Abstract
Agricultural practices are significant to increase the soil nitrogen and organic carbon sequestration to adapt and mitigate the climate change in a recent climate change scenario. With this background, we carried out research in the Longzhong Loess Plateau region of China. This research was conducted under a randomized complete block design, with three replicates. Adopt the method of combining outdoor positioning field test with indoor index measurement to explore the soil bulk density (BD), nitrogen components (viz., nitrate nitrogen (NO3−-N), ammonia nitrogen (NH4+-N), total nitrogen (TN), microbial biomass nitrogen (MBN) and nitrogen storage (NS), and carbon components [viz., soil organic carbon (SOC), easily oxidized organic carbon (EOC), microbial biomass carbon (MBC) and carbon storage (CS), carbon pool index (CPI), carbon pool activity (A) and carbon pool activity index (AI) and carbon pool management index (CPMI)] and C/N, ratio under different tillage practices [namely., conventional tillage (CT), no tillage (NT), straw mulch with conventional tillage (CTS) and straw mulch with no tillage (NTS)]. Our results depicted that different conservation tillage systems significantly increased soil BD over conventional tillage. Compared with CT, the NTS, CTS and NT reduced soil NO3−-N, increased the soil NH4+-N, TN, MBN and NS, among them, NS under NTS, CTS and NT treatment was 25.0, 14.8 and 13.1% higher than that under CT treatment, respectively. Additionally, conservation tillage significantly increased SOC, EOC, MBC, CS, CPI, AI, CPMI and C/N, ratio than CT. Inside, CS under NTS, CTS and NT treatment was 19.4, 12.1 and 13.4% higher than that under CT treatment, respectively. Moreover, during the 3-year study period, the CPMI under NTS treatment was the largest (139.26, 140.97, and 166.17). Consequently, we suggest that NTS treatment was more sustainable strategy over other investigated conservation tillage practices and should be recommended as climate mitigation technique under climate change context.
1. Introduction
In terrestrial ecosystems, soil carbon and nitrogen pools play a significant role in the biochemical cycle. Nitrogen and organic carbon are not only important soil quality indicators for crop production, however increase of their storages can reduce the increase of atmospheric CO2 and N2O concentration in the atmosphere resultant to decrease the greenhouse effect (Nath et al., 2017). Currently, ecological environment and climate change, the research on soil carbon and nitrogen pool is more extensive (Eduardo et al., 2019). Soil carbon pool is the largest organic carbon pool in terrestrial ecosystem, which is not only the “sink” but also the “source” of CO2 (Srivastava et al., 2016, 2020). Due to the huge storage capacity of soil organic carbon (about 1,300 ~ 2000 pg; Li et al., 2019), which is mainly distributed on the surface of the soil and active exchange with atmosphere, the small change of its storage can lead to the large fluctuation of the concentration of greenhouse gasses such as CO2 and then affect the global climate change (Huang et al., 2018). In the farmland ecosystem, conventional tillage practice will destroy soil aggregates and decompose soil organic carbon by exposing it to microorganisms (Shi et al., 2017; Raghavendra et al., 2021; Zhang et al., 2022). Additionally, the mechanical disturbance of farming methods will strengthen soil respiration (Zhang et al., 2016). This carbon will be released into the atmosphere through emission, resulting in the greenhouse effect. The carbon pool management index (CPMI) broadly reflects the soil carbon pool changes and carbon pool activity, and is often used to characterize the status of soil carbon pool under different backgrounds (Liu et al., 2017; Jiang et al., 2021). Consequently, the impact of soil carbon pool and its dynamic changes on the stability and sustainable development of agroecosystem has become a scientific hotspot in the international geoscience, ecology and environmental circles. With the international community’s attention to the fixation of CO2 and N2O in farmland soil, there are more and more reports on the storage of carbon and nitrogen in farmland soil.
Due to the fragile ecological environment, large interannual variation of precipitation, poor stability of agricultural production system, low and unstable output in the Loess Plateau, it has become one of the key research areas in the hot fields of ecology and related sciences (Ma et al., 2020). Conventional tillage and other unreasonable cultivation measures have exacerbated the crop production damage, resulting in different problems such as barren farmland soil, low land carrying capacity and increased greenhouse gas emissions on the Loess Plateau (Hao et al., 2021). Conservation tillage has become a sustainable practice to protect farmland, improve land sustainability and stability because it can reduce soil erosion, improve soil physical and chemical properties, reduce the mineralization and decomposition of organic matter, help soil carbon and nitrogen sequestration and improve soil quality (Su et al., 2006; Yang et al., 2015). According to the statistics of FAO, conservation tillage has been promoted in more than 70 countries, with a cultivated area of more than 1.7 × 108 hm2, which has also been widely popularized in China (Chen et al., 2009). Previous studies have shown that conservation tillage such as no tillage and straw mulching can significantly affect the content of organic carbon and nutrients in the surface and deep soil, promote the formation of soil water stable aggregates, improve soil erosion resistance and carbon and nitrogen sequestration, so as to achieve carbon pool stability (Issaka et al., 2019; Zhang et al., 2021). Kushwa et al. (2016) studied the farmland soil in central India, they found that the conservation tillage based on no tillage and less tillage was more conducive to the accumulation of soil organic carbon, total nitrogen (TN) and available phosphorus content than traditional tillage, but it would not have a significant impact on the yield of soybean wheat rotation system, but saved energy and time. Stockfisch et al. (1999) found in Saxony, Germany, that long-term shallow tillage will make organic carbon and microbial biomass nitrogen (MBN) enriched in the soil surface, while long-term less tillage or no tillage will make the stratification and accumulation of soil organic matter disappear completely. Wang et al. (2018) observed that conservation tillage system can improve the soil organic carbon accumulation and encouraging to land restoration. Compared with CT, no tillage and straw mulching can increase soil carbon storage, especially the combination of the straw with no tillage is the most significant; Zhang et al. (2015) noted that conservation tillage increased the content of organic carbon and TN in the upper soil, had no significant effect on the deep soil, and did not increase the storage of carbon and nitrogen in the soil profile during field experiment of the double cropping system of winter wheat and corn in Beijing, China. Peng et al. (2011) recorded in the study of rice cultivation in Sichuan basin that compared with traditional rotation, no tillage ridge cultivation can significantly increase the surface soil organic carbon and active carbon. Under no tillage ridge cultivation, the soil CPMI is improved, nonetheless it is reduced under traditional rotation, and conservation tillage improves the quality of rice soil. In the study of rain fed agricultural areas, some scholars found that no tillage, straw mulching and less tillage were helpful to the accumulation of soil active carbon, and significantly improved the soil water holding capacity and CPMI (Dong et al., 2021). To some extent, these studies have revealed the correlation between farming management and soil carbon and nitrogen content and storage, inversely there is a lack of long-term monitoring of conservation tillage, especially in the ecologically fragile area of the Loess Plateau. At present, the research on the impact of tillage methods and straw returning on the change of soil carbon and nitrogen pool in this area is insufficient, and the relevant mechanism is still unclear, which seriously hinders the sustainable development of local agriculture. Consequently, it is necessary to explore the impact mechanism of sustainable conservation tillage on farmland soil carbon and nitrogen storage and CPMI in the Loess Plateau, in order to provide theoretical and practical basis for formulating reasonable agricultural farming measures and promoting the sustainable development of agriculture in this area.
In order to solve these problems, we studied the effects of sustainable conservation tillage on soil carbon and nitrogen storage and CPMI in the wheat field on a Loess Plateau, this study will provide theoretical basis and basic data for understanding the dynamic changes of farmland soil organic carbon and nitrogen storage and the carbon and nitrogen sequestration potential of conservation tillage measures. For this reason, we put forward some assumptions: (1) The implementation of sustainable conservation tillage may positively affect the content of carbon and nitrogen components in the soil by reducing the disturbance to the soil and improving the soil texture (Wang H. Y. et al., 2021) (2) Sustainable conservation tillage may enhance soil compactness, increase soil organic carbon and TN content, and then increase soil carbon and nitrogen storages (Chen et al., 2022); (3) Sustainable conservation tillage may significantly affect soil carbon pool, compared with traditional tillage, it will improve CPMI and has good carbon and nitrogen sequestration potential (Yadav et al., 2021). We believe that this study will contribute to the sustainable development of the regional farmland ecosystem.
2. Materials and methods
2.1. Site description
This experiment was conducted at the dry farming experiment station of Gansu Agricultural University in Dingxi, Gansu Province (35°64′N, 104°64′E; Figure 1), which is a typical semi-arid rainfed farming area with an average altitude of 2000 m, an average annual temperature of 6.4°C, an average annual evaporation of 1,531 mm and a frost-free period of about 140 d. The average annual rainfall was 409.5 mm and the average rainfall during the reproductive period was 302.9 mm (Sadiq et al., 2021).
Figure 1

The geographical location map of the study area.
The eolian soil of research area is a Huangmian sandy loam in texture, low in organic carbon content with slightly alkaline pH and is classified as a Calcaric Cambisol (Alhassan et al., 2021). It is the main cropping soil type in the area and dominant soils on the Loess Plateau belt. Prior to this study, the main soil physical and chemical quality indicators collected from the 0–30 cm soil layer in March 2019 are shown in Table 1. The northern China Loess Plateau particularly Dingxi belt had a long history of wheat farming under conventional tillage practice which comprises inversion of soil and several operations for soil smoothing. Crop-straw mainly wheat stubble was continually removed earlier to the next crop cycle.
Table 1
| Soil property | Values | Measurement method |
|---|---|---|
| NO3− -N (mg kg−1) | 25.72 ± 0.3 | Colorimetric method |
| NH4+-N (mg kg−1) | 11.38 ± 0.5 | Colorimetric method |
| TN (g kg−1) | 0.58 ± 0.04 | Semimicro-Kjeldahl method |
| TP (mg kg1) | 0.43 ± 0.03 | Colorimetric method |
| TK (g kg−1) | 18.50 ± 0.05 | Colorimetric method |
| SOC (g kg−1) | 5.75 ± 0.6 | Walkley-Black dichromate oxidation |
| SWC (%) | 14.75 ± 0.5 | Oven-dry method |
| B.D (g cm−3) | 1.35 ± 0.04 | Core sampler method |
| Soil texture | Sandy-loam | Hydrometer method |
Determination of basic soil indicators in the 0–30 cm soil layer of spring wheat prior to planting in 2019.
NO3− -N, nitrate nitrogen; NH4+-N, ammonium nitrogen; TN, total nitrogen; TP, total phosphorous; TK, total potassium; SOC, organic carbon; SWC, gravimetric soil water content; B.D, soil bulk density.
2.2. Experimental design
The research setup was started in 2016 under tillage practices. This paper presents the results from 2019 to 2021. Four tillage treatments were laid out in this study, all using a completely randomized block design. The treatments were conventional tillage (CT), no-tillage (NT), conventional tillage with straw mulch (CTS) and no-tillage with straw mulch (NTS). Each treatment was designed with three replicated plots, making a total of 12 plots with a plot size of 4 m × 6 m. The description of each treatment is shown in Table 2. Spring wheat “Dingxi 42” often planted by local farmers was selected as the test variety. We used 150 kg·ha−2 diammonium phosphate (N + P2O5) and 62.5 kg·ha−2 urea (46%) as a base fertilizer applied at sowing. To avoid edge effects between plots, each plot was separated by a 0.5 m wide barrier strip. Crop was sowing by 25 March and harvested by 1 August each year.
Table 2
| Treatment | Operation |
|---|---|
| CT | Pre-planting “three tillage and two purfling” treatment in line with local farming experience |
| NT | No tillage all year round, sowing is done in one go with a no-till planter |
| CTS | Tillage is the same as for CT, with the straw from the previous crop guillotined to 10–15 cm after sowing and evenly mulched over the original plot at a rate of 4,000 kg·hm−2 |
| NTS | Direct planting as in NT with no crop planter. With the straw from the previous crop guillotined to 10–15 cm after sowing and evenly mulched over the original plot at a rate of 4,000 kg·hm−2. |
Specific instructions for the implementation of each tillage method.
2.3. Sample collection and measurements
During the harvest of spring wheat every year from 2019 to 2021, the soil samples are collected. Five randomly selected sampling points in an ‘s’ shape in each trial plot. The soil samples of 0–30 cm soil layer are collected with a soil drill with a diameter of 5 cm. The soil samples of the same soil layer form a mixed soil sample, remove sundries, put them in plastic bags, place them in the sample box with ice bags, and transport them to the laboratory at low temperature for determination and analysis (Wu et al., 2020).
2.3.1. Determination of soil bulk density
Briefly, using the ring-knife method, in each test plot, a sample of the soil was cut with the ring-knife in the 0–30 cm layer in its original state, weighed immediately but without disturbing the soil sample, then dried (105–110°C, 24 h) and weighed again to obtain the dry soil weight, and finally the bulk density was obtained according to the standard calculation formula (BD) (Lu et al., 2019).
2.3.2. Determination of soil nitrogen pool
The contents of nitrate nitrogen (NO3−-N) and ammoniacal nitrogen (NH4+-N) in soil was determined according to the method described by Yang B. J. et al. (2014) using a 2 mol/l KCL solution with a 5:1 water to soil ratio for extraction followed by flow analyzer determination. The content of soil TN was determined by semi-micro Kjeldahl method (Huang et al., 2021). The content of microbial biomass nitrogen in soil was determined by fumigation leaching–TN assay according to Chen et al., (2021).
2.3.3. Determination of soil carbon pool and C/N
The soil organic carbon (SOC) was determined using the potassium dichromate oxidation external heating method following the method of Wang et al. (2020). The easily oxidized organic carbon (EOC) in soil is determined according to the method described by Zhao et al. (2021). The microbial biomass carbon (MBC) was determined by chloroform fumigation extraction method according to the method of Liu et al., (2018). Finally, soil C/N ratio was calculated according to the contents of soil organic carbon and TN.
2.3.4. Calculation of soil carbon and nitrogen storages
The calculation method of soil organic carbon storage (RSOC) and total nitrogen storage (RTN) is as follows:
In the formula: RSOC and RTN are soil organic carbon storage (t∙hm−2) and TN storage (t∙hm−2) of layer N, SOCn and TNn are soil organic carbon and TN of layer N (g∙kg−1), BDn is soil bulk density of layer N (g∙kg−1), Dn is soil thickness of layer N (cm), and 0.1 is unit conversion coefficient (Wu et al., 2021).
2.3.5. Calculation of soil carbon pool management index
The calculation method of soil CPMI is as follows (Zhu et al., 2015; Yadav et al., 2021):
In the formula: Taking traditional tillage (CT) as the reference soil, soil active organic carbon is EOC, the content of no-active organic carbon is equal to the difference between the content of organic carbon and active organic carbon (Yang et al., 2018).
2.4. Statistical analysis
We used SPSS 20.0 to perform analysis of variance (ANOVA) on the data in the paper, using the (Duncan’s test, p < 0.05) method for mean separation and plotted graphs using Origin 2022. To analyze and compare the effects of different years and different tillage practices and their mutual coupling effects on soil carbon and nitrogen pools, a two-way analysis of variance (two-way ANOVA) was used. Additionally, principal component analysis (PCA) was performed on the indicators to assess the multivariate variability introduced by the different treatments on soil carbon and nitrogen pools as well as on carbon and nitrogen stocks and carbon pool management indices. Pearson correlation analysis was used to describe the correlation among the factors in the experiment.
3. Results
3.1. Effect of different tillage methods on soil bulk density
The soil bulk density under treatments in spring wheat field is shown in the Figure 2. From different treatments in the same year, the soil bulk density of 0–30 cm of spring wheat showed the same changing trend. NTS and NT treatments were significantly higher than CTS and CT treatments (p < 0.05). From different years of the same treatment, the soil bulk density decreased with the passage of time duration of CT treatment implementation, increased with the increase of year under NT and NTS treatment, inversely there was no significant change under CTS treatment.
Figure 2

Changes of bulk density of 0-30 cm soil under different tillage strategy. CT, conventional tillage; NT, no tillage; CTS, straw mulch with conventional tillage; NTS, straw mulch with no tillage.
3.2. Soil nitrogen contents and storage under tillage methods
As shown in Table 3. The content of soil NO3−-N showed a trend that CT was significantly higher than no tillage and straw mulched treated plots (p < 0.05), which was trended as CT > CTS > NT > NTS, the content of soil NH4+-N in conservation tillage was significantly higher than that in CT (p < 0.05), and NTS treatment was significantly higher than CTS and NT treatment (p < 0.05). The content of TN in soil was the largest under NTS treatment and the smallest under CT treatment, there was significant difference among treatments (p < 0.05). The contents of soil MBN was significantly correlated with TN content, and the change trend was consistent with TN content. NTS, CTS and NT treatment were significantly higher than CT treatment (p < 0.05). From different years of the same treatment, the content of soil NO3−-N increased with years under CT, NT and CTS treatments, decreased first and then increased with years under NTS treatment, and the content of soil NH4+-N increased with years under each treatment. The contents of TN and MBN in soil showed the same change trend, and increased with the increase of years under each treatment, which was significantly higher in 2021 than in 2020 and 2019.
Table 3
| Year | Treatment | NO3−-N (mg/kg) | NH4+-N (mg/kg) | TN (g/kg) | MBN (mg/kg) |
|---|---|---|---|---|---|
| 2019 | CT | 33.85 ± 0.40 Ab | 11.93 ± 0.05 Db | 0.60 ± 0.01 Dc | 23.87 ± 0.04 Dc |
| NT | 31.47 ± 0.69 Ba | 13.26 ± 0.01 Cb | 0.64 ± 0.02 Cc | 25.73 ± 0.08 Cc | |
| CTS | 33.78 ± 0.36 Ab | 14.24 ± 0.33 Bb | 0.67 ± 0.01 Bc | 26.92 ± 0.05 Bc | |
| NTS | 30.83 ± 0.36 Bab | 15.52 ± 0.04 Ab | 0.72 ± 0.02 Ac | 28.69 ± 0.12 Ac | |
| 2020 | CT | 36.11 ± 0.93 Aa | 12.88 ± 0.02 Cb | 0.64 ± 0.01 Db | 25.55 ± 0.04 Db |
| NT | 32.44 ± 0.29 Ba | 15.31 ± 0.94 Ba | 0.68 ± 0.02 Cb | 27.33 ± 0.08 Cb | |
| CTS | 35.17 ± 0.89 Aab | 17.14 ± 0.88 ABa | 0.71 ± 0.01 Bb | 28.52 ± 0.05 Bb | |
| NTS | 29.82 ± 0.43 Cb | 19.07 ± 0.74 Aa | 0.76 ± 0.03 Ab | 30.28 ± 0.12 Ab | |
| 2021 | CT | 37.76 ± 0.44 Aa | 14.99 ± 0.48 Ca | 0.66 ± 0.01 Da | 26.61 ± 0.04 Da |
| NT | 32.31 ± 0.09 Ba | 15.77 ± 0.40 Ca | 0.72 ± 0.02 Ca | 28.94 ± 0.08 Ca | |
| CTS | 36.41 ± 0.38 Aa | 18.22 ± 0.52 Ba | 0.75 ± 0.01 Ba | 30.14 ± 0.05 Ba | |
| NTS | 31.75 ± 0.59 Ba | 21.13 ± 0.85 Aa | 0.80 ± 0.03 Aa | 31.90 ± 0.12 Aa |
Nitrogen contents under sustainable conservation tillage.
Different capital letters indicate that there are significant differences between different treatments in the same year; Different lowercase letters indicate that there are significant differences between different years of the same treatment. NO3−-N, nitrate nitrogen; NH4+-N, ammoniacal nitrogen; TN, total nitrogen; MBN, microbial biomass nitrogen.
The soil nitrogen storage under conservation tillage was significantly higher than traditional tillage, and being significantly (p < 0.05) highest under NTS treatment than other treatments including all tested years. Regarding different years, soil nitrogen storage increased with the passage of time duration of tillage systems implementation, which was significantly higher in 2021 than in 2020 and 2019 (p < 0.05). Additionally, during the three-year study period, the average nitrogen storage of 0–30 cm soil ranged from 2.20 to 2.75 t∙hm−2. Compared with CT treatment, the average nitrogen storage of NTS, CTS and NT increased by 25.01, 14.79 and 13.06%, respectively (Figure 3).
Figure 3

Changes of soil nitrogen storage under different treatments and interannual changes. Different capital letters indicate that there are significant differences between different treatments in the same year; Different lowercase letters indicate that there are significant differences between different years of the same treatment. CT, conventional tillage; NT, no tillage; CTS, straw mulch with conventional tillage; NTS, straw mulch with no tillage.
The two-way ANOVA showed (Table 4) that the interannual change and different tillage treatments had an extremely significant impact on the content of soil NO3−-N (p < 0.01), and the mutual coupling between them had a significant impact on the content of soil NO3−-N (p < 0.05). Similarly, the interannual change and different tillage treatments also have extremely significant effects on the content of soil NH4+-N (p < 0.01), inversely the interaction between them has no significant effect on the content of soil NH4+-N. Simultaneously, the interannual change and different tillage treatments have extremely significant effects on soil TN (p < 0.01), and the interaction between them has a significant impact on soil TN (p < 0.05). Additionally, the interannual change, different tillage treatments and their mutual coupling effects have extremely significant effects on soil MBN and nitrogen storage (p < 0.01).
Table 4
| Analysis of variance (ANOVA) | ||||||||||
|---|---|---|---|---|---|---|---|---|---|---|
| NO3−-N | NH4+-N | TN | MBN | Nitrogen storage | SOC | EOC | MBC | C/N | Carbon storage | |
| Source of variation | ||||||||||
| Year | 13.636** | 44.294** | 1918.037** | 1592.065** | 1140.854** | 2829.239** | 72.738** | 2829.239** | 25.275** | 2206.400** |
| Treatment | 55.961** | 47.306** | 2591.018** | 2150.673** | 1784.381** | 1725.500** | 288.286** | 1725.500** | 132.742** | 1901.704** |
| (Y × T) | 2.605* | 1.882ns | 4.617* | 3.832** | 13.201** | 75.056** | 17.152** | 75.056** | 22.099** | 89.550** |
Two way ANOVA of year and treatments (NO3−-N, NH4+-N, TN, MBN, nitrogen storage, SOC, EOC, MBC, C/N and Carbon storage).
**indicates that the effect is extremely significant (p value < 0.01), *indicates that the effect is significant (p value < 0.05) and ns indicates non-significant. NO3−-N, nitrate nitrogen; NH4+-N, ammoniacal nitrogen; TN, total nitrogen; MBN, microbial biomass nitrogen; SOC, soil organic carbon; EOC, easily oxidized organic carbon; MBC, microbial biomass carbon; C/N, total nitrogen/organic carbon.
3.3. Soil carbon contents, carbon storage and C/N under tillage technique
The changes of soil carbon content and C/N are shown in Table 5. From different treatments in the same year, The SOC content of NTS, CTS and NT treatments was significantly higher than that of CT treatment, and NTS treatment was the highest. The specific performance was NTS > CTS > NT > CT. The change trends of soil EOC and MBC were consistent with SOC, which were the largest under NTS treatment and the smallest under CT treatment, and there were significant differences among treatments (p < 0.05). Soil C/N was the largest under CT treatment and the smallest under NTS treatment, and there was significant difference among treatments (p < 0.05). From different years of the same treatment, the content of soil SOC and MBC showed an increasing trend with the increase of years, and it was significantly higher in 2021 than in 2020 and 2019 (p < 0.05). Soil EOC increased first and then decreased with the increase of year under CT treatment, and increased with the increase of year under NT, CTS and NTS treatment (p < 0.05); Soil C/N decreased with the increase of year under CT treatment, and basically increased with the increase of year under NT, CTS and NTS treatment.
Table 5
| Year | Treatment | SOC (g/kg) | EOC (mg/kg) | MBC (mg/kg) | C/N |
|---|---|---|---|---|---|
| 2019 | CT | 6.39 ± 0.01 Dc | 1.30 ± 0.026 Cab | 191.59 ± 0.36 Dc | 10.70 ± 0.02 Aa |
| NT | 6.69 ± 0.02 Cc | 1.47 ± 0.002 Bc | 200.79 ± 0.74 Cc | 10.41 ± 0.07 Bab | |
| CTS | 6.81 ± 0.03 Bc | 1.51 ± 0.007 Bc | 204.40 ± 0.75 Bc | 10.12 ± 0.02 Cb | |
| NTS | 7.09 ± 0.02 Ac | 1.72 ± 0.023 Ac | 212.69 ± 0.68 Ac | 9.89 ± 0.06 Db | |
| 2020 | CT | 6.63 ± 0.01 Db | 1.39 ± 0.025 Da | 198.83 ± 0.36 Db | 10.37 ± 0.02 Ab |
| NT | 7.09 ± 0.02 Cb | 1.55 ± 0.002 Cb | 212.55 ± 0.74 Cb | 10.37 ± 0.07 Ab | |
| CTS | 7.21 ± 0.03 Bb | 1.61 ± 0.007 Bb | 216.16 ± 0.75 Bb | 10.10 ± 0.02 Bb | |
| NTS | 7.48 ± 0.02 Ab | 1.86 ± 0.023 Ab | 224.46 ± 0.68 Ab | 9.88 ± 0.06 Cb | |
| 2021 | CT | 6.84 ± 0.01 Da | 1.29 ± 0.026 Cb | 205.23 ± 0.36 Da | 10.28 ± 0.02 BCc |
| NT | 7.70 ± 0.02 Ca | 1.69 ± 0.002 Ba | 230.92 ± 0.74 Ca | 10.64 ± 0.06 Aa | |
| CTS | 7.82 ± 0.03 Ba | 1.74 ± 0.004 Ba | 234.53 ± 0.75 Ba | 10.37 ± 0.02 Ba | |
| NTS | 8.09 ± 0.02 Aa | 1.99 ± 0.023 Aa | 242.83 ± 0.68 Aa | 10.15 ± 0.06 Ca |
Carbon contents under sustainable conservation tillage.
Different capital letters indicate that there are significant differences between different treatments in the same year; Different lowercase letters indicate that there are significant differences between different years of the same treatment. SOC, soil organic carbon; EOC, easily oxidized organic carbon; MBC, microbial biomass carbon; C/N, total nitrogen/organic carbon.
The effects of different tillage measures on carbon storage in 0–30 cm soil are shown in the Figure 4. From different treatments in the same year, soil carbon storage was the largest under NTS treatment and the smallest under CT treatment, and NTS treatment was significantly higher than other treatments (p < 0.05), inversely there was no significant difference between NT and CTS treatment (p > 0.05). From different years of the same treatment, the soil carbon storage showed an increasing trend with the increase of years under different treatments. The soil carbon storage under each treatment in 2021 was significantly higher than that in 2020 and 2019 (p < 0.05). Additionally, during the three-year study period, the average soil carbon storage in 0–30 cm layer ranged from 23.01 to 27.47 t∙hm−2. Compared with CT treatment, the average soil carbon storage under NTS, CTS and NT treatment increased by 19.41, 12.15 and 13.40%, respectively (Figure 4).
Figure 4

Effects of different tillage measures on soil carbon storage. Different capital letters indicate that there are significant differences between different treatments in the same year; Different lowercase letters indicate that there are significant differences between different years of the same treatment. CT, conventional tillage; NT, no tillage; CTS, straw mulch with conventional tillage; NTS, straw mulch with no tillage.
The two-way ANOVA showed (Table 4) that the interannual changes, different tillage treatments and their coupling effects had extremely significant effects on soil SOC, EOC, MBC, C/N and carbon storage (p < 0.01).
3.4. Soil carbon pool management index as influenced by tillage under wheat agroecosystems
The management index of 0–30 cm soil carbon pool under sustainable conservation tillage is shown in the Table 6. In this study, the soil under traditional tillage (CT) treatment is set as the reference soil. From different treatments in the same year, the soil carbon pool index of 0–30 cm of spring wheat showed the same change trend, which was the largest under NTS treatment and the smallest under CT treatment (p < 0.05). The change trend of soil carbon pool activity was consistent with that of soil carbon pool, which was the largest under NTS treatment and the smallest under CT treatment, and there was significant difference among treatments (p < 0.05). Soil carbon pool activity index and CPMI also showed the same change trend. Conservation tillage treatment (NT, CTS and NTS) was significantly higher than traditional tillage (CT), and NTS treatment was significantly higher than other treatments (p < 0.05). From different years of the same treatment, the soil carbon pool under the three-conservation tillage showed an increasing trend with the increase of years, and there was a significant difference between years (p < 0.05). Soil carbon pool activity increased first and then decreased with the increase of years under CT treatment, and increased slightly under NT, CTS and NTS treatment, inversely the difference between years was not significant (p > 0.05). Soil carbon pool activity index and CPMI showed the same trend with the interannual change. Under NT and CTS treatment, they decreased first and then increased with the increase of years, while under NTS treatment, they increased gradually with the increase of years, and there were significant differences between years (p < 0.05).
Table 6
| Year | Treatment | Carbon pool index | Carbon pool activity | Carbon pool activity index | Carbon pool management index |
|---|---|---|---|---|---|
| 2019 | CT | 1.00 ± 0.000 D | 0.26 ± 0.007 Ca | 1.00 ± 0.000\u00B0C | 100.00 ± 0.00\u00B0C |
| NT | 1.05 ± 0.006 Cc | 0.28 ± 0.001 Ba | 1.10 ± 0.054 Bb | 115.28 ± 2.78 Bb | |
| CTS | 1.07 ± 0.006 Bc | 0.28 ± 0.003 Ba | 1.11 ± 0.067 Bab | 118.77 ± 3.68 Bb | |
| NTS | 1.11 ± 0.006 Ac | 0.32 ± 0.005 Aa | 1.25 ± 0.026 Ab | 139.26 ± 1.17 Ab | |
| 2020 | CT | 1.00 ± 0.000 D | 0.26 ± 0.007 Ca | 1.00 ± 0.000\u00B0C | 100.00 ± 0.00\u00B0C |
| NT | 1.07 ± 0.006 Cb | 0.28 ± 0.001 Bb | 1.05 ± 0.028 BCb | 112.66 ± 2.50 Bb | |
| CTS | 1.09 ± 0.006 Bb | 0.29 ± 0.003 Ba | 1.08 ± 0.036 Bb | 117.81 ± 3.41 Bb | |
| NTS | 1.13 ± 0.005 Ab | 0.33 ± 0.004 Aa | 1.25 ± 0.014 Ab | 140.97 ± 1.07 Ab | |
| 2021 | CT | 1.00 ± 0.000 D | 0.23 ± 0.006 Cb | 1.00 ± 0.000\u00B0C | 100.00 ± 0.00\u00B0C |
| NT | 1.13 ± 0.006 Ca | 0.28 ± 0.001 Bab | 1.21 ± 0.033 Ba | 135.87 ± 3.23 Ba | |
| CTS | 1.14 ± 0.006 Ba | 0.29 ± 0.001 Ba | 1.23 ± 0.038 Ba | 140.67 ± 3.85 Ba | |
| NTS | 1.18 ± 0.005 Aa | 0.33 ± 0.004 Aa | 1.40 ± 0.019 Aa | 166.17 ± 1.68 Aa |
Soil carbon pool management index of 0–30 cm under conservation tillage.
Different capital letters indicate that there are significant differences between different treatments in the same year; Different lowercase letters indicate that there are significant differences between different years of the same treatment.
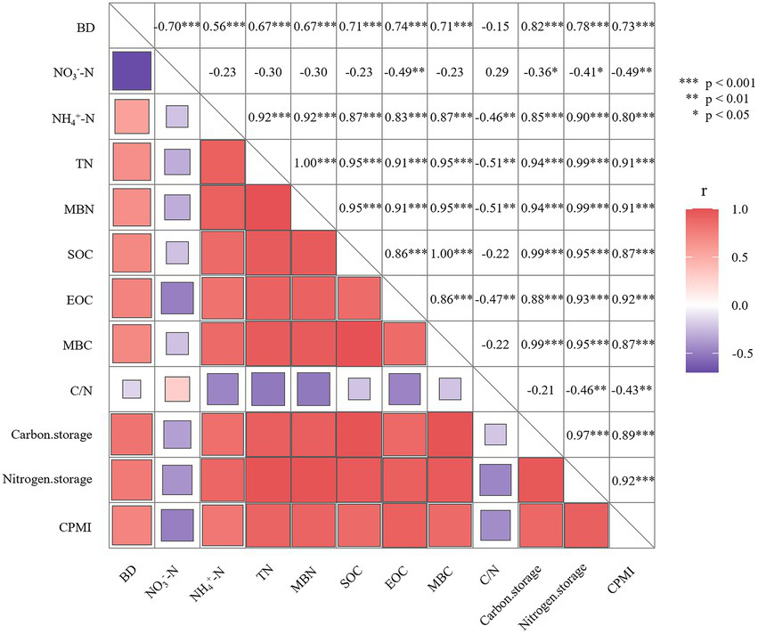
3.5. Correlation between soil nitrogen and carbon contents, storage and carbon pool management index
The correlation among soil carbon and nitrogen pool, carbon and nitrogen storage and CPMI under sustainable conservation tillage is shown in Figures 5, 6. Figure 5 is a principal component analysis chart. The horizontal axis interpretation rate is 77.3% and the vertical axis interpretation rate is 10.0%. It can be seen that the correlation is mainly determined by the horizontal axis. Meanwhile, Figure 6 shows that there is a very significant positive correlation between soil BD and CPMI, the correlation coefficient is 0.73, NO3−-N and CPMI have a significant negative correlation, the correlation coefficient is −0.49, NH4+-N, TN, and MBN, CPMI have a very significant positive correlation, and the correlation coefficients are 0.80, 0.91 and 0.91, respectively. SOC, EOC, MBC and CPMI showed very significant positive correlation, and the correlation coefficients were 0.87, 0.92 and 0.87, respectively. Whereas, there was a significant negative correlation between soil C/N and CPMI, and the correlation coefficient was −0.43. At the same time, soil carbon and nitrogen storages had a very significant positive correlation with CPMI, and the correlation coefficients were 0.89 and 0.92, respectively.
Figure 5

Principal component analysis of soil carbon and nitrogen content and storage and CPMI. BD, bulk density; NO3−-N, nitrate nitrogen; NH4+-N, ammoniacal nitrogen; TN, total nitrogen; MBN, microbial biomass nitrogen; SOC, soil organic carbon; EOC, easily oxidized organic carbon; MBC, microbial biomass carbon; C/N, total nitrogen/organic carbon; CPMI, carbon pool management index.
Figure 6

Correlation between soil carbon and nitrogen content and storage and CPMI. *Indicates signifcant at 0.05 level, **indicates signifcant at 0.01 level, ***indicates signifcant at 0.001 level. BD, bulk density; NO3−-N, nitrate nitrogen; NH4+-N, ammoniacal nitrogen; TN, total nitrogen; MBN, microbial biomass nitrogen; SOC, soil organic carbon; EOC, easily oxidized organic carbon; MBC, microbial biomass carbon; C/N, total nitrogen/organic carbon; CPMI, carbon pool management index.
4. Discussion
4.1. Effects of sustainable conservation tillage on soil nitrogen composition and nitrogen storage
Different tillage treatments have an important impact on soil nitrogen contents and pools (Andrea et al., 2020; Wang W. Y. et al., 2021). The results show that conservation tillage can change the contents of NH4+-N, TN, MBN and NS. Other studies have shown that conservation tillage can improve soil nitrogen contents and nitrogen storage and reduce soil nitrogen loss in the dry farming area of the Loess Plateau (Hao et al., 2021). This study found that compared with traditional tillage, conservation tillage significantly reduced the content of soil NO3−-N, which was the smallest under NTS treatment. With the increase of conservation tillage years, the content of soil NO3−-N continued to decrease, inversely the content of soil NO3−-N under traditional tillage treatment continued to increase with the increase of years. This may be because sustainable traditional farming has seriously damaged the structure of the soil arable layer. The soil nutrients in the plow layer are lost, the water content is reduced, the soil aeration is enhanced (Han et al., 2018), and then the nitrification of the soil is enhanced (Zhang et al., 2018). NH4+-N is more easily converted to NO3-N in this case, which leads to an increase in the residual NO3−-N content in the soil. Additionally, under conventional tillage, spring wheat has weak growth, poor rhizosphere development and weak ability to absorb nutrients from the soil, which also leads to the residue of NO3−-N in the soil (Yang et al., 2015). Nevertheless, the soil under conservation tillage treatment is compact, the wheat grows vigorously, and the root system is developed. The NO3−-N in the soil is not easy to be leached to the lower layer, instead, it is widely absorbed and utilized by crop roots. Additionally, conservation tillage plays a good role in water and fertilizer conservation, accordingly inhibiting the role of soil nitrification and reducing the content of NO3−-N in the soil (Wang et al., 2020). This study also found that compared with traditional tillage, conservation tillage significantly increased the contents of soil TN, NH4+-N and MBN showed an increasing trend with the increase of conservation tillage years. This is because the reduction of tillage intensity reduces the disturbance to the soil and promotes the activity of soil microorganisms, so as to transfer more nitrogen from crop straw to the soil. Additionally, sustainable conservation tillage increases the compactness of the soil and contributes to the retention of soil nitrogen. On the other hand, the covered straw will continuously decompose and transport nitrogen to the soil. Consequently, conservation tillage increases soil TN Content of MBN. For NH4+-N, on the one hand, it is because soil NH4+-N mainly comes from TN mineralization, and straw mulching will significantly increase soil TN content. On the other hand, no tillage increases soil mineralization and reduces soil nitrification (Melero et al., 2011). Consequently, under no tillage treatment, N element exists in the form of NH4+-N for a long time. As a result, it is concluded that conservation tillage can prevent nitrogen leaching and then increase soil NH4+-N content (Issaka et al., 2019).
It is generally believed that conservation tillage such as no tillage and straw mulching is beneficial to improve soil nitrogen storage, which is mainly reflected in the upper soil (Rahmat et al., 2012). This may be due to the different disturbance of different tillage measures to the soil, resulting in different soil structure and ventilation, affecting the micro biological activity in the soil, then affecting the mineralization rate of soil nitrogen, and finally affecting the soil nitrogen storage (Du et al., 2010). This study found that different tillage measures had different effects on 0–30 cm soil nitrogen storage. The soil nitrogen storage under sustainable conservation tillage was significantly higher over conventional tillage. The soil nitrogen storage under NTS, CTS and NT systems was significantly highest in the second and third years of the study compared with first year of study period. This is because no tillage and straw returning can improve soil structure, improve soil physical and chemical properties, promote soil microbial activity, and effectively add soil nitrogen sources, so as to increase soil nitrogen storage in long term application. Analogously, sustainable conservation tillage will increase soil compactness and further increase soil nitrogen fixation capacity, The stable growth of soil nitrogen content in straw returning treatment is more conducive to the improvement of soil long-term nitrogen fixation capacity and the sustainable development of agricultural ecosystem (Carter, 2004). The small increase of soil nitrogen storage under traditional tillage may be due to the application of base fertilizer.
4.2. Effects of sustainable conservation tillage on soil carbon composition and carbon storage
Soil carbon component is an extremely important part of soil and an important factor to measure soil fertility, and soil carbon storage is an important index to evaluate soil carbon pool. The research shows that conservation tillage, mainly with straw mulching and no tillage and less tillage, can increase soil carbon and nitrogen storages, reduce soil carbon and nitrogen nutrient loss, and accordingly improve crop productivity (Lu et al., 2018). Wang et al. (2019) showed in their research on dryland corn that conservation tillage based on less tillage plus stubble and no tillage plus stubble increased the carbon content in the soil and was conducive to the retention of soil aggregates and SOC in dryland. Peeyush et al. (2016) reviewed the impact of conservation tillage on soil physical and chemical properties and organic carbon pool. He said that in the long-term experiment, farmland can increase soil organic carbon through conservation tillage, and greatly improve the physical and chemical properties of the soil tilth. Intensive tillage brings crop residues into the soil, destroys soil aggregates, increases soil aeration, and is not conducive to soil nutrient sequestration and crop growth. Our findings from this study found that compared with traditional tillage, sustainable conservation tillage increased the content of SOC, EOC and MBC in 0–30 cm soil and decreased C/N. with the continuous progress of conservation tillage, the content of SOC, EOC, MBC and C/N in soil showed an increasing trend, which was consistent with the research results of Shu et al. (2015) and Asma et al. (2015). This is because SOC is the dominant factor controlling the cycle of soil energy and nutrients, the source of stable energy and nutrients of microbial community, and has an important impact on the formation of soil microbial biomass. Consequently, the higher the content of SOC, the greater the soil MBC. Conservation tillage with no tillage and straw returning as the main measures avoids the disturbance to the soil, accordingly enhancing the aggregation of soil particles, effectively reducing nutrient loss and increasing soil carbon and nitrogen sequestration. Additionally, in the wheat growth stage, the straw covered on the surface will decompose under the action of microbial decomposition, and part of the organic matter will enter the soil surface, so as to increase the soil SOC content (Kushwa et al., 2016). Simultaneously, conservation tillage, mainly with no tillage and straw mulch, reduced the evaporation of water in the soil, increase the soil water storage and enhance the soil microbial activity, so as to enhance the decomposition of decomposers, and then increase the soil MBC content. Soil EOC is easily oxidized and decomposed, and directly participates in the process of soil biochemical transformation. The higher its content, the greater the activity of soil carbon. This study shows that the EOC content of NTS and CTS treatment is significantly higher than that of NT and CT treatment. This is because a large amount of straw on the surface is very easy to decompose and form an obvious litter layer on the surface. The high input of exogenous carbon is conducive to the growth of roots, which changes the quantity and chemical composition of root exudates, affects the functional groups and quantity of soil organisms, and significantly increases the content of soil EOC (Sun et al., 2013). Under sustainable conservation tillage, Due to the continuous decomposition of straw mulching and the input of carbon into the soil, the content of soil carbon components increased continuously (Wang et al., 2022).
Soil carbon storage is the carbon retention in ecosystem and an important index to measure the scale and quantity of primary productivity of ecosystem. Studies have shown that no tillage and straw returning can significantly increase the content of soil organic carbon in the crop plow layer, so as to improve the soil carbon storage (Chen et al., 2015). Another study shows that soil carbon storage does not always increase after sustainable conservation tillage. This study found that compared with traditional tillage, conservation tillage was more helpful to improve the soil carbon storage of 0–30 cm, and the soil carbon storage showed an increasing trend with the increase of conservation tillage years. This may be because no tillage reduces the disturbance to the soil and slows down the mineralization and decomposition of soil organic matter. Additionally, since 2018, straw has been returned to the field to cover the surface, increasing the input of soil organic matter. With time, organic matter eventually enters the soil and accumulates. Nevertheless, traditional tillage is easy to lead to the fragmentation of soil aggregates and the loss of oxidized organic carbon mineralization (Lenka et al., 2015), at the same time, after the crops are harvested, the straw residues are basically removed, and the soil cannot obtain organic matter in time, resulting in the decline of soil quality. The study also found that single no tillage and single straw returning can significantly improve the soil carbon storage and carbon sequestration potential, nonetheless the combination of tillage method and straw returning can achieve better carbon sequestration effect (Liu et al., 2022).
4.3. Carbon pool management index and its correlation under sustainable conservation tillage
Carbon pool management index can indicate the dynamic changes of soil organic carbon and its active components. Affected by soil carbon pool and carbon pool activity, CPMI can reflect the differences of soil quality under different soil environmental conditions and the changes of soil quality under different tillage measures from the perspective of organic carbon pool (Yang et al., 2018), the increase of this index indicates the increase of soil fertility, otherwise it indicates the decrease of soil fertility (Liu et al., 2017). This study found that taking the soil under traditional tillage treatment as the reference soil sample, conservation tillage increased the A, AI, CPI and CPMI of 0–30 cm soil, and the CPMI increased continuously under sustainable conservation tillage. This is mainly because compared with sustainable traditional tillage, sustainable no tillage and straw mulching are conducive to the improvement of soil quality. The increase of CPMI of sustainable no tillage is mainly achieved by increasing the content of soil organic carbon and increasing the activity of soil organic carbon. Nevertheless, straw mulching in successive years increases the amount of straw input into the soil and the rate of soil carbon sequestration is large (Zhu et al., 2015). On the other hand, there is a steady stream of straw decomposed through decomposition, consequently, more organic carbon remains in the soil, which increases the soil CPMI. Consequently, no tillage straw mulching (NTS) treatment has the best effect on soil carbon and nitrogen fixation, which is helpful to improve soil CPMI (Li et al., 2015).
A large number of studies have shown that soil carbon and nitrogen are important factors affecting CPMI, and their content and existing form directly affect the stability of CPMI. Some studies have also shown that soil bulk density, water and other factors are also important indicators affecting CPMI. The increase of CPMI indicates that the management mode has the effect of fertilizing the soil and the soil is developing healthily. In this study, there is a very significant positive correlation between soil bulk density and CPMI (0.73), because the increase of bulk density means the increase of soil compactness, which promotes the formation of soil aggregates, is conducive to the fixation of organic carbon, and then increases the CPMI. Soil TN, NH4+-N, MBN and nitrogen storage have a very significant positive correlation with CPMI. This is because the growth and decline trend of carbon and nitrogen in soil is basically the same. Conservation tillage based on no tillage and straw mulching increases the content of carbon and nitrogen in soil, accordingly increasing the content of soil nitrogen components and CPMI. Nevertheless, soil NO3−-N content has a significant negative correlation with CPMI (−0.49), which is because conservation tillage increases the diffusion rate of soil water, resulting in soil NO3−-N leaching. On the other hand, under conservation tillage, crops grow vigorously, their roots are developed, and they have a strong ability to absorb nutrients into the soil. NO3−-N in the form of inorganic nitrogen will be absorbed and utilized by crops. Additionally, soil SOC, EOC, MBC and carbon storage have a very significant positive correlation with CPMI, indicating that EOC and MBC have a close relationship with total organic carbon (Yang J. M. et al., 2014). They largely depend on the content of total organic carbon, and the content of these carbon components determines the soil carbon storage, indicates the change of soil quality, and then reflects the CPI and stability. This result is consistent with the research conclusions of Jiang et al. (2021) and Liu et al. (2017).
5. Conclusion
Through the study on the carbon and nitrogen components, storages and CPMI of 0–30 cm soil in wheat field under different tillage measures for many years, this study provides a basis for the response mechanism of soil carbon and nitrogen storages and carbon pool of spring wheat on the Loess Plateau to different tillage measures. The results showed that compared with conventional tillage, sustainable conservation tillage significantly increased soil bulk density. Additionally, sustainable conservation tillage decreased the content of soil NO3−-N, inversely significantly increased the contents of soil NH4+-N, TN and MBN. Simultaneously, sustainable conservation tillage also significantly increased the contents of soil SOC, EOC and MBC. Our results also showed that compared with conventional tillage, sustainable conservation tillage increased soil carbon and nitrogen storages, soil carbon pool index, carbon pool activity and carbon pool activity index, and then improved soil CPMI, especially NTS treatment. The correlation shows that there is a significant correlation between soil bulk density, carbon, nitrogen components and storages and CPMI, indicating that soil physical and chemical properties and carbon and nitrogen content determine the stability of carbon pool. In summary, we conclude that conservation tillage can improve soil physical and chemical properties, fertilize soil and significantly improve soil carbon and nitrogen storages. NTS treatment is more conducive to soil carbon and nitrogen accumulation, soil carbon pool activity and CPMI, which can be used as an agricultural tillage measure worthy of popularization in the study area.
Funding
This research was honored to supported by the “Excellent doctoral program in Gansu Province” (22JR5RA843), the “Innovation star” project of excellent graduate students in Gansu Province (2022CXZX-641), the Industrial support plan project, China (2021CYZC-15), the Key Talent Projects in Gansu Province, China (LRYCZ-2020-1), and Industrial support projects for colleges and universities in Gansu Province, China (2022CYZC-41).
Publisher’s note
All claims expressed in this article are solely those of the authors and do not necessarily represent those of their affiliated organizations, or those of the publisher, the editors and the reviewers. Any product that may be evaluated in this article, or claim that may be made by its manufacturer, is not guaranteed or endorsed by the publisher.
Statements
Data availability statement
The original contributions presented in the study are included in the article/supplementary material, further inquiries can be directed to the corresponding authors.
Author contributions
JY: data processing, methodology, visualization, and writing – original draft. YL and MZ: data processing. MS: English revision. LL and JW: investigation. GX and SL: sample collection and experimental operation. GL and LY: design test, supervision, and funding acquisition. All authors contributed to the article and approved the submitted version.
Acknowledgments
We would like to sincerely thank all those who participated in this research (outdoor work and laboratory work).
Conflict of interest
The authors declare that the research was conducted in the absence of any commercial or financial relationships that could be construed as a potential conflict of interest.
References
1
Alhassan A. R. Yang C. J. Ma W. W. Li G. (2021). Influence of conservation tillage on greenhouse gas fluxes and crop productivity in spring-wheat agroecosystems on the loess plateau of China. PeerJ9:e11064. doi: 10.7717/PEERJ.11064
2
Andrea J. Daniel K. Alwyn W. Anthony C. Yannarell A. C. Adam D. et al . (2020). Rapid and distinct responses of particulate and mineral-associated organic nitrogen to conservation tillage and cover crops. Geoderma359. doi: 10.1016/j.geoderma.2019.114001
3
Asma H. Shahzada S. I. Rattan L. Safdar A. Muhammad A. Qaiser H. et al . (2015). Active soil organic carbon fractions and aggregate stability effected by minimum tillage and crop rotations on a marginal dryland soil in Punjab, Pakistan. Int. J. Plant Soil Sci.4, 326–337. doi: 10.9734/IJPSS/2015/14328
4
Carter M. R. (2004). Long-term tillage effects on cool-season soybean in rotation with barley, soil properties and carbon and nitrogen storage for fine sandy loams in the humid climate of Atlantic Canada. Soil Tillage Res.81, 109–120. doi: 10.1016/j.still.2004.05.002
5
Chen S. Y. Cao Y. Q. Zhang T. T. Cui J. C. Guo L. L. Shen Y. et al . (2022). Improvement of soil aggregate-associated carbon sequestration capacity after 14 years of conservation tillage. Exp. Agric.58:e55. doi: 10.1017/S0014479722000370
6
Chen H. Q. Hou R. X. Gong Y. S. Li H. W. Fan M. S. Kuzyakov Y. (2009). Effects of 11 years of conservation tillage on soil organic matter fractions in wheat monoculture in loess plateau of China. Soil Tillage Res.106, 85–94. doi: 10.1016/j.still.2009.09.009
7
Chen N. Li X. Shi H. Hu Q. Zhang Y. Leng X. (2021). Effect of biodegradable film mulching on crop yield, soil microbial and enzymatic activities, and optimal levels of irrigation and nitrogen fertilizer for the Zea mays crops in arid region. Sci. Total Environ.776:145970. doi: 10.1016/J.SCITOTENV.2021.145970
8
Chen Z. D. Zhang H. L. Dikgwatlhe S. B. Xue J. F. Qiu K. C. Tang H. M. et al . (2015). Soil carbon storage and stratification under different tillage/residue-management practices in double rice cropping system. J. Integr. Agric.14, 1551–1560. doi: 10.1016/S2095-3119(15)61068-1
9
Dong L. Si T. Li Y. Zou X. X. (2021). The effect of conservation tillage in managing climate change in ari 10.1016/j.geoderma.2019.114001 d and semiarid areas—a case study in Northwest China. Mitig. Adapt. Strateg. Glob. Chang.26:17. doi: 10.1007/S11027-021-09956-3
10
Du Z. L. Ren T. S. Hu C. S. (2010). Tillage and residue removal effects on soil carbon and nitrogen storage in the North China plain. Soil Sci. Soc. Am. J.74, 196–202. doi: 10.2136/sssaj2009.0048
11
Eduardo V. Marta B. Rafael E. Nikola T. (2019). Effects of no-tillage and liming amendment combination on soil carbon and nitrogen mineralization. Eur. J. Soil Biol.93:103090. doi: 10.1016/j.ejsobi.2019.103090
12
Han Q. F. Siddique K. Li F. (2018). Adoption of conservation tillage on the semi-arid loess plateau of Northwest China. Sustainability10:2621. doi: 10.3390/su10082621
13
Hao J. Q. Lin Y. Ren G. X. Yang G. H. Han X. H. Wang X. J. et al . (2021). Comprehensive benefit evaluation of conservation tillage based on BP neural network in the loess plateau. Soil Tillage Res.205:104784. doi: 10.1016/j.still.2020.104784
14
Huang R. Tian D. Liu J. Lv S. He X. H. Gao M. (2018). Responses of soil carbon pool and soil aggregates associated organic carbon to straw and straw-derived biochar addition in a dryland cropping mesocosm system. Agric. Ecosyst. Environ.265, 576–586. doi: 10.1016/j.agee.2018.07.013
15
Huang T. T. Yang N. Lu C. Qin X. L. Siddique K. (2021). Soil organic carbon, total nitrogen, available nutrients, and yield under different straw returning methods. Soil Tillage Res.214:105171. doi: 10.1016/J.STILL.2021.105171
16
Issaka F. Zhang Z. Zhao Z. Q. Asenso E. Li J. H. Li Y. T. et al . (2019). Sustainable conservation tillage improves soil nutrients and reduces nitrogen and phosphorous losses in maize farmland in southern China. Sustainability11:2397. doi: 10.3390/su11082397
17
Jiang X. Xu D. P. Rong J. J. Ai X. Y. Ai S. H. Su X. Q. et al . (2021). Landslide and aspect effects on artificial soil organic carbon fractions and the carbon pool management index on road-cut slopes in an alpine region. Catena199:105094. doi: 10.1016/J.CATENA.2020.105094
18
Kushwa V. Hati K. M. Sinha N. K. Singh R. K. Mohanty M. Somasundaram J. et al . (2016). Long-term conservation tillage effect on soil organic carbon and available phosphorous content in Vertisols of Central India. Agric. Res.5, 353–361. doi: 10.1007/s40003-016-0223-9
19
Lenka S. Lenka N. K. Singh R. C. Manna M. C. Misra A. K. Rautaray S. K. (2015). Tillage and manure induced changes in carbon storage and carbon management index in soybean–wheat cropping system in the Vertisols of Central India. Natl. Acad. Sci. Lett.38, 461–464. doi: 10.1007/s40009-015-0384-2
20
Li S. Li Y. B. Wang S. J. Shi J. L. Tian X. H. (2015). Effects of different straw-returning regimes on soil organic carbon and carbon pool management index in Guanzhong plain, Northwest China. Ying Yong Sheng Tai Xue Bao26, 1215–1222. doi: 10.13287/j.1001-9332.2015.0035
21
Li J. H. Li H. Zhang Q. Shao H. B. Gao C. H. Zhang X. Z. (2019). Effects of fertilization and straw return methods on the soil carbon pool and CO2 emission in a reclaimed mine spoil in Shanxi Province, China. Soil Tillage Res.195:104361. doi: 10.1016/j.still.2019.104361
22
Liu J. Jing F. Jiang G. Y. Liu J. G. (2017). Effects of straw incorporation on soil organic carbon density and the carbon Pool management index under long-term continuous cotton. Commun. Soil Sci. Plant Anal. doi: 10.1080/00103624.2016.1269799
23
Liu H. F. Zhang J. Y. Ai Z. M. Wu Y. Xu H. W. Li Q. et al . (2018). 16-year fertilization changes the dynamics of soil oxidizable organic carbon fractions and the stability of soil organic carbon in soybean-corn agroecosystem. Agric. Ecosyst. Environ.265, 320–330. doi: 10.1016/j.agee.2018.06.032
24
Liu L. Zhuang Q. L. Zhao D. S. Zheng D. Kou D. Yang Y. H. (2022). Permafrost degradation diminishes terrestrial ecosystem carbon sequestration capacity on the Qinghai-Tibetan plateau. Glob. Biogeochem. Cycles36:7068. doi: 10.1029/2021GB007068
25
Lu X. L. Lu X. N. Liao Y. C. (2018). Conservation tillage increases carbon sequestration of winter wheat-summer maize farmland on loess plateau in China. PLoS One13:e0199846. doi: 10.1371/journal.pone.0199846
26
Lu Y. Si B. Li H. Biswas A. (2019). Elucidating controls of the variability of deep soil bulk density. Geoderma348, 146–157. doi: 10.1016/j.geoderma.2019.04.033
27
Ma G. F. Chen Y. P. Wang H. J. Wang H. Wu J. H. Su C. C. et al . (2020). Newly created farmland should be artificially ameliorated to sustain agricultural production on the loess plateau. Land Degrad. Dev.31, 2565–2576. doi: 10.1002/ldr.3618
28
Melero S. López-Bellido R. J. López-Bellido L. Muñoz-Romero V. Moreno F. Murillo J. M. (2011). Long-term effect of tillage, rotation and nitrogen fertiliser on soil quality in a Mediterranean vertisol. Soil Tillage Res.114, 97–107. doi: 10.1016/j.still.2011.04.007
29
Nath P. C. das T. K. Rana K. S. Bhattacharyya R. Pathak H. Paul S. et al . (2017). Greenhouse gases emission, soil organic carbon and wheat yield as affected by tillage systems and nitrogen management practices. Arch. Agron. Soil Sci.63, 1644–1660. doi: 10.1080/03650340.2017.1300657
30
Peeyush S. Vikas A. Sharma K. R. Neetu S. Phogat V. K. Vishaw V. (2016). Impact of conservation tillage on soil organic carbon and physical properties –a review. Int. J. Bio Res. Stress Manag.7, 151–161. doi: 10.23910/IJBSM/2016.7.1.1387
31
Peng J. Ci E. Wang Z. F. Gao M. Xie D. T. (2011). Effects of conservation tillage on organic carbon and carbon management index in Paddy soil. Appl. Mech. Mater.71-78, 2759–2762. doi: 10.4028/www.scientific.net/AMM.71-78.2759
32
Raghavendra S. Subhash B. Kant A. R. Swaroop M. R. Singh Y. G. Anup D. et al . (2021). Conservation tillage and organic nutrients management improve soil properties, productivity, and economics of a maize-vegetable pea system in the eastern Himalayas. Land Degrad. Dev.32. doi: 10.1002/LDR.4066
33
Rahmat S. Lanang K. F. Irwan S. B. Henrie B. Muhajir U. (2012). Carbon storage and carbon dioxide emission as influenced by long-term conservation tillage and nitrogen fertilization in corn-soybean rotation. Jurnal Tanah Tropika17, 75–84. doi: 10.5400/jts.2012.17.1.75
34
Sadiq M. Li G. Rahim N. Tahir M. (2021). Sustainable conservation tillage technique for improving soil health by enhancing soil physicochemical quality indicators under wheat mono-cropping system conditions. Sustainability13:8177. doi: 10.3390/SU13158177
35
Shi X. X. Zhao Y. Zhang L. Wu W. L. Meng F. Q. (2017). Effects of different agricultural practices on soil carbon Pool in North China plain. Huan Jing Ke Xue38, 301–308. doi: 10.13227/j.hjkx.201605212
36
Shu X. Zhu A. N. Zhang J. B. Yang W. L. Xin X. L. Zhang X. F. (2015). Changes in soil organic carbon and aggregate stability after conversion to conservation tillage for seven years in the Huang-Huai-Hai plain of China. J. Integr. Agric.14, 1202–1211. doi: 10.1016/S2095-3119(14)60862-5
37
Srivastava P. Singh P. K. Singh P. Bhadouria R. Singh D. K. Singh S. et al . (2016). Relative availability of inorganic N-pools shifts under land use change: an unexplored variable in soil carbon dynamics. Ecol. Indic.64, 228–236. doi: 10.1016/j.ecolind.2015.12.043
38
Srivastava P. Singh P. K. Singh P. Bhadouria R. Singh D. K. Singh S. et al . (2020). Temporal change in soil physicochemical, microbial, aggregate and available C characteristic in dry tropical ecosystem. Catena190:104553. doi: 10.1016/j.catena.2020.104553
39
Stockfisch N. Forstreuter T. Ehlers W. (1999). Ploughing effects on soil organic matter after twenty years of conservation tillage in Lower Saxony. Germany. Soil Tillage Res.52
40
Su Z. Y. Zhang J. S. Wu W. L. Cai D. X. Lv J. J. Jiang G. H. et al . (2006). Effects of conservation tillage practices on winter wheat water-use efficiency and crop yield on the loess plateau, China. Agric. Water Manag.87, 307–314. doi: 10.1016/j.agwat.2006.08.005
41
Sun H. Y. Wang C. X. Wang X. D. Rees R. M. (2013). Changes in soil organic carbon and its chemical fractions under different tillage practices on loess soils of the Guanzhong plain in north-West China. Soil Use Manag.29, 344–353. doi: 10.1111/sum.12046
42
Wang B. S. Gao L. L. Yu W. S. Wei X. Q. Li J. Li S. P. et al . (2019). Distribution of soil aggregates and organic carbon in deep soil under long-term conservation tillage with residual retention in dryland. J. Arid. Land11, 241–254. doi: 10.1007/s40333-019-0094-6
43
Wang W. Y. Hou Y. T. Pan W. H. Vinay N. Mo F. Liao Y. C. et al . (2021). Continuous application of conservation tillage affects in situ N2O emissions and nitrogen cycling gene abundances following nitrogen fertilization. Soil Biol. Biochem.157:108239. doi: 10.1016/J.SOILBIO.2021.108239
44
Wang H. Wang S. L. Zhang Y. J. Wang X. L. Wang R. Li J. (2018). Tillage system change affects soil organic carbon storage and benefits land restoration on loess soil in North China. Land Degrad. Dev.29, 2880–2887. doi: 10.1002/ldr.3015
45
Wang H. Y. Wu J. Q. Li G. Yan L. J. (2021). Changes in soil carbon fractions and enzyme activities under different vegetation types of the northern loess plateau. Ecol. Evol.10, 12211–12223. doi: 10.1002/ece3.6852
46
Wang L. Xu H. K. Zhang H. Zhang Y. J. (2022). Grazing and mowing affect the carbon-to-nitrogen ratio of plants by changing the soil available nitrogen content and soil moisture on the meadow steppe, China. Plan. Theory11:286. doi: 10.3390/PLANTS11030286
47
Wang W. Y. Yuan J. C. Gao S. M. Li T. Li Y. J. Vinay N. et al . (2020). Conservation tillage enhances crop productivity and decreases soil nitrogen losses in a rainfed agroecosystem of the loess plateau, China. J. Clean. Prod.274:122854. doi: 10.1016/j.jclepro.2020.122854
48
Wu X. Niu Y. B. Xun M. Y. Jin J. Y. Tang Y. K. Chen Y. M. (2021). Soil carbon, nitrogen, and phosphorus storages and their stoichiometry due to mixed afforestation with Hippophae rhamnoides in the loess hilly region, China. Forests12:1718. doi: 10.3390/F12121718
49
Wu J. Q. Wang H. Y. Li G. Ma W. W. Wu J. H. Gong Y. et al . (2020). Vegetation degradation impacts soil nutrients and enzyme activities in wet meadow on the Qinghai-Tibet plateau. Sci. Rep.10:21271. doi: 10.1038/s41598-020-78182-9
50
Yadav G. S. Babu S. das A. Datta M. Mohapatra K. P. Singh R. et al . (2021). Productivity, soil health, and carbon management index of Indian Himalayan intensified maize-based cropping systems under live mulch based conservation tillage practices. Field Crop Res.264:108080. doi: 10.1016/j.fcr.2021.108080
51
Yang B. J. Huang G. Q. Lan Y. Chen H. J. Wang S. B. (2014). Effects of nitrogen application and winter green manure on soil active organic carbon and the soil carbon pool management index. Ying Yong Sheng Tai Xue Bao25, 2907–2913. doi: 10.13287/j.1001-9332.20140801.013
52
Yang X. Wang D. Lan Y. Meng J. Jiang L. L. Sun Q. et al . (2018). Labile organic carbon fractions and carbon pool management index in a 3-year field study with biochar amendment. J. Soils Sediments18, 1569–1578. doi: 10.1007/s11368-017-1874-2
53
Yang J. M. Zhang Z. Q. Cao G. J. (2014). Soil nitrate and nitrite content determined by Skalar SAN++. Soil Fertil. Sci. China02, 101–105.
54
Yang Y. Zhou C. J. Li N. Han K. Meng Y. Tian X. X. et al . (2015). Effects of conservation tillage practices on ammonia emissions from loess plateau rain-fed winter wheat fields. Atmos. Environ.104, 59–68. doi: 10.1016/j.atmosenv.2015.01.007
55
Zhang Y. J. Li J. Guo Z. Yue Z. F. (2015). Simulated responses of winter wheat yield and soil moisture to different conservation tiliage practices in Weibei highlands, Northwest China. Ying Yong Sheng Tai Xue Bao26, 800–808. doi: 10.13287/j.1001-9332.20150130.002
56
Zhang Z. Q. Qiang H. J. McHugh A. D. He J. Li H. Wang Q. et al . (2016). Effect of conservation farming practices on soil organic matter and stratification in a mono-cropping system of northern China. Soil Tillage Res.156, 173–181. doi: 10.1016/j.still.2015.10.008
57
Zhang Y. J. Tan C. J. Wang R. Li J. Wang X. L. (2021). Conservation tillage rotation enhanced soil structure and soil nutrients in long-term dryland agriculture. Eur. J. Agron.131:126379. doi: 10.1016/J.EJA.2021.126379
58
Zhang Q. Wang S. Sun Y. Zhang Y. Li H. Liu P. et al . (2022). Conservation tillage improves soil water storage, spring maize (Zea mays L.) yield and WUE in two types of seasonal rainfall distributions. Soil Tillage Res.215:105237. doi: 10.1016/j.still.2021.105237
59
Zhang Y. J. Wang S. L. Wang H. Wang R. Wang X. L. Li J. (2018). Crop yield and soil properties of dryland winter wheat-spring maize rotation in response to 10-year fertilization and conservation tillage practices on the loess plateau. Field Crop Res.225, 170–179. doi: 10.1016/j.fcr.2018.07.003
60
Zhao C. Sheng M. Y. Bai Y. X. Liu S. X. (2021). Soil available nitrogen and phosphorus contents and the environmental impact factors across different land use types in typical karst rocky desertification area, Southwest China. Ying Yong Sheng Tai Xue32, 1383–1392. doi: 10.13287/j.1001-9332.202104.018
61
Zhu L. Q. Hu N. J. Zhang Z. W. Xu J. L. Tao B. R. Meng Y. L. (2015). Short-term responses of soil organic carbon and carbon pool management index to different annual straw return rates in a rice–wheat cropping system. Catena135, 283–289. doi: 10.1016/j.catena.2015.08.008
Summary
Keywords
climate change, carbon and nitrogen component, carbon and nitrogen storages, carbon pool management index, sustainable climate smart agriculture
Citation
Yuan J, Liang Y, Zhuo M, Sadiq M, Liu L, Wu J, Xu G, Liu S, Li G and Yan L (2023) Soil nitrogen and carbon storages and carbon pool management index under sustainable conservation tillage strategy. Front. Ecol. Evol. 10:1082624. doi: 10.3389/fevo.2022.1082624
Received
28 October 2022
Accepted
14 December 2022
Published
06 January 2023
Volume
10 - 2022
Edited by
Fujiang Hou, Lanzhou University, China
Reviewed by
Rahul Bhadouria, University of Delhi, India; Wenbo Luo, Northeast Normal University, China
Updates
Copyright
© 2023 Yuan, Liang, Zhuo, Sadiq, Liu, Wu, Xu, Liu, Li and Yan.
This is an open-access article distributed under the terms of the Creative Commons Attribution License (CC BY). The use, distribution or reproduction in other forums is permitted, provided the original author(s) and the copyright owner(s) are credited and that the original publication in this journal is cited, in accordance with accepted academic practice. No use, distribution or reproduction is permitted which does not comply with these terms.
*Correspondence: Guang Li, lig@gsau.edu.cnLijuan Yan, yanlj@gsau.edu.cn
This article was submitted to Conservation and Restoration Ecology, a section of the journal Frontiers in Ecology and Evolution
Disclaimer
All claims expressed in this article are solely those of the authors and do not necessarily represent those of their affiliated organizations, or those of the publisher, the editors and the reviewers. Any product that may be evaluated in this article or claim that may be made by its manufacturer is not guaranteed or endorsed by the publisher.