Your new experience awaits. Try the new design now and help us make it even better

ORIGINAL RESEARCH article

Front. Oncol., 20 February 2023

Sec. Cancer Imaging and Image-directed Interventions

Volume 13 - 2023 | https://doi.org/10.3389/fonc.2023.1079040

This article is part of the Research TopicMethods in Cancer Imaging and Image-directed InterventionsView all 17 articles

Correlation between ADC, ADC ratio, and Gleason Grade group in prostate cancer patients undergoing radical prostatectomy: Retrospective multicenter study with different MRI scanners

  • 1Department of Clinical Sciences, Radiology, Lund, Lund University, Lund, Sweden
  • 2Department of Medical Imaging and Physiology, Skåne University Hospital, Lund, Sweden
  • 3Department of Translational Medicine, Lund University, Malmö, Sweden
  • 4Department of Radiology, Helsingborg Hospital, Helsingborg, Sweden
  • 5Department of Medical Imaging and Physiology, Skåne University Hospital, Malmö, Sweden
  • 6Lund Bioimaging Center (LBIC), Lund University, Lund, Sweden
  • 7Department of Urology, Skåne University Hospital, Malmö, Sweden

Background: MRI is an important tool in the prostate cancer work-up, with special emphasis on the ADC sequence. This study aimed to investigate the correlation between ADC and ADC ratio compared to tumor aggressiveness determined by a histopathological examination after radical prostatectomy.

Methods: Ninety-eight patients with prostate cancer underwent MRI at five different hospitals prior to radical prostatectomy. Images were retrospectively analyzed individually by two radiologists. The ADC of the index lesion and reference tissues (contralateral normal prostatic, normal peripheral zone, and urine) was recorded. Absolute ADC and different ADC ratios were compared to tumor aggressivity according to the ISUP Gleason Grade Groups extracted from the pathology report using Spearman’s rank correlation coefficient (ρ). ROC curves were used to evaluate the ability to discriminate between ISUP 1-2 and ISUP 3-5 and intra class correlation and Bland-Altman plots for interrater reliability.

Results: All patients had prostate cancer classified as ISUP grade ≥ 2. No correlation was found between ADC and ISUP grade. We found no benefit of using the ADC ratio over absolute ADC. The AUC for all metrics was close to 0.5, and no threshold could be extracted for prediction of tumor aggressivity. The interrater reliability was substantial to almost perfect for all variables analyzed.

Conclusions: ADC and ADC ratio did not correlate with tumor aggressiveness defined by ISUP grade in this multicenter MRI study. The result of this study is opposite to previous research in the field.

Introduction

Prostate cancer (PCa) is the most common cancer in men worldwide (GLOBOCAN 2020) (1). However, most men with PCa have low-grade, indolent tumors. Therefore, discriminating between indolent and aggressive tumors is a diagnostic issue. With the traditional diagnostic approach, which includes a blood test of prostate specific antigen (PSA), digital rectal examination, and systematic transrectal ultrasound-guided biopsies, only a small and randomly distributed fraction of the gland is examined, resulting in a substantial risk of both over- and under-sampling. A more modern pathway involves magnetic resonance imaging (MRI) to detect clinically significant prostate cancer (csPCa) and rule out other causes of elevated PSA levels. On pathology, csPCa is defined as a Gleason score ≥7 (including 3 + 4 with a prominent but not predominant Gleason 4 component), volume ≥0.5 mL, and/or extra prostatic extension (2). Today, the International Society of Urological Pathology (ISUP) grade is often used to categorize different Gleason score patterns (3). When using MRI as a triage tool, unnecessary biopsies can be avoided, and targeted when required. This approach was investigated in the PRECISION study, which showed that MRI followed by targeted biopsies detected more significant tumors (38% versus 26%, p=0.005) and fewer insignificant tumors (9% versus 22%, p<0.001) compared to systematic biopsies (4). In the group that had an MRI in the work up, 28% had a negative MRI and, thus, did not have to undergo biopsy. These results changed the work-up routine, and MRI is now a cornerstone of PCa diagnosis. Therefore, the demands on MRI are high in terms of technical quality and radiological interpretation for correctly detecting or excluding csPCa.

Prostate Imaging – Reporting and Data System (PI-RADS, version 2.1) is a system that describes how to perform, interpret, and report MRI of the prostate (2). The most important MRI sequence is diffusion-weighted imaging (DWI), which is the deciding sequence in the peripheral zone (PZ) and the secondary sequence in the transition zone (TZ). DWI provides information on tissue composition and tumor cellularity (5). The signal intensity on DWI reflects the motion of water molecules in the tissue. The concept is based on the theory that a tumor consists of more dense tissue than normal prostatic tissue.

Several studies have shown that the ADC value inversely correlates with ISUP grade and is often used as a marker of aggressiveness (59). Several cut-off values have been proposed; in PIRADS 2.0, a threshold of 750-900 µm2/s was suggested as a pathological ADC value, but no consensus has been reached (8, 10). The concept is associated with several difficulties. First, the ADC varies substantially depending on several factors, including the b-values used, scanner field strength, patient and coil geometry, temporal fluctuations in the magnet, and variations in measurements between readers. Furthermore, non-cancerous lesions, such as benign prostate hypertrophy, may also exhibit decreased ADC values, and there is a substantial overlap in ADC values and PCa (11). ADC is sometimes used as a marker of aggressiveness in other organs and diseases. For example, in rectal adenocarcinoma, a lower ADC value is associated with a more aggressive tumor and poorer survival rate. Similar correlations have been found in certain types of breast cancer, ovarian cancer, lung cancer, and gliomas (1215).

A common way to overcome the differences in absolute ADC values is to normalize the ADC by using different ADC ratios (10, 16). The ADC ratio is expressed as the ratio between the ADC value of the tumor and the ADC value of another location, such as non-cancerous tissue in the same organ or other organs in the same patient (5, 17).

In recent years, several studies have investigated the potential benefit of using the ADC ratio over absolute ADC values. Some authors have affirmed that the ADC ratio is the preferred method and demonstrated significant capability in discriminating Gleason 3 + 4 from 4 + 3 PCa (5, 8, 9, 16, 18). Other authors have been more doubtful (19).

The aim of the present study was to investigate, in a consecutive patient cohort imaged using different MRI scanners, how absolute ADC value and ADC ratios correlate with ISUP grade following robot-assisted laparoscopic prostatectomy (RALP). A secondary aim was to assess the potential inter-observer variability.

Material and methods

The study was a retrospective cohort study approved by the local ethics review committee at Lund University (Dnr 2014-886) and the Swedish ethical review authority (entry no. 2019-03674).

Study population

All consecutive patients who underwent RALP for biopsy proven PCa at Skåne University Hospital in Malmö, Sweden, during 2018 were identified and assessed for eligibility. Patients were included if they had undergone MRI less than 1 year before surgery at five different hospitals. Patients were excluded if the index lesion described in the pathology report was not identified on MRI, severe artifacts were present on MRI, the MRI was performed outside of Region Skåne, or the patient opted out. Lesions were excluded based on consensus between two readers (JB and ET). The data collection algorithm is presented in Figure 1. Patient data were obtained from medical records.

FIGURE 1
www.frontiersin.org

Figure 1 Flow diagram of patient selection.

Pathological examination

The surgical specimens were handled according to clinical routines and fixed in formalin. Lesions were examined by experienced pathologists using hematoxylin and eosin staining. Pathological data and whole mount (WM) tumor maps were obtained from the pathology report. The location and Gleason score of the index lesion were recorded using the ISUP category classification (Table 1).

TABLE 1
www.frontiersin.org

Table 1 ISUP grade groups and the corresponding Gleason scores and patterns.

MRI acquisition and image analysis

Preoperative MRI of the prostate was performed within Region Skåne using one of eight MRI scanners at five sites. Both 3T and 1.5T scanners were used. According to local routines, different imaging acquisition parameters were used at different sites. All protocols included transverse, coronal, and sagittal T2-weighted turbo spin-echo images, transverse T1-weighted images, diffusion-weighted images with a high b-value of 1500 s/mm2, and a calculated ADC map. A list of MRI scanners and imaging acquisition parameters for the DWI are presented in Table 2.

TABLE 2
www.frontiersin.org

Table 2 Overview of scanners and diffusion-weighted imaging (DWI) acquisition parameters.

Two readers, both specialists in radiology with 4 and 5 years of experience in reading prostate MRI, performed all imaging analyses as described below. The examinations were reviewed using the clinical Picture Archiving and Communication System, Sectra IDS7.

First, and in consensus, the two readers matched the index lesion in the surgical specimen with the corresponding lesion on MRI using the pathological report and the whole-mount tumor map. In a second step, the remaining interpretation and image analyses were performed individually. For the index lesion, each reader recorded the maximum diameter in millimeters, zone location (PZ or TZ), and PI-RADS score (version 2.1). A circular region of interest (ROI) was placed in the index lesion in the ADC map on the slice with the largest cross-sectional area of tumor (ADClesion). The ROI was drawn to include only the lesion without any surrounding parenchyma. The size of the ROI was not fixed, it was drawn as big as possible within the defined lesion. A second ROI (ADCcontralat ref) of the same size was placed at the contralateral position on the same slice, that is in the same zone as the index lesion. A third and fourth ROI was placed in the most homogenous area in the PZ (ADCPZ ref) and in the urinary bladder (ADCurine ref), respectively. For each ROI, the mean ADC value was recorded (Figure 2).

FIGURE 2
www.frontiersin.org

Figure 2 Example of a whole mount pathology specimen and placement of a region of interest (ROI) in the ADC map. The specimen was from a 70-year-old man with prostate cancer, PSA level 6.2 ng/mL, and clinical stage T3b. Systematic biopsies showed Gleason 4 + 5 (ISUP grade 5) in 7 of 12 cores. MRI was performed for staging and revealed a 2 x 3 cm PI-RADS 5 lesion in the right peripheral zone (PZ) with findings in line with extraprostatic extension (EPE) and seminal vesicle invasion (SVI). The final staging was pT3a. (A) Midgland whole mount specimen with a large tumor in the right PZ (blue border) with 37 mm EPE (red line). (B) Circular ROI in tumor (ADClesion = 474 x 10-6 mm2/s) and in contralateral non-tumorous tissue (ADCcontralat ref = 1213 x 10-6 mm2/s). (C) Circular ROI drawn in non-tumorous PZ (ADCPZ ref = 1638 x 10-6 mm2/s). (D) Circular ROI in urinary bladder (ADCurine ref = 2216 x 10-6 mm2/s). Tumor to non-tumor ratio = 0.36, tumor to PZ ratio = 0.29, and tumor to urinary bladder ratio = 0.21.

Statistical analysis

Descriptive statistics were used to present the study population. Box plots and Spearman’s rank correlation coefficient (ρ) were used to evaluate the association between ISUP grade and ADC variables. Measurements from reader 1 were used for the analyses of ADC metrics. These analyses were repeated and stratified by scanner field strength (1.5 vs. 3T) and tumor location (PZ vs. TZ). Receiver operating characteristic (ROC) curves were used to evaluate the ability to discriminate between ISUP 1-2 and ISUP 3-5 based on ADC variables. Interrater reliability was evaluated using Bland-Altman plots and intraclass correlation (ICC) based on the formula for random effects, absolute agreement, and single rater measurements. The ICC values were rated as follows: slight agreement, 0 – 0.20; fair agreement, 0.21 – 0.40; moderate agreement, 0.41 – 0.60; substantial agreement, 0.61 – 0.80; almost perfect agreement, 0.81 – 1.

All statistical analyses were performed in R version 4.0.2. The pROC package was used for ROC curves and the irr package to calculate ICC.

Results

A total of 144 men underwent RALP due to biopsy proven PCa and had an MRI prior to the procedure. After exclusion for different reasons (Figure 1), 98 patients were included in the final study analysis. The patient and tumor characteristics are presented in Table 3. No specimen was classified as ISUP 1. Most index lesions were located in the PZ of the prostate. Patients with different ISUP grades were relatively evenly distributed over the eight scanners, details are available in Supplementary Table 1.

TABLE 3
www.frontiersin.org

Table 3 Patient characteristics (n=98).

ADC measurements vs. ISUP grade

The average ADClesion was 652×10-6 mm2/s (range 396×10-6 mm2/s to 1271×10-6 mm2/s), whereas the average ADCcontralat ref tissue was 1275×10-6 mm2/s (range 779×10-6 mm2/s to 1794×10-6 mm2/s). The average ADCPZ ref was 1478×10-6 mm2/s (range 779×10-6 mm2/s to 2155×10-6 mm2/s) and of ADCurine ref was 2021×10-6 mm2/s (range 861×10-6 mm2/s to 3368×10-6 mm2/s; Figure 3). We found no significant negative correlation, between absolute the ADC value of the index lesion and the ISUP grade. The observed spearman correlation between the ADC of the index lesion and ISUP grade was low (ρ= -0.18) and not significant. Furthermore, the ADC of the index lesion did not perform well in discriminating between ISUP 1-2 and ISUP 3-5 (AUC= 0.62 [95% CI 0.51-0.74]). A tendency for a negative correlation was observed when the results from the 3T scanners were analyzed separately (ρ= -0.27; p<0.05), but not for the 1.5 T scanners (ρ= -0.01). Tables reporting the correlation values stratified by field strength are available in Supplementary Table 2. We found no correlation in separate analyses of the PZ and TZ.

FIGURE 3
www.frontiersin.org

Figure 3 Box-and-whisker plots of apparent diffusion coefficient (ADC) metrics for tumors stratified by ISUP grade. (*) Normal represents the absolute ADC value of the normal appearing tissue in the contralateral position of the index lesion.

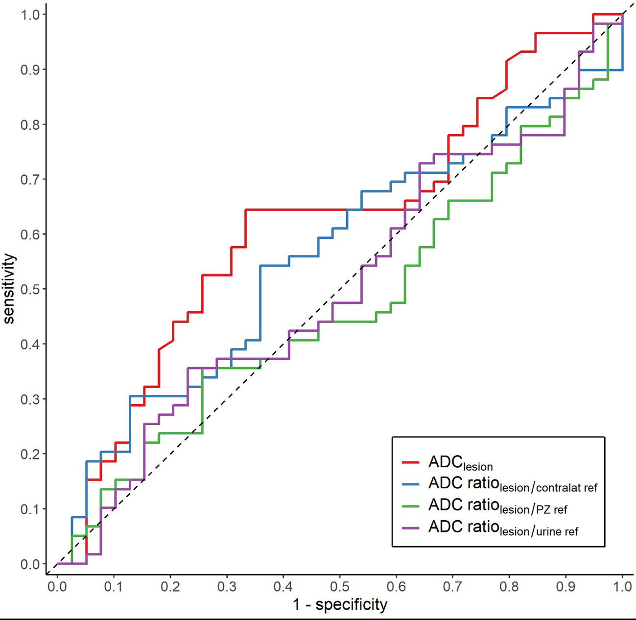
The three different ADC ratios were calculated for each lesion (ADClesion/ADCcontralat ref, ADClesion/ADCurine ref, and ADClesion/ADCPZ ref in relation to tumor aggressiveness. None of them showed any discriminatory effect (Figures 3, 4).

FIGURE 4
www.frontiersin.org

Figure 4 ROC curves comparing absolute ADC and three different ADC ratios in discriminating ISUP 1-2 from ISUP 3-5.

The agreement between the two readers in the ADC measurements was almost perfect for ADClesion (ICC of 0.80 [95% CI 0.72 – 0.86]), ADCcontralat ref (ICC of 0.82 [95% CI 0.75 – 0.88]), and ADCurine ref (ICC of 0.96 [95% CI 0.94 – 0.97]). For ADCPZ ref, the agreement was substantial (ICC of 0.75 [95% CI 0.65 – 0.86], Figure 5).

FIGURE 5
www.frontiersin.org

Figure 5 Bland-Altman plots. The dotted lines represent no difference between readers, the solid lines represent mean differences between readers, and the dashed blue lines represent limits of agreement, calculated as the mean difference ± 1.96SD of the mean difference. *Mean differences between readers (95% limits of agreement).

Discussion

This multi-scanner cohort study of 98 consecutive patients with MRI of the prostate before RALP showed no correlation between the absolute ADC value of the tumor and tumor aggressivity determined by pathology. No improvement was noted when the ADC value was normalized by applying different ADC ratios. Thus, no threshold values for ADC or ADC ratio were determined to discriminate significant from non-significant PCa. The inter-reader agreement between the two observers was substantial to almost perfect.

Different methods of interpretation have been applied to predict whether a lesion found on MRI represents benign tissue, non-significant cancer, or significant cancer. When comparing the results from the different studies, the definition of csPCa is crucial, as most authors try to define a threshold value for different ADC metrics in relation to tumor aggressivity. Some papers have used ISUP grade 1 as non-significant and ISUP 2 and higher as significant (2024), whereas others have included ISUP 2 in the non-significant group. One study even included all ISUP 2 and 3 in the more harmless group and used the terms intermediate and high-risk cancer as the border between the two groups (25). Boesen et al. performed their analyses on two different cut-offs with ISUP 2 in both the significant and non-significant groups (8). In our study, all resected prostates were ISUP 2 or higher, which gave us no choice to use only ISUP 1 in the non-significant group. This was also true for the 23 patients in whom the index lesion could not be identified on MRI.

Regardless of which definition of csPCa is used, several authors have reported a strong inverse correlation between ADC metrics and tumor aggressivity, with a reported AUC of up to 0.94 (26) or 0.96 (17). This contrasts with the results of our study, as we found an AUC of 0.62, which would suggest that the absolute ADC value is not useful for predicting the presence of csPCa. The reasons for these results can be debated. We used eight different MRI scanners with different acquisition parameters. Disparate absolute ADC values are not unexpected with these settings. Barret et al. calculated different ADC values from the same scans by combining four b-values in different ways, thereby simulating different parameters (5). Most combinations showed a relatively good inverse correlation with tumor aggressivity. When they used the ratio between tumorous and non-tumorous ADC values, the differences in acquisition parameters were less obvious. Thus, they stated that the ADC ratio may be considered a more robust tool for assessing restricted diffusion in the prostate (5). With the same intention, we evaluated whether the disparate ADC values between our scanners could be more useful when different ratios were applied. However, despite using three different tissues as denominators in the creation of the ratios, no added value or better performance were found for the metrics. In fact, the AUC was even smaller, close to 0.5 for all three ratios, which is slightly smaller than for the absolute ADC. For the 1.5T scanners there was a tendency of positive correlation, instead of the expected negative correlation, between ADC ratio and ISUP grade.

Several other authors have claimed that the ratio, often tumor versus the contralateral normal appearing tissue, is better than the absolute ADC value. Lebovici et al. showed the usefulness of an ADC ratio in differentiating low-grade and high-grade disease (25). Similar results were reported by Boesen et al. and Litjens et al. (8, 27). Interestingly, both absolute ADC values and the ADC ratios differed considerably between these studies. Itatani et al. assessed 58 men who underwent RALP after MRI and used the internal obturator muscle as the ADC reference, finding superior use of the ratio (AUC 0.85 vs. 0.71) (28). Bajgiran et al. concluded that the ADC ratio is a more robust biomarker of PCa aggressiveness (21). Conversely, Rosencrantz et al. found no benefit of using the ADC ratios with urine ADC as the denominator for differentiating benign and malignant tissue in the PZ (17). Woo et al. (20) included 165 men, and DeCobelli 72 men (26), with contralateral prostatic tissue as the reference and found no benefit of the ADC ratio compared to standalone ADC.

Woo et al. pointed out several reasons why the use of the ADC value for internal reference organs may not yield helpful ADC ratios and thereby add, rather than reduce, sources of error in the interpretation (20). For example, they emphasize that the ADC value of the non-tumor PZ can vary according to age, and that the intrinsically organized chaos of the TZ results in a wide range of normal ADC values (29). Moreover, post-biopsy changes can alter the signal intensity of DWI in the prostatic tissue for several weeks. Finally, as hypothesized by DeCobelli, non-tumorous tissue can be affected by nearby non-visible tumor infiltration or by peritumoral fibrosis and inflammation, which all affect the ADC (26). The b-values that were used to estimate the ADC (Table 2) varied across MRI systems and sites, and several were inconsistent with PI-RADS recommendations (2). For example, the estimation of ADC based on data acquired at low b-values (<100 s/mm2) may introduce a positive bias due to incoherent blood perfusion (30). Furthermore, when the ADC is based on high b-values (>1000 s/mm2), the estimation in normal tissue may be negatively biased due to the rectified noise floor (31). These factors may explain why the ratio did not show a better inverse correlation with cancer aggressiveness than standalone ADC. Moreover, in a systematic review of 39 papers with 2457 patients, Surov et al. identified only a moderate correlation between ADC and Gleason score in PCa located in the PZ, and an even worse correlation in the TZ (32).

Harmonizing MRI parameters between centers is important, especially since the ADC values are used for deciding PI-RADS category and hence, affects the clinical decision. In 2007, the Radiological Society of North America organized The Quantitative Imaging Biomarkers Alliance ® (QIBA). QIBA strives for standardization of image acquisition and assesses whether imaging metrics have clinical value (33). Their ongoing work includes evaluation and standardization of DWI in for example MRI Prostate.

In our study, the interrater agreements for different ADC metrics were strong, suggesting that factors other than differences in radiologists’ measurements are the reason for the lack of correlation with pathology. Our results are in line with similar previous studies (19, 23, 34).

Our study has several limitations. First, the study group was small. In addition, the quality of the MRI scans was generally lower than would have been acceptable today. Another limitation is that all included patients had csPCa; therefore, we only obtained data from the more advanced and aggressive tumors. In contrast to previous articles on this topic, no patients with ISUP 1 tumors were subject to prostate resection. This is in line with current clinical treatment guidelines (35). Furthermore, we did not have information on the fraction of Gleason 4 in the ISUP 2 group (Gleason 3 + 4). A lower percentage of Gleason 4 could have put these patients in the group with non-significant cancers. Moreover, the results from pathology were extracted from the original pathology reports, which were produced in a clinical setting by different pathologists with different levels of experience. That is, no study-dedicated pathology examination was performed.

There is potential for improvement, which we will implement in a forthcoming study. Most important is to include the whole range of benign to the most aggressive tumors. This can be achieved by including core biopsies performed using the MR – ultrasound fusion technique. Furthermore, with new digital pathology archives, high precision correlations can be made between the WM RALP specimen and corresponding MR slice. A dedicated revaluation of a specific location in the WM specimen, including tumor subtype and tumor cell growth pattern, can be made.

Conclusions

In conclusion, our study did not find any correlation between the ADC value and ISUP grade in a multi-scanner setting. We found no benefit of using ADC ratios, so-called normalized ADC values, even with good agreement between the two experienced readers. This contradicts previous single-center studies published research in the field. Therefore, in a clinical situation with different MRI scanner types, measurements of ADC must be used with caution. It also highlights the importance of harmonizing the parameters of the MRI sequences across centers.

Data availability statement

The raw data supporting the conclusions of this article will be made available by the authors, without undue reservation.

Ethics statement

The studies involving human participants were reviewed and approved by Lund University (Dnr 2014-886) Swedish ethical review authority (entry no. 2019-03674). Written informed consent for participation was not required for this study in accordance with the national legislation and the institutional requirements.

Author contributions

JB, ET, DF-S, AB and SZ conceived of the presented idea. JB and ET performed the measurements. DFS retrieved clinical data from patient records. JB, ET, SZ processed the experimental data and performed the analyses. SZ and EB supervised the work. All authors contributed to the writing of the manuscript and approved the submitted version.

Conflict of interest

The authors declare that the research was conducted in the absence of any commercial or financial relationships that could be construed as a potential conflict of interest.

Publisher’s note

All claims expressed in this article are solely those of the authors and do not necessarily represent those of their affiliated organizations, or those of the publisher, the editors and the reviewers. Any product that may be evaluated in this article, or claim that may be made by its manufacturer, is not guaranteed or endorsed by the publisher.

Supplementary material

The Supplementary Material for this article can be found online at: https://www.frontiersin.org/articles/10.3389/fonc.2023.1079040/full#supplementary-material

References

1. Cancer IAfRo. Global cancer observatory. Lyon, France: International Agency for Research on Cancer (2020).

Google Scholar

2. American College of Radiology Committee on PI-RADS® (Prostate). (2019). Available at: https://www.acr.org/-/media/ACR/Files/RADS/PI-RADS/PIRADS-V2-1.pdf Accessed on October 1, 2022.

Google Scholar

3. Epstein JI, Egevad L, Amin MB, Delahunt B, Srigley JR, Humphrey PA. The 2014 international society of urological pathology (ISUP) consensus conference on Gleason grading of prostatic carcinoma. Am J Surg pathol (2016) 40(2):244–52. doi: 10.1097/PAS.0000000000000530

PubMed Abstract | CrossRef Full Text | Google Scholar

4. Kasivisvanathan V, Rannikko AS, Borghi M, Panebianco V, Mynderse LA, Vaarala MH, et al. MRI-Targeted or standard biopsy for prostate-cancer diagnosis. N Engl J Med (2018) 378(19):1767–77. doi: 10.1056/NEJMoa1801993

PubMed Abstract | CrossRef Full Text | Google Scholar

5. Barrett T, Priest AN, Lawrence EM, Goldman DA, Warren AY, Gnanapragasam VJ, et al. Ratio of tumor to normal prostate tissue apparent diffusion coefficient as a method for quantifying DWI of the prostate. AJR Am J Roentgenol (2015) 205(6):W585–93. doi: 10.2214/AJR.15.14338

PubMed Abstract | CrossRef Full Text | Google Scholar

6. Hambrock T, Somford DM, Huisman HJ, van Oort IM, Witjes JA, Hulsbergen-van de Kaa CA, et al. Relationship between apparent diffusion coefficients at 3.0-T MR imaging and Gleason grade in peripheral zone prostate cancer. Radiology (2011) 259(2):453–61. doi: 10.1148/radiol.11091409

PubMed Abstract | CrossRef Full Text | Google Scholar

7. Verma S, Rajesh A, Morales H, Lemen L, Bills G, Delworth M, et al. Assessment of aggressiveness of prostate cancer: Correlation of apparent diffusion coefficient with histologic grade after radical prostatectomy. AJR Am J Roentgenol (2011) 196(2):374–81. doi: 10.2214/AJR.10.4441

PubMed Abstract | CrossRef Full Text | Google Scholar

8. Boesen L, Chabanova E, Logager V, Balslev I, Thomsen HS. Apparent diffusion coefficient ratio correlates significantly with prostate cancer gleason score at final pathology. J Magn Reson Imaging (2015) 42(2):446–53. doi: 10.1002/jmri.24801

PubMed Abstract | CrossRef Full Text | Google Scholar

9. Hötker AM, Mazaheri Y, Aras Ö, Zheng J, Moskowitz CS, Gondo T, et al. Assessment of prostate cancer aggressiveness by use of the combination of quantitative DWI and dynamic contrast-enhanced MRI. Am J Roentgenol (2016) 206(4):756–63. doi: 10.2214/AJR.15.14912

CrossRef Full Text | Google Scholar

10. Manetta R, Palumbo P, Gianneramo C, Bruno F, Arrigoni F, Natella R, et al. Correlation between ADC values and Gleason score in evaluation of prostate cancer: Multicentre experience and review of the literature. Gland Surg (2019) 8(Suppl 3):S216–S22. doi: 10.21037/gs.2019.05.02

PubMed Abstract | CrossRef Full Text | Google Scholar

11. Hoeks CM, Hambrock T, Yakar D, Hulsbergen–van de Kaa CA, Feuth T, Witjes JA, et al. Transition zone prostate cancer: Detection and localization with 3-T multiparametric MR imaging. Radiology (2013) 266(1):207–17. doi: 10.1148/radiol.12120281

PubMed Abstract | CrossRef Full Text | Google Scholar

12. Costantini M, Belli P, Rinaldi P, Bufi E, Giardina G, Franceschini G, et al. Diffusion-weighted imaging in breast cancer: Relationship between apparent diffusion coefficient and tumour aggressiveness. Clin Radiol (2010) 65(12):1005–12. doi: 10.1016/j.crad.2010.07.008

PubMed Abstract | CrossRef Full Text | Google Scholar

13. Wu C-C, Jain R, Radmanesh A, Poisson LM, Guo W-Y, Zagzag D, et al. Predicting genotype and survival in glioma using standard clinical MR imaging apparent diffusion coefficient images: A pilot study from the cancer genome atlas. Am J Neuroradiol (2018) 39(10):1814–20. doi: 10.3174/ajnr.A5794

PubMed Abstract | CrossRef Full Text | Google Scholar

14. Surov A, Meyer HJ, Wienke A. Correlation between apparent diffusion coefficient (ADC) and cellularity is different in several tumors: A meta-analysis. Oncotarget (2017) 8(35):59492. doi: 10.18632/oncotarget.17752

PubMed Abstract | CrossRef Full Text | Google Scholar

15. Sun Y, Tong T, Cai S, Bi R, Xin C, Gu Y. Apparent diffusion coefficient (ADC) value: a potential imaging biomarker that reflects the biological features of rectal cancer. PloS One (2014) 9(10):e109371. doi: 10.1371/journal.pone.0109371

PubMed Abstract | CrossRef Full Text | Google Scholar

16. Alessandrino F, Taghipour M, Hassanzadeh E, Ziaei A, Vangel M, Fedorov A, et al. Predictive role of PI-RADSv2 and ADC parameters in differentiating Gleason pattern 3 + 4 and 4 + 3 prostate cancer. Abdom Radiol (NY) (2019) 44(1):279–85. doi: 10.1007/s00261-018-1718-6

PubMed Abstract | CrossRef Full Text | Google Scholar

17. Rosenkrantz AB, Kopec M, Kong X, Melamed J, Dakwar G, Babb JS, et al. Prostate cancer vs. post-biopsy hemorrhage: Diagnosis with T2- and diffusion-weighted imaging. J Magn Reson Imaging (2010) 31(6):1387–94. doi: 10.1002/jmri.22172

PubMed Abstract | CrossRef Full Text | Google Scholar

18. Tamada T, Prabhu V, Li J, Babb JS, Taneja SS, Rosenkrantz AB. Assessment of prostate cancer aggressiveness using apparent diffusion coefficient values: Impact of patient race and age. Abdom Radiol (NY) (2017) 42(6):1744–51. doi: 10.1007/s00261-017-1058-y

PubMed Abstract | CrossRef Full Text | Google Scholar

19. Abreu-Gomez J, Walker D, Alotaibi T, McInnes MDF, Flood TA, Schieda N. Effect of observation size and apparent diffusion coefficient (ADC) value in PI-RADS v2.1 assessment category 4 and 5 observations compared to adverse pathological outcomes. Eur Radiol (2020) 30(8):4251–61. doi: 10.1007/s00330-020-06725-9

PubMed Abstract | CrossRef Full Text | Google Scholar

20. Woo S, Kim SY, Cho JY, Kim SH. Preoperative evaluation of prostate cancer aggressiveness: Using ADC and ADC ratio in determining Gleason score. AJR Am J Roentgenol (2016) 207(1):114–20. doi: 10.2214/AJR.15.15894

PubMed Abstract | CrossRef Full Text | Google Scholar

21. Bajgiran AM, Mirak SA, Sung K, Sisk AE, Reiter RE, Raman SS. Apparent diffusion coefficient (ADC) ratio versus conventional ADC for detecting clinically significant prostate cancer with 3-T MRI. AJR Am J Roentgenol (2019) 213(3):W134–W42. doi: 10.2214/AJR.19.21365

PubMed Abstract | CrossRef Full Text | Google Scholar

22. Ragheb SR, Bassiouny RH. Can mean ADC value and ADC ratio of benign prostate tissue to prostate cancer assist in the prediction of clinically significant prostate cancer within the PI-RADSv2 scoring system? Egypt J Radiol Nucl Med (2020) 51(1). doi: 10.1186/s43055-020-00347-3

CrossRef Full Text | Google Scholar

23. Falaschi Z, Valenti M, Lanzo G, Attanasio S, Valentini E, Garcia Navarro LI, et al. Accuracy of ADC ratio in discriminating true and false positives in multiparametric prostatic MRI. Eur J Radiol (2020) 128:109024. doi: 10.1016/j.ejrad.2020.109024

PubMed Abstract | CrossRef Full Text | Google Scholar

24. Pepe P, D'Urso D, Garufi A, Priolo G, Pennisi M, Russo G, et al. Multiparametric MRI apparent diffusion coefficient (ADC) accuracy in diagnosing clinically significant prostate cancer. vivo (2017) 31(3):415–8. doi: 10.21873/invivo.11075

CrossRef Full Text | Google Scholar

25. Lebovici A, Sfrangeu SA, Feier D, Caraiani C, Lucan C, Suciu M, et al. Evaluation of the normal-to-diseased apparent diffusion coefficient ratio as an indicator of prostate cancer aggressiveness. BMC Med imaging (2014) 14(1):1–7. doi: 10.1186/1471-2342-14-15

PubMed Abstract | CrossRef Full Text | Google Scholar

26. De Cobelli F, Ravelli S, Esposito A, Giganti F, Gallina A, Montorsi F, et al. Apparent diffusion coefficient value and ratio as noninvasive potential biomarkers to predict prostate cancer grading: comparison with prostate biopsy and radical prostatectomy specimen. AJR Am J Roentgenol (2015) 204(3):550–7. doi: 10.2214/AJR.14.13146

PubMed Abstract | CrossRef Full Text | Google Scholar

27. Litjens GJ, Hambrock T, Hulsbergen–van de Kaa C, Barentsz JO, Huisman HJ. Interpatient variation in normal peripheral zone apparent diffusion coefficient: Effect on the prediction of prostate cancer aggressiveness. Radiology (2012) 265(1):260–6. doi: 10.1148/radiol.12112374

PubMed Abstract | CrossRef Full Text | Google Scholar

28. Itatani R, Namimoto T, Yoshimura A, Katahira K, Noda S, Toyonari N, et al. Clinical utility of the normalized apparent diffusion coefficient for preoperative evaluation of the aggressiveness of prostate cancer. Japan J Radiol (2014) 32(12):685–91. doi: 10.1007/s11604-014-0367-0

CrossRef Full Text | Google Scholar

29. Zhang J, Tian W-Z, Hu C-H, Niu T-L, Wang X-L, Chen X-Y. Age-related changes of normal prostate: Evaluation by MR diffusion tensor imaging. Int J Clin Exp Med (2015) 8(7):11220.

PubMed Abstract | Google Scholar

30. Le Bihan D. What can we see with IVIM MRI? Neuroimage (2019) 187:56–67. doi: 10.1016/j.neuroimage.2017.12.062

PubMed Abstract | CrossRef Full Text | Google Scholar

31. Gudbjartsson H, Patz S. The rician distribution of noisy MRI data. Magn Reson Med (1995) 34(6):910–4. doi: 10.1002/mrm.1910340618

PubMed Abstract | CrossRef Full Text | Google Scholar

32. Surov A, Meyer HJ, Wienke A. Correlations between apparent diffusion coefficient and Gleason score in prostate cancer: A systematic review. Eur Urol Oncol (2020) 3(4):489–97. doi: 10.1016/j.euo.2018.12.006

PubMed Abstract | CrossRef Full Text | Google Scholar

33. Shukla-Dave A, Obuchowski NA, Chenevert TL, Jambawalikar S, Schwartz LH, Malyarenko D, et al. Quantitative imaging biomarkers alliance (QIBA) recommendations for improved precision of DWI and DCE-MRI derived biomarkers in multicenter oncology trials. J Magn Reson Imaging (2019) 49(7):e101–e21. doi: 10.1002/jmri.26518

PubMed Abstract | CrossRef Full Text | Google Scholar

34. Park KJ, Kim MH, Kim JK. Extraprostatic tumor extension: Comparison of preoperative multiparametric MRI criteria and histopathologic correlation after radical prostatectomy. Radiology (2020) 296(1):87–95. doi: 10.1148/radiol.2020192133

PubMed Abstract | CrossRef Full Text | Google Scholar

35. Mottet N, Van den Bergh R, Briers E, Cornford P, De Santis M, Fanti S, et al. Eau-Eanm-Estro-Esur-Siog guidelines on prostate cancer. Eur Assoc Urol (2020) 1–182.

Google Scholar

Keywords: MRI, MR-diffusion, ADC, neoplasms, prostate

Citation: Bengtsson J, Thimansson E, Baubeta E, Zackrisson S, Sundgren PC, Bjartell A and Flondell-Sité D (2023) Correlation between ADC, ADC ratio, and Gleason Grade group in prostate cancer patients undergoing radical prostatectomy: Retrospective multicenter study with different MRI scanners. Front. Oncol. 13:1079040. doi: 10.3389/fonc.2023.1079040

Received: 24 October 2022; Accepted: 03 February 2023;
Published: 20 February 2023.

Edited by:

Jasper Nijkamp, Aarhus University, Denmark

Reviewed by:

Petra J. Van Houdt, The Netherlands Cancer Institute (NKI), Netherlands
Catarina Fernandes, Eindhoven University of Technology, Netherlands

Copyright © 2023 Bengtsson, Thimansson, Baubeta, Zackrisson, Sundgren, Bjartell and Flondell-Sité. This is an open-access article distributed under the terms of the Creative Commons Attribution License (CC BY). The use, distribution or reproduction in other forums is permitted, provided the original author(s) and the copyright owner(s) are credited and that the original publication in this journal is cited, in accordance with accepted academic practice. No use, distribution or reproduction is permitted which does not comply with these terms.

*Correspondence: Johan Bengtsson, am9oYW4uYmVuZ3Rzc29uQG1lZC5sdS5zZQ==

Disclaimer: All claims expressed in this article are solely those of the authors and do not necessarily represent those of their affiliated organizations, or those of the publisher, the editors and the reviewers. Any product that may be evaluated in this article or claim that may be made by its manufacturer is not guaranteed or endorsed by the publisher.