteilnahme bei der Bewältigung kritischer Passagen am Ende der Schullaufbahn. Zeitschrift für Pädagogik62, 812–829.
4
Beher K. Haenisch H. Hermens C. Nordt G. Prein G. Schulz U. (2007). Die offene Ganztagsschule in der Entwicklung. Weinheim, Juventa: Empirische Befunde zum Primarbereich in Nordrhein-Westfalen.
5
Bellin N. Wegner B. (2010). “Forschungsfeld Ganztag: Lernförderliche Wirkung außerunterrichtlicher Angebote und Strategien der Sprachförderung” in Lernförderung unter den Bedingungen des Ganztags im Grundschulbereich. eds. MerkensH.Schründer-LenzenA. (Waxmann: Münster).
6
Bouchard M. Denault A. S. Guay F. (2023). Extracurricular activities and adjustment among students at disadvantaged high schools: the mediating role of peer relatedness and school belonging. J. Adolesc.95, 509–523. doi: 10.1002/jad.12132
7
Brisson B. M. Theis D. (2020). Traditionelle Hausaufgaben oder integrierte Lernzeiten? Ein Vergleich der Erfahrungen und Leistungsentwicklungen von Schülerinnen und Schülern mit unterschiedlichen Übungsformaten. Psychol. Erzieh. Unterr.67, 294–312. doi: 10.2378/peu2020.art22d
8
D’Innocenzo L. Mathieu J. E. Kukenberger M. R. (2014). A meta-analysis of different forms of shared leadership-team performance relations. J. Manag.42, 1964–1991.
9
De Jong W. A. De Kleijn R. A. M. Lockhorst D. Brouwer J. Noordegraaf M. Van Tartwijk J. W. F. (2023). Collaborative spirit: understanding distributed leadership practices in and around teacher teams. Teach. Teach. Educ.123:103977. doi: 10.1016/j.tate.2022.103977
10
Dohrmann J. Brisson B. M. Kielblock S. (2021). Qualität und Wirkung von Peer Mentoring aus Sicht der jüngeren Schülerinnen und Schüler. In KielblockS.ArnoldtB.FischerN.GaiserJ. M.HoltappelsH. G. (Eds.), Individuelle Förderung an Ganztagsschulen. Forschungsergebnisse der Studie zur Entwicklung von Ganztagsschulen (StEG) (pp. 105–119). Weinheim: Beltz Juventa.
11
Durlak J. A. Weissberg R. P. Pachan M. (2010). A meta-analysis of after-school programs that seek to promote personal and social skills in children and adolescents. Am. J. Community Psychol.45, 294–309. doi: 10.1007/s10464-010-9300-6
12
Feldman A. F. Matjasko J. L. (2005). The role of school-based extracurricular activities in adolescent development: a comprehensive review and future directions. Rev. Educ. Res.75, 159–210. doi: 10.3102/00346543075002159
13
Fischer N. Brümmer F. (2012). School attachment and performance: The impact of participation in extracurricular activities at school In RichterM.AndresenS. (Eds.), The politicization of parenthood. Shifting private and public responsibilities in education and child rearing. Dordrecht: Springer265–279.
14
Fischer N. Brümmer F. Kuhn H. P. (2011a). “Entwicklung von Wohlbefinden und motivationalen Orientierungen in der Ganztagsschule. Zusammenhänge mit der Prozess- und Beziehungsqualität in den Angeboten” in Ganztagsschule: Entwicklung, Qualität, Wirkungen. Längsschnittliche Befunde der Studie zur Entwicklung von Ganztagsschulen (StEG). eds. FischerN.HoltappelsH. G.KliemeE.RauschenbachT.StecherL.ZüchnerI. (Weinheim: Beltz Juventa).
15
Fischer N. Kuhn H. P. Klieme E. (2009). “Was kann die Ganztagsschule leisten? Wirkungen ganztägiger Beschulung auf die Entwicklung von Lernmotivation und schulischer Performance nach dem Übergang in die Sekundarstufe” in Ganztägige Bildung und Betreuung. Beiheft 54 der Zeitschrift für Pädagogik. eds. StecherL.Allemann-GhiondaC.HelsperW.KliemeE. (Weinheim: Beltz).
16
Fischer N. Kuhn H. P. Züchner I. (2011b). “Entwicklung von Sozialverhalten in der Ganztagsschule. Wirkungen der Ganztagsteilnahme und der Angebotsqualität” in Ganztagsschule: Entwicklung, Qualität, Wirkungen. Längsschnittliche Befunde der Studie zur Entwicklung von Ganztagsschulen (StEG). eds. FischerN.HoltappelsH. G.KliemeE.RauschenbachT.StecherL.ZüchnerI. (Weinheim: Beltz Juventa).
17
Fischer N. Sauerwein M. N. Theis D. Wolgast A. (2016). Vom Lesenlernen in der Ganztagsschule: Leisten Ganztagsangebote einen Beitrag zur Leseförderung am Beginn der Sekundarstufe I?Zeitschrift für Pädagogik62, 780–796.
18
Fischer N. Theis D. (2014). Quality of extracurricular activities. Considering developmental changes in the impact on school attachment and achievement. J. Educ. Res. Online6, 54–75.
19
Furthmüller P. (2019). Methodenbericht Systemmonitoring 2018: Stichprobe und Erhebungsverfahren. München: StEG.
20
Fussangel K. (2013). “Die Rolle von Ganztagsschulen für Veränderungen in der Tätigkeit von Lehrpersonen” in Kooperation als Herausforderung in Schule und Tagesschule. eds. SchüpbachM.SlokarA.NieuwenboomW. (Bern: Haupt).
21
GaFöG (2021). Gesetz zur ganztägigen Förderung von Kindern im Grundschulalter (Ganztagsförderungsgesetz – GaFöG). Bonn.
22
Haenisch H. (2009). Verzahnung zwischen Unterricht und außerunterrichtlichen Angeboten im offenen Ganztag. Eine qualitative Studie zu praktischen Ansätzen der Verzahnung in ausgewählten Schulen. Der GanzTag in NRW – Beiträge zur Qualitätsentwicklung51–28.
23
Hallinger P. Heck R. H. (2010). Leadership for learning: does collaborative leadership make a difference in school improvement?Educ. Manag. Admin. Leadership38, 650–778.
24
Harris A. (2008). Distributed leadership: according to the evidence. J. Educ. Adm.46, 172–188. doi: 10.1108/09578230810863253
25
Harris A. Deflaminis J. (2016). Distributed leadership in practice: evidence, misconceptions and possibilities. Manag. Educ.30, 139–172.
26
Harris A. Jones M. Ismail N. (2022). Distributed leadership: taking a retrospective and contemporary view of the evidence base. School Leader. Manag.42, 438–456. doi: 10.1080/13632434.2022.2109620
27
Hattie J. (2024). Visible Learning 2.0: Deutschsprachige Ausgabe von “Visible Learning: The Sequel” besorgt von Stephan Wernke und Klaus Zierer. Baltmannsweiler: Schneider Verlag Hohengehren.
28
Heath R. D. Anderson C. Turner A. C. Payne C. M. (2022). Extracurricular activities and disadvantaged youth: a complicated – but promising – story. Urban Educ.57, 1415–1449. doi: 10.1177/0042085918805797
29
Holtappels H. G. (2009). “Qualitätsmodelle – Theorie und Konzeptionen” in Qualität von Ganztagsschule – Konzepte und Orientierungen für die Praxis. eds. KamskiI.HoltappelsH. G.SchnetzerT. (Waxmann: Münster).
30
Holtappels H. G. Rollett W. (2009). “Schulentwicklung in Ganztagsschulen. Zur Bedeutung von Zielorientierungen und Konzeption für die Qualität des Bildungsangebots” in Ganztägige Bildung und Betreuung. 54. Beiheft der Zeitschrift für Pädagogik. eds. StecherL.Allemann-GhiondaC.HelsperW.KliemeE. (Weinheim: Beltz).
31
Holtappels H. G. Tillmann K. Lossen K. (2018). “Lernentwicklung von Kindern mit und ohne Migrationshintergrund in Ganztagsgrundschulen. Differenzielle Effekte in einer StEG-Längsschnittsstudie” in Jahrbuch der Schulentwicklung. Band 20. Schule und Unterricht in gesellschaftlicher Heterogenität. eds. SchwabeF.McelvanyN.BosW.HoltappelsH. G. (Weinheim: Beltz Juventa).
32
Horn J. L. (1965). A rationale and test for the number of factors in factor analysis. Psychometrika30, 179–185. doi: 10.1007/BF02289447
33
Huber S. G. (2020). “Führungsverantwortung von Schulleitung” in Handbuch Ganztagsbildung. eds. BollwegP.BuchnaJ.CoelenT.OttoH.-U. (Wiesbaden: Springer VS).
34
Kanevski R. Salisch M. V. (2011). Peer-Netzwerke und Freundschaften in Ganztagsschulen. Auswirkungen der Ganztagsschule auf die Entwicklung sozialer und emotionaler Kompetenzen von Jugendlichen, vol. 14. Weinheim: Beltz Juventa, 237–259.
35
Kielblock S. (2023a). Guter Ganztag durch kooperative Steuerung. Organisation und Arbeitsweise von Steuerungsgruppen. Impaktmagazin, 6–17.
36
Kielblock S. (2023b). “Zur Zusammenarbeit von Fachkräften im Interesse der Kinder” in Ganztag im besten Interesse der Kinder. Kinderrechte für Große Kinder verwirklichen. eds. PeschL.DohleK.MaywaldJ. (Freiburg im Breisgau: Herder).
37
Kielblock S. (2024). Kompass quantitative Forschung: Eine Navigationshilfe für die Erziehungswissenschaft. Barbara Budrich: Opladen.
38
Kielblock S. Gaiser J. M. Stecher L. (2017). Multiprofessionelle Kooperation als Fundament der inklusiven Ganztagsschule. Gemeinsam Leben25, 140–148.
39
Kielblock S. Maaz K. (2024). Ganztag als Chance: Wirkweisen, Entwicklungspotenziale und Handlungsfelder schulischer Ganztagsangebote. Bonn: Friedrich-Ebert-Stiftung, 30–32.
40
Klemm K. (2014). Ganztagsschulen in Deutschland: Die Ausbaudynamik ist erlahmt. Bertelsmann Stiftung: Gütersloh.
41
KMK (2023a). Allgemeinbildende Schulen in Ganztagsform in den Ländern in der Bundesrepublik Deutschland. Statistik 2017 bis 2021. Berlin: KMK.
42
KMK (2023b). Empfehlungen zur Weiterentwicklung der pädagogischen Qualität der Ganztagsschule und weiterer ganztägiger Bildungs-und Betreuungsangebote für Kinder im Grundschulalter. Berlin: KMK.
43
Kuhn H. P. Fischer N. (2011a). “Entwicklung der Schulnoten in der Ganztagsschule. Einflüsse der Ganztagsteilnahme und der Angebotsqualität” in Ganztagsschule: Entwicklung, Qualität, Wirkungen: Längsschnittliche Befunde der Studie zur Entwicklung von Ganztagsschulen (StEG). eds. FischerN.HoltappelsH. G.KliemeE.RauschenbachT.StecherL.ZüchnerI. (Weinheim: Beltz Juventa).
44
Kuhn H. P. Fischer N. (2011b). “Zusammenhänge zwischen Schulnoten und problematischem Sozialverhalten in der Ganztagsschule: Entwickeln sich Ganztagsschüler/−innen besser?” in Ganztagsschule – Neue Schule? Eine Forschungsbilanz. Sonderheft 15 der Zeitschrift für Erziehungswissenschaft. eds. StecherL.KrügerH.-H.RauschenbachT., vol. 14 (Wiesbaden: VS), 143–162.
45
Kuhn H. P. Fischer N. Schoreit E. (2016). “Soziales Lernen von Jungen und Mädchen in der Ganztagsschule. Zur Bedeutung der Mitbestimmung in den Angeboten für die Entwicklung der schulbezogenen sozialen Verantwortungsübernahme” in Was sind gute Schulen? Teil 4. Theorie, Praxis und Forschung zur Qualität von Ganztagsschulen. eds. FischerN.KuhnH. P.TillackC. (Immenhausen bei Kassel: Prolog).
46
Lossen K. Tillmann K. Holtappels H. G. Rollett W. Hannemann J. (2016). Entwicklung der naturwissenschaftlichen Kompetenzen und des sachunterrichtsbezogenen Selbstkonzepts bei Schüler/−innen in Ganztagsgrundschulen. Ergebnisse der Längsschnittstudie StEG-P zu Effekten der Schülerteilnahme und der Angebotsqualität. Zeitschrift für Pädagogik62, 760–779.
47
Mayrowetz D. (2008). Making sense of distributed leadership: exploring the multiple usages of the concept in the field. Educ. Adm. Q.44, 424–435. doi: 10.1177/0013161X07309480
48
Metsäpelto R.-L. Pulkkinen L. (2014). The benefits of extracurricular activities for socio-emotional behavior and school achievement in middle childhood: an overview of the research. J. Educ. Res. Online6, 10–33.
49
Meyer K. (2020). “Interprofessionelle Kooperation am Beispiel einer Deutschklasse mit Ganztagsbezug an einer Mittelschule im Freistaat Bayern” in Sozialpädagogische Perspektiven auf die Ganztagsbildung. Professionelle Handlungsmöglichkeiten und sozialstrukturelle Spannungsfelder. eds. Braches-ChyrekR.KarstenM.-E. (Opladen: Barbara Budrich).
50
Murray S. March S. Pillay Y. Senyard E. L. (2024). A systematic literature review of strategies implemented in extended education settings to address children’s mental health and wellbeing. Clin. Child. Fam. Psychol. Rev.27, 863–877. doi: 10.1007/s10567-024-00494-3
51
O’Donnell A. W. Redmond G. Thomson C. Wang J. J. J. Turkmani S. (2022). Reducing educational disparities between Australian adolescents in regional and metropolitan communities: the compensatory effects of extracurricular activities. Dev. Psychol.58, 2358–2371. doi: 10.1037/dev0001434
52
Pearce C. L. (2004). The future of leadership: combining vertical and shared leadership to transform knowledge work. Acad. Manag. Exec.18, 47–57.
53
Qualitätsdialog Zum Ganztag (2021). Zusammenarbeit im Ganztag stärken. Frankfurt am Main.
54
Reinders H. Gresser A. Schnurr S. (2013). Veränderungen interkultureller Kompetenzen bei Grundschülern an Halbtags-und Ganztagsschulen. Zusammenhänge zu schulischen Zielvorstellungen und Weiterbildungsmaßnahmen. Diskurs Kindheits-und Jugendforschung8, 39–55.
55
Rosseel Y. (2012). Lavaan: an R package for structural equation modeling. J. Stat. Softw.48, 1–36.
56
Salisch M. V. Kanevski R. (2011). “Stabilität und Wandel der Peer-Netzwerke von Jugendlichen in Ganztagsschulen und Halbtagsschulen” in Familie, Peers und Ganztagsschule. eds. SoremskiR.UrbanM.LangeA. (Weinheim: Juventa).
57
Sauerwein M. N. (2017). Qualität in Bildungssettings der Ganztagsschule. Über Unterrichtsforschung und Sozialpädagogik. Weinheim: Beltz Juventa.
58
Sauerwein M. N. (2019). Partizipation in der Ganztagsschule – vertiefende Analysen. Z. Erzieh.22, 435–459. doi: 10.1007/s11618-018-0844-9
59
Sauerwein M. N. Heer J. (2020). Warum gibt es keine leistungssteigernden Effekte durch den Besuch von Ganztagsangeboten? Oder: Über die Paradoxie individueller Förderung. Zeitschrift für Pädagogik66, 78–101.
60
Sauerwein M. N. Lossen K. Theis D. Rollett W. Fischer N. (2018). “Zur Bedeutung des Besuchs von Ganztagsschulangeboten für das prosoziale Verhalten von Schülerinnen und Schülern – Ergebnisse der Studie zur Entwicklung von Ganztagsschulen” in Tagesschulen. Ein Überblick. eds. SchüpbachM.FreiL.NieuwenboomW. (Wiesbaden: Springer VS).
61
Sauerwein M. N. Theis D. Fischer N. (2016). How youths’ profiles of extracurricular and leisure activity affect their social development and academic achievement. Int. J. Res. Extend. Educ.4, 103–124.
62
Schmitz L. (2022a). Ganztagsschulen fördern die Entwicklung sozialer Fähigkeiten von Grundschüler*innen. DIW Wochenbericht48, 635–642.
63
Schmitz L. (2022b). Heterogeneous effects of afterschool care on child development. Berlin: Deutsches Institut für Wirtschaftsforschung.
64
Schröder J. (2021). Fördernde Wirkung extracurricularer Angebote an Ganztagsgrundschulen. Eine quasi-experimentelle Studie im Bereich Naturwissenschaften. Göttingen: Universitätsverlag Göttingen.
65
Seidlitz A. Zierow L. (2022). The impact of all-day schools on student achievement. Evidence from extending school days in German primary schools. CESifo Working Paper No. 8618.
66
Spillane J. P. Halverson R. Diamond J. B. (2001). Investigating school leadership practice: a distributed perspective. Educ. Res.30, 23–28. doi: 10.3102/0013189X030003023
67
Stecher L. Maschke S. (2013). Research on extended education in Germany. A general model with all-day schooling and private tutoring as two examples. Int. J.l Res. Extend. Educ.1, 31–52.
68
Steiner C. (2010). Multiprofessionell arbeiten im Ganztag. Ideal, Illusion oder Realität?Der pädagogische Blick18, 22–35.
69
Steiner C. (2011). “Ganztagsteilnahme und Klassenwiederholung” in Ganztagsschule: Entwicklung, Qualität, Wirkungen. Längsschnittliche Befunde der Studie zur Entwicklung von Ganztagsschulen (StEG). eds. FischerN.HoltappelsH. G.KliemeE.RauschenbachT.StecherL.ZüchnerI. (Weinheim: Beltz Juventa).
70
Strietholt R. Manitius V. Berkemeyer N. Bos W. (2015). Bildung und Bildungsungleichheit an Halb-und Ganztagsschulen. Z. Erzieh.18, 737–761. doi: 10.1007/s11618-015-0634-6
71
Tian M. Risku M. Collin K. (2015). A meta-analysis of distributed leadership from 2002 to 2013: theory development, empirical evidence and future research focus. Educ. Manag. Admin. Leader.44, 146–164.
72
Tillmann K. Rollett W. (2014). Multiprofessionelle Kooperation. Die Gestaltung des Personaleinsatzes als Gelingensbedingung. Die Grundschulzeitschrift28, 14–16.
73
Wahlstrom K. L. Louis K. S. (2008). How teachers experience principal leadership: the roles of professional community, trust, efficacy, and shared responsibility. Educ. Adm. Q.44, 455–597.
74
Weiber R. Mühlhaus D. (2010). Strukturgleichungsmodellierung: Eine anwendungsorientierte Einführung in die Kausalanalyse mit Hilfe von AMOS. Berlin, Springer: SmartPLS und SPSS.
75
Züchner I. Fischer N. (2014). “Kompensatorische Wirkungen von Ganztagsschulen – Ist die Ganztagsschule ein Instrument zur Entkopplung des Zusammenhangs von sozialer Herkunft und Bildungserfolg?” in Herkunft und Bildungserfolg von der frühen Kindheit bis ins Erwachsenenalter. Forschungsstand und Interventionsmöglichkeiten aus interdisziplinärer Perspektive. Sonderherft 24 der Zeitschrift für Erziehungswissenschaft. eds. MaazK.NeumannM.BaumertJ., vol. 17 (Wiesbaden: Springer VS), 349–367.
Summary
Keywords
extended education, leadership, school development, shared leadership responsibility, collaborative school development, all-day schools, organizational quality, collaboration
Citation
Kielblock S (2025) Rethinking leadership in extended education: how collaborative development drives organizational quality. Front. Educ. 10:1545842. doi: 10.3389/feduc.2025.1545842
Received
15 December 2024
Accepted
20 February 2025
Published
07 March 2025
Volume
10 - 2025
Edited by
Patricia Schuler, Zurich University of Teacher Education, Switzerland
Reviewed by
Nanine Lilla, Free University of Berlin, Germany
Joseph Lobo, Bulacan State University, Philippines
Updates
Copyright
© 2025 Kielblock.
This is an open-access article distributed under the terms of the Creative Commons Attribution License (CC BY). The use, distribution or reproduction in other forums is permitted, provided the original author(s) and the copyright owner(s) are credited and that the original publication in this journal is cited, in accordance with accepted academic practice. No use, distribution or reproduction is permitted which does not comply with these terms.
*Correspondence: Stephan Kielblock, stephan.kielblock@uni-oldenburg.de
Disclaimer
All claims expressed in this article are solely those of the authors and do not necessarily represent those of their affiliated organizations, or those of the publisher, the editors and the reviewers. Any product that may be evaluated in this article or claim that may be made by its manufacturer is not guaranteed or endorsed by the publisher.