Abstract
Managed and wild bee populations contribute over $15 billion in pollination services to US agriculture, yet both are declining or becoming increasingly vulnerable to parasites and disease. The loss of healthy and diverse forage is a key driver in bee declines, so incentivizing land managers to adopt diversified bee-friendly management practices such as forage plantings and reduced pesticide use can directly increase food security, pollinator health, and farmer adaptive capacity. To better understand what might incentivize growers to adopt bee-friendly practices, we conducted a survey of California almond growers, whose orchards are entirely dependent on bee pollination and draw nearly 88% of US bee colonies each February to pollinate almond bloom. We asked 329 respondents across all major almond growing regions of CA about their adoption rate and incentives for planting cover crops, pollinator habitat, and practicing the recommended and legally required bee-friendly best management practices, as well as their interest in bee-friendly certification programs. Using a model selection framework, we evaluated which geographic, social, operational, and pollination-service related factors were predictive of bee-friendly practice adoption. We found that no single factor was a statistically significant predictor of adoption across all models, suggesting there is no silver bullet determining bee-friendly practice adoption. However, we discovered that region and concerns about future pollination services consistently emerged as important factors related to all the practices we investigated, except the adoption of legally required BMPs. These findings suggest that a regionally flexible pollinator conservation strategy focused on supporting honey bee colonies might have the highest likelihood of grower participation and adoption.
Introduction
Pollinators are an essential component of functioning and sustainable agricultural systems and play a central role in food security (Potts et al., 2010b). Managed and wild bees add an estimated $15 billion in pollination services to nearly 70% of all major food crops in the United States (Pollinator Health Task Force, 2016; Kulhanek et al., 2017). Despite their critical economic and ecological role, the current state of wild and managed bee populations is precarious. Between April 2019 and 2020, US beekeepers lost an estimated 43.7% of their colonies (Bruckner et al., 2020), and research suggests that estimated wild bee abundance declined 23% between 2008 and 2013 in the US (Koh et al., 2016), part of a pattern of widespread loss of pollinator diversity and abundance (Potts et al., 2010a, 2017). Research indicates that these losses are due to a nexus of stressors including parasites, pathogens and disease, pesticides, and the loss of the habitat and floral resources necessary for pollinator survival—all of which negatively impact bee health (Goulson et al., 2015). Though there is considerable scientific support for practices that promote wild and managed bees in agriculture (Winfree et al., 2007; Klein et al., 2012; Di Pasquale et al., 2013; Kremen and M'Gonigle, 2015; M'Gonigle et al., 2015; Evans et al., 2018; Kremen et al., 2018, 2019), less is known about what factors lead to farmer adoption of bee-friendly management practices.
A key strategy to support native and managed bees is through diversified farming practices such as planting and maintaining seasonal and permanent pollinator habitat (Winfree et al., 2007; Kremen et al., 2012, 2019). Strips of semi-natural vegetation in fields (e.g., flowering cover crops) or along margins (e.g., hedgerows, wildflower strips) can increase wild pollinator diversity and visitation (Klein et al., 2012; Kremen and M'Gonigle, 2015; M'Gonigle et al., 2015; Williams et al., 2015; Ponisio et al., 2016; Nicholson et al., 2017; Kratschmer et al., 2019; Kremen et al., 2019), support natural enemies for pest control (Landis et al., 2000; Gontijo et al., 2013; Holland, 2019), and provide a consistent supply of high quality floral resources that strengthen honey bee health (Huang, 2012; Di Pasquale et al., 2013, 2016). A diverse bee community can boost crop yield and yield stability (Garibaldi et al., 2011, 2013) and increase the pollination efficiency of honey bees (Greenleaf and Kremen, 2006; Brittain et al., 2013), which suggests growers could reduce the cost of honey bee importation while increasing yields if populations of wild bees were restored in agricultural areas. Within fields, temporary cover crops also have a number of non-pollinator friendly benefits, such as weed and nematode suppression and improvements in soil structure and water infiltration (Dabney et al., 2001; Marahatta et al., 2010; Crézé et al., 2018).
Given the current state of honey bee health and the decline of native pollinators, the adoption of bee-friendly practices on agricultural land can play a key role in stabilizing pollinator health and populations and also create greater on-farm adaptive capacity (Engle, 2011). Adaptive capacity refers to a farm operation's ability to prepare for stresses and changes in advance, or adjust and respond to the effects caused by those stresses (Smit et al., 2001; Engle, 2011; Petersen-Rockney et al., 2021), such as climate change or declines in biodiversity (e.g., bee populations). One approach to on-farm adaptive capacity is through diversification (Petersen-Rockney et al., 2021), such as through the addition of pollinator habitat and forage that could support wild bees so growers are not completely reliant on managed pollinators. While adopting pollinator-friendly practices is just one step toward becoming a diversified farming system, transformations toward diversified farming are likely to proceed incrementally (Petersen-Rockney et al., 2021).
Incentivizing Bee-Friendly Practice Adoption and Adaptive Capacity
Varied strategies incentivize farmers to adopt diversified bee-friendly practices. Farmers might plant cover crops and pollinator habitat with funding from government and private cost-share programs, such as the US Department of Agriculture's Environmental Quality Incentive Program (EQIP) and the non-profit Project Apis m.'s “Seeds for Bees” cost-share program for cover crop planting (Project Apism, 2020). To reduce pesticide use during bloom, pesticide-related bee-friendly management practices have been formulated and promoted by specialty crop groups, extension specialists, and regulatory agencies, such as the Honey Bee Best Management Practices (hereafter HB BMPs) formulated by California's Department of Pesticide Regulation (CDPR), the Almond Board of California and other stakeholders (CDPR, 2018a; Almond Board, 2019). These practices aim to provide a healthy environment for bees (primarily honey bees) during bloom, increase communication between different stakeholders, and reduce pesticide exposure to bee-toxic pesticides while managed bees are in. almond orchards.
Several organizations have developed bee-friendly certification programs requiring the installation of permanent pollinator habitat and cover crops, and the adoption of pesticide-use restrictions such as the HB BMPs. These programs, which include the Xerces Society and Oregon Tilth's Bee Better Certification (Xerces Society, 2020) and the Pollinator Partnership's Bee Friendly Farming certification (Pollinator Partnership, 2020), aim to create market-based demand for the adoption of pollinator beneficial practices. If enough of a market develops for bee-friendly crops, processors or distributers may incentivize their growers to adopt bee-friendly practices, so they can provide almonds for companies like Kind Snacks, which became the first snack company to commit to using only bee-friendly almonds in their snack products (PR Newswire, 2020).
Farmers are highly influenced by their social networks and tend to adopt new practices, such as perennial crops and vegetation (e.g., cover crops, pasture, riparian buffers, and restored wetlands), based on the advice of trusted peers and experts (Brodt et al., 2004a; Atwell et al., 2009). In-person communication from private and government conservation organizations can have a strong effect on the adoption of perennial vegetation (Atwell et al., 2009), in part by educating land managers about the varied programs available to help fund conservation efforts (Gaines-Day and Gratton, 2017). Pest control advisors (PCAs) also play an important role in shaping growers' pest management practices (Brodt et al., 2005), which can include the installation of forage and habitat to attract beneficial insects. Bee-reliant farmers interact with beekeepers and bee brokers during their crop's bloom period (Goodrich, 2017; Durant, 2019), who may influence growers to adopt bee-friendly practices as well. For example, social pressure to support bees may be strong for growers that are surrounded by year-round beekeepers like the honey bee queen breeders in California's Northern Central Valley (Schiff and Sheppard, 1996).
Beekeepers can also incentivize growers by providing discounts on honey bee colony pollination services, though this practice is not yet widespread (Durant, unpublished data). For example, almonds (Prunus dulcis) are a pollinator-dependent crop in California's Central Valley that blooms mid-February (Connell, 2000), earlier than most bee-dependent crops in the US. Since 2004, the average per-colony fees for almond pollination have risen by about 180%, from 7% of the total operating costs in 1998 to 15% in 2019 (Hendricks et al., 1998; Duncan et al., 2019; Goodrich, 2019). Other crops have also seen increases, but none so substantial as that experienced by the almond industry and other crops that overlap with the almond industry's bloom period, such as early-blooming cherries and plums in California (Ferrier et al., 2018; Goodrich, 2019). These fee increases are linked to growers' demand for stronger colonies, in other words, colonies with more frames of active honey bees (Goodrich, 2019). To meet this demand, beekeepers began taking measures to increase colony strength through increased disease monitoring, nutritional supplements, and storing colonies in winter warehouses, all of which has added to the cost of colony production (Durant, 2019; Goodrich, 2019). However, if growers have cover crops or pollinator habitat flowering during bloom or commit to reducing the use of bee-toxic pesticides while bees are in their orchards, some beekeepers may offer a discounted rate on colony rental fees because of the benefit these practices can provide their colonies.
Other incentives might be operationally or regionally determined. For example, installation costs of planting cover crops and permanent habitat can be high (Brodt et al., 2008; Cruz et al., 2013; Morandin et al., 2016), since growers need to pay for equipment, water, and labor expenses to establish as well as maintain cover crops or habitat. This may mean that larger operations might be better positioned to adopt bee-friendly practices. Growers with abundant winter and/or summer rainfall may be more incentivized to adopt cover crops and pollinator habitat as well. Depending on the rental arrangement, land tenure can be another factor affecting bee-friendly practice adoption. Research indicates that absentee landlords can block conservation projects (Brodt et al., 2008) and renters are less interested in long-term diversified conservation practices (Soule et al., 2000), so owner operators might be more incentivized to adopt bee-friendly management practices. Finally, growers may be incentivized to adopt bee-friendly practices to increase their ability to attract high quality beekeepers or out of a desire to support native pollinators (Hanes et al., 2015; Gaines-Day and Gratton, 2017; Park et al., 2020).
While existing research offers key insights to California growers' adoption of bee-friendly practices (Brodt et al., 2004a, 2005, 2006, 2008), much of this research took place before honey bee declines became a serious issue in 2006 with CCD (Underwood and VanEngelsdorp, 2007) and evidence about precipitous declines in wild populations emerged (Koh et al., 2016; Kopec and Burd, 2017). Honey bee and native bee declines are now a concern at federal, state, and county levels (The White House, 2014; CDPR, 2018b). As such, growers and commodity marketing boards may have a stronger impetus to support wild and managed pollinators to secure stable pollination for their crops. Also, while previous studies have largely focused on a specific region within a state, many crops are grown across state regions (e.g., California's North and South Central Valley), and thus a cross-regional analysis could help identify regional factors that shape adoption.
To investigate the factors leading to the interest in and adoption of bee-friendly practices, we conducted a survey of almond growers across the major almond producing regions in California. We focused on factors that might influence grower adoption and/or interest in adopting bee-friendly practices such as cover crops, permanent pollinator habitat, reducing pesticides through adopting the HB BMPs, as well as interest in bee-friendly certification programs. Using a model selection framework, we employed the survey data to identify regional, operational, social, and pollination-related factors that predicted grower adoption and interest in bee-friendly practices. Though survey-based studies have investigated the drivers for adopting practices to support native bees in fruit crops (Hanes et al., 2015; Gaines-Day and Gratton, 2017; Park et al., 2020), this study is the first to evaluate the adoption of multiple bee-friendly practices across multiple California regions. Additionally, our survey offered an incentive, which likely helped increase survey response (Ryu et al., 2006), particularly those who might be adopting fewer bee-friendly practices. The factors incentivizing grower adoption of bee-friendly practices play a critical but understudied role in determining successful pollinator conservation and restoration on agricultural lands (Brodt et al., 2004b). Results from this study can thus increase our understanding of factors that incentivize farm diversification and help inform pollination conservation strategies on agricultural lands, particularly for farmers who produce crops that rely on bee pollination.
Materials and Methods
Survey Methods
To understand the factors affecting grower adoption of bee-friendly practices, we conducted an online survey of almond growers, both hired farm managers and owners/owner operators. We selected the almond industry for this study because almonds are one of the most bee-intensive crops in California. California's almond industry produces 80% of the world's almonds and was the state's second most valuable crop in 2019 (CDFA, 2020). Over the past two decades, the almond industry expanded from 595,000 acres to over 1.39 million acres (Tippett et al., 2001; CDFA, 2019), which has led to a corresponding demand for more managed bees. Currently, two colonies per acre are recommended by crop experts (USDA and FCIC, 2018), which means that around two million honey bee colonies are shipped to California each February to pollinate almonds—nearly 88% of all managed colonies in the United States (Goodrich and Durant, 2020). Given the high number of blooming flowers and managed honey bees pollinating almonds each spring, the management practices almond growers adopt can potentially have a large impact on wild and managed bees.
The survey ran between December 2019 through February 2020. We included questions that focused on five key areas: (1) information about the almond operation and the people who were influential in decision making regarding bee-related management practices; (2) adoption of cover crops and other pollinator beneficial habitat; (3) adoption of the HB BMPs; (4) interest in a bee-friendly certification programs; and (5) satisfaction with various aspects of their 2019 almond pollination experience as well as their concerns about future pollination services. For the remainder of the paper, we refer to the respondents as growers rather than farmers, as this is the term used by the almond industry.
To distribute the survey, we advertised the survey through the Almond Board at their annual Almond Board Conference. We then mailed postcards with a QR code and link to the online survey to over 3,248 growers in seven representative counties using addresses obtained from each county agricultural commissioner's pesticide permit data (public data). The counties were Butte, Colusa, and Glenn counties in the north; Stanislaus and Merced in North San Joaquin Valley; and Fresno and Kern county in South San Joaquin Valley. We also attended three Almond Board pollination workshops to promote the survey. Finally, several industry stakeholders sent emails to their members about the survey to help increase participation. All respondents were offered a $20 gift certificate incentive for completion of the survey, to increase response (Ryu et al., 2006).
Growers' Self-Selected Incentives
For each bee management practice section (cover crops, permanent habitat, HB BMPs, and interest in certification), we asked growers to select different variables that might have incentivized or would potentially incentivize them to adopt the practice. To identify these incentives before administering the survey, we conducted informal interviews and piloted the questions with multiple stakeholders to determine the most likely incentives for almond growers, and then used those as options. In the survey, growers were asked to identify which incentives might encourage them to adopt a given bee-friendly practice; they could choose all options that applied.
In the survey, we defined cover crops as “a variety of species planted intentionally and temporarily between tree rows” and permanent pollinator habitat (hereafter pollinator habitat) as including “year-round herbaceous and/or woody plant species (e.g., hedgerows, perennial or re-seeding wildflower strips, riparian forests, filter strips) that are maintained along at least some of the edges of the orchard.” Growers were asked if they had planted cover crops in the past 5 years or had pollinator habitat of any kind surrounding the almond acreage they farmed in 2019, and could respond yes or no. For the HB BMPs, we listed each one and included an informative link in the survey for more information about the practice. Growers were asked to select if they sometimes, always, or never adopted the recommended HB BMPs (Almond Board, 2020) or made an effort, usually, or always adopted the legally required HB BMPs (CDPR, 2018a) (see Table 1 for full list of HB BMPs). Since we were collecting emails (i.e., identifying data), we did not have never as an option for the legally required HB BMPs. We defined bee certification as a voluntary bee-friendly certification program that would require growers to adopt “some level of bee-friendly management practices on farm to meet the standards such as: practicing most or all of the HB BMPs, planting annual cover crops, or planting and maintaining permanent pollinator habitat.” Growers were asked if they were interested in a bee certification program and could respond yes, no, or not sure.
Table 1
| Recommended | Cover water sources for pollinator bees before pesticide applications (or replace water after) |
| Avoid applying pesticides during bloom with label cautions stating: “highly toxic to bees” or “toxic to bees” | |
| Avoid applying pesticides during bloom with label cautions stating “residual times” or “extended residual toxicity” | |
| Only apply fungicides in the late afternoon or evening, when bees are not present | |
| Avoided applying all insecticides (except B.t.) during bloom | |
| Avoided tank-mixing insecticides (except B.t.) with fungicides during bloom | |
| Legally required | If labeled bee-toxic pesticides are applied, provide 48-h advance notice to all beekeepers within one-mile radius |
| Ensure that bee colonies are never sprayed directly with any pesticides | |
| Read the pesticide label's protocols before applying any agrochemical for the first time |
Honey Bee Best Management Practices (HB BMPs) and their legal status.
Finally, we asked growers about their level of concern about the following factors that may affect future almond pollination: the cost of bee colonies, declining bee health, lack of available bee colonies, lack of skilled beekeepers, and loss of native pollinators. Growers could respond with not a concern, moderate concern, or a strong concern.
Quality Criteria for Cleaning Data
The survey received 447 responses in total. To prepare for analysis, we cleaned the data according to the following quality criteria. We first removed any incomplete or notably inaccurate responses, such as growers who responded that they managed over 40,000 acres of almonds (more than the largest operation in California). We also deleted any responses completed under 2.5 min, and those using the same IP address because of concerns about duplication (particularly since we offered compensation). Lastly, if respondents selected “no” and “prefer not to answer” for most of the questions or if they only marked the first answer choice in each question, the entire response was flagged, reviewed, and then deleted if the result was determined unreliable. After this data cleaning, we had a total of 329 responses for analysis.
Factors Affecting Growers' Implementation of Bee Friendly Practices
To determine which factors influenced grower adoption of bee-friendly practices, we used the following three factors as binary response variables in generalized linear models (GLMs, binominal error): (1) whether a grower reported that they had planted cover crops, (2) whether they had planted pollinator habitat, and (3) whether they were interested in participating in a certification program. Because certifications are relatively new or in the process of being established, we only modeled interest, and not participation in, certification. In our analysis, we also explored the factors that determined whether growers adopted: (1) all six recommended HB BMPs and (2) all three legally obligated HB BMPs (Table 1). Growers had to have responded “always” to all obligated or recommended HB BMP criteria to be considered as having adopted this practice. After selecting our five adoption variables, we selected explanatory variables that matched our hypotheses about the regional, operational, social, and bee-related concerns that may influence grower adoption and interest in bee-friendly practices. We detail each of these below.
Region
We hypothesized that region would play a strong role in the adoption of bee-friendly practices and interest in certification. Almond growers operate in distinct geographic regions in California's Central Valley, influenced by different rainfall patterns, seasonal temperatures, water districts, water rights, and social communities. The five highest almond-producing counties are in the central and southern San Joaquin Valley (Kern, Stanislaus, Fresno, Madera, and Merced) (USDA NASS, 2019), and rely heavily on out-of-state beekeepers (Goodrich, 2017). Sacramento Valley, however, is where a large portion of the nation's honey bee queens are reared (Schiff and Sheppard, 1996; Cobey et al., 2016), so almond growers are immersed in a strong community of involved beekeepers who might influence growers' adoption of bee-friendly management practices.
Another key difference between regions is annual rainfall. Growing regions in the San Joaquin Basin receive much lower rainfall (~5–15 inches) than counties in the Sacramento Valley which can receive 15–25 inches a year (National Weather Service, 2020). Water costs also vary greatly between Sacramento Valley and North and South San Joaquin Valley. For example, the cost per cubic foot of surface water (CCF) in Sacramento Valley was $1.76 in 2020 (in the Chico-Hamilton Tariff Area), while in North San Joaquin Valley (Stockton Tarriff Area) it was $3.42 per CCF. In South San Joaquin Valley, the cost was $13.5 per CCF in the Kern River Valley, nearly seven times as expensive as Sacramento Valley (California Water Service Company, 2020). Groundwater, on the other hand, was largely unregulated until the passage of the Sustainable Groundwater Management Act (SGMA) in 2014 (Chappelle et al., 2017). SGMA's implementation may mean that groundwater in San Joaquin Valley, which has high rates of new well installation and high levels of groundwater overdraft (Krieger, 2014; Hanak et al., 2015), will be more expensive and less available than in the past.
To better understand the role that region plays in the adoption of bee-friendly practices, we assigned each county to one of the following regions: Sacramento Valley, North San Joaquin Valley, and South San Joaquin Valley (Appendix Table A). We used USGS water basin designations to guide which counties went into which regions (Appendix Table A). We assigned counties in the Sacramento Valley Basin to Sacramento Valley, counties in the San Joaquin Basin to North San Joaquin Valley, and counties in the Tulare Basin to South San Joaquin Valley (USGS, 2021a,b,c). For countries in the center of the San Joaquin Valley (e.g., Madera) we assigned them to the North or South based on their primary watershed affiliation. We validated that our results did not change qualitatively based on the north vs. south assignment of these counties. Given the proximity to year-round beekeepers, higher rainfall, and less expensive water than in the North and South San Joaquin Valley, we hypothesized that growers in Sacramento Valley would be more likely to adopt cover crops and pollinator habitat than growers in North and South San Joaquin Valley as a result.
Operational Characteristics
Given the potential expenses associated with reducing pesticide use and planting cover crops and permanent pollinator habitat (Brodt et al., 2008; Cruz et al., 2013; Morandin et al., 2016), we hypothesized that larger operations (i.e., those who manage more acres) would be more likely to adopt these practices. Larger operations that are also processors and distributers (referred to as “handlers”) often market their products directly to consumers, while small and mid-sized farmers deliver their almonds to third-party handlers after harvest (Durant, 2019). Thus, larger operations could be more interested in the potential for an increased price point from a bee-friendly certification as well. Land tenure can also affect bee-friendly practice adoption (Brodt et al., 2008), so we hypothesized that growers who owned the majority of the land they farm on would be more likely to adopt bee-friendly practices and more interested in certification. Lastly, because we hypothesized that growers who have already adopted cover crops and installed permanent habitat would be more likely to express interest in certification programs, we also included those variables as explanatory in the certification interest model.
Social
To determine which actors on almond operations were influential in determining bee-friendly practice adoption, we included the following actors that growers identified in the survey as either “influential” or “not influential” in determining pollinator management practices: pesticide control advisors (PCAs), beekeepers, and bee brokers (growers, beekeepers, and full-time bee brokers who connect almond growers with beekeepers and colonies). In the almond industry, over 97% of growers rely on PCAs (Brodt et al., 2005), and most almond growers hire beekeepers or bee brokers to meet their pollination needs. We hypothesized that growers who stated that a beekeeper or bee broker played an influential role in pollinator decisions would be more likely to adopt bee-friendly practices and would be more interested in participation in a certification program. We hypothesized that those with a PCA might have lower rates of HB BMP adoption.
Pollination-Related Concerns
We also examined the effect of factors related to growers' concerns about the future of almond pollination services. Given that growers are concerned about the price and strength of their bee colonies, particularly because of the 2020 dip in almond prices (Goodrich and Durant, 2020), we wanted to use growers' satisfaction with the strength and price of bee colonies in 2019 as variables. In the survey, growers were asked to rate their satisfaction with the price and strength of their colonies, and we used these rankings as variables. We hypothesized that growers who were satisfied with the price and strength of their colonies would be more likely to adopt bee-friendly practices and be interested in certification. Lastly, we examined growers' concerns about future pollination, including the cost of bee colonies, the lack of availability of future bee colonies, declining bee health, a potential lack of skilled beekeepers, and the loss of native pollinators. We hypothesized that growers who expressed strong concern about the cost of rented bee colonies would be less likely to adopt bee-friendly practices, given that adopting some practices may require extra labor and material expenses. We also hypothesized that growers who expressed strong concern about the rest of the concerns would be more likely to adopt bee-friendly practices and consider certification.
Model Selection
We then tested our hypotheses on the adoption and interest in bee-friendly practices and certifications data using a model selection framework (Johnson and Omland, 2004). We performed multi-model inference based on the corrected Akaike's Information Criterion (AICc) using the dredge function in the MuMIn R package (Burnham and Anderson, 2002; Johnson and Omland, 2004; Bartoń, 2020). Because model selection can be biased by collinearity (Cade, 2015), we used variance inflation factors (VIF) (Fox and Weisberg, 2019) to identify colinear variables and exclude them from being included together in a candidate model. We found that two bee concern-related variables (lack of skilled beekeepers and lack of available colonies) and two bee satisfaction-related-variables (honey bee colony and strength satisfaction) were colinear (VIF > 2) (Zuur et al., 2010). We therefore specified that these variable pairs could not be included in the same candidate model before running the model selection procedure. The model including all explanatory variables was fit using the glm function (logit link function). All the explanatory variables were categorical except acreage, which was standardized by subtracting the mean and dividing by the SD of the data. We selected the top model set as the models within 2 AICc of the minimum AIC. Using the top model set, we then computed the conditional model average (Bartoń, 2020). We used standard model assessment techniques to determine whether the top model met all the assumptions of a GLM (Zuur et al., 2009). All analyses were conducted in R v 4.0.0 (R Core Team, 2018).
Results
In this section, we report on the results of the raw survey data, followed by the model selection analysis. The survey data are reported in the following order: demographics and information about 2019 pollination, adoption rates of the bee-friendly practices (the dependent variables in our model selection analysis), and finally, the results of our operational details and bee satisfaction/concerns (the independent variables in our model selection analysis).
Demographic and 2019 Pollination Season Details
The 329 responses to our survey represented a total of ~212,000 almond acres (Table 2). Most respondents were male (84%) and fell within the 25–34 and 55–64-year-old age ranges, though our distribution was fairly representative across growers from 25 to 74 years of age. The majority of respondents were owner/operators of their almond orchard (56%) and the largest response was from operations that managed between 1 and 49 acres (40%). For regional representation, comparing our data to that of the 2017 Agricultural Census indicates that our data is representational of growers from each region (Appendix Table A), and that our results report on practices that apply to ~17% of the total almond acreage in the Central Valley (Appendix Table A). Comparing our respondents' acreage ranges to the 2017 Agricultural Census data, our results slightly overrepresent larger operations (250+ acres) by ~12% and underrepresent smaller operations (1–49 acres) by ~13%, while our representation of mid-size growers (50–249 acres) is consistent with census estimates of the proportion of growers managing that acreage range (Appendix Table B).
Table 2
| DEMOGRAPHIC INFORMATION | |
| Gender | % |
| Male | 84 |
| Female | 12 |
| Other | 1 |
| Prefer not to answer | 2 |
| Age range | % |
| 18–24 | 2 |
| 25–34 | 23 |
| 35–44 | 19 |
| 45–54 | 19 |
| 55–64 | 22 |
| 65–74 | 11 |
| 75+ | 3 |
| Role on orchard | % |
| Owner | 15 |
| Owner/operator | 56 |
| Farm manager | 29 |
| Acreage range | % |
| 1–49 | 40 |
| 50–99 | 17 |
| 100–249 | 16 |
| 250–999 | 15 |
| 1000+ | 12 |
| Total acres: 212,416 (bearing and non-bearing) | 17 |
| POLLINATION INFORMATION | |
| How obtained pollination services | % |
| Rented all bee colonies | 72.3 |
| Rented some colonies supplied some | 11.3 |
| Supplied all bee pollination | 8.5 |
| Orchards not mature enough for pollination | 5.5 |
| Prefer not to answer | 2.4 |
| Who supplied bee colonies | % |
| Beekeeper | 64.4 |
| Bee broker | 24.3 |
| Another grower | 4.0 |
| Other | 0.3 |
| Prefer not to answer | 2.1 |
| Not applicable | 4.9 |
| Colony origin | % |
| Near orchard (same county or neighboring) | 25.5 |
| From California (not a neighboring county) | 22.2 |
| Out of state | 40.7 |
| Prefer not to answer | 4.0 |
| Not applicable | 7.6 |
| OPERATIONS THAT RENTED COLONIES FROM NEAR THE ORCHARD (% IN THAT REGION) | |
| Sacramento Valley | 42.3 |
| North San Joaquin | 22.2 |
| South San Joaquin | 22.7 |
Demographic and pollination operation details, listed by percent of total survey respondents.
“Operations that rented colonies from near the orchard” is listed by percent of total respondents in that region. The “Total acreage” percentage in the Acreage Range section is the percent of all almond acreage (bearing and non-bearing) in California in 2017.
We asked several questions about the 2019 pollination period (February through March). Most respondents (72%) rented all their bee colonies, while around 20% supplied some or all their own bee pollination, and 5.5% of respondents had some portion of their orchards that were not mature enough for pollination at the time of the survey (Table 2). Of those who rented, the majority rented directly from a beekeeper (64%), while around 24% used a bee broker, and 4% relied on another grower to broker their colonies. About 25% of respondents obtained bee colonies from either their county or a neighboring county, 22.2% obtained colonies from another county in California, and another 41% were obtained from out of state. When analyzed by region, 42% percent of respondents in Sacramento Valley obtained their colonies from either the same county or a neighboring county, compared to 22% of growers in the North and South San Joaquin Valley regions who obtained their colonies from a nearby location.
Adoption of Bee-Friendly Practices
Our survey results indicated that growers are more interested in growing cover crops than pollinator habitat (Table 3). Thirty-five percent of respondents said they had grown a cover crop in the last 5 years, and an additional 16% said they were interested in growing a cover crop in the future, bringing the total number of survey respondents that were either growing or interested in growing cover crops to 51%. Growers had less interest in adopting permanent pollinator habitat. Nineteen percent of growers said they already maintained permanent pollinator habitat in 2019, and the same number were interested in potentially adding pollinator habitat in the future, bringing the total number of growers interested in or already maintaining pollinator habitat to 38% of respondents. In general, growers were more satisfied with cover crops than with pollinator habitat (Figure 1), with an equal number somewhat or very satisfied with cover crops (46% for each), while most respondents were somewhat satisfied with pollinator habitat (64%), and 25% were very satisfied.
Table 3
| Adoption of cover crops | % |
| Already growing CCs | 35 |
| Interested in growing | 16 |
| Not Sure | 28 |
| Not interested | 21 |
| Adoption of HB BMPs | % |
| Always all recommended | 29 |
| Always all legal | 60 |
| Adoption of pollinator habitat | % |
| Grew pollinator habitat in 2019 | 19 |
| Interested | 19 |
| Not sure | 29 |
| Not interested | 32 |
| Interest in bee certification | % |
| Strong interest | 27 |
| Moderate interest | 47 |
| No interest | 21 |
| Prefer not to answer | 4 |
Adoption of bee friendly practices, listed by percent of total survey respondents.
Figure 1

Satisfaction with cover crops (left) vs. pollinator habitat (right).
The data also indicated a low to moderate rate of consistent HB BMP adoption, with 60% of growers always practicing all the three legally required HB BMPs, and 29% always practicing all of the six recommended HB BMPs. Lastly, most growers were interested in participating in a bee certification, with 47% expressing moderate interest and 27% a strong interest (Table 3).
Operational Details, Colony Satisfaction, and Pollination Concerns
Eighty-five percent of survey respondents managed orchards that were majority owned, i.e., their operation owned ≥ 50% of the acreage they managed in 2019 (Table 4). The median total acreage that respondents managed (yielding and non-yielding acreage) was 65 acres. We had a higher response rate from North and South San Joaquin Valley regions (57 and 26%, respectively) than Sacramento Valley (16%), which corresponds with acreage grown in California (USDA-NASS, 2019; Appendix Table A). The choropleth map (Figure 2) demonstrates our response rate by county. When asked which individuals were influential in pollinator management decision making (Table 4), forty percent of respondents selected that their PCA was influential, followed by their beekeeper (32%); while about 8% selected their bee broker (the other options were the owner and the hired manager, which we excluded from analysis). The majority of operations had not planted any cover crops or pollinator habitat (56%), though a sizable number had (44%).
Table 4
| OPERATION INFORMATION | |
| Majority own | % |
| Yes | 85.4 |
| No | 14.6 |
| Total acreage | % |
| Median acreage | 65.0 |
| Maximum acreage | 38,000.0 |
| Minimum acreage | 3.0 |
| Region name | % |
| Sacramento Valley | 15.8 |
| North San Joaquin | 57.5 |
| South San Joaquin | 26.8 |
| Influential people | % |
| Pesticide Control Advisor | 39.5 |
| Beekeeper | 31.6 |
| Bee Broker | 7.9 |
| Planted Forage | % |
| Planted any forage | 44.0 |
| Have not planted forage | 56.0 |
| COLONY SATISFACTION | |
| HBC price satisfaction | % |
| Inexpensive | 3.3 |
| A fair price | 40.4 |
| Too expensive | 34.0 |
| Prefer not to answer | 22.2 |
| HBC Strength Satisfaction | % |
| Unsatisfied | 2.1 |
| Somewhat satisfied | 34.0 |
| Very satisfied | 45.6 |
| Prefer not to answer | 18.2 |
| POLLINATION CONCERNS | |
| Bee colony cost | % |
| Not a concern | 5.8 |
| Moderate concern | 26.8 |
| Strong concern | 67.5 |
| Declining bee health | % |
| Not a concern | 4.6 |
| Moderate concern | 31.6 |
| Strong concern | 63.8 |
| Lack of available colonies | % |
| Not a concern | 8.2 |
| Moderate concern | 33.7 |
| Strong concern | 58.1 |
| Lack of skilled beekeepers | % |
| Not a concern | 15.8 |
| Moderate concern | 37.4 |
| Strong concern | 46.8 |
| Loss of native pollinators | % |
| Not a concern | 14.3 |
| Moderate Concern | 43.5 |
| Strong concern | 42.3 |
Operational details, colony satisfaction, and pollination concern variables, listed by percent of total survey respondents.
Figure 2

Map of response rate by California county.
A portion of the survey asked about growers' pollination practices in 2019 and general concerns about future pollination (Table 4). When considering price satisfaction, most growers (40%) felt their HBC price was fair, though 34% thought it was too expensive. The majority of growers were also either very satisfied (46%) or somewhat satisfied (34%) with honey bee colony strength, and only a small fraction of growers were unsatisfied (2%). When considering future almond pollination, most growers expressed strong concern about all the variables except the loss of native pollinators (Table 4). The greatest concern was the future cost of bee colonies, and most felt it was a strong concern (67%). Declining bee health and the lack of future bee colonies were also strong concerns, with 63 and 58% strongly concerned about bee health and the lack of colonies respectively. A future lack of skilled beekeepers and loss of native pollinators were less concerning, with most growers strongly concerned about skilled beekeepers (47%) and moderately concerned about the loss of native pollinators (43%). Around 15% of growers were not concerned about beekeepers or native pollinators.
Growers' Self-Selected Incentives
Figure 3 highlights the incentives to bee-friendly practices and interest in a bee certification program that respondents selected in the survey. Notably, across every single bee-friendly practice, increasing the strength of bee colonies during bloom was the number one incentive. For cover crops, the second top incentive was the non-pollination associated benefits from having cover crops, such as nitrogen fixing and water sequestration. Access to equipment and decreased rental fees as well as private and federal cost-share programs were all mid-level concerns, while decreased rental fees was the second-highest incentive for pollinator habitat, followed by federal cost-share programs and supporting native pollinators. Fourteen percent of growers said there were no incentives that would encourage them to plant cover crops, while 21% stated that there were no incentives that would encourage them to plant permanent pollinator habitat.
Figure 3

Respondents' self-selected incentives to adopt bee-friendly practices, listed by percent of total survey respondents.
For the HB BMP incentives, after increasing the strength of colonies, growers seemed most incentivized by a decreased rental fee, followed by the ability to attract high-quality beekeepers, and a “handler” (processor or distributer) request to implement the HB BMPs was a less influential incentive. Nearly half of all respondents responded that they were already practicing most or all the HB BMPs. Finally, growers' second highest incentive for participating in a bee certification program was a decreased rental fee for managed bee colonies. Mid-range incentives included potential price premiums from the certification, cost-share programs to support associated costs with adopting bee-friendly practices, and the ability to attract high-quality beekeepers. A third of the respondents were incentivized by supporting native pollinators and the ability to better market their product through a bee-friendly label.
Factors Affecting Bee-Friendly Practice Adoption
In this section we review the results of the model selection analysis, which determined the variables that played an important role in shaping growers' adoption of bee-friendly practices. Table 5 provides an overview of the statistically significant variables and those with P-values < 0.10. We also report differences in the probability of adoption by taking the exponent of the logit coefficient estimates that represent differences between levels of the explanatory variables.
Table 5
| Majority own | Acreage | Region | Influential PCA | Influential bee broker | Influential beekeeper | HBC price satisfaction | HBC strength satisfaction | Cost bee colonies | Lack available colonies | Declining bee health a concern | Loss native pollinators | Planted forage | |
|---|---|---|---|---|---|---|---|---|---|---|---|---|---|
| Cover crops grown in past 5 years | More likely if in Sac Valley than South SJV (P = 0.000) | Less likely if a strong concern (P = 0.004) or moderate concern (P = 0.043) | More likely if a strong concern (P = 0.01) or a moderate concern (P = 0.025) | N/A | |||||||||
| Pollinator habitat grown in 2019 | More likely with higher acreage (P = 0.043) | More likely in Sac Valley than South SJV (P = 0.027) | More likely if selected (P = 0.065) | More likely if very satisfied (P = 0.012) | More likely if a strong concern than not a concern (P = 0.067) | N/A | |||||||
| Always practiced all recommended BMPs | Less likely in Sac Valley than South SJV (P = 0.013) Less likely in North SJV than South SJV (P = 0.099) | Less likely if a moderate concern than if not concerned (P = 0.005) | N/A | ||||||||||
| Always practiced all legally required BMPs | Less likely if selected (P = 0.011) | Less likely if selected (P = 0.033) | More likely if very satisfied (P = 0.000) or somewhat satisfied (P = 0.014) than if not satisfied | N/A | |||||||||
| Interested in bee certification | More likely with higher acreage (P = 0.079) | More likely in Sac Valley than in South SJV (P = 0.044) | Less likely if they found it inexpensive than if they found it too expensive (P = 0.014) | More likely if a strong concern than not a concern (P = 0.074) | More likely if they planted cover crops or pollinator habitat (P = 0.014) |
For each model of bee friendly practice adoption, the explanatory variables that are both included in the top model set and statistically significant (P < 0.05) are highlighted in gray.
SJV = San Joaquin Valley.
Growers Who Grew Cover Crops in Past 5 Years
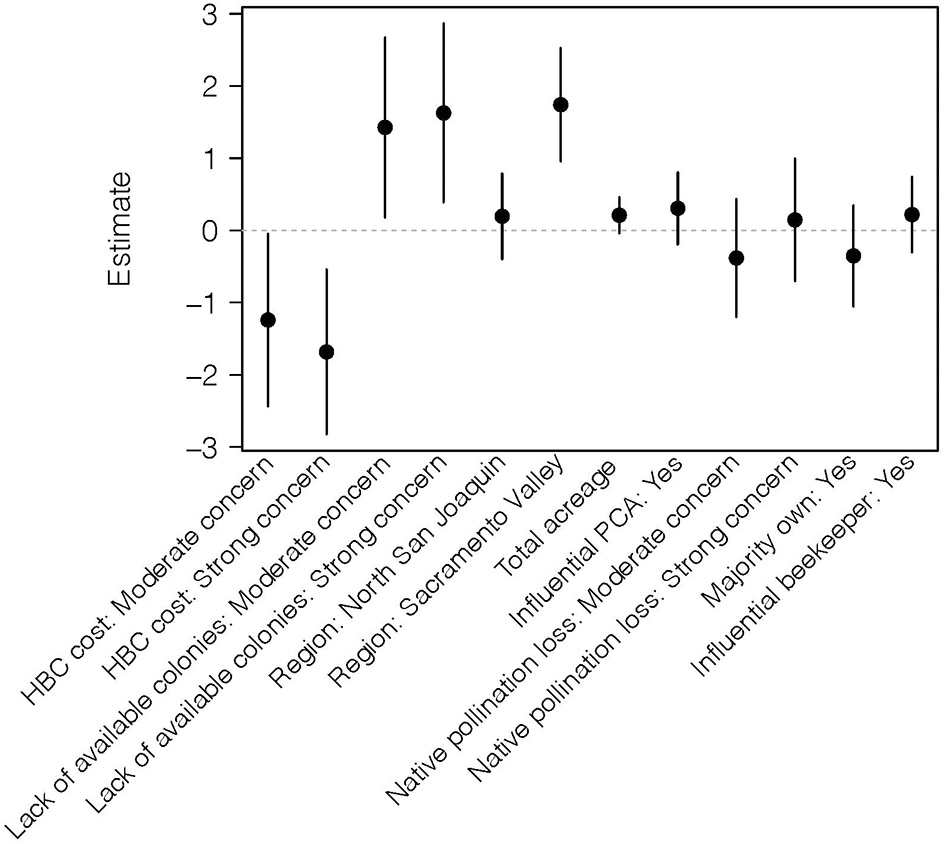
There were three statistically significant variables that influenced cover crop adoption: region, concern about the future cost of bee colonies, and potential lack of available colonies (Figure 4, Table 5, Appendix Table C). Respondents in the Sacramento Valley were statistically significantly more likely (by an average of ~41%) to have grown cover crops than those in North and South San Joaquin Valley. Regarding cost of bee colonies, if a respondent was concerned about the future price of bee colonies, they were statistically significantly less likely to adopt cover crops than those who expressed no concern by an average of ~20% for those with a strong concern, and ~17% for those with a moderate concern. Respondents concerned about a future lack of available colonies were statistically significantly more likely to adopt cover crops than those who expressed no concern, by 38% for those with a strong concern, and 34% for those with a moderate concern.
Figure 4

Cover Crops: Coefficient estimates (points) and 95% confidence intervals for explanatory variables included in the top model set for cover crop (CC) adoption. Coefficients are on a logit scale. Because most of the variables are categorical, the coefficients estimate the difference between each category and the intercept. The intercept is set as “No concern” for bee concern variables, “Not influential” for each influential person, and South San Joaquin for region. Estimates above zero represent an increase in the probability of cover crop adoption relative to the intercept, and below zero represent a decrease in cover crop adoption relative to the intercept. Total acreage is the only continuous variable, and therefore the coefficient is the estimate of the slope of cover crop adoption for every unit increase in operation size (log).
Several non-significant variables were present in the top averaged model set (Figure 4, Appendix Table C), including total acreage (slightly more likely to adopt with higher acreage), PCAs and beekeepers who were influential in making pollinator management decisions (slightly less likely with a PCA and more likely with a beekeeper), concern about the loss of native pollinators (slightly more likely if a strong concern than not a concern, and less likely if a moderate concern than not a concern), and whether growers owned a majority of the acreage they farmed (slightly less likely to adopt cover crops if they did).
Growers Who Grew Pollinator Habitat in 2019
There were three statistically significant variables that influenced pollinator habitat adoption: satisfaction with bee colony strength, region, and acreage (Figure 5, Table 5, Appendix Table D). If growers were very satisfied with the strength of their colonies, they were statistically significantly less likely to grow pollinator habitat than those who were unsatisfied by 5%. Growers farming more acres were more likely to adopt pollinator habitat than those with less acres by 3%. If growers were in Sacramento Valley, they were statistically significantly more likely to have been growing permanent pollinator habitat in 2019 than respondents in South San Joaquin Valley by 13%, and ~7.5% more likely than those in North San Joaquin Valley.
Figure 5

Permanent pollinator habitat: Coefficient estimates (points) and 95% confidence intervals for explanatory variables included in the top model set for permanent pollinator habitat adoption. Coefficients are on a logit scale. The intercept is set as “No concern” for bee concern variables, “Unsatisfied/Prefer not to answer” for honey bee colony (HBC) strength satisfaction, “Not influential” for each influential person, and South San Joaquin for region.
Several non-significant variables were present in the top averaged model set (Figure 5, Appendix Table D), including the cost of honey bee colonies (more likely with a moderate or strong concern), having a bee broker or PCA who was influential in pollinator management decisions (more likely with a bee broker and PCA), loss of native pollinators (more likely if a moderate or strong concern), declining bee health (more likely if a moderate or strong concern), or if the operation owned the majority of the acres they managed (slightly more likely if owned).
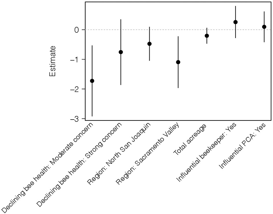
Grower Adoption of Recommended HB BMPs
Two statistically significant variables shaped growers' likelihood of always following the recommended HB BMPs: concern about declining bee health and region (Figure 6, Table 5, Appendix Table E). Growers who were moderately concerned about declining bee health were statistically significantly less likely (by 39%) to always adopt the recommended HB BMPs than those who thought it was not a concern. Respondents in Sacramento Valley were also statistically significantly less likely to adopt all the recommended HB BMPs than those in South San Joaquin Valley by 27%, and those in North San Joaquin were less likely to adopt than South San Joaquin Valley respondents by ~12%, but these results were not statistically significant.
Figure 6

Recommended Honey bee BMPs: Coefficient estimates (points) and 95% confidence intervals for explanatory variables included in the top model set for Almond Board's recommended Best Management Practice (BMP) adoption. Coefficients are on a logit scale. The intercept is set as “No concern” for bee concern variables, “Not influential” for each influential person, and South San Joaquin for region.
Several non-significant variables were present in the top averaged model set (Figure 6, Appendix Table E), including total acreage (slightly less likely with higher acreage), and whether they had a beekeeper or PCA who was influential in pollinator management decisions (slightly more likely if did).
Grower Adoption of Legally Obligated HB BMPs
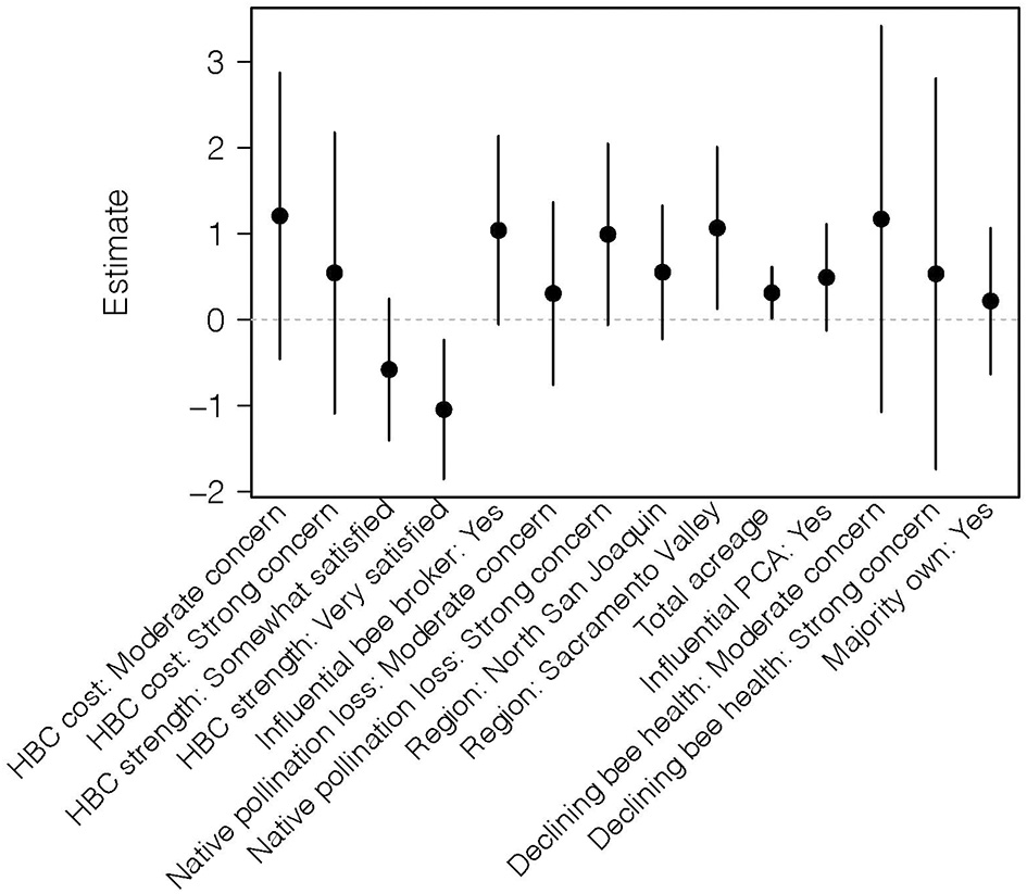
Three statistically significant variables influenced growers' likelihood of always following the legally required HB BMPs: satisfaction with colony strength and having a PCA or bee broker who is influential in making pollinator decisions (Figure 7, Table 5, Appendix Table F). Growers who were satisfied with the strength of their colonies were statistically significantly more likely to adopt all the legally required HB BMPs, by 27% for those who were very satisfied and 19.5% for those who were somewhat satisfied. Respondents who listed a PCA or bee broker as influential in pollinator management decisions were statistically significantly less likely to adopt all the legally required HB BMPs than those who did not, by about 15% for those with a PCA, and 21.5% by those with a bee broker.
Figure 7

Legally obligated Honey bee BMPs: Coefficient estimates (points) and 95% confidence intervals for explanatory variables included in the top model set for legally obligated BMP adoption. Coefficients are on a logit scale. The intercept is set as “No concern” for bee concern variables, “Unsatisfied/Prefer not to answer” for honey bee colony (HBC) strength satisfaction, “Not influential” for each influential person, and South San Joaquin for region.
Several non-significant variables were present in the top averaged model set (Figure 7, Appendix Table F), including region (more likely to always adopt if in North San Joaquin Valley or Sacramento Valley than in Southern San Joaquin Valley), total acreage (slightly less likely with higher acreage), and concerns about lack of skilled beekeepers and lack of available colonies (slightly less likely with a moderate or strong concern).
Interest in Participating in a Bee Certification Program
We had three statistically significant variables influencing growers' interest in participating in a bee-friendly certification program: whether they planted any cover crops or pollinator habitat, satisfaction with the price of bee colonies, and region (Figure 8, Table 5, Appendix Table G). If respondents had planted cover crops or pollinator habitat, they were statistically significantly more likely by 17% to want to participate in a bee certification program than those who had not. If growers thought their colonies were inexpensive in 2019, they were about 41% less likely to want to participate in a certification program than if they thought they were too expensive. In other words, growers who thought their colonies were expensive were most likely to want to participate in a bee certification program. Finally, if growers were in Sacramento Valley, they were about 24% more likely to be interested in a bee certification program than growers in South San Joaquin Valley, and about 31% more likely than growers in North San Joaquin Valley.
Figure 8

Interest in a Bee-Friendly Certification: Coefficient estimates (points) and 95% confidence intervals for explanatory variables included in the top model set for bee-friendly certification interest. Coefficients are on a logit scale. The intercept is set as “No concern” for bee concern variables, “Too expensive” for honey bee colony (HBC) price satisfaction, “Not influential” for each influential person, and South San Joaquin for region.
Several other important variables in the model were important but not statistically significant (Figure 8, Appendix Table G), including whether respondents had a bee broker (more likely if selected) or PCA influencing pollinator decisions (slightly more likely if selected), total acreage (slightly higher with higher acreage), and native pollination loss (more likely if a strong or moderate concern).
Discussion
Adjusting pesticide use and planting pollinator forage and habitat are important practices that can support bee populations and mitigate honey bee vulnerability (Brittain et al., 2012; Huang, 2012; M'Gonigle et al., 2015; Di Pasquale et al., 2016; Kremen et al., 2019), and understanding which incentives motivate growers to adopt these practices may help increase their rate of adoption. Our survey data indicated that across every bee-friendly practice, growers' primary self-selected incentive was to strengthen their honey bee colonies, followed by decreasing the rental fee for managed bee colonies. This underscores the major role that pollination concerns and expenses play in incentivizing the adoption of bee-friendly practices. Our data also indicate that California almond growers are more interested in planting or have already planted cover crops than permanent pollinator habitat types. Their primary incentives to plant cover crops were to strengthen honey bee colonies or take advantage of the non-pollination benefits of cover crops such as water retention, pest control, weed and nematode suppression, and nitrogen fixing (Dabney et al., 2001; Marahatta et al., 2010; Crézé et al., 2018). Cover crops may also be more popular because they are perceived to require less water, attention, installation and labor and maintenance costs than permanent pollinator habitat (Brodt et al., 2008; Morandin et al., 2016).
Regarding pollinator habitat, growers were largely motivated to adopt pollinator habitat because of honey bees rather than native bees. Federal cost share programs were the third-highest motivation, suggesting that further outreach could be conducted to educate growers about the federal programs they can take advantage of to adopt pollinator habitat. As for bee-friendly certification programs, native bees were also a lesser incentive for participation, while price premiums, cost-share programs, and the ability to attract high-quality beekeepers were mid-level incentives after increasing colony strength and receiving a colony price reduction. This suggests that the beekeeping industry might be best positioned to encourage pollinator habitat to strengthen their colonies.
We further found that, in addition to pollination concerns, region played a consistent and statistically significant role in shaping growers' adoption of bee-friendly practices across all but one practice (the legally required HB BMPs). Growers in Sacramento Valley were more likely to have planted cover crops and pollinator habitat than those in the North and South San Joaquin Valley regions, confirming our hypothesis. Sacramento Valley growers were also statistically significantly more interested in a bee certification program. We suggest that the higher adoption and interest in certification (which necessitates forage/habitat installation) in the Sacramento Valley may be due to a combination of higher winter rainfall (National Weather Service, 2020), less expensive surface water (California Water Service Company, 2020), and the presence of year-round beekeepers (Schiff and Sheppard, 1996). Our data showed that 42% of growers in Sacramento Valley obtained their bees from their county or a neighboring county, while 22% of growers in North and South San Joaquin Valley obtained their colonies from a nearby location (Table 2). However, a grower identifying a beekeeper as influential in pollination management did not play a statistically significant role in the adoption of any bee-friendly practices. This suggests that though growers may not identify a beekeeper as influential, diffuse and informal social interactions with beekeepers, potentially those in their communities, may still be important (Thomas et al., 2020). These results did not change qualitatively with the assignment of central San Joaquin countries in the N or S San Joaquin categories.
Conversely, Sacramento Valley growers were less likely to adopt the recommended HB BMPs (which aim to reduce pesticide use during bloom) than growers in North and South San Joaquin Valley, quite possibly because higher rainfall may require heavier fungicide use during winter to prevent “Shot hole” a common fungal disease (Wilsonomyces carpophilus) affecting almonds (Adaskaveg et al., 2008). Indeed, our data show that 37% of growers in South San Joaquin Valley and 28% of those in North San Joaquin Valley always adopted the recommended HB BMPs, compared to 19% in Sacramento Valley. More research would be needed to confirm exactly which HB BMPs Sacramento Valley growers are less likely to always adopt, and the drivers that determine this.
Pollination satisfaction had statistically significant relationships with adoption, generally in line with growers' self-selected responses. Colony price and strength satisfaction did not play as important of a role as we expected, given growers' self-selected incentives. Growers who felt the price of their bee colonies was inexpensive were less interested in a bee certification program. We suggest this is because, given their lower colony costs, they did not feel the need for the price premium a certification could provide. Regarding satisfaction with colony strength, growers who were satisfied with the strength of their colonies were less likely to adopt pollinator habitat than those who were unsatisfied or did not answer the question, presumably because growers would likely only want to adopt practices that would strengthen their colonies, and growers satisfied with their colonies already perceived they were strong. Conversely, growers who were happy with the strength of their colonies were more likely to practice all the legal HB BMPs, which also supported our hypothesis, since growers would probably want to protect strong bee colonies from any pesticide-related harm during bloom. Interestingly, this dynamic, where growers are less likely to adopt cover crops and pollinator habitat if their colonies are strong, inadvertently penalizes beekeepers who bring strong colonies but would like to have access to diverse forage during crop bloom.
Growers' concerns about future pollination also played a statistically significant role in shaping the likelihood of bee-friendly practice adoption. We suspected that growers who were concerned about the cost of bee colonies, the potential lack of available colonies, declining bee health, and the loss of native beekeepers would all be more likely to adopt some or all the bee-friendly practices. We found that the cost of bee colonies and lack of available colonies were both statistically significant in shaping the adoption of cover crops, and the loss of native pollinators was somewhat influential in shaping the adoption of pollinator habitat, though not statistically significantly. Growers were more likely to practice the recommended HB BMPs (which focus on reducing pesticide use) if they were concerned about declining bee health, and also more likely to be interested in a bee certification if they felt the lack of available colonies was a strong concern.
Most notable was that the loss of native pollinators played no statistically significant role in determining grower adoption of bee-friendly practices. This is likely because almond pollination is primarily dependent on managed honey bees (Connell, 2000) and growers seemed less concerned about native bee populations as a result (Table 4). Several survey-based research studies provide some context about growers' obstacles to increasing the utilization of native pollinators in pollinator-dependent fruit crops, specifically apples, lowbush blueberries, and cranberries (Hanes et al., 2015; Gaines-Day and Gratton, 2017; Park et al., 2020). Some of these obstacles include uncertainty of native pollinators' contribution to their crop yield, the difficulty of monitoring native pollinators' population size (to determine if there are enough to pollinate an entire crop), a lack of awareness of cost-share programs to support native pollinators, and an existing reliance on honey bees. Continued research could help explain why growers are not more invested in wild bee populations when research indicates that native bees can increase the efficacy of honey bee pollination in almond orchards (Brittain et al., 2013), increase pollination services on large agricultural fields (Carvalheiro et al., 2012), and increase yields on almond varieties that were originally considered self-pollinating, but may actually benefit from some bee pollination (Sáez et al., 2020).
We expected acreage to be significant across all HB BMPs, given that larger operations might have the financial capital to invest in the labor, seeds, plants, and water involved in cover crops and pollinator habitat, and the labor capacity to practice some of the more labor-intensive aspects of the HB BMPs (such as multiple passes through an orchard to minimize tank mixing). However, acreage was only statistically significant in whether growers adopted pollinator habitat, perhaps because some larger operations keep bee colonies year-round, might want to cite bee-friendly practices in their marketing, or may have the financial capital or extra acreage to grow pollinator forage and habitat.
Social actors played a less consistent role in shaping growers' adoption of bee-friendly practices than we expected. There was high variability in the survey responses identifying which people were influential in pollination decisions. We hypothesized that growers with influential bee brokers or beekeepers would be more likely to adopt bee-friendly practices while growers with influential PCAs would be less likely to adopt the recommended HB BMPs, given their frequent affiliation with agrochemical companies (a 2004 study showed that two-thirds of all PCAs were affiliated; Brodt et al., 2005). Counter to our hypothesis, however, beekeepers did not play a statistically significant role in the adoption of bee-friendly practices or interest in a bee certification. This result was a surprise, as we expected that growers might be influenced by beekeepers requesting that certain bee-friendly practices be adopted or simply educating growers about different practices, as mentioned above. It may be that other social actors we did not include in our survey—such as growers in the respondents' network, extension specialists, or affiliates of the Almond Board or processing facilities—might have a greater influence on the adoption of practices, but further research is needed to determine this.
Bee brokers and PCAs, however, did play a role in the adoption of HB BMPs. Contrary to our expectations, our results indicate that growers were less likely to always practice the legally required HB BMPs if they had an influential PCA or bee broker. This result runs counter to the generally positive influence of bee brokers, beekeepers, and PCAs: we found that across every other practice these groups were associated with slightly higher adoption rates, though the results were not statistically significant (see Figures 4–6, 8). This result may be due to some other factor we did not have a hypothesis for and thus did not measure that is colinear with influential beekeepers and PCAs. Further research could better contextualize these findings and the information sharing among these groups and growers.
Finally, an operation's land tenure, i.e., whether they owned the majority of the land they farm, was not statistically significant in any of the models, though it was associated with slightly lower adoption rate of cover crops and slightly higher adoption of pollinator habitat (Figures 4, 5). This adds further complexity to debates around how land tenure shapes the adoption of diversified farming practices and conservation practices, which generally find that ownership incentivizes adoption of long-term conservation practices (Soule et al., 2000; Varble et al., 2016; Carlisle et al., 2019; Petersen-Rockney et al., 2021). The results from our analysis may indicate that crop type can mediate the adoption of bee-friendly practices more than land tenure. Further, our findings suggest that the bulk of bee-friendly practices are likely to be adopted regardless of land tenure in the almond industry, possibly due to the Almond Board's concerted efforts to support honey bees during bloom, such as the dissemination of the HB BMPs and promotion of cover crops and other bee-friendly practices.
Implications for Strengthening On-Farm Adaptive Capacity
Our study did not determine a single method that drives grower adoption of bee-friendly practices. Indeed, we found that none of the social, operational or bee concern-related factors included in our analysis identified a “silver bullet” that consistently predicted grower adoption of bee-friendly practices. However, our results did indicate that region plays an important role in determining which bee-friendly practices growers adopt, underscoring a general principle of farm diversification: a uniform approach to supporting pollinator health (and diversification more broadly) will likely not be as successful as a context-sensitive strategy (Kremen et al., 2012).
Just as over-simplification can create vulnerable farm agroecosystems (Petersen-Rockney et al., 2021), over-simplified pollinator strategies may weaken actual adoption or lower the desire to participate in such programs, and thus close potential pathways to diversification. Thus, organizations, regulators, and other stakeholders seeking to bolster rates of adoption may be better served by using a variety of incentivization tools rather than relying on just one and may need to recognize that these factors need to be adapted regionally based on differences in climate, social connections, and the economic context of the growers being targeted. For example, our research indicates that growers in arid regions with expensive water (such as North and South San Joaquin Valley) may be limited in their ability to grow cover crops or adopt permanent pollinator habitat but might be able to reduce pesticide applications (particularly fungicides) given their low winter rainfall (National Weather Service, 2020). Conversely, growers in regions with higher rainfall may find it challenging to lower fungicide applications during the rainy season but may be able to plant pollinator forage and habitat.
Colony strength and price, as well as growers' concerns about future pollination services, may be powerful levers to encourage the adoption of bee-friendly practices. Given that over a third of growers found their colonies too expensive (Table 3), and that decreased colony rental was the second most popular incentive across most bee-friendly practices (Figure 3), one of the most obvious incentives to adopt bee-friendly practices might be a reduction in colony price from beekeepers. The beekeeping community and Almond Board might also consider increasing communication about why the colony price has risen more sharply for almonds compared to other industries following almond bloom (Ferrier et al., 2018; Goodrich, 2019) so growers understand why these costs have risen. Alternatively, beekeepers could find ways to better demonstrate colony strength so growers can feel more satisfied with the strength they have received for the price. Other incentives might include greater outreach about funding available from existing federal or private cost-share programs that help with the installation of cover crops and pollinator habitat, or price premiums for bee-friendly growers from distributors.
Finally, further outreach may also be needed to communicate the secondary ecosystem service benefits provided by pollinator habitat enhancement to farms such as pest population reduction, protecting soil and water quality by mitigating runoff and soil erosion (Dabney et al., 2001; Marahatta et al., 2010; Crézé et al., 2018). Combining increased research and outreach with a specialized, regional, honey-bee centered pollinator approach may increase the likelihood that growers will adopt bee-friendly practices that make economic sense, strengthen their operation's adaptive capacity, and support managed and wild pollinators in turn.
Publisher's Note
All claims expressed in this article are solely those of the authors and do not necessarily represent those of their affiliated organizations, or those of the publisher, the editors and the reviewers. Any product that may be evaluated in this article, or claim that may be made by its manufacturer, is not guaranteed or endorsed by the publisher.
Statements
Data availability statement
The original contributions presented in the study are included in the article/Supplementary Material, further inquiries can be directed to the corresponding author/s.
Ethics statement
The studies involving human participants were reviewed and approved by the Institutional Review Board at University of California, Riverside. The participants provided their informed consent to participate in this study.
Author contributions
JD and LP designed the study and prepared data for analysis. JD designed the survey, with input from LP, collected and processed the survey responses, and wrote the first draft of the manuscript. LP analyzed the data with input from JD and contributed to revisions. All authors contributed to the article and approved the submitted version.
Funding
This work was supported by the USDA National Institute of Food and Agriculture NIFA fellowship, project #1019243.
Acknowledgments
The authors would like to thank Emily McNamara for her substantial contributions designing and implementing the survey and processing the final data set. We would also like to thank Brittney K. Goodrich and Hillary Sardiñas for their friendly review and feedback, and the Galt and Ponisio labs for feedback on the survey instrument. We would like to thank the Almond Board and members of the almond industry for their help promoting and distributing the survey, as well as Billy Synk and Danielle Downing at Project Apis m., Sure Harvest, Blue Diamond Growers, and Mariani Nut Company. This work would not have been possible without the growers who contributed their time to respond to our survey.
Conflict of interest
The authors declare that the research was conducted in the absence of any commercial or financial relationships that could be construed as a potential conflict of interest.
Supplementary material
The Supplementary Material for this article can be found online at: https://www.frontiersin.org/articles/10.3389/fsufs.2021.628802/full#supplementary-material
References
1
AdaskavegJ.GublerD.MichailidesT.HoltzB. (2008). Efficacy and Timing of Fungicides, Bactericides, and Biologicals for Deciduous Tree Fruit, Nut Strawberry, and Vine Crops. University of California.
2
Almond Board (2019). Honey Bee Best Management Practices for California. Modesto, CA: Almond Board of California.
3
Almond Board (2020). Honey Bee Best Management Practices Quick Guide. Modesto, CA: Almond Board of California.
4
AtwellR. C.SchulteL. A.WestphalL. M. (2009). Landscape, community, countryside: linking biophysical and social scales in US Corn Belt agricultural landscapes. Landsc. Ecol.24, 791–806. 10.1007/s10980-009-9358-4
5
BartońK. (2020). MuMIn: Multi-Model Interference, R Package Version 1.43.17. Available online at: https://cran.r-project.org/package=MuMIn (accessed November 12, 2020).
6
BrittainC.KremenC.KleinA.-M. (2012). Biodiversity buffers pollination from changes in environmental conditions. Glob. Chang. Biol.19, 540–7. 10.1111/gcb.12043
7
BrittainC.WilliamsN.KremenC.KleinA. M. (2013). Synergistic effects of non-Apis bees and honey bees for pollination services. Proc. R. Soc. B Biol. Sci.280, 1–7. 10.1098/rspb.2012.2767
8
BrodtS.KlonskyK.JacksonL.BrushS.SmuklerS. (2008). Opportunities and obstacles in adoption of biodiversity-enhancing features on California farms, in IFOAM Organic World Congress (Modena), 674–677.
9
BrodtS.KlonskyK.TourteL. (2006). Farmer goals and management styles: implications for advancing biologically based agriculture. Agric. Syst.89, 90–105. 10.1016/j.agsy.2005.08.005
10
BrodtS.KlonskyK.TourteL.DuncanR.HendricksL.OhmartC.et al. (2004a). Influence of farm management style on adoption of biologically integrated farming practices in California. Renew. Agric. Food Syst.19, 237–247. 10.1079/RAFS200488
11
BrodtS.ZalomF.Krebill-PratherR.BentleyW.PickelC.ConnellJ.et al. (2004b). The role of PCAs in pest management decision making in California almond production, in UC IPM Statew. Integr. Pest Manag. Progr (Davis, CA: Agriculture and Natural Resources, University of California).
12
BrodtS.ZalomF.Krebill-PratherR.BentleyW.PickelC.ConnellJ.et al. (2005). Almond growers rely on pest control advisers for integrated pest management. Calif. Agric.59, 242–248. 10.3733/ca.v059n04p242
13
BrucknerS.SteinhauerN.EngelsmaJ.FauvelA. M.KulhanekK.MalcolmE.et al. (2020). 2019-2020 Honey Bee Colony Losses in the United States: Preliminary Results Abstract. 1–5. Available online at: https://beeinformed.org/wp-content/uploads/2020/06/BIP_2019_2020_Losses_Abstract.pdf (accessed November 12, 2020).
14
BurnhamK. P.AndersonD. R. (2002). Model Selection and Multimodel Inference: A Practical Information-Theoretic Approach. New York, NY: Springer-Verlag New York.
15
CadeB. S. (2015). Model averaging and muddled multimodel inferences. Ecology96, 2730–2382. 10.1890/14-1639.1
16
California Water Service Company (2020). Water Cost Per Cubic Foot (Nonresidential Metered Rates). Available online at: https://www.calwater.com/rates/rates-and-tariffs/ (accessed November 12, 2020).
17
CarlisleL.Montenegro de WitM.DeLongeM. S.IlesA.CaloA.GetzC.et al. (2019). Transitioning to sustainable agriculture requires growing and sustaining an ecologically skilled workforce. Front. Sustain. Food Syst.3, 1–8. 10.3389/fsufs.2019.00096
18
CarvalheiroL. G.SeymourC. L.NicolsonS. W.VeldtmanR. (2012). Creating patches of native flowers facilitates crop pollination in large agricultural fields: mango as a case study. J. Appl. Ecol.49, 1373–1383. 10.1111/j.1365-2664.2012.02217.x
19
CDFA (2019). 2018 California Almond Acreage Report, 8. Available online at: https://www.nass.usda.gov/Statistics_by_State/California/Publications/Fruits_and_Nuts/2017/201704almac.pdf (accessed November 12, 2020).
20
CDFA (2020). California Agricultural Statistics Review, 157. Available online at: https://www.nass.usda.gov/Statistics_by_State/California/Publications/California_Ag_Statistics/CA_Ag_Overview.pdf (accessed November 12, 2020).
21
CDPR (2018a). California's Managed Pollinator Protection Plan-Mp3, 1–24. Available online at: http://www.cdpr.ca.gov/docs/enforce/pollinators/index.htm (accessed March 6, 2018).
22
CDPR (2018b). California's Managed Pollinator Protection Plan (MP3), 1–18. Available online at: http://www.cdpr.ca.gov/docs/enforce/pollinators/index.htm (accessed March 6, 2018).
23
ChappelleC.HanakE.HarterT. (2017). Groundwater in California. PPIC Water Policy Cent. Available online at: http://www.ppic.org/content/pubs/jtf/JTF_GroundwaterJTF.pdf (accessed November 12, 2020).
24
CobeyS.SheppardW. S.TarpyD. R. (2016). Status of breeding practices and genetic diversity in domestic U.S. honey bees. Chapter4, 39–53. Available online at: https://www.researchgate.net/publication/303873161 (accessed November 12, 2020).
25
ConnellJ. H. (2000). Pollination of almonds: practices and problems. Horttechnology10, 116–119. 10.21273/HORTTECH.10.1.116
26
CrézéC. M.MitchellJ.WestphalA.LightleD.DollD.YaghmourM.et al. (2018). Developing Cover Crop Systems for Almond Orchards Results 2018, First Season County Mixes Varied Widely Amongst Site 5. Davis, CA: University of California.
27
CruzJ. K.SardiñasH.Foltz JordanS.Lee-MäderE.HopwoodJ. (2013). Estimated Costs to Establish Pollinator Hedgerows, 3. Available online at: https://www.xerces.org/sites/default/files/2018-05/16-031_01_XercesSoc_Estimated-Cost_Pollinator-Hedgerows_web.pdf (accessed November 12, 2020).
28
DabneyS. M.DelgadoJ. A.ReevesD. W. (2001). Using winter cover crops to improve soil and water quality. Commun. Soil Sci. Plant Anal.32, 1221–1250. 10.1081/CSS-100104110
29
Di PasqualeG.Di AlauxC.Le ConteY.OdouxJ.-F.PiozM.VaissièreB. E.et al. (2016). Variations in the availability of pollen resources affect honey bee health. PLoS ONE11, 1–15. 10.1371/journal.pone.0162818
30
Di PasqualeG.Di SalignonM.Le ConteY.BelzuncesL. P.DecourtyeA.KretzschmarA.et al. (2013). Influence of pollen nutrition on honey bee health: do pollen quality and diversity matter?PLoS ONE8, 1–13. 10.1371/journal.pone.0072016
31
DuncanR. A.GordonP. E.HoltzB. A.StewartD.SumnerD. A. (2019). Sample Costs to Establish an Orchard and Produce Almonds, 25. Available online at: http://ipm.ucanr.edu/WEATHER/ddss_tbl.html (accessed November 12, 2020).
32
DurantJ. L. (2019). Bitter Honey: A Political Ecology of Honey Bee Declines. Available online at: https://escholarship.org/uc/item/20f1f816 (accessed November 12, 2020).
33
EngleN. L. (2011). Adaptive capacity and its assessment. Glob. Environ. Chang.21, 647–656. 10.1016/j.gloenvcha.2011.01.019
34
EvansE.SmartM.CariveauD.SpivakM. (2018). Wild, native bees and managed honey bees benefit from similar agricultural land uses. Agric. Ecosyst. Environ.268, 162–170. 10.1016/j.agee.2018.09.014
35
FerrierP. M.RuckerR. R.ThurmanW. N.BurgettM. (2018). Economic Effects and Responses to Changes in Honey Bee Health: ERS Report 246. Available online at: www.ers.usda.gov (accessed June 27, 2018).
36
FoxJ.WeisbergS. (2019). An R Companion to Applied Regression. 3rd Edn.Thousand Oaks: Sage Publications. Available online at: https://socialsciences.mcmaster.ca/jfox/Books/Companion/%7D (accessed November 12, 2020).
37
Gaines-DayH. R.GrattonC. (2017). Understanding barriers to participation in cost-share programs for pollinator conservation by wisconsin (USA) cranberry growers. Insects8:30079. 10.3390/insects8030079
38
GaribaldiL. A.Steffan-DewenterI.KremenC.MoralesJ. M.BommarcoR.CunninghamS. A.et al. (2011). Stability of pollination services decreases with isolation from natural areas despite honey bee visits. Ecol. Lett.14, 1062–1072. 10.1111/j.1461-0248.2011.01669.x
39
GaribaldiL. A.Steffan-DewenterI.WinfreeR.AizenM. A.BommarcoR.CunninghamS. A.et al. (2013). Wild pollinators enhance fruit set of crops regardless of honey bee abundance. Science339, 1608–1611. 10.1126/science.1230200
40
GontijoL. M.BeersE. H.SnyderW. E. (2013). Flowers promote aphid suppression in apple orchards. Biol. Control66, 8–15. 10.1016/j.biocontrol.2013.03.007
41
GoodrichB. (2017). The California Almond Pollination Market: Contracts and Honey Bee Colony Health. Available online at: https://search.proquest.com/docview/1992171206?pq-origsite=gscholar (accessed June 27, 2018).
42
GoodrichB. K. (2019). Do more bees imply higher fees? Honey bee colony strength as a determinant of almond pollination fees. Food Policy83, 150–160. 10.1016/j.foodpol.2018.12.008
43
GoodrichB. K.DurantJ. L. (2020). Going Nuts for More Bees: Factors Influencing California Almond Pollination Fees. ARE Updat. 24,5–8. Available online at: https://s.giannini.ucop.edu/uploads/giannini_public/83/cc/83cccc0b-b436-4744-8c6a-2d08d69f4513/v24n1_2.pdf (accessed November 12, 2020).
44
GoulsonD.NichollsE.BotíasC.RotherayE. L. (2015). Bee declines driven by combined stress from parasites, pesticides, and lack of flowers. Science347:1255957. 10.1126/science.1255957
45
GreenleafS. S.KremenC. (2006). Wild bees enhance honey bees' pollination of hybrid sunflower. Proc. Natl. Acad. Sci. U. S. A.103, 13890–13895. 10.1073/pnas.0600929103
46
HanakE.MountJ.ChappelleC.LundJ.Medellín-AzuaraJ.MoyleP.et al. (2015). What If California's Drought Continues?, 1–20. Available online at: http://www.ppic.org/content/pubs/report/R_815EHR.pdf (accessed November 12, 2020).
47
HanesS. P.CollumK. K.HoshideA. K.AsareE. (2015). Grower perceptions of native pollinators and pollination strategies in the lowbush blueberry industry. Renew. Agric. Food Syst.30, 124–131. 10.1017/S1742170513000331
48
HendricksL.DuncanR.VerdegaalP.KlonskyK.LivingstonP. (1998). Sample Costs to Establish an Almond Orchard and Produce Almonds. Davis, CA: UC Cooperative Extension; University of California.
49
HollandJ. M. (2019). Contribution of hedgerows to biological control, in The Ecology of Hedgerows and Field Margins, eds DoverJ. W. (London: Routledge), 24. 10.4324/9781315121413-7
50
HuangZ. (2012). Pollen nutrition affects honey bee stress resistance. Terr. Arthropod Rev.5, 175–189. 10.1163/187498312X639568
51
JohnsonJ. B.OmlandK. S. (2004). Model selection in ecology and evolution. Trends Ecol. Evol.19, 101–108. 10.1016/j.tree.2003.10.013
52
KleinA. M.BrittainC.HendrixS. D.ThorpR.WilliamsN.KremenC. (2012). Wild pollination services to California almond rely on semi-natural habitat. J. Appl. Ecol.49, 723–732. 10.1111/j.1365-2664.2012.02144.x
53
KohI.LonsdorfE. V.WilliamsN. M.BrittainC.IsaacsR.GibbsJ.et al. (2016). Modeling the status, trends, and impacts of wild bee abundance in the United States. Proc. Natl. Acad. Sci. U. S. A.113, 140–145. 10.1073/pnas.1517685113
54
KopecK.BurdL. A. (2017). Pollinators in Peril: A Systematic Status Review of North American and Hawaiian Native Bees, 1–14. Available online at: http://www.biologicaldiversity.org/campaigns/native_pollinators/pdfs/Pollinators_in_Peril.pdf (accessed February 22, 2018).
55
KratschmerS.PachingerB.SchwantzerM.ParedesD.GuzmánG.GomézJ. A.et al. (2019). Response of wild bee diversity, abundance, and functional traits to vineyard inter-row management intensity and landscape diversity across Europe. Ecol. Evol.9, 4103–4115. 10.1002/ece3.5039
56
KremenC.AlbrechM.PonisioL. C. (2019). Restoring pollinator communities and pollination services in hedgerows in intensively-managed agricultural landscapes, in Ecology Hedgerows and Field Margins, ed DoverJ. W. (London: Routledge), 306. 10.4324/9781315121413-9
57
KremenC.IlesA.BaconC. (2012). Diversified farming systems: an agroecological, systems-based alternative to modern industrial agriculture. Ecol. Soc.17:444. 10.5751/ES-05103-170444
58
KremenC.M'GonigleL. K. (2015). Small-scale restoration in intensive agricultural landscapes supports more specialized and less mobile pollinator species. J. Appl. Ecol.2015:12418. 10.1111/1365-2664.12418
59
KremenC.M'GonigleL. K.PonisioL. C. (2018). Pollinator community assembly tracks changes in floral resources as restored hedgerows mature in agricultural landscapes. Front. Ecol. Evol.6, 1–10. 10.3389/fevo.2018.00170
60
KriegerL. M. (2014). California Drought: San Joaquin Valley Sinking as Farmers Race to Tap Aquifer. San Jose Mercur. News. Available online at: https://www.mercurynews.com/2014/03/29/california-drought-san-joaquin-valley-sinking-as-farmers-race-to-tap-aquifer/ (accessed November 12, 2020).
61
KulhanekK.SteinhauerN.RennichK.CaronD. M.SagiliR. R.PettisJ. S.et al. (2017). A national survey of managed honey bee 2015–2016 annual colony losses in the USA. J. Apic. Res.56, 328–340. 10.1080/00218839.2017.1344496
62
LandisD. A.WrattenS. D.GurrG. M. (2000). Habitat management to conserve natual enemies of athropod pests in agriculture. Annu. Rev. Entomol.45, 175–201. 10.1146/annurev.ento.45.1.175
63
MarahattaS. P.WangK. H.SipesB. S.HooksC. R. R. (2010). Strip-tilled cover cropping for managing nematodes, soil mesoarthropods, and weeds in a bitter melon agroecosystem. J. Nematol.42, 111–119.
64
M'GonigleL. K.PonisioL. C.CutlerK.KremenC. (2015). Habitat restoration promotes pollinator persistence and colonization in intensively managed agriculture. Ecol. Appl.25, 1557–1565. 10.1890/14-1863.1
65
MorandinL. A.LongR. F.KremenC. (2016). Pest control and pollination cost-benefit analysis of hedgerow restoration in a simplified agricultural landscape. J. Econ. Entomol.109, 1020–1027. 10.1093/jee/tow086
66
National Weather Service (2020). National Weather Service: Advanced Hydrologic Prediction Service. Available online at: https://water.weather.gov/precip/
67
NicholsonC. C.KohI.RichardsonL. L.BeaucheminA.RickettsT. H. (2017). Farm and landscape factors interact to affect the supply of pollination services. Agric. Ecosyst. Environ.250, 113–122. 10.1016/j.agee.2017.08.030
68
ParkM. G.JoshiN. K.RajotteE. G.BiddingerD. J.LoseyJ. E.DanforthB. N. (2020). Apple grower pollination practices and perceptions of alternative pollinators in New York and Pennsylvania. Renew. Agric. Food Syst.35, 1–14. 10.1017/S1742170518000145
69
Petersen-RockneyM.BaurP.GuzmanA.BenderS. F.CaloA.CastilloF.et al. (2021). Narrow and brittle or broad and nimble? Comparing adaptive capacity in simplifying and diversifying farming systems. Front. Sustain. Food Syst. 5:564900. 10.3389/fsufs.2021.564900
70
Pollinator Health Task Force (2016). Pollinator Partnership Action Plan, 1–24. Available online at: https://www.whitehouse.gov/sites/whitehouse.gov/files/images/Blog/PPAP_2016.pdf (accessed November 12, 2020).
71
Pollinator Partnership (2020). Bee Friendly Farming Certification. Pollinator Partnersh. Available online at: https://www.pollinator.org/bff (accessed November 12, 2020).
72
PonisioL. C.WilkinK.M'GonigleL. K.KulhanekK.CookL.ThorpR.et al. (2016). Pyrodiversity begets plant-pollinator community diversity. Glob. Chang. Biol.22, 1794–1808. 10.1111/gcb.13236
73
PottsS. G.BiesmeijerJ. C.KremenC.NeumannP.SchweigerO.KuninW. E. (2010a). Global pollinator declines: trends, impacts and drivers. Trends Ecol. Evol.25, 345–353. 10.1016/j.tree.2010.01.007
74
PottsS. G.Imperatriz-FonsecaV. L.NgoH. T.BiesmeijerJ. C.BreezeT. D.DicksL. V.et al. (2017). IPBES (2016): Summary for policymakers of the assessment report of the Intergovernmental Science-Policy Platform on Biodiversity and Ecosystem Services on pollinators, pollination and food production. Bonn: Secretariat of the Intergovernmental Science-Policy Platform on Biodiversity and Ecosystem Services.
75
PottsS. G.RobertsS. P. M.DeanR.MarrisG.BrownM. A.JonesR.et al. (2010b). Declines of managed honey bees and beekeepers in Europe. J. Apic. Res.49, 15–22. 10.3896/IBRA.1.49.1.02
76
PR Newswire (2020). KIND Becomes First Snack Company to Commit to Exclusively Source Almonds From Bee-Friendly Farms by 2025. PR Newswire.
77
Project Apism (2020). Seeds for Bees. Cision PR Newswire. Available online at: https://www.prnewswire.com/news-releases/kind-becomes-first-snack-company-to-commit-to-exclusively-source-almonds-from-bee-friendly-farms-by-2025-301117570.html (accessed August 25, 2020).
78
R Core Team (2018). R: A Language and Environment for Statistical Computing.Vienna: R Foundation for Statistical Computing. Available online at: https://www.R-project.org/
79
RyuE.CouperM. P.MaransR. W. (2006). Survey incentives: Cash vs. in-kind; Face-to-face vs. mail; Response rate vs. nonresponse error. Int. J. Public Opin. Res.18, 89–106. 10.1093/ijpor/edh089
80
SáezA.AizenM. A.MediciS.VielM.VillalobosE.NegriP. (2020). Bees increase crop yield in an alleged pollinator-independent almond variety. Sci. Rep.10:3177. 10.1038/s41598-020-59995-0
81
SchiffN. M.SheppardW. S. (1996). Genetic differentiation in the queen breeding population of the western United States. Apidologie27, 77–86. 10.1051/apido:19960202
82
SmitB.PilifosovaO.BurtonI.ChallengerB.HuqS.KleinR. J. T.et al. (2001). Adaptation to climate change in the context of sustainable development and equity, in Climate Change 2001: Impacts, Adaptation and Vulnerability. Contribution of Working Group II to the Third Assessment Report of the Intergovernmental Panel on Climate Change, eds McCarthyJ. J.CanzianiO. F.LearyN. A.Dokken D. J.WhiteK. S. (Cambridge: Cambridge University Press), 879–912.
83
SouleM. J.TegeneA.WiebeK. D. (2000). Land tenure and the adoption of conservation practices. Am. J. Agric. Econ.82, 993–1005. 10.1111/0002-9092.00097
84
The White House (2014). Creating a Federal Strategy to Promote the Health of Honey Bees and Other Pollinators. Available online at: https://obamawhitehouse.archives.gov/the-press-office/2014/06/20/presidential-memorandum-creating-federal-strategy-promote-health-honey-b (accessed February 21, 2018).
85
ThomasE.RileyM.SpeesJ. (2020). Knowledge flows: farmers' social relations and knowledge sharing practices in “Catchment Sensitive Farming.”Land Use Policy90:104254. 10.1016/j.landusepol.2019.104254
86
TippettJ.NelsonD.NelsonG.ThorsonT. (2001). 2000 California Almond Acreage Report. Sacramento, CA: California Agricultural Statistics Service.
87
UnderwoodR. M.VanEngelsdorpD. (2007). Colony collapse disorder: have we seen this before?Bee Cult.35, 13–18. Available online at: https://www.researchgate.net/publication/235257051_Colony_Collapse_Disorder_Have_we_seen_this_before
88
USDA NASS (2019). 2019 California Almond Forecast. Washington, DC.
89
USDA FCIC (2018). Almond Loss Adjustment Standards Handbook: 2019 and Succeeding Crop Years. Available online at: https://www.rma.usda.gov/-/media/RMAweb/Handbooks/Loss-Adjustment-Standards-−25000/Almonds/2019-25020-Almond-Loss-Adjustment.ashx (accessed July 2, 2019).
90
USDA-NASS (2019). California State and County Data. 2017 Census Agric. 1. Available online at: https://www.nass.usda.gov/Publications/AgCensus/2017/Full_Report/Volume_1,_Chapter_1_State_Level/California/ (accessed November 12, 2020).
91
USGS (2021a). The Central Valley: Sacramento Valley.Washington, DC: United States Geological Service. Available online at: https://ca.water.usgs.gov/projects/central-valley/sacramento-valley.html
92
USGS (2021b). The Central Valley: San Joaquin Basin.Washington, DC: United States Geological Service. Available online at: https://ca.water.usgs.gov/projects/central-valley/san-joaquin-basin.html
93
USGS (2021c). The Central Valley: Tulare Basin.Washington, DC: United States Geological Service. Available online at: https://ca.water.usgs.gov/projects/central-valley/tulare-basin.html
94
VarbleS.SecchiS.DruschkeC. G. (2016). An examination of growing trends in land tenure and conservation practice adoption: results from a farmer survey in Iowa. Environ. Manage.57, 318–330. 10.1007/s00267-015-0619-5
95
WilliamsN. M.WardK. L.PopeN.IsaacsR.WilsonJ.MayE. A.et al. (2015). Native wildflower plantings support wild bee abundance and diversity in agricultural landscapes across the United States. Ecol. Appl.25, 2119–2131. 10.1890/14-1748.1
96
WinfreeR.WilliamsN. M.DushoffJ.KremenC. (2007). Native bees provide insurance against ongoing honey bee losses. Ecol. Lett.10, 1105–1113. 10.1111/j.1461-0248.2007.01110.x
97
Xerces Society (2020). Bee Better Certified. Xerces Soc. Available online at: https://beebettercertified.org/ (accessed November 12, 2020).
98
ZuurA.IenoE. N.WalkerN.SavelievA. A.SmithG. M. (2009). Mixed Effects Models and Extensions in Ecology With R. New York, NY: Springer-Verlag New York. 10.1007/978-0-387-87458-6
99
ZuurA. F.IenoE. N.ElphickC. S. (2010). A protocol for data exploration to avoid common statistical problems. Methods Ecol. Evol.1, 3–14. 10.1111/j.2041-210X.2009.00001.x
Summary
Keywords
pollinators, adaptive capacity, diversified farming, almond (Prunus dulcis Mill.), honey bees (Apis mellifera), agriculture, apiculture, wild bees
Citation
Durant JL and Ponisio LC (2021) A Regional, Honey Bee-Centered Approach Is Needed to Incentivize Grower Adoption of Bee-Friendly Practices in the Almond Industry. Front. Sustain. Food Syst. 5:628802. doi: 10.3389/fsufs.2021.628802
Received
13 November 2020
Accepted
30 June 2021
Published
06 August 2021
Volume
5 - 2021
Edited by
Selena Ahmed, Montana State University, United States
Reviewed by
Neelendra K. Joshi, University of Arkansas, United States; William G. Meikle, United States Department of Agriculture, United States
Updates
Copyright
© 2021 Durant and Ponisio.
This is an open-access article distributed under the terms of the Creative Commons Attribution License (CC BY). The use, distribution or reproduction in other forums is permitted, provided the original author(s) and the copyright owner(s) are credited and that the original publication in this journal is cited, in accordance with accepted academic practice. No use, distribution or reproduction is permitted which does not comply with these terms.
*Correspondence: Jennie L. Durant jenniedurant@berkeley.edu
This article was submitted to Agroecology and Ecosystem Services, a section of the journal Frontiers in Sustainable Food Systems
Disclaimer
All claims expressed in this article are solely those of the authors and do not necessarily represent those of their affiliated organizations, or those of the publisher, the editors and the reviewers. Any product that may be evaluated in this article or claim that may be made by its manufacturer is not guaranteed or endorsed by the publisher.