Abstract
Introduction:
Emotional intelligence is essential for the holistic development of students, particularly in postgraduate contexts, where academic and personal demands are higher. This study aimed to analyze the relationship between age and emotional intelligence among postgraduate students at the State University of Milagro (UNEMI). It specifically considered the dimensions of attention, clarity, and emotional repair.
Methodology:
The methodological design was quantitative, non-experimental, cross-sectional, and descriptive-explanatory. The population consisted of 1,525 postgraduate students, selected through non-probabilistic sampling. Data collection was conducted using the TMMS-24, a validated instrument administered digitally with informed consent. Statistical analysis included reliability tests, Pearson correlation, and analysis of variance (ANOVA).
Results:
The findings revealed no significant differences in overall emotional intelligence across age groups. However, specific dimensions showed variations. Students over 50 years of age excelled in emotional clarity and repair, while younger students (21 to 30 years) demonstrated higher emotional attention. These variations highlight the influence of experience and maturity on specific emotional skills.
Conclusion:
While global emotional intelligence remains stable across age groups, specific dimensions such as clarity and emotional repair improve with age, whereas emotional attention is higher among younger students. These results emphasize the importance of developing educational strategies tailored to the emotional characteristics of different age groups.
1 Introduction
Emotional intelligence (EI), a psychological paradigm introduced by Salovey and Mayer in 1990, has been recognized as a fundamental component for personal, professional, and academic development (Caruso et al., 2019; Humphrey et al., 2007; O’Connor et al., 2019). EI is defined as the ability to perceive, understand, and regulate one’s own emotions and those of others, which is essential for facilitating effective interactions and providing adaptive responses to emotional challenges (Extremera and Rey, 2015; Kotsou et al., 2019). Although EI has been widely addressed in school and undergraduate settings, there remains a marked scarcity of research specifically focused on graduate programs, where emotional and academic demands are typically more intense.
The existing literature consistently documents the positive influence of EI on academic performance, resilience, and the capacity to establish healthy interpersonal relationships key factors for success in both educational and professional environments (Brackett et al., 2011; Cleary et al., 2018; Halimi et al., 2021; Romero Caballero et al., 2022; Shapovalova et al., 2022; Trigueros et al., 2019). However, these studies rarely distinguish how emotional competencies evolve throughout the life cycle or how they specifically manifest at advanced educational levels such as graduate studies.
Research examining the relationship between age and emotional intelligence (EI) has yielded heterogeneous and, at times, contradictory findings. While several studies suggest that emotional maturity increases with age enhancing key emotional competencies such as emotional repair, empathy, and regulation due to accumulated life experience and improved self-awareness (Caprara et al., 2022; Csikszentmihalyi and Nakamura, 2014; Zimmermann and Iwanski, 2014). On the other hand, some findings indicate that these competencies do not show significant variations across different age groups, thus raising questions about the universality of EI-related effects (López Sánchez et al., 2024; Suleimenova and Ivanova, 2018; Wegner et al., 2019). These inconsistencies underscore the need for further empirical analysis to clarify the nature and extent of age-related differences in emotional competencies, particularly within specific educational contexts.
The graduate education setting constitutes a critical yet insufficiently examined context within the broader field of EI research. At this academic stage, students often face heightened emotional and cognitive demands arising from rigorous performance expectations, greater levels of autonomy, complex academic and professional decision-making, and concurrent life transitions such as career progression and family responsibilities. Despite these unique stressors, the majority of empirical studies on EI have focused primarily on populations in primary, secondary, or undergraduate education. This has created a significant gap in the literature, limiting the understanding of how EI develops and functions among individuals engaged in advanced academic pursuits.
The lack of focused research on EI in graduate education not only constrains theoretical advancements but also impedes the formulation of effective pedagogical and institutional strategies aimed at supporting postgraduate students. As EI is increasingly recognized as a predictor of academic persistence, psychological wellbeing, leadership capabilities, and interpersonal competence, its integration into graduate training becomes essential. Addressing this research gap is therefore of both academic and practical relevance. This study seeks to explore the manifestation of EI in graduate students and to analyze the potential moderating role of age in its development. The findings are expected to contribute to a more refined understanding of emotional development in higher education and to inform the incorporation of evidence-based emotional skills programs within graduate curricula, ultimately supporting the formation of well-rounded professionals capable of navigating complex personal and professional environments.
In this context, the following research question is posed: >To what extent does age influence the perception, understanding, and Repair of emotions among graduate students at the Universidad Estatal of Milagro? In order to address this question, and grounded in the theoretical framework and empirical precedents, the following research hypotheses were formulated:
Age mediates the relationship between emotional repair and emotional attention in postgraduate students.
Age partially mediates the relationship between emotional clarity and emotional attention in postgraduate students.
To examine these assumptions, the study aimed to analyze the relationship between age and emotional intelligence among postgraduate students enrolled at the State University of Milagro. Specifically, the research focused on evaluating the dimensions of emotional perception (attention), emotional understanding (clarity), and emotional regulation (repair), with the objective of identifying significant interaction patterns. This analytical approach allows for the detection of underlying mechanisms through which age modulates emotional competencies, thereby contributing to a more nuanced understanding of affective development within the context of higher education.
2 Materials and methods
The study adopted a quantitative approach using a cross-sectional design and a descriptive-explanatory level, chosen for its ability to provide a precise snapshot of students’ emotional characteristics at a specific point in time. This design was particularly useful for identifying correlations between variables without the need for manipulation, which is ideal in educational settings where experimental interventions may be impractical. Despite its advantages in terms of efficiency and cost, it is important to recognize that the cross-sectional design does not allow for causal inferences, a limitation that the study addressed through a detailed analysis of correlations that could suggest, but not confirm, underlying causal dynamics.
The study population comprised 1,525 postgraduate students, who were selected through a stratified random sampling method. This approach ensured that each subgroup within the student demographic was represented equally, thus minimizing selection biases and enhancing the representativeness of the sample. This methodological choice was crucial for allowing the study’s findings to be generalizable to the broader population of postgraduate students, thereby strengthening the external validity of the results.
The composition of the sample included 236 men (15.5%) and 1,289 women (84.5%), reflecting the gender distribution typically observed in postgraduate settings. The age distribution was strategically categorized to provide a comprehensive analysis across a broad spectrum: 11.0% of participants were between 21 and 30 years old, 42.0% between 31 and 40 years, 32.9% between 41 and 50 years, and 14.2% were over 50 years old. This varied age distribution facilitated a detailed examination of how emotional intelligence manifests differently across age groups, offering a nuanced perspective on the developmental aspects of emotional intelligence in an educational context. By analyzing these variations, the study provided deeper insights into the complex interplay between age and emotional intelligence, enhancing our understanding of emotional competencies within a diverse educational environment.
For the collection of necessary data in the study on emotional intelligence, the Trait Meta-Mood Scale (TMMS-24), originally designed by Salovey et al. (1995), was administered. This questionnaire consists of 24 items that assess individual differences in the ability to be aware of and regulate one’s own emotions. Participants responded to the questionnaire using a 5-point Likert scale, where 1 corresponds to “Strongly Disagree” and 5 to “Strongly Agree.” It is worth noting that this instrument is open access and is under a Creative Commons license, ensuring its availability and accessibility for future research and studies in the field of emotional Repair. The TMMS-24 was selected due to its specific relevance and demonstrated applicability in academic contexts, as evidenced by studies conducted by researchers such as Moreira-Choez et al. (2024a). The decision to use the TMMS-24 was based not only on its validated structure but also on its extensive documentation of reliability and validity in comparable populations, making it an ideal tool for this research context.
Table 1 presents the reliability values obtained for this instrument, highlighting an overall Cronbach’s alpha of 0.914 and a McDonald’s omega of 0.913, confirming the high internal consistency of the scale. The individual dimensions of the TMMS-24 also showed robust reliability coefficients: emotional clarity reached 0.892 in both indices, emotional attention 0.871 and 0.878, and emotional repair 0.859 and 0.858, respectively. These high levels of reliability underscore the instrument’s capacity to consistently measure the intended emotional intelligence dimensions. The congruence between these coefficients further reinforces the homogeneity of the TMMS-24, validating its suitability for assessing emotional intelligence in educational and psychological contexts. The careful selection of the TMMS-24, backed by empirical evidence of its efficacy and relevance to the study’s target population, ensures that the measurement of emotional intelligence is precise and reflects the complex emotional dynamics experienced by graduate students. This meticulous approach to instrument selection enhances the study’s ability to generate reliable and impactful insights into the emotional competencies of its participants, significantly strengthening the study’s contribution to the existing body of literature on emotional intelligence.
TABLE 1
| Dimensions | Cronbach’s alpha | McDonald’s omega | Number of items |
| Total | 0.914 | 0.913 | 24 |
| Emotional attention | 0.871 | 0.878 | 8 |
| Emotional clarity | 0.892 | 0.892 | 8 |
| Emotional repair | 0.859 | 0.858 | 8 |
Reliability analysis (Cronbach’s alpha and McDonald’s omega) for emotional dimensions.
The questionnaire was administered digitally using Google Forms and distributed via WhatsApp, which facilitated broad participation while maintaining ethical integrity and confidentiality of the data collected. This digital approach ensured accessibility and convenience for all participants, promoting high response rates and minimizing potential self-selection biases. This method is particularly valuable in studies requiring extensive representativeness and data generalization to validate results at a population level.
Regarding the statistical analysis, rigorous procedures were implemented to ensure the reliability and validity of the collected data. Reliability measures such as Cronbach’s alpha and McDonald’s omega were used to assess the internal consistency of each dimension of the TMMS-24. Additionally, normality and homogeneity of variances tests were applied using the Kolmogorov–Smirnov and Levene tests, respectively, setting a significance level of 5%. This preliminary analysis was crucial for conducting an appropriate analysis of variance (ANOVA), which was complemented by post hoc Tukey tests to discern significant differences between age groups. Furthermore, effect sizes were calculated using Cohen’s d and partial η2, facilitating a clear interpretation of the practical significance of the findings. The use of Pearson’s correlation coefficient allowed for a detailed evaluation of the relationships between the evaluated emotional dimensions and the total questionnaire score, culminating in a comprehensive understanding of the emotional dynamics of postgraduate students.
3 Results and discussion
This section presents the results obtained from the statistical analysis of the instrument used to evaluate emotions in postgraduate students. Table 2 shows the quantitative descriptive values and acceptance thresholds of the questionnaire items. The results include means (M), standard deviations (SD), the categorization of acceptance thresholds, and Cronbach’s alpha values for each item. This analysis allowed for an evaluation of the psychometric quality of the items and their contribution to measuring the emotional dimensions.
TABLE 2
| No. | Items | M | SD | Threshold | Cronbach’s alpha | N |
| Emocional attention | ||||||
| 1 | I pay a lot of attention to feelings. | 4.25 | 0.91 | Acceptable | 0.912 | 1,525 |
| 2 | I usually worry a lot about how I feel. | 3.97 | 1.01 | Acceptable | 0.911 | 1,525 |
| 3 | I usually spend time thinking about my emotions. | 3.72 | 1.05 | Acceptable | 0.910 | 1,525 |
| 4 | I think it’s worth paying attention to my emotions and mood. | 4.18 | 0.96 | Acceptable | 0.910 | 1,525 |
| 5 | I let my feelings influence my thoughts. | 2.25 | 1.20 | Less acceptable | 0.921 | 1,525 |
| 6 | I constantly think about my mood. | 3.02 | 1.27 | Less acceptable | 0.913 | 1,525 |
| 7 | I often think about my feelings. | 3.29 | 1.16 | Less acceptable | 0.911 | 1,525 |
| 8 | I pay a lot of attention to how I feel. | 3.60 | 1.15 | Acceptable | 0.909 | 1,525 |
| Emotional clarity | ||||||
| 9 | I have a clear understanding of my feelings. | 4.22 | 0.92 | Acceptable | 0.910 | 1,525 |
| 10 | I can frequently define my feelings. | 3.98 | 0.94 | Acceptable | 0.910 | 1,525 |
| 11 | I almost always know how I feel. | 4.00 | 0.95 | Acceptable | 0.910 | 1,525 |
| 12 | I usually know my feelings about people. | 3.78 | 1.01 | Acceptable | 0.911 | 1,525 |
| 13 | I often notice my feelings in different situations. | 3.89 | 0.92 | Acceptable | 0.909 | 1,525 |
| 14 | I can always say how I feel. | 3.77 | 1.06 | Acceptable | 0.910 | 1,525 |
| 15 | Sometimes I can identify what my emotions are. | 3.64 | 1.09 | Acceptable | 0.910 | 1,525 |
| 16 | I can understand my feelings. | 3.88 | 0.96 | Acceptable | 0.909 | 1,525 |
| Emotional repair | ||||||
| 17 | Even when I feel sad, I usually maintain an optimistic outlook. | 4.12 | 0.94 | Acceptable | 0.911 | 1,525 |
| 18 | Even if I feel bad, I try to think of pleasant things. | 4.19 | 0.90 | Acceptable | 0.911 | 1,525 |
| 19 | When I feel sad, I think of all the pleasures in life. | 3.47 | 1.25 | Less acceptable | 0.913 | 1,525 |
| 20 | I try to have positive thoughts even when I feel bad. | 4.12 | 0.95 | Acceptable | 0.910 | 1,525 |
| 21 | If I overthink things, I try to calm myself. | 3.76 | 1.11 | Acceptable | 0.911 | 1,525 |
| 22 | I care about maintaining a good mood. | 3.93 | 1.08 | Acceptable | 0.910 | 1,525 |
| 23 | I feel very energetic when I am happy. | 4.48 | 0.78 | Acceptable | 0.912 | 1,525 |
| 24 | When I am angry, I try to change my mood. | 3.90 | 1.05 | Acceptable | 0.912 | 1,525 |
| Average | 3.81 | 1.02 | Acceptable | 0.911 | 1,525 | |
Quantitative descriptive statistics and acceptance thresholds for questionnaire items.
M, mean average score; SD, standard deviation.
The analysis of the results revealed a positive assessment of the emotional intelligence dimensions evaluated, with a general mean of M = 3.81 and a standard deviation of 1.02, indicating a favorable perception among students regarding their emotional competencies. In the emotional attention dimension, high scores were observed in items such as “I pay a lot of attention to my feelings” (M = 4.25; SD = 0.91) and “I think it’s worth paying attention to my emotions and mood” (M = 4.18; SD = 0.96), indicating an active disposition toward recognizing affective states. This trend is consistent with the findings of Salovey et al. (1995), who argue that attention to emotions represents the first step in effective emotional processing. However, the low score on the item “I let my feelings influence my thoughts” (M = 2.25; SD = 1.20) suggests lower acceptance of emotional influence on cognitive processes, possibly reflecting difficulty integrating emotional responses appropriately, particularly in academic pressure contexts (Gross, 2015).
Regarding emotional clarity, the results reflected high levels of emotional self-understanding, with items such as “I have a clear understanding of my feelings” (M = 4.22; SD = 0.92) and “I almost always know how I feel” (M = 4.00; SD = 0.95). These findings are in line with Finlay-Jones et al. (2015), who highlight that emotional clarity enhances the ability to anticipate and regulate emotional reactions, reducing the negative impact of stress. The consistency of responses within this subscale, supported by reliability coefficients above 0.90, confirms the internal consistency of the instrument and its appropriateness for the investigated context.
In terms of emotional repair, the data showed a strong tendency to maintain positive emotional states, particularly in items such as “I feel very energetic when I am happy” (M = 4.48; SD = 0.78) and “Even if I feel bad, I try to think of pleasant things” (M = 4.19; SD = 0.90). These responses reflect well-developed adaptive coping strategies, which are fundamental for psychological wellbeing among university populations (Koo, 2021; Shamionov et al., 2020). However, the item “When I feel sad, I think of all the pleasures in life” (M = 3.47; SD = 1.25) showed lower acceptability, suggesting that although students tend to maintain an optimistic attitude, some may struggle to activate more complex emotional regulation processes, especially during dysphoric states (Amin et al., 2024; Liu et al., 2019).
In this section, Table 3 presents the results of the ANOVA and Tukey’s HSD tests, including means, standard deviations, F values, significance (p), and categories identified through post hoc analysis. Additionally, multiple linear regression was used to measure the effect of the dimensions on the total emotional intelligence score, determining unstandardized and standardized beta coefficients (β) along with their respective goodness-of-fit tests. These analyses allowed for the comparison of mean differences and correlations in the dimensions of attention, clarity, and emotional Repair, as well as the total questionnaire score across different age groups.
TABLE 3
| Emotional dimensions | Age group | N | M | D.T | F | P | Tukey HSD 0.05 |
| Total emotional intelligence | 21–30 years | 167 | 90.90 | 14.35 | 2.057 | 0.104 | A |
| 31–40 years | 641 | 90.90 | 14.77 | A | |||
| 41–50 years | 501 | 91.27 | 13.62 | A | |||
| Over 50 years | 216 | 93.62 | 14.76 | A | |||
| Emocional attention | 21–30 years | 167 | 29.71 | 6.10 | 4.508 | 0.004 | A |
| 31–40 years | 641 | 28.27 | 6.34 | B | |||
| 41–50 years | 501 | 27.69 | 6.35 | B | |||
| Over 50 years | 216 | 28.62 | 6.35 | Ab | |||
| Emotional clarity | 21–30 years | 167 | 30.13 | 6.36 | 5.010 | 0.002 | B |
| 31–40 years | 641 | 30.83 | 6.11 | B | |||
| 41–50 years | 501 | 31.40 | 5.47 | Ab | |||
| Over 50 years | 216 | 32.24 | 5.85 | A | |||
| Emotional repair | 21–30 years | 167 | 31.05 | 6.31 | 3.209 | 0.022 | B |
| 31–40 years | 641 | 31.80 | 5.84 | Ab | |||
| 41–50 years | 501 | 32.18 | 5.42 | Ab | |||
| Over 50 years | 216 | 32.76 | 5.76 | A |
ANOVA and Tukey’s HSD analysis for emotional dimensions by age group.
N, number of participants; M, mean average score; SD, standard deviation; F, F-ratio; P, probability value, Tukey’s honestly significant difference test at a 5% significance level (Tukey HSD 0.05).
In the statistical analysis of the study, techniques such as ANOVA and Tukey HSD post hoc tests were used to assess differences in emotional intelligence scores across age groups, based on data that met necessary assumptions verified through the Kolmogorov–Smirnov and Levene’s tests for normality and homogeneity of variances. The results indicated no statistically significant differences in total emotional intelligence scores across age groups (F = 2.057; p = 0.104), suggesting that overall emotional intelligence remains relatively stable among age cohorts, aligning with previous studies that, although certain emotional dimensions may vary with age, suggest global emotional intelligence tends to remain consistent over time (Kafetsios, 2004; Keefer et al., 2013; Moreira-Choez et al., 2024b; Schutte et al., 1998; Tai and Abdull Kareem, 2019).
However, significant differences were observed in specific dimensions. In emotional attention, participants aged 21 to 30 years scored higher (M = 29.71; p = 0.004), significantly differing from older groups, particularly those aged 41 to 50 years (M = 27.69). This result suggests that younger individuals tend to pay more attention to their emotional states, which could be associated with greater introspection characteristic of this life stage (Carstensen et al., 2003; Murphy and Isaacowitz, 2008; Oehler et al., 2018).
In emotional clarity, participants over 50 years of age stood out with the highest scores (M = 32.24; p = 0.002), significantly differing from younger groups. This aligns with research associating accumulated experience with a greater understanding and management of emotions (Givon et al., 2020; Gkonou and Miller, 2021). Regarding emotional repair, participants over 50 years old also scored significantly higher (M = 32.76; p = 0.022), suggesting a greater capacity to recover positive emotional states. This finding aligns with studies emphasizing the role of maturity in developing effective emotional Repair strategies (Dryman and Heimberg, 2018; Meneghel et al., 2016; Young et al., 2019).
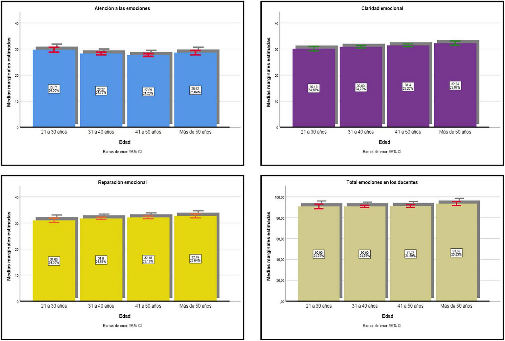
Figure 1 displays the distribution of estimated marginal means for the three core dimensions of emotional intelligence emotional attention, emotional clarity, and emotional repair as well as the overall emotional intelligence score, disaggregated by age groups: 21–30 years, 31–40 years, 41–50 years, and over 50 years. Error bars represent the 95% confidence intervals, allowing for the assessment of estimation precision and potential significant differences among groups.
FIGURE 1

Estimated marginal means of emotional intelligence dimensions by age group in postgraduate students.
In the emotional attention dimension, the highest score was observed in the 21–30 age group (M = 29.71; SE = 0.70), suggesting that younger postgraduate students tend to focus more on their emotional states. This trend may reflect the developmental stage characterized by increased emotional introspection and affective sensitivity. Previous studies have shown that younger individuals allocate more cognitive resources to recognizing emotions, although this does not always translate into effective emotional regulation (Peña-Sarrionandia et al., 2015; Tan et al., 2022).
With respect to emotional clarity, a progressive increase was noted with age, peaking in participants over 50 years old (M = 30.24; SE = 0.57). This result may be explained by the accumulation of life experiences that enhance the understanding and interpretation of emotional states. Research has demonstrated that emotional clarity tends to consolidate over time, fostering more adaptive emotional processing (Brackett et al., 2005; Tarbetsky et al., 2017).
In the case of emotional repair, the highest mean was also found in the group over 50 years old (M = 32.76; SE = 0.62), indicating a greater capacity to recover emotional balance following adverse experiences. This finding aligns with studies highlighting the role of maturity in strengthening emotional coping strategies, such as cognitive reappraisal and positive regulation (Moreira-Choez et al., 2024a; Willner et al., 2022).
Lastly, the analysis of total emotional intelligence scores revealed general stability across age groups, with slight variations that were not statistically significant. This suggests that although certain emotional competencies develop with age, global emotional intelligence may remain stable throughout the life span. Similar findings have been reported in previous research, indicating that the evolution of emotional intelligence may involve compensatory patterns, in which specific dimensions are enhanced while others stabilize (Crane and Hartwell, 2019; Zeidner et al., 2003).
In this section, Table 4 presents the effect sizes obtained for each emotional dimension and the total questionnaire, comparing age groups: 21 to 30 years, 31 to 40 years, 41 to 50 years, and over 50 years. The values of d and partial η2 categorize the effects as small, medium, or large, allowing for the identification of the practical significance of the differences observed between groups.
TABLE 4
| Dimensions | 21 to 30 vs. 31 to 40 | 21 to 30 vs. 41 to 50 | 21 to 30 vs. over 50 | 31 to 40 vs. 41 to 50 | 31 to 40 vs. over 50 | 41 to 50 vs. over 50 | ||||||
| Robustness test | d | η2 | D | η2 | d | η2 | d | η2 | d | η2 | d | η2 |
| Total emotional scores | – | – | 0.026 | 0.013 | 0.186 | 0.090 | 0.026 | 0.013 | 0.184 | 0.091 | 0.165 | 0.082 |
| Emotional attention | 0.231 | 0.115 | 0.324 | 0.160 | 0.175 | 0.087 | 0.091 | 0.045 | 0.055 | 0.028 | 0.146 | 0.073 |
| Emotional clarity | 0.112 | 0.056 | 0.214 | 0.106 | 0.345 | 0.170 | 0.098 | 0.049 | 0.235 | 0.117 | 0.148 | 0.074 |
| Emotional repair | 0.123 | 0.062 | 0.192 | 0.096 | 0.283 | 0.140 | 0.067 | 0.033 | 0.165 | 0.082 | 0.104 | 0.052 |
Effect sizes for emotional dimensions by age groups.
d, Cohen’s d; representing the effect size or magnitude of differences between groups. η2, partial eta squared; indicating the proportion of variance explained by the group differences in each comparison.
The results show that differences in total emotional scores between groups have small effect sizes (d < 0.2; partial η2 < 0.06) in most comparisons, indicating that general variations in emotional intelligence across age groups are limited. However, in specific dimensions such as emotional clarity and emotional repair, medium and large effects were observed in some comparisons. For instance, in emotional clarity, the comparison between the 21 to 30 age group and those over 50 years showed a large effect size (d = 0.345; partial η2 = 0.170), suggesting a notable advantage in emotional understanding among older participants. This finding aligns with studies highlighting how maturity and accumulated experience contribute to the development of more sophisticated emotional skills (Bailen et al., 2019; Blanchard-Fields, 2007; Hoemann et al., 2021).
In emotional attention, differences between age groups showed small to medium effect sizes, with younger participants (21 to 30 years) tending to score higher in this dimension compared to older groups. This finding may relate to younger individuals’ tendency to explore and focus on their emotions as part of personal development, aligning with research associating this life stage with greater emotional introspection (Brackett et al., 2019; Chen, 2016; Kahu et al., 2015).
Conversely, in the emotional repair dimension, participants over 50 years old scored higher than younger groups, with medium effect sizes (d = 0.283; partial η2 = 0.140). This supports evidence that the ability to regulate emotions and maintain positive emotional states improves with age, likely due to more effective strategies derived from experience (Gross, 2015; Puente-Martínez et al., 2021; Wilson and Saklofske, 2018).
Below is Table 5, which presents Pearson correlation coefficients and their bilateral significance levels (p < 0.01) for the dimensions of emotional intelligence (attention, clarity, and emotional repair) across different age groups. This statistical analysis facilitates understanding of how these emotional variables are related within each age cohort.
TABLE 5
| Emotional dimensions | Test | 21–30 years (n = 167) | 31–40 years (n = 641) | 41–50 years (n = 501) | Over 50 years (n = 216) |
| Total emotional scores | Pearson correlation | 1 | 1 | 1 | 1 |
| Sig. (bilateral) | |||||
| Emotional attention | Pearson correlation | 0.667** | 0.752** | 0.754** | 0.764** |
| Sig. (bilateral) | 0.000 | 0.000 | 0.000 | 0.000 | |
| Emotional clarity | Pearson correlation | 0.829** | 0.857** | 0.833** | 0.886** |
| Sig. (bilateral) | 0.000 | 0.000 | 0.000 | 0.000 | |
| Emotional repair | Pearson correlation | 0.795** | 0.815** | 0.788** | 0.822** |
| Sig. (bilateral) | 0.000 | 0.000 | 0.000 | 0.000 |
Pearson correlation in emotional dimensions by age group.
**The correlation is significant at the 0.01 level (bilateral).
The results demonstrated a perfect correlation (r = 1) for the total emotional scores of educators in all age groups, confirming the consistency and robustness of the instrument used to assess emotional dimensions. This finding reflects that emotional variable are highly interrelated within each age group, reinforcing the validity of the analysis.
Regarding specific dimensions, high and significant correlations were observed across all age groups. For emotional attention, educators over 50 years old showed the highest correlation (r = 0.764, p < 0.01), which may indicate a strengthening of this dimension with accumulated experience. This result aligns with studies associating age with an enhanced ability to identify and focus on emotions (Ebner and Johnson, 2010; Gonçalves et al., 2018; Isaacowitz et al., 2017).
Emotional clarity exhibited the highest correlations among the dimensions, with the maximum value recorded in the group over 50 years (r = 0.886, p < 0.01). This result underscores how experience and maturity contribute to a deeper and more structured understanding of emotions, as suggested by Le et al. (2024). Similarly, emotional repair showed significant correlations across all groups, once again highlighting the group over 50 years (r = 0.822, p < 0.01). This finding supports the hypothesis that this ability improves over time due to the development of more effective emotional Repair strategies (Aldao, 2013; Chen et al., 2022; Wright et al., 2024).
This section presents the results of the structural analysis of the relationships between the dimensions of emotional intelligence (attention, clarity, and emotional repair) and the total emotional score. The results are represented through a graphical model detailing correlation, determination coefficients, and statistical significance values, providing a comprehensive view of the interactions among the evaluated variables.
Figure 2 illustrates the relationships between the dimensions of emotional intelligence and the total emotional score. The model highlights standardized regression coefficients (β), determination coefficients (R2), and significance values (p), enabling identification of the magnitude and direction of the interactions among the variables.
FIGURE 2

Model of relationships between emotional intelligence dimensions and total emotional score.
The model shows that emotional attention, clarity, and repair have a significant and positive relationship with the total emotional score (β = 0.741; p < 0.001). This indicates that each of these dimensions contributes meaningfully to the global construct of emotional intelligence, consistent with previous research emphasizing their interdependence in the development of comprehensive emotional skills (Gutiérrez-Cobo et al., 2017; Harris et al., 2022; Moreira-Choez et al., 2024b).
Specifically, emotional clarity exhibited the highest determination coefficient (R2 = 0.637; p < 0.001), suggesting that this dimension has the greatest influence in predicting the total emotional score. This finding aligns with studies highlighting the importance of understanding emotions to regulate them effectively and improve emotional wellbeing (Casey et al., 2022; Gratz and Roemer, 2004; White and Ingram, 2023). In contrast, attention to emotions showed a lower determination coefficient (R2 = 0.321; p < 0.001), indicating a significant but more limited contribution compared to clarity and emotional repair.
The relationship between attention and emotional clarity (R2 = 0.415; p < 0.001) stands out for its importance, suggesting that paying attention to emotions facilitates their understanding. Moreover, the strong relationship between clarity and emotional repair (R2 = 0.637; p < 0.001) underscores how clarity in emotional understanding promotes more effective emotional Repair strategies, consistent with findings from Monteiro et al. (2014), Puertas-Molero et al. (2018) and González-Yubero et al. (2021).
Table 6 below presents the analysis of the mediating effects of age on the relationship between the dimensions of emotional intelligence. This exploration provides deeper insight into the mechanisms through which age modulates the connection between emotional clarity and repair in relation to emotional attention, offering a structural perspective that complements the previous correlational analysis.
TABLE 6
| Hypothesis | Direct coefficients | Standardized beta coefficients] | Standardized indirect effects (p) | Observed mediation |
| Emotional repair → age → emotional attention | 0.106** | 0.098 (ns) | 0.369 (ns) | Total |
| Emotional clarity → age → emotional attention | 0.378*** | 0.361*** | 0.008* | Partial |
Impact of emotions mediated by age.
*ns, not significant; **p < 0.01; ***p < 0.001.
The results presented in Table 6 reveal that age plays a total mediating role in the relationship between emotional repair and emotional attention, whereas in the case of emotional clarity, the mediating effect is partial. This finding suggests that the ability to repair negative emotional states a skill more developed in older individuals significantly influences how emotions are attended to, although this influence does not manifest directly (β = 0.098; ns), but rather through a more robust indirect effect (0.369; ns). This indicates a latent process likely shaped by accumulated experiences and more consolidated regulation mechanisms (Haidle and Schlaudt, 2020; Lane et al., 2015). In the case of emotional clarity, a significant direct relationship with emotional attention was observed (β = 0.361***), accompanied by a minimal indirect effect (0.008), supporting the existence of partial mediation. This pattern aligns with studies that have identified clarity as a key predictor in the ability to interpret, organize, and prioritize emotional experiences, thus contributing to the development of more functional attentional schemas (Elfenbein, 2007; Greenberg, 2023; Luminet et al., 2021).
Several studies have emphasized that, over time, individuals develop greater skill in emotional repair due to more frequent exposure to emotionally demanding situations, which strengthens their repertoire of coping strategies (Bonanno and Burton, 2013; Crane et al., 2019a; Crane et al., 2019b). This phenomenon may explain why age serves as a total mediator in the case of emotional repair: it is not emotional repair per se that determines emotional attention, but rather how this skill evolves over the life span and becomes embedded in attentional processes. These findings support the hypothesis that age represents a key modulatory factor in shaping emotional functioning, particularly when considering the interaction among specific components of emotional intelligence.
4 Conclusion
Emotional intelligence has been recognized as an essential component in the holistic development of postgraduate students, particularly in contexts of high academic demands. This study addressed the need to understand how age influences various emotional dimensions, aiming to provide empirical evidence to support the design of more effective and personalized educational strategies. Within this framework, the study aimed to analyze the relationship between age and emotional intelligence among postgraduate students at the State University of Milagro, evaluating the dimensions of perception, clarity, and emotional Repair. The results obtained provided answers to the research question by identifying significant patterns linking these variables.
Among the main findings, it was established that although overall emotional intelligence remained stable across all age groups, distinct variations emerged in its specific dimensions. Higher levels of emotional clarity and emotional repair were observed in participants over fifty years of age, which may indicate that life experience and emotional maturity contribute to more effective emotion management and understanding. In contrast, younger students exhibited greater emotional attention, suggesting a stronger focus on internal emotional states, characteristic of the early stages of emotional development.
These results suggest the need to implement differentiated educational strategies that address students’ emotional needs according to their age. For younger students, it would be appropriate to incorporate programs that enhance emotional regulation skills through structured techniques such as mindfulness, emotion recognition training, or stress management workshops. For older students, it would be beneficial to design learning environments that strengthen their emotional clarity and repair through the integration of leadership roles, collaborative learning, and peer mentoring processes. These personalized interventions would support emotional wellbeing and foster academic persistence and performance.
However, certain methodological limitations were identified. The use of non-probabilistic sampling, although stratified, may have affected the representativeness of the sample, limiting the generalizability of the conclusions. Moreover, the exclusive use of a single measurement instrument focused on intrapersonal aspects may not have captured the full complexity of emotional intelligence, particularly its interpersonal or behavioral components.
Future research should consider longitudinal approaches to examine the development of emotional competencies over time and include diverse assessment tools that allow for a multidimensional evaluation. These methodological improvements would contribute to a more robust and comprehensive understanding of emotional intelligence in higher education and provide stronger foundations for the design of educational programs that effectively respond to the emotional demands of postgraduate students.
Statements
Data availability statement
The original contributions presented in this study are included in this article/supplementary material, further inquiries can be directed to the corresponding author.
Ethics statement
The study was conducted in accordance with ethical research standards and institutional regulations. Although formal ethical review and approval were not required based on national legislation, informed consent was obtained from all participants prior to data collection. Participation was entirely voluntary and anonymous. No personally identifiable information or human images were collected or used in this study. The informed consent included a detailed explanation of the study’s objectives, procedures, and data confidentiality measures, ensuring that participants were aware of their rights and agreed to the processing of their responses for academic purposes. The informed consent form was digitally embedded at the beginning of the questionnaire to guarantee transparency and compliance with ethical standards.
Author contributions
JA-M: Conceptualization, Data curation, Formal Analysis, Writing – original draft, Writing – review and editing. MB-F: Conceptualization, Formal Analysis, Supervision, Writing – original draft, Writing – review and editing. E-ES: Conceptualization, Formal Analysis, Investigation, Methodology, Writing – original draft, Writing – review and editing. AG-R: Conceptualization, Investigation, Visualization, Writing – original draft, Writing – review and editing. ÁS: Data curation, Formal Analysis, Methodology, Resources, Software, Validation, Visualization, Writing – original draft, Writing – review and editing. TL: Data curation, Supervision, Visualization, Writing – original draft, Writing – review and editing, Conceptualization, Methodology. AU-R: Conceptualization, Formal Analysis, Methodology, Writing – original draft, Writing – review and editing. JM-C: Conceptualization, Data curation, Formal Analysis, Investigation, Methodology, Supervision, Visualization, Writing – original draft, Writing – review and editing.
Funding
The authors declare that no financial support was received for the research and/or publication of this article.
Conflict of interest
The authors declare that the research was conducted in the absence of any commercial or financial relationships that could be construed as a potential conflict of interest.
Generative AI statement
The authors declare that no Generative AI was used in the creation of this manuscript.
Publisher’s note
All claims expressed in this article are solely those of the authors and do not necessarily represent those of their affiliated organizations, or those of the publisher, the editors and the reviewers. Any product that may be evaluated in this article, or claim that may be made by its manufacturer, is not guaranteed or endorsed by the publisher.
References
1
AldaoA. (2013). The future of emotion regulation research.Perspect. Psychol. Sci.8155–172. 10.1177/1745691612459518
2
AminS. M.El-SayedM. M.El-MonshedA. H.KhedrM. A.AttaM. H. R. (2024). The hidden link: Dysmenorrhea, emotion regulation, and attitudes toward marriage in female nursing students.BMC Nurs.23:721. 10.1186/s12912-024-02341-w
3
BailenN. H.GreenL. M.ThompsonR. J. (2019). Understanding emotion in adolescents: A review of emotional frequency, intensity, instability, and clarity.Emot. Rev.1163–73. 10.1177/1754073918768878
4
Blanchard-FieldsF. (2007). Everyday problem solving and emotion.Curr. Direct. Psychol. Sci.1626–31. 10.1111/j.1467-8721.2007.00469.x
5
BonannoG. A.BurtonC. L. (2013). Regulatory flexibility.Perspect. Psychol. Sci.8591–612. 10.1177/1745691613504116
6
BrackettM. A.BaileyC. S.HoffmannJ. D.SimmonsD. N. (2019). Ruler: A theory-driven, systemic approach to social, emotional, and academic learning.Educ. Psychol.54144–161. 10.1080/00461520.2019.1614447
7
BrackettM. A.RiversS. E.SaloveyP. (2011). Emotional intelligence: Implications for personal, social, academic, and workplace success.Soc. Personal. Psychol. Comp.588–103. 10.1111/j.1751-9004.2010.00334.x
8
BrackettM. A.WarnerR. M.BoscoJ. S. (2005). Emotional intelligence and relationship quality among couples.Pers. Relationsh.12197–212. 10.1111/j.1350-4126.2005.00111.x
9
CapraraM.GerbinoM.MebaneM. E.Ramirez-UclésI. M. (2022). Self-efficacy beliefs in managing positive emotions: Associations with positive affect, negative affect, and life satisfaction across gender and ages.Front. Hum. Neurosci.16:927648. 10.3389/fnhum.2022.927648
10
CarstensenL. L.FungH. H.CharlesS. T. (2003). Socioemotional selectivity theory and the regulation of emotion in the second half of life.Motiv. Emot.27103–123. 10.1023/A:1024569803230
11
CarusoD. R.MayerJ. D.BryanV.PhillipsK. G.SaloveyP. (2019). “Measuring emotional and personal intelligence,” in Positive psychological assessment: A handbook of models and measures, 2nd Edn, edsGallagherM.LópezS. (Washington, DC: American Psychological Association), 233–245. 10.1037/0000138-015
12
CaseyC.HarveyO.TaylorJ.KnightF.TrenowethS. (2022). Exploring the wellbeing and resilience of postgraduate researchers.J. Further Higher Educ.46850–867. 10.1080/0309877X.2021.2018413
13
ChenJ. (2016). Understanding teacher emotions: The development of a teacher emotion inventory.Teach. Teach. Educ.5568–77. 10.1016/j.tate.2016.01.001
14
ChenL.LiX.XingL. (2022). From mindfulness to work engagement: The mediating roles of work meaningfulness, emotion regulation, and job competence.Front. Psychol.13:997638. 10.3389/fpsyg.2022.997638
15
ClearyM.VisentinD.WestS.LopezV.KornhaberR. (2018). Promoting emotional intelligence and resilience in undergraduate nursing students: An integrative review.Nurse Educ. Today68112–120. 10.1016/j.nedt.2018.05.018
16
CraneB.HartwellC. J. (2019). Global talent management: A life cycle view of the interaction between human and social capital.J. World Bus.5482–92. 10.1016/j.jwb.2018.11.002
17
CraneM. F.BogaD.KarinE.GucciardiD. F.RapportF.CallenJ.et al (2019a). Strengthening resilience in military officer cadets: A group-randomized controlled trial of coping and emotion regulatory self-reflection training.J. Consult. Clin. Psychol.87125–140. 10.1037/ccp0000356
18
CraneM. F.SearleB. J.KangasM.NwiranY. (2019b). How resilience is strengthened by exposure to stressors: The systematic self-reflection model of resilience strengthening.Anxiety Stress Cop.321–17. 10.1080/10615806.2018.1506640
19
CsikszentmihalyiM.NakamuraJ. (2014). “The role of emotions in the development of wisdom,” in Applications of flow in human development and education, ed.CsikszentmihalyiM. (Netherlands: Springer), 99–116. 10.1007/978-94-017-9094-9_4
20
DrymanM. T.HeimbergR. G. (2018). Emotion regulation in social anxiety and depression: A systematic review of expressive suppression and cognitive reappraisal.Clin. Psychol. Rev.6517–42. 10.1016/j.cpr.2018.07.004
21
EbnerN. C.JohnsonM. K. (2010). Age-group differences in interference from young and older emotional faces.Cogn. Emot.241095–1116. 10.1080/02699930903128395
22
ElfenbeinH. A. (2007). 7 Emotion in organizations.Acad. Manag. Ann.1315–386. 10.1080/078559812
23
ExtremeraN.ReyL. (2015). The moderator role of emotion regulation ability in the link between stress and well-being.Front. Psychol.6:1632. 10.3389/fpsyg.2015.01632
24
Finlay-JonesA. L.ReesC. S.KaneR. T. (2015). Self-Compassion, emotion regulation and stress among australian psychologists: Testing an emotion regulation model of self-compassion using structural equation modeling.PLoS One10:e0133481. 10.1371/journal.pone.0133481
25
GivonE.Itzhak-RazA.Karmon-PresserA.DanieliG.MeiranN. (2020). How does the emotional experience evolve? Feeling generation as evidence accumulation.Emotion20271–285. 10.1037/emo0000537
26
GkonouC.MillerE. R. (2021). An exploration of language teacher reflection, emotion labor, and emotional capital.TESOL Q.55134–155. 10.1002/tesq.580
27
GonçalvesA. R.FernandesC.PasionR.Ferreira-SantosF.BarbosaF.Marques-TeixeiraJ. (2018). Effects of age on the identification of emotions in facial expressions: A meta-analysis.PeerJ6:e5278. 10.7717/peerj.5278
28
González-YuberoS.Lázaro-VisaS.PalomeraR. (2021). Personal variables of protection against cannabis use in adolescence: The roles of emotional intelligence, coping styles, and assertiveness as associated factors.Int. J. Environ. Res. Public Health18:5576. 10.3390/ijerph18115576
29
GratzK. L.RoemerL. (2004). Multidimensional assessment of emotion regulation and dysregulation: Development, factor structure, and initial validation of the difficulties in emotion regulation scale.J. Psychopathol. Behav. Assess.2641–54. 10.1023/B:JOBA.0000007455.08539.94
30
GreenbergL. (2023). Changing emotion with emotion.Person-Centered Exp. Psychotherap.22368–383. 10.1080/14779757.2023.2234966
31
GrossJ. J. (2015). Emotion regulation: Current status and future prospects.Psychol. Inq.261–26. 10.1080/1047840X.2014.940781
32
Gutiérrez-CoboM. J.CabelloR.Fernández-BerrocalP. (2017). The three models of emotional intelligence and performance in a hot and cool go/no-go task in undergraduate students.Front. Behav. Neurosci.11:33. 10.3389/fnbeh.2017.00033
33
HaidleM. N.SchlaudtO. (2020). Where does cumulative culture begin? a plea for a sociologically informed perspective.Biol. Theory15161–174. 10.1007/s13752-020-00351-w
34
HalimiF.AlShammariI.NavarroC. (2021). Emotional intelligence and academic achievement in higher education.J. Appl. Res. Higher Educ.13485–503. 10.1108/JARHE-11-2019-0286
35
HarrisV. W.AndersonJ.ViscontiB. (2022). Social emotional ability development (SEAD): An integrated model of practical emotion-based competencies.Motiv. Emot.46226–253. 10.1007/s11031-021-09922-1
36
HoemannK.NielsonC.YuenA.GureraJ. W.QuigleyK. S.BarrettL. F. (2021). Expertise in emotion: A scoping review and unifying framework for individual differences in the mental representation of emotional experience.Psychol. Bull.1471159–1183. 10.1037/bul0000327
37
HumphreyN.CurranA.MorrisE.FarrellP.WoodsK. (2007). Emotional intelligence and education: A critical review.Educ. Psychol.27235–254. 10.1080/01443410601066735
38
IsaacowitzD. M.LivingstoneK. M.CastroV. L. (2017). Aging and emotions: Experience, regulation, and perception.Curr. Opin. Psychol.1779–83. 10.1016/j.copsyc.2017.06.013
39
KafetsiosK. (2004). Attachment and emotional intelligence abilities across the life course.Personal. Individ. Differ.37129–145. 10.1016/j.paid.2003.08.006
40
KahuE.StephensC.LeachL.ZepkeN. (2015). Linking academic emotions and student engagement: Mature-aged distance students’ transition to university.J. Further Higher Educ.39481–497. 10.1080/0309877X.2014.895305
41
KeeferK. V.HoldenR. R.ParkerJ. D. A. (2013). Longitudinal assessment of trait emotional intelligence: Measurement invariance and construct continuity from late childhood to adolescence.Psychol. Assess.251255–1272. 10.1037/a0033903
42
KooK. K. (2021). Am i welcome here? campus climate and psychological well-being among students of color.J. Stud. Affairs Res. Practice58196–213. 10.1080/19496591.2020.1853557
43
KotsouI.MikolajczakM.HeerenA.GrégoireJ.LeysC. (2019). Improving emotional intelligence: A systematic review of existing work and future challenges.Emot. Rev.11151–165. 10.1177/1754073917735902
44
LaneR. D.RyanL.NadelL.GreenbergL. (2015). Memory reconsolidation, emotional arousal, and the process of change in psychotherapy: New insights from brain science.Behav. Brain Sci.38:e1. 10.1017/S0140525X14000041
45
LeT. T.PhamT. T.HuaH. H. (2024). Vietnamese EFL teachers’ insights into the impact of their emotional maturity on students’ engagement.J. Contemp. Lang. Res.344–52. 10.58803/jclr.v3i2.99
46
LiuX.PingS.GaoW. (2019). Changes in undergraduate students’ psychological well-being as they experience university life.Int. J. Environ. Res. Public Health16:2864. 10.3390/ijerph16162864
47
López SánchezL.Salcedo PlazasL.Rodríguez ArizaL. (2024). The influence of emotional competencies on the entrepreneurship intentions of university students in Colombia.Sustainability16:9933. 10.3390/su16229933
48
LuminetO.NielsonK. A.RidoutN. (2021). Cognitive-emotional processing in alexithymia: An integrative review.Cogn. Emot.35449–487. 10.1080/02699931.2021.1908231
49
MeneghelI.SalanovaM.MartínezI. M. (2016). Feeling good makes us stronger: How team resilience mediates the effect of positive emotions on team performance.J. Happ. Stud.17239–255. 10.1007/s10902-014-9592-6
50
MonteiroN. M.BalogunS. K.OratileK. N. (2014). Managing stress: The influence of gender, age and emotion regulation on coping among university students in Botswana.Int. J. Adoles. Youth19153–173. 10.1080/02673843.2014.908784
51
Moreira-ChoezJ. S.Lamus, de RodríguezT. M.Espinoza-SolísE. J.Castro-CastilloG. J. (2024a). Comparative analysis of psychological well-being and emotional education in graduate students.F1000Research12:1403. 10.12688/f1000research.141849.2
52
Moreira-ChoezJ. S.Lamus de RodríguezT. M.Lapo-PalaciosM. ÁCampuzano-RodríguezS. M.Guevara-SandoyaJ. A.Acosta de MavárezA. (2024b). Social impact of emotional education in the development of socioemotional competences of university teachers.Soc. Impacts4:100080. 10.1016/j.socimp.2024.100080
53
MurphyN. A.IsaacowitzD. M. (2008). Preferences for emotional information in older and younger adults: A meta-analysis of memory and attention tasks.Psychol. Aging23263–286. 10.1037/0882-7974.23.2.263
54
O’ConnorP. J.HillA.KayaM.MartinB. (2019). The measurement of emotional intelligence: A critical review of the literature and recommendations for researchers and practitioners.Front. Psychol.10:1116. 10.3389/fpsyg.2019.01116
55
OehlerA.WendtS.WedlichF.HornM. (2018). Investors’ personality influences investment decisions: Experimental evidence on extraversion and neuroticism.J. Behav. Finance1930–48. 10.1080/15427560.2017.1366495
56
Peña-SarrionandiaA.MikolajczakM.GrossJ. J. (2015). Integrating emotion regulation and emotional intelligence traditions: A meta-analysis.Front. Psychol.6:160. 10.3389/fpsyg.2015.00160
57
Puente-MartínezA.Prizmic-LarsenZ.LarsenR. J.Ubillos-LandaS.Páez-RoviraD. (2021). Age differences in emotion regulation during ongoing affective life: A naturalistic experience sampling study.Dev. Psychol.57126–138. 10.1037/dev0001138
58
Puertas-MoleroP.Zurita-OrtegaF.Chacón-CuberosR.Martínez-MartínezA.Castro-SánchezM.González-ValeroG. (2018). An explanatory model of emotional intelligence and its association with stress, burnout syndrome, and non-verbal communication in the university teachers.J. Clin. Med.7:524. 10.3390/jcm7120524
59
Romero CaballeroS.Hernández SánchezI.Barrera VillarrealR.Mendoza RojasA. (2022). Inteligencia emocional y desempeño académico en el área de las matemáticas durante la pandemia.Rev. Ciencias Soc.28110–121. 10.31876/rcs.v28i2.37929
60
SaloveyP.MayerJ. D.GoldmanS. L.TurveyC.PalfaiT. P. (1995). “Emotional attention, clarity, and repair: Exploring emotional intelligence using the trait meta-mood scale,” in Emotion, disclosure, and health, ed.PennebakerJ. W. (Washington DC: American Psychological Association).
61
SchutteN. S.MalouffJ. M.HallL. E.HaggertyD. J.CooperJ. T.GoldenC. J.et al (1998). Development and validation of a measure of emotional intelligence.Personal. Individ. Differ.25167–177. 10.1016/S0191-8869(98)00001-4
62
ShamionovR. M.GrigoryevaM. V.GrininaE. S.SozonnikA. V. (2020). Characteristics of academic adaptation and subjective well-being in university students with chronic diseases.Eur. J. Invest. Health Psychol. Educ.10816–831. 10.3390/ejihpe10030059
63
ShapovalovaO. E.EmelyanovaI. A.KarynbaevaO. V.BorisovaE. A.ShklyarN. V. (2022). “Emotional intelligence of students mastering the profession of a defectologist,” in Proceedings of the AmurCon 2021: International scientific conference, european proceedings of social and behavioural sciences, ed.BogachenkoN. G. (Brussels: European Publisher), 836–842.
64
SuleimenovaA.IvanovaO. (2018). Emotional competence and individual style of action of future teachers of higher education in the system of education for sustainable development.J. Teach. Educ. Sustainabil.2044–63. 10.2478/jtes-2018-0014
65
TaiM. K.Abdull KareemO. (2019). The relationship between emotional intelligence of school principals in managing change and teacher attitudes towards change.Int. J. Leadersh. Educ.22469–485. 10.1080/13603124.2018.1481535
66
TanT. Y.WachsmuthL.TugadeM. M. (2022). Emotional nuance: Examining positive emotional granularity and well-being.Front. Psychol.13:715966. 10.3389/fpsyg.2022.715966
67
TarbetskyA. L.MartinA. J.CollieR. J. (2017). “Social and emotional learning, social and emotional competence, and students’ academic outcomes: The roles of psychological need satisfaction, adaptability, and buoyancy,” in Social and emotional learning in australia and the Asia-Pacific, edsFrydenbergE.MartinA. J.CollieR. J. (Singapore: Springer), (17–37). 10.1007/978-981-10-3394-0_2
68
TriguerosR.Aguilar-ParraJ. M.CangasA. J.BermejoR.FerrandizC.López-LiriaR. (2019). Influence of emotional intelligence, motivation and resilience on academic performance and the adoption of healthy lifestyle habits among adolescents.Int. J. Environ. Res. Public Health16:2810. 10.3390/ijerph16162810
69
WegnerD.ThomasE.TeixeiraE. K.MaehlerA. E. (2019). University entrepreneurial push strategy and students’ entrepreneurial intention.Int. J. Entrepreneurial Behav. Res.26307–325. 10.1108/IJEBR-10-2018-0648
70
WhiteW.IngramR. (2023). Reconceptualising postgraduate taught student experience through the lens of emotions and well-being: Moving from explanatory methodology to revelatory.Int. J. Educ. Res.117:102135. 10.1016/j.ijer.2022.102135
71
WillnerC. J.HoffmannJ. D.BaileyC. S.HarrisonA. P.GarciaB.NgZ. J.et al (2022). The development of cognitive reappraisal from early childhood through adolescence: A systematic review and methodological recommendations.Front. Psychol.13:875964. 10.3389/fpsyg.2022.875964
72
WilsonC. A.SaklofskeD. H. (2018). The relationship between trait emotional intelligence, resiliency, and mental health in older adults: The mediating role of savouring.Aging Mental Health22646–654. 10.1080/13607863.2017.1292207
73
WrightR. N.AdcockR. A.LaBarK. S. (2024). Learning emotion regulation: An integrative framework.Psychol. Rev.132173–203. 10.1037/rev0000506
74
YoungK.SandmanC.CraskeM. (2019). Positive and negative emotion regulation in adolescence: Links to anxiety and depression.Brain Sci.9:76. 10.3390/brainsci9040076
75
ZeidnerM.MatthewsG.RobertsR. D.MacCannC. (2003). Development of emotional intelligence: Towards a multi-level investment model.Hum. Dev.4669–96. 10.1159/000068580
76
ZimmermannP.IwanskiA. (2014). Emotion regulation from early adolescence to emerging adulthood and middle adulthood.Int. J. Behav. Dev.38182–194. 10.1177/0165025413515405
Summary
Keywords
emotional intelligence, age differences, emotional clarity, emotional repair, emotional attention, graduate education, psychological wellbeing, higher education students
Citation
Aragundi-Moncada JG, Bueno-Fernández MM, Espinoza-Solís E, Guillén-Rodríguez AP, Sabando García ÁR, Lamus de Rodríguez TM, Ultreras-Rodríguez A and Moreira-Choez JS (2025) The relationship between age and emotional intelligence in postgraduate students. Front. Educ. 10:1558339. doi: 10.3389/feduc.2025.1558339
Received
10 January 2025
Accepted
28 April 2025
Published
23 July 2025
Volume
10 - 2025
Edited by
Sarfraz Aslam, UNITAR International University, Malaysia
Reviewed by
Siti Nur Syuhada Musa, Putra Malaysia University, Malaysia
Victor Ezeonwumelu, Nnamdi Azikiwe University, Nigeria
Updates
Copyright
© 2025 Aragundi-Moncada, Bueno-Fernández, Espinoza-Solís, Guillén-Rodríguez, Sabando García, Lamus de Rodríguez, Ultreras-Rodríguez and Moreira-Choez.
This is an open-access article distributed under the terms of the Creative Commons Attribution License (CC BY). The use, distribution or reproduction in other forums is permitted, provided the original author(s) and the copyright owner(s) are credited and that the original publication in this journal is cited, in accordance with accepted academic practice. No use, distribution or reproduction is permitted which does not comply with these terms.
*Correspondence: Jenniffer Sobeida Moreira-Choez, jmoreirac10@unemi.edu.ec
Disclaimer
All claims expressed in this article are solely those of the authors and do not necessarily represent those of their affiliated organizations, or those of the publisher, the editors and the reviewers. Any product that may be evaluated in this article or claim that may be made by its manufacturer is not guaranteed or endorsed by the publisher.