Abstract
High-standard farmland construction (HSFC) is a key measure to ensure national food security. The development of digital technology has brought new opportunities for HSFC. Based on panel data from 30 provinces (municipalities and autonomous regions), this paper employs a two-way fixed effects model, a panel threshold model, and a spatial Durbin model (SDM) to empirically examine the impact of digital technology on HSFC efficiency, as well as its threshold and spatial spillover effects. The study yielded the following key findings: First, digital technology has significantly improved the efficiency of HSFC. Simultaneously, its positive impact is more pronounced in areas with smaller terrain undulations, areas with higher agricultural land transfer, and eastern regions. Second, the impact of digital technology on the efficiency of HSFC exhibited a double threshold effect. When the level of digital technology is below the second threshold, it will significantly affect the efficiency of HSFC, and when the level of digital technology is between the first threshold and the second threshold, it will significantly affect the efficiency of HSFC. The effect is particularly strong when digital technology falls between the first and second thresholds. Third, digital technology has generated significant negative spatial spillover effects on the efficiency of HSFC. Based on this, we should strengthen the construction of rural digital infrastructure, build a digital management system for HSFC, and at the same time promote regional coordinated development of HSFC to achieve efficiency improvement in HSFC.
1 Introduction
The World Food Security Outlook released by the World Bank in November 2024 indicates that 343 million people across 74 countries are experiencing acute food insecurity, marking a 10% increase from the previous year and nearly 200 million more than pre-pandemic levels. The global food security situation remains dire. With its large population, China faces ongoing challenges in maintaining food security. Land is the foundation of grain production, and strengthening the protection of cultivated land plays a crucial role in maintaining social stability. In recent years, China has adopted the strategy of “storing grain in land and technology” and implemented the high-standard farmland construction (HSFC) policy. By the end of 2023, China had developed more than 66.67 million hectares of high-standard farmland, providing essential support for maintaining a national grain output of over 650 million tons for nine consecutive years. However, HSFC, as a quasi-public good, faces practical challenges such as “reconstruction with limited management,” “low farmer participation or difficulty in participation,” and “inconsistent objectives among stakeholders.” Additionally, excessive administrative intervention in supervision and management has led to suboptimal overall outcomes (Xu et al., 2020). Given that HSFC is a primary means of implementing the “storing grain in land and technology” strategy, its inefficiency poses a significant obstacle to improving cultivated land quality. Therefore, enhancing HSFC efficiency and ensuring a stable and secure supply of grain and essential agricultural products are urgent practical challenges that must be addressed.
With the rapid advancement of the fourth industrial revolution, characterized by 5G, cloud computing, blockchain, and artificial intelligence, human society has entered a new era driven by the digital economy (Khitskov et al., 2017), reshaping the landscape of HSFC. The National HSFC Plan (2021–2030) explicitly emphasizes leveraging digital technology to integrate farmland construction, production, and management while enhancing total factor productivity. The widespread adoption of digital technologies such as the Internet, big data, and artificial intelligence is increasingly demonstrating their potential to modernize and optimize high-standard farmland development. On one hand, China’s rural network infrastructure has significantly improved, making the Internet a fundamental resource for rural residents and providing a solid foundation for digital technology to support HSFC. On the other hand, the government has introduced a series of policies to promote digital villages and explore new models of HSFC in the digital era, aligning with the broader trend of high-quality farmland development. The integration of digital technology has injected fresh momentum into HSFC, reducing decision-making and supervision costs while significantly improving construction efficiency. At present, empowering HSFC with modern digital technology is not only a key component of digital agriculture but also a critical pathway to addressing HSFC challenges in the digital age.
After reviewing the literature, scholars have analyzed the conceptual definition and fundamental characteristics of digital technology and digital empowerment from a theoretical perspective (Lazebnyk and Voitenko, 2020; Mäkinen, 2006; Li et al., 2018). Research has also explored the mechanisms and pathways through which digital technology empowers rural governance (Xia et al., 2022), increases farmers’ income (Zhang and Fan, 2024), and promotes high-quality agricultural development (Xia et al., 2019). Additionally, some studies have empirically examined the impact of digital technology on local government environmental governance (Wang and Guo, 2024), green development (Wang et al., 2021), and agricultural economic resilience (Quan et al., 2024).
Research on the effectiveness of HSFC has primarily focused on its implementation and overall performance, with empirical analyses highlighting its economic, social, and ecological benefits. Economically, HSFC enhances grain output by increasing cropping frequency, mitigating drought and flood impacts, and expanding cultivated land (Hao et al., 2024; Sun et al., 2025). Furthermore, it contributes to land leveling, protects the agricultural environment, and improves infrastructure, which in turn enhances food quality (Gong et al., 2023) and increases farmers’ income (Chen et al., 2023). From a social perspective, high-quality farmland development has accelerated the emergence of new agricultural entities (Zhao and Sun, 2022) and improved farmers’ mechanization levels through strategic land consolidation and leveling (Bradfield et al., 2021). Additionally, empirical research has shown that HSFC policies can significantly reduce the rural poverty rate by 7.4% (Peng et al., 2022). Ecologically, Xu et al. (2022) investigated the impact of HSFC on agricultural film recycling behavior using survey data from rural areas in Sichuan Province. The study found that farmers participating in HSFC programs were 16% more likely to engage in agricultural film recycling. Liu and Lin (2024) noted that HSFC’s carbon reduction effects on agricultural land use are particularly significant in central regions while less pronounced in eastern and western areas. Additionally, some researchers argue that HSFC substantially reduces chemical fertilizer usage, particularly in major grain-producing regions and in central and western parts of the country (Liu et al., 2023).
Several studies have evaluated the performance of HSFC. Regarding the evaluation framework, some researchers have used three key indicators—farmland productivity, stability of farmland productivity, and uniformity of farmland productivity—to assess HSFC effectiveness (Pu et al., 2019). However, improvements in farmland productivity alone do not fully capture the overall effectiveness of HSFC. Consequently, to provide a more comprehensive assessment, an increasing number of researchers have incorporated additional metrics across various dimensions, including equity, efficiency, ecological impact, social factors, and economic performance (Wang et al., 2022). Regarding evaluation methods, the current approaches for measuring HSFC performance primarily include the entropy weight TOPSIS method (Xin et al., 2017), matter-element extension, and TOPSIS modeling (Tian et al., 2019). Some researchers have applied the analytic hierarchy process (AHP) to determine indicator weights within the HSFC evaluation system (Xu et al., 2020). Additionally, some researchers have employed the data envelopment analysis (DEA) method to evaluate HSFC performance. For instance, Liu and Zhang (2024) implemented a three-stage super-efficiency slack-based measure data envelopment analysis (SBM-DEA) model to assess HSFC efficiency across different provinces in China.
The research above provides a valuable reference for understanding the relationship between digital technology and HSFC efficiency. However, several limitations remain. First, while some researchers have systematically evaluated HSFC performance, they have not assessed its efficiency from an input–output perspective, limiting the accurate reflection of resource allocation efficiency. Second, few studies have examined the impact of digital technology on HSFC efficiency and its underlying mechanisms. The internal causal relationship between these two factors has not been thoroughly analyzed. Thus, can digital technology enhance HSFC efficiency? To what extent? Does this impact exhibit threshold or spatial spillover effects? A comprehensive discussion of these questions is crucial for elucidating the mechanisms through which digital technology influences HSFC efficiency, ultimately facilitating the transformation of farmland into “good farmland” and ensuring food security.
In light of this, this paper employs China’s provincial panel data from 2005 to 2017 to calculate the efficiency of HSFC using the super-efficiency SBM-DEA model. Subsequently, it adopts methodologies such as the two-way fixed effects model, panel threshold effect model, and spatial Durbin model to thoroughly investigate the impact of digital technology on HSFC efficiency and its spatial spillover effects. The objective is to provide decision-making references for enhancing the construction of high-standard farmland in China and offer valuable insights for global farmland protection efforts. This study offers several contributions that distinguish it from existing research. First, it examined three key phases—before, during, and after construction—to systematically reveal the mechanism of digital technology in enabling HSFC efficiency and provide scientific evidence of how digital technology promotes the improvement of the efficiency of HSFC, thereby enriching the research content of digital technology and HSFC and expanding the application of digital technology theory in the field of HSFC. Second, the study employed a super-efficiency SBM-DEA model incorporating unexpected outputs to provide an objective assessment of HSFC efficiency. Finally, it explored both the threshold and spatial spillover effects of digital technology on HSFC efficiency while analyzing variations in its impact across different contexts, expanding new antecedent variables for the study of HSFC efficiency, and demonstrating feasible ways to solidly promote HSFC.
2 Theoretical analysis and research hypothesis
2.1 Impact of digital technology on the efficiency of HSFC
The concept of efficiency was first proposed by Farrell (1957), referring to the ratio of the minimum possible input of factors to the actual input under the same output constraint. The Cobb–Douglas function is a widely used model for studying input–output efficiency. Land, physical capital, and labor are traditional input factors in economic growth, playing a significant role in economic development. As a new production factor, digital technology can effectively enhance economic efficiency by integrating deeply with traditional production factors such as capital and labor (Jiang and Jin, 2022).
In the HSFC process, integrating digital technologies such as the Internet of Things, cloud computing, and big data enables the efficient and intelligent management of HSFC projects. This integration enhances resource allocation efficiency and reduces costs related to information acquisition and project implementation across various entities. Specifically, digital technology improves construction efficiency by facilitating quality enhancements at each stage—before, during, and after construction.
First, it enhances decision-making accuracy in the pre-construction stage. On one hand, digital technology is highly effective at capturing and integrating information. By leveraging big data integration and intelligent analysis technologies, government departments can transform fragmented high-standard farmland data into systematic information. This reduces search costs, mitigates information asymmetry issues, and supports more informed decision-making, thereby improving the accuracy and effectiveness of farmland construction. On the other hand, digital technology enables rapid information sharing and interconnectivity. Farmers can more easily access HSFC project information and participate in decision-making, fostering a “bottom-up” and “top-down” dual-track HSFC demand expression mechanism that ensures an accurate response to farmers’ needs.
Second, it improves construction quality during the implementation process. The government, as a key participant in HSFC, typically selects market entities as project agents through public bidding. Based on the rational economic man hypothesis, the extent to which market entities actively engage in construction depends largely on the perceived benefits and costs of participation. In the digital age, the positive actions of market entities are increasingly amplified through digital technology, significantly enhancing the benefits of cooperative strategies while increasing the reputational losses associated with “free-riding” behavior. This discourages opportunistic behavior and helps ensure farmland construction quality. Additionally, applying digital technologies such as big data, the Internet of Things, satellite remote sensing, and geographic information systems provides more precise geographic, climate, and soil information for farmland construction. These technologies not only improve the accuracy and efficiency of HSFC but also facilitate information sharing among construction entities, standardization, transparency, and intelligent management, ultimately enhancing construction quality.
Third, in the post-construction phase, strengthening long-term management and maintenance is essential. The application of digital technology facilitates the development of a digital management platform for high-standard farmland. Through this platform, real-time and dynamic monitoring of management fund allocation, the performance of management entities, and facility maintenance can be achieved. This enables “continuous management, intelligent management, and full-process management,” reducing information asymmetry, lowering supervision costs, and enhancing the timeliness, transparency, and efficiency of farmland management. As a result, high-standard farmland can continue to generate long-term economic and social benefits. Furthermore, insufficient participation of farmers who are the direct beneficiaries and users of HSFC will hinder the improvement of HSFC efficiency. In the context of highly interconnected social networks, farmers’ “free-riding” behavior during the maintenance and protection of high-standard farmland can rapidly and widely disseminate within their social groups, leading to their reputational damage and subsequently making it difficult for them to do anything within their villages. This constrains farmers’ behavior to a certain extent and promotes their participation in the post-construction management and maintenance of high-standard farmland. Simultaneously, in the digital age, farmers’ participation in such projects is more likely to spread and diffuse within villages. The resulting demonstration effect within rural communities, characterized by close-knit social networks, further encourages farmer participation in maintenance activities and enhances the overall efficiency of HSFC. Based on this, this study proposes hypothesis H1.
H1: Digital technology helps improve the efficiency of HSFC.
2.2 Threshold effect of digital technology on the efficiency of HSFC
Digital technology inherently enhances resource allocation efficiency, economic operation efficiency, and public management efficiency, contributing to overall improvements in productivity (Niu and Zhang, 2022). However, in order to give full play to the radiation and driving role of digital technology, it may be necessary to accumulate to a certain level. When the level of digital technology is low, due to the low scale of digital networks and the imperfect rural digital infrastructure, farmers left behind in rural areas have a low level of awareness of digital technology. In the process of participating in HSFC, they rarely use digital technologies and smart agricultural machinery such as mobile phones and drones, resulting in a low degree of integration of digital technology with various links in HSFC, which further leads to the limited effect of digital technology on improving the efficiency of HSFC.
When digital technology develops to a certain level, HSFC stakeholders can leverage digital technologies such as the Internet of Things, cloud computing, and big data to achieve efficient and intelligent management of HSFC projects, thereby enhancing construction efficiency. At the same time, various HSFC departments utilize digital technology to continuously optimize internal governance structures, strengthen coordination and cooperation between departments, and ensure seamless integration across design, procurement, construction, acceptance, management, and maintenance, ultimately improving HSFC efficiency. In other words, the relationship between digital technology and HSFC efficiency is nonlinear and exhibits a threshold effect. Based on this analysis, hypothesis H2 was proposed.
H2: The impact of digital technology on HSFC efficiency has a threshold effect.
2.3 Spatial spillover effects of digital technology on the efficiency of HSFC
New economic geography theory suggests that the diffusion and spillover of information technology enhance spatial dependence between economies. Unlike traditional production factors such as technology and human capital, digital technology exhibits strong positive externalities, high mobility, and deep penetration. By facilitating the flow and integration of production factors across regions, it significantly influences the digital technology levels of neighboring areas through spillover effects. According to information hinterland theory, proximity to regions with advanced digital technology amplifies these spatial spillover effects.
Although HSFC is independently implemented in each region, it also influences HSFC efforts in adjacent areas, demonstrating significant spatial correlation characteristics. Regarding the relationship between digital technology and HSFC efficiency, digital technology possesses attributes of efficient integration, rapid dissemination, and high spillover (Batabyal and Nijkamp, 2016). These characteristics transcend geographical barriers, time constraints, and information transmission limitations, breaking down time and space constraints in HSFC projects and reducing costs in neighboring areas through the diffusion of knowledge and technology. Furthermore, as digital technology advances, the efficiency of cross-regional information and data exchange continues to improve, promoting the integration and sharing of knowledge, technology, and other resources. This, in turn, facilitates cooperation among HSFC departments in different regions, fostering an open and collaborative development environment. Additionally, through the demonstration effect, government departments in neighboring regions are likely to learn from and adopt successful applications of digital technology in HSFC, further improving construction efficiency.
However, due to regional disparities in digital technology development, rural digital infrastructure, farmers’ digital literacy, and digital industry growth remain uneven. According to the theory of circular cumulative causation, the return effect of digital technology is widespread and outweighs its diffusion effect. In other words, regions with advanced digital technology experience greater improvements in HSFC efficiency. Meanwhile, surrounding areas, lacking digital infrastructure, technical expertise, and skilled labor, often experience resource migration—capital and labor tend to flow toward digitally developed regions. As a result, these less-developed areas become sources of production factor outflows. In essence, while regions with higher levels of digital technology benefit from efficiency gains, their dominance may negatively impact the efficiency of HSFC in neighboring areas, thereby hindering the coordinated development of high-standard farmland across regions. Based on this observation, hypothesis H3 was proposed.
H3: Digital technology has a negative spatial spillover effect on HSFC efficiency.
To summarize, the analytical framework of how digital technology affects the efficiency of HSFC is shown in Figure 1.
Figure 1

Framework of the analysis of the impact of digital technology on the efficiency of HSFC.
3 Research design
3.1 Model construction
3.1.1 Model setting for the impact of digital technology on the efficiency of HSFC
In order to empirically examine the effects of digital technology on the efficiency of HSFC, this study established the following equation:
Here, and represent the HSFC efficiency and digital technology level in period t in province i, respectively; Xit are control variables; ui and vt represent the province fixed effects and year fixed effects respectively; represents the random disturbance term.
3.1.2 Panel threshold effect model
Referring to Hansen (1999), this study uses the digital technology level as the threshold variable and the panel threshold effect model for empirical analysis. The model setting is as follows:
In Equation 2: DIGit is a threshold variable; I(•) is an indicative function, which takes the value 1 when the expression enclosed in brackets is true; and represent the threshold values to be estimated; i and t represent the region and time respectively; represents the coefficient to be estimated; Xit represents the control variable; and is a random disturbance term.
3.1.3 Spatial spillover effect measurement model setting
To explore the spatial spillover effect of digital technology on the efficiency of HSFC, this study constructs a spatial Durbin model (SDM):
Equation 3, W is the spatial weight matrix, α representing the spatial autoregression coefficient; , and are the spatial lag terms of the explained variable, the explanatory variable and control variable, respectively.
In addition, since the spatial Durbin model contains spatial lag terms of the dependent variable and independent variable, the estimated coefficients of each explanatory variable in the model cannot directly reflect the impact of the variable on the dependent variable. In order to further analyze the impact of digital technology on the efficiency of HSFC, drawing on the research (LeSage and Pace, 2009), the spatial effects are decomposed through partial differential equations. The partial differential matrix equation for Equation 4 is as follows:
In the above formula, the local effect corresponds to the mean of the diagonal elements of the rightmost matrix, reflecting the degree of influence of the independent variable of the region on the explained variable of the region. The indirect effect corresponds to the mean of the sum of the non-diagonal elements of each (row) column of the rightmost matrix, which is expressed as the degree of influence of a unit change of the independent variable in the surrounding area on the explained variable of the region, also known as the spatial spillover effect (Elhorst and Fréret, 2009). Total effect = direct effect + indirect effect.
Since HSFC efficiency may be affected by the demonstration and imitation effects between regions and shows strong spatial correlation, the geographic adjacency distance weight matrix emphasizes the relationship between the intensity of spatial effect and spatial proximity, that is, the closer the distance between units, the stronger the spatial effect. Given this, this study constructed a spatial weight matrix based on geographic adjacency, which is specifically expressed as:
Equation 5, Wij is the element in the spatial weight matrix W, which represents the neighboring relationship between provinces i and provinces j.
3.2 Variable measurement and description
3.2.1 Explained variables
Based on the related research (Shu et al., 2024; Deng et al., 2016; Kuang et al., 2020; Chen, 2024), this paper employs the super-efficiency slack-based measure data envelopment analysis (SBM-DEA) model, which includes undesired outputs, to evaluate HSFC efficiency. The SBM-DEA model is an efficiency evaluation method based on data envelopment analysis, which is particularly suitable for dealing with slack variable problems in decision-making units, thereby improving the accuracy of efficiency evaluation. The reason for adopting this model is that the input and output of the traditional DEA model are enlarged or reduced in the same proportion, which makes it easy to overestimate the efficiency value of DMU and thus affect the accuracy of the measurement results. The super-efficiency SBM-DEA model can not only take into account both input and output but also consider the non-expected output of each decision-making unit and obtain a more realistic efficiency evaluation result. The specific formula is as follows:
In the Equations 6 and 7, ρ represents the efficiency evaluation value, where a higher value indicates greater HSFC efficiency. x represents the elements of the input vector, and are the elements in the expected output and non-expected output matrices respectively; i, r, and k are the number of input, expected output and non-expected output indicators respectively; λ is the weight of the input or output element; n is the number of decision-making units (DMUs), that is, the number of provinces. Each DMU consists of input m and expected output s1 and unexpected output s2.
Based on HSFC practices, this paper draws on existing studies (Liu and Zhang, 2024; Pu et al., 2019; Ma et al., 2020), combines policy documents such as the “Evaluation Specification for High-standard Farmland Construction” and “General Rules for High-standard Farmland Construction GBT30600-2022. The selected input and output variables used to construct HSFC efficiency are shown in Table 1.
Table 1
| First level indicator | Secondary indicators | Variables and descriptions | |
|---|---|---|---|
| Input variables | Capital investment | Investment in comprehensive agricultural development (100 million CNY) | |
| Labor Input | Number of people employed in planting industry (10,000 people) | ||
| Output variables | Expected Output | Food production | Grain output (10,000 tons) |
| Effective irrigation area | Irrigated land used for agricultural production and effectively irrigated farmland area (10,000 hectares) | ||
| High-standard farmland area | Area of high-standard farmland built (10,000 hectares) | ||
| Soil and water loss control area | Area of soil and water loss control (1,000 hectares) | ||
| Unexpected Output | Carbon emissions from tillage | Agricultural carbon emissions from tillage (10,000 t) | |
| Carbon emissions from irrigation | Agricultural carbon emissions from irrigation (10,000 t) | ||
Evaluation index system for HSFC efficiency.
This study selects two types of input indicators to effectively represent HSFC inputs: ① Capital investment—Measured using agricultural comprehensive development input, this represents the total investment in HSFC. ② Labor input—Following the methodology of Wang and Zhang (2018), this study uses the number of people employed in the planting industry as a proxy.
For output variables, this study selects grain output, effective irrigation area, high-standard farmland area, and soil and water loss control area as expected output variables. Simultaneously, considering that HSFC primarily involves land consolidation and farmland irrigation, tillage carbon emissions and irrigation carbon emissions are included as undesired outputs.
3.2.2 Core explanatory variables
From an agricultural perspective, digital technology encompasses the application of digital, intelligent, and information technologies in agricultural production and management. Its core objective is to achieve efficient resource utilization and precise decision-making through data-driven processes, thereby reducing production costs, enhancing productivity, and increasing farmers’ income. Given that digital technology constitutes a comprehensive system, a multi-dimensional evaluation framework is more appropriate for assessing its impact comprehensively. This study draws on existing research (Zhao et al., 2020; Wang et al., 2023) and policy requirements of “Digital China” and “Digital Village,” and builds an index system to evaluate the digital technology at three levels: digital technology foundation, digital technology application, and digital technology users (see Table 2 for details). Drawing on existing literature (Pan et al., 2022), this study uses principal component analysis to calculate the comprehensive index of digital technology level in 30 provinces and cities based on data standardization. This method’s advantage is that it can reduce the multicollinearity problem between indicators and convert the original multidimensional indicators into a few unrelated new variables while retaining most of the original information. Therefore, this method can more objectively and truly reflect the level of digital technology.
Table 2
| First level indicator | Secondary indicators |
|---|---|
| Digital technology basics | Length of long-distance optical cable lines (km) |
| Mobile phone switch capacity (10,000 households) | |
| Number of Internet broadband access ports (10,000) | |
| Number of people employed in information transmission, software and information technology services (10,000 people) | |
| Digital technology application | Telecommunications business volume (100 million yuan) |
| Software business income (10,000 yuan) | |
| Total transaction amount of technical contracts (10,000 yuan) | |
| Digital technology users | Number of Internet users (10,000 people) |
Digital technology level evaluation index system.
3.2.3 Control variables
Following previous studies (Li et al., 2023; Yang et al., 2022), this study selected the following control variables: Economic Development Level (Econ), fiscal autonomy (Fis), Farmers’ education level (Edu), rural population size (Popu), Per capita income level of farmers (Inc), agricultural mechanization level (Mech), and transportation convenience (Tran).
3.3 Data sources
This paper selects panel data from 30 provinces (cities and regions) across China from 2005 to 2017 to examine the impact of digital technology on the efficiency of HSFC. Since the management of farmland construction projects has been integrated into the unified management of the Ministry of Agriculture and Rural Affairs in 2018, the Finance Yearbook of China no longer counts the area of high-standard farmland. Therefore, this is the most complete data sample currently available. In addition, due to the serious missing values in Tibet, it is not considered in the analysis. Data were obtained from the China Statistical Yearbook, China Rural Statistical Yearbook, Finance Yearbook of China, China Population and Employment Statistical Yearbook, China Science and Technology Statistical Yearbook, and from information published on the National Bureau of Statistics website. Missing data were addressed via inferences based on time series trends and linear interpolation. Table 3 outlines specific definitions and descriptive statistics for the variables.
Table 3
| Variable name | Code | Definition and assignment | Mean | SD | Min | Max | Sample size |
|---|---|---|---|---|---|---|---|
| HSFC efficiency | HSFCE | Calculated by the super-efficiency SBM-DEA model | 0.1195 | 0.2854 | 0.0001 | 1.6941 | 390 |
| Digital technology | DIG | Calculated by principal component analysis | 0.0000 | 2.0618 | −2.2746 | 11.1502 | 390 |
| Economic development level | Econ | Logarithm of GDP per capita | 10.3869 | 0.6322 | 8.5601 | 11.7675 | 390 |
| Fiscal autonomy | Fis | Ratio of fiscal budget revenue to fiscal budget expenditure (%) | 51.6521 | 19.5334 | 14.8265 | 95.0864 | 390 |
| Farmers’ education level | Edu | Years of education received by farmersa (years) | 7.4742 | 0.6709 | 5.1487 | 9.6603 | 390 |
| Per capita income level of farmers | Inc | Logarithm of per capita disposable income of farmers | 8.8869 | 0.5345 | 7.6487 | 10.2337 | 390 |
| Rural population size | Popu | The proportion of rural population to cultivated land area (person/hectare) | 7.2439 | 6.5077 | 0.3557 | 65.2050 | 390 |
| Agricultural mechanization level | Mech | Ratio of total power of agricultural machinery to cultivated land area (kW/hectare) | 3.6171 | 1.8379 | 0.6057 | 9.1989 | 390 |
| Transportation convenience | Tran | Per capita road area (square meters) | 13.4764 | 4.4234 | 4.0400 | 25.8200 | 390 |
Descriptive statistics of variables.
The level of economic development and per capita income of farmers are deflated using the provincial-level Consumer Price Index (CPI) released by the National Bureau of Statistics, with 2005 as the base year for deflation.
Average years of schooling for rural population: H = 6Y1 + 9Y2 + 12Y3 + 15Y4. Y1, Y2, Y3, and Y4 is the proportion of rural population aged 6 and above with primary and secondary school education, the proportion of rural junior high school education, the proportion of senior high school education, and the proportion of junior college education or above, respectively.
4 Empirical results and analysis
4.1 Analysis of the changing characteristics of digital technology level and HSFC efficiency
This study utilized the super-efficiency SBM-DEA model to evaluate HSFC efficiency. Principal component analysis was used to quantify the level of digital technology, and a regional difference analysis was conducted across four major regions: East, Central, West, and Northeast. To facilitate comparative analysis, the comprehensive index of digital technology levels was normalized on a scale of 0–1. Detailed results are presented in Table 4.
Table 4
| Time | Eastern region | Central region | Western region | Northeast region | National overall | |||||
|---|---|---|---|---|---|---|---|---|---|---|
| HSFCE | DIG | HSFCE | DIG | HSFCE | DIG | HSFCE | DIG | HSFCE | DIG | |
| 2005 | 0.406 | 0.079 | 0.031 | 0.055 | 0.148 | 0.033 | 0.058 | 0.062 | 0.202 | 0.056 |
| 2006 | 0.121 | 0.093 | 0.303 | 0.065 | 0.044 | 0.040 | 0.061 | 0.070 | 0.123 | 0.066 |
| 2007 | 0.188 | 0.128 | 0.022 | 0.078 | 0.039 | 0.051 | 0.045 | 0.077 | 0.086 | 0.085 |
| 2008 | 0.128 | 0.163 | 0.017 | 0.093 | 0.035 | 0.063 | 0.057 | 0.087 | 0.065 | 0.105 |
| 2009 | 0.115 | 0.189 | 0.015 | 0.118 | 0.028 | 0.076 | 0.039 | 0.102 | 0.055 | 0.124 |
| 2010 | 0.183 | 0.205 | 0.007 | 0.136 | 0.041 | 0.084 | 0.028 | 0.120 | 0.080 | 0.138 |
| 2011 | 0.127 | 0.244 | 0.017 | 0.143 | 0.025 | 0.099 | 0.081 | 0.143 | 0.063 | 0.161 |
| 2012 | 0.314 | 0.279 | 0.374 | 0.161 | 0.117 | 0.114 | 0.356 | 0.156 | 0.258 | 0.183 |
| 2013 | 0.123 | 0.322 | 0.009 | 0.187 | 0.112 | 0.132 | 0.434 | 0.179 | 0.127 | 0.211 |
| 2014 | 0.067 | 0.346 | 0.007 | 0.202 | 0.111 | 0.140 | 0.364 | 0.197 | 0.101 | 0.227 |
| 2015 | 0.097 | 0.393 | 0.011 | 0.235 | 0.029 | 0.158 | 0.713 | 0.229 | 0.116 | 0.259 |
| 2016 | 0.134 | 0.426 | 0.022 | 0.258 | 0.124 | 0.172 | 0.735 | 0.227 | 0.168 | 0.279 |
| 2017 | 0.180 | 0.475 | 0.019 | 0.283 | 0.026 | 0.192 | 0.363 | 0.243 | 0.110 | 0.310 |
| 均值 | 0.168 | 0.257 | 0.066 | 0.155 | 0.068 | 0.104 | 0.256 | 0.146 | 0.120 | 0.170 |
Differences in efficiency of digital technology and HSFC in different regions.
HSFCE stands for HSFC efficiency, and DIG stands for digital technology level.
From 2005 to 2017, the average efficiency of HSFC was 0.120, the minimum was 0.055, and the maximum was 0.258, showing a fluctuating downward trend. The reason may be that although the country proposed an HSFC policy in 2005 and promulgated the “National High-Standard Farmland Construction Master Plan (2011–2020)” in 2013, aiming to complete the construction of 400 million mu of high-standard farmland by 2015 and striving to build 800 million mu by 2020, thereby establishing short-term tasks and long-term goals for HSFC, the relevant departments have not clarified annual construction targets and tasks for each province. This has resulted in low enthusiasm for HSFC among provinces. Additionally, before 2017, HSFC involved multiple government departments, such as those responsible for land, finance, development and reform, water conservancy, and agriculture. In practice, this led to functional conflicts and overlapping jurisdictions, causing multiple HSFC plans to emerge in many provinces without coordinated efforts, which hindered efficiency improvements. From a regional perspective, compared with 2005, HSFC efficiency has declined in both the eastern and western regions, while that of the northeast has increased significantly by 341.38%. Specifically, the average efficiency values are 0.168, 0.066, 0.068, and 0.256 in the eastern, central, western, and northeastern regions, respectively, indicating substantial regional disparities. The reason may be that the northeast region is the main black soil protection area in China, accounting for about 44.78% of the cultivated land area in the region, and pays more attention to the construction, management, and use of high-standard farmland, so the efficiency of HSFC is higher. The eastern region is mainly plains, with stronger agricultural resource endowments, better farmland irrigation conditions, and relatively less difficulty in HSFC. In addition, the flat terrain is more conducive to the use of agricultural machinery and equipment, so the efficiency of HSFC is higher. However, due to the constraints of the natural environment and economic development, the level of agricultural development in the central and western regions is relatively low. It is difficult to implement HSFC in these regions, and the efficiency of HSFC is therefore low.
Each region’s level of digital technology exhibited a varying upward trend, with the eastern region outperforming the others, averaging 0.257. In contrast, the western region lagged in digital technology, with an average of only 0.104. One possible reason for this disparity is that the western region is constrained by several factors, including a relatively low level of economic development, an underdeveloped digital infrastructure, limited investment in science and technology, and a shortage of digital technology talent. Additionally, the western region was a late starter in the development of digital technology, resulting in an overall lower level of digital advancement compared to the eastern region.
4.2 Results of the benchmark regression analysis
Before performing regression on Equation 1, the Hausman test was conducted. The Hausman test results show that the p value is 0.0135, rejecting the null hypothesis of random effects and supporting the fixed effects model. Therefore, this study controlled for both time and individual effects, with results shown in Table 5. It can be observed that digital technology improved HSFC efficiency at the 5% significance level, regardless of whether control variables were included. This suggests that digital technology has had a significant positive impact, confirming Hypothesis H1.
Table 5
| Variable | HSFCE | |
|---|---|---|
| (1) | (2) | |
| DIG | 0.024** | 0.023** |
| (0.010) | (0.011) | |
| Inc | 0.056* | |
| (0.030) | ||
| Edu | 0.049** | |
| (0.024) | ||
| Econ | −0.000 | |
| (0.000) | ||
| Popu | 0.197*** | |
| (0.057) | ||
| Fis | −0.055 | |
| (0.150) | ||
| Mech | −0.001 | |
| (0.002) | ||
| Tran | −0.001 | |
| (0.002) | ||
| Provincial and year effects | Yes | Yes |
| Observations | 390 | 390 |
| R2 | 0.771 | 0.785 |
Benchmark regression results on the impact of digital technology on the efficiency of HSFC.
*p < 0.1; **p < 0.05; ***p < 0.01; standard errors are in parentheses.
4.3 Endogeneity test
In the baseline model, potential endogeneity issues may arise due to reverse causality, omitted variables, and other factors. Firstly, higher efficiency in HSFC may lead to increased demand for digital infrastructure and related technologies, thereby promoting improvements in local digital technology levels. Secondly, the level of digital technology could be influenced by unobservable omitted variables, such as farmers’ awareness and acceptance of digital technology and the quality of local governance, which in turn may affect the efficiency of HSFC. Therefore, this study acknowledges the presence of endogeneity in examining the impact of digital technology on the efficiency of HSFC.
To address this, the instrumental variables (IV) method was employed for endogeneity testing. An ideal instrument must satisfy both exogeneity and relevance conditions. Following the current research (Huang et al., 2019; Liu and Liu, 2023; Nunn and Qian, 2014; Chen and Zhang, 2021), this study selects the interaction terms of the number of fixed-line telephones at the end of 1984 in each province and the distance from each province to Hangzhou with the national information technology service income in the previous year as instrumental variables for digital technology level and uses 2SLS to test. For the instrumental variable of the number of fixed-line telephones at the end of 1984, on the one hand, the number of fixed-line telephones per 100 people in 1984 can reflect the level of development of communication infrastructure in various places, so there is a strong correlation between the past fixed-line telephone penetration rate and the current digital technology development. On the other hand, 1984 is a long time away from current economic production activities, and with the rapid development of mobile communication technology, fixed-line phones have gradually been replaced by mobile phones. Therefore, the number of fixed-line phones in that year will not have a direct impact on the efficiency of HSFC, which meets the requirement of exogeneity of symbolic instrumental variables. For the instrumental variable of the distance from each province to Hangzhou, on the one hand, the closer the distance between the provincial capitals and Hangzhou, the higher the digital technology level, which meets the condition of instrumental variable correlation; on the other hand, because the geographical distance has very typical natural geographical characteristics, its location will not be affected by the outside world, and there is no direct correlation with the efficiency of HSFC, which meets the condition of strict exogenous instrumental variables.
The results in Table 6 show that the first-stage F values of the two instrumental variables are 43.08 and 33.77, respectively, and the Kleibergen-Paaprk Wald F value and Cragg-Donald-Wald F value are both greater than the 10% critical value of Stock-Yogo; that is, there is no weak instrumental variable problem. At the same time, the K-Paaprk LM statistics of the identifiable test are significant at the 1% level, satisfying the identifiability of the instrumental variables, indicating that the selection of instrumental variables is reasonable. After adding the instrumental variables, the second-stage regression results show that the impact coefficients of digital technology on HSFC efficiency are 0.698 and 0.648, respectively, and both pass the significance level test. The above results show that after eliminating the endogeneity problem, the conclusion that digital technology can improve the HSFC efficiency still holds.
Table 6
| Variable | Phase 1: DIG | Phase II: HSFC efficiency | Phase 1: DIG | Phase II: HSFC efficiency |
|---|---|---|---|---|
| (1) | (2) | (3) | (4) | |
| Number of fixed telephones in 1984* National information technology service revenue | 0.006*** | |||
| (0.001) | ||||
| 0.230*** | ||||
| (0.057) | ||||
| DIG | 0.698*** | 0.648** | ||
| (0.154) | (0.322) | |||
| Constant | −0.280 | 0.289*** | 0.946*** | −1.424** |
| (0.112) | (0.100) | (0.330) | (0.616) | |
| Control variable | Yes | Yes | Yes | Yes |
| Provincial and year effects | Yes | Yes | Yes | Yes |
| First-stage F-statistic | 43.08 | 33.77 | ||
| Cragg-Donald Wald value | 85.70 | 76.547 | ||
| Kleibergen-Paap rk Wald F statistic | 152.971 | 33.774 | ||
| Kleibergen-Paap LM value | 75.408*** | 17.246*** | ||
| R2 | 0.846 | 0.633 |
Endogeneity test results.
*p < 0.1; **p < 0.05; ***p < 0.01; standard errors are in parentheses.
4.4 Robustness test
4.4.1 Changing the explanatory variable measurement method
The level of digital technology was recalculated using the entropy-weight method. The results in column (1) of Table 7 indicate that both the significance and direction of digital technology align with the findings of the baseline regression, suggesting that the regression results are relatively robust.
Table 7
| Variable | Changing the measurement method of explanatory variables | Replace explanatory variables | Explanatory variables lagged one period |
|---|---|---|---|
| (1) | (2) | (3) | |
| DIG (entropy method) | 0.417* | ||
| (0.240) | |||
| Internet development level | 0.001** | ||
| (0.000) | |||
| L. DIG | 0.022** | ||
| (0.011) | |||
| Control | Yes | Yes | Yes |
| Provincial and year effects | Yes | Yes | Yes |
| Observations | 390 | 390 | 360 |
| R2 | 0.787 | 0.755 | 0.791 |
Robustness test results: changing the measurement method, replacing the explanatory variables, and lagged the explanatory variables by one period.
*p < 0.1; **p < 0.05; ***p < 0.01; standard errors are in parentheses.
4.4.2 Replacing the explanatory variables
Because digital technology relies on the Internet as a key medium (Ren et al., 2021), this study selected the level of Internet development as an alternative explanatory variable for digital technology. It was measured using the product of the length of long-distance optical cable lines and the Internet penetration rate. Column 7 (2) presents the results, which indicate that the level of Internet development significantly enhances HSFC efficiency at the 5% level. This finding suggests that the regression results remain robust even after substituting the explanatory variables.
4.4.3 Lagging the explanatory variables by one period
Digital technologies not only influence HSFC efficiency in the current period but also impact efficiency in subsequent periods. Consequently, this study incorporated a one-period lag in the digital technology level, with the estimation results presented in column 3 of Table 7. The findings indicate that digital technology with a one-period lag continues to significantly enhance HSFC efficiency.
4.4.4 Increasing sample size
Given that the previous analysis used panel data from 2005 to 2017, and considering the rapid development of digital technology alongside the government’s increasing focus on HSFC, it remains unclear whether the impact of digital technology on HSFC efficiency has changed over time. Therefore, this study draws on related research (Chen and Peng, 2024), which employed linear interpolation and proportional estimation methods to supplement data on HSFC areas and agricultural comprehensive development input from 2018 to 2021. A subsequent regression analysis was conducted to verify whether the conclusions from the benchmark regression remain valid. The linear interpolation method was the first approach, while the ratio method was the second. Specifically, for HSFC area estimation, the average proportion of such areas in each province, as reported in the China Agricultural Reclamation Statistical Yearbook, was used to estimate the corresponding construction area for each province. By analyzing the proportion of high-standard farmland in agricultural reclamation across provinces, it was found that annual fluctuations were minimal. The estimated national HSFC area in 2021 was approximately 92 million mu, closely aligned with the 106 million mu figure released by the Ministry of Agriculture and Rural Affairs, demonstrating its practical applicability.
Regarding agricultural comprehensive development investment, the agricultural comprehensive development investment for each province from 2018 to 2021 was estimated using the average proportion of such investment relative to fiscal support for agriculture from 2005 to 2017. By calculating the proportion of agricultural comprehensive development investment in each province, it was found that annual changes in the proportion were relatively stable, indicating that the ratio method was reliable.
Based on the supplementary data, the digital technology level and HSFC efficiency were recalculated, and the effect of digital technology on HSFC efficiency was estimated. The findings are presented in column (1) and (2) of Table 8. It can be seen that regardless of whether the interpolation or proportional method was used, the coefficient for digital technology remained positive and statistically significant at the 1% level. This demonstrates that the effect of digital technology on HSFC efficiency persists even after incorporating data from 2018 to 2021, supporting Hypothesis H1.
Table 8
| Variable | Increasing sample size | Excluding municipalities | Adjusting the time window | |
|---|---|---|---|---|
| Interpolation method | Proportional method | |||
| (1) | (2) | (3) | (4) | |
| DIG | 0.220*** | 0.042*** | 0.029*** | 0.007* |
| (0.057) | (0.015) | (0.010) | (0.004) | |
| Control | Yes | Yes | Yes | Yes |
| Provincial and year effects | Yes | Yes | Yes | Yes |
| Observations | 510 | 510 | 338 | 210 |
| R2 | 0.190 | 0.141 | 0.769 | 0.620 |
Robustness test results: increase sample size, excluding municipalities, and lagged the explanatory variables by one period.
*p < 0.1; **p < 0.05; ***p < 0.01; standard errors are in parentheses.
4.4.5 Excluding municipalities
From the perspective of digital technology, the development level of the four municipalities is at the forefront of the country, so the data of the municipalities are removed and re-regressed, and the results are shown in column (3) of Table 8. It can be seen that digital technology still has a positive impact on the efficiency of HSFC, and the results are relatively stable.
4.4.6 Adjusting the time window
Since China’s rapid development and application of digital technology mainly occurred after 2011, this paper narrows the research window and adjusts the sample period to 2011–2017. The estimated results are shown in column (4) of Table 8. It can be seen that digital technology still has a significant positive impact on the efficiency of HSFC, which further verifies the robustness of the baseline conclusion.
4.5 Threshold effect test
This study used a panel threshold model to examine the incremental effects of digital technology on HSFC efficiency. Referring to the approach of Guo et al. (2023), the threshold test results and threshold estimation results were obtained using the “repeated self-sampling method” 300 times, as shown in Tables 9, 10. As demonstrated by the test results, when digital technology is a threshold variable, there is a single threshold value, which is 3.6499, respectively. This demonstrates that digital technology has a dual threshold effect on HSFC efficiency, supporting hypothesis H2.
Table 9
| Threshold variables | Threshold | F value | p-value | 10% Critical value | 5% Critical value | 1% Critical value |
|---|---|---|---|---|---|---|
| DIG | Single Threshold | 100.95 | 0 | 26.9489 | 40.4026 | 68.1708 |
| Double Threshold | 14.17 | 0.2267 | 22.6559 | 29.1316 | 52.8876 |
Threshold test results.
Table 10
| Variable | HSFC efficiency | |
|---|---|---|
| Coefficient | SD | |
| DIG (DIG < 3.6499) | −0.282 | 0.189 |
| DIG (DIG > 3.6499) | 48.933*** | 5.081 |
| Control | Yes | |
| Provincial and year effects | Yes | |
| Observations | 390 | |
| R2 | 0.682 | |
Panel threshold effect model regression results.
***p < 0.01.
Figure 2 is a likelihood ratio function diagram of a single threshold value of digital technology. The critical value 7.35 of the LR statistic is greater than the threshold value, indicating that the threshold value of digital technology is real and valid.
Figure 2

LR diagram of single threshold value of digital technology.
When the level of digital technology is below the threshold value of 3.6499, its effect on the efficiency of HSFC is statistically insignificant. However, once the digital technology level exceeds this threshold, it exerts a significant positive impact on HSFC efficiency at the 1% significance level, with an estimated coefficient of 48.933. This finding suggests that digital technology can substantially enhance the efficiency of HSFC, but only when it surpasses a certain development threshold.
The explanation may be as follows: When the level of digital technology is low, rural digital infrastructure is relatively backward, farmers’ digital literacy is not high, and digital technology is rarely used in the process of HSFC, which leads to less effect of digital technology on improving the efficiency of HSFC. Simultaneously, digital technology has not yet been deeply integrated into all aspects of HSFC. At this time, the cost of introducing digital technology in HSFC has hindered the improvement of HSFC efficiency. When digital technology develops to a certain extent, the application scenarios of digital technology in the field of HSFC are gradually increasing. Intelligent agricultural machinery and equipment, such as plant protection drones and intelligent irrigation facilities, can effectively improve the efficiency of HSFC. In addition, the use of big data technology to provide intelligent decision-making support can help the main body of HSFC make correct decisions quickly, thereby improving the efficiency of HSFC.
4.6 Heterogeneity analysis
4.6.1 Analysis of terrain heterogeneity
Cultivated land in mountainous or hilly regions is more likely to be fragmented and isolated than land in flat areas (Yu et al., 2022). This fragmentation makes mechanized operations more challenging, adversely affecting the construction of high-standard farmland. Referring to the terrain relief dataset calculated by previous studies (You et al., 2018), this study divided the samples into two categories: small relief (≤1) and large relief (>1). This classification aimed to determine whether digital technology influences HSFC efficiency differently across these areas.
The results presented in columns (1) and (2) of Table 11 indicate that digital technology significantly enhances HSFC efficiency in regions with small terrain relief. In contrast, although digital technology still has a positive effect in regions with large terrain relief, the impact was not statistically significant, and the coefficient was relatively small. This finding aligns with expectations. The diminished effect in regions with greater terrain variation may be attributed to the challenges associated with mechanized operations, which are more easily implemented in areas with less topographical variation. In such areas, the adoption of intelligent agricultural machinery, such as smart tractors and deep-plowing machines, is facilitated, thereby improving HSFC efficiency.
Table 11
| Variable | High terrain undulation | Low terrain undulation | East | Central | West | LT |
|---|---|---|---|---|---|---|
| (1) | (2) | (3) | (4) | (5) | (6) | |
| DIG | 0.023 | 0.028* | 0.064*** | −0.005 | 0.022 | |
| (0.015) | (0.016) | (0.021) | (0.029) | (0.018) | ||
| DIG*LT | 0.083* | |||||
| (0.049) | ||||||
| Control | Yes | Yes | Yes | Yes | Yes | Yes |
| Provincial and year effects | Yes | Yes | Yes | Yes | Yes | Yes |
| Observations | 143 | 247 | 143 | 130 | 117 | 390 |
| R2 | 0.910 | 0.713 | 0.680 | 0.847 | 0.885 | 0.718 |
Results of heterogeneity analysis of topography, economic development level and land transfer degree.
*p < 0.1; **p < 0.05; ***p < 0.01; standard errors are in parentheses.
4.6.2 Heterogeneity analysis of economic development levels
Significant regional disparities exist in natural resource endowments, the level of digital economic development, and their respective contributions to food security. These disparities may lead to spatial variations in the impact of digital technology on HSFC efficiency. To examine whether the effect of digital technology on HSFC efficiency differs across regions with varying levels of economic development, the sample was categorized into the eastern, central, and western regions. The findings presented in Table 11 indicate that digital technology significantly enhances HSFC efficiency in the eastern region. By contrast, in the central and western regions, the effect of digital technology on efficiency was not statistically significant. The potential reasons for these regional differences are as follows. The eastern region benefits from a higher level of economic development, where the rapid advancement and application of digital technology yield greater marginal returns, thereby facilitating a more effective HSFC. In contrast, the central and western regions, which have relatively lower levels of digital technology, experience a diminished impact, although digital technology still contributes to HSFC. Specifically, the western region faces challenges related to its natural environment and slow economic development, which hinder agricultural progress. Consequently, the implementation of HSFC in these areas is less effective, reducing the positive impact of digital technology on construction efficiency.
4.6.3 Analysis of heterogeneity in the degree of land transfer
The scale effect of cultivated land is more pronounced in regions with higher levels of land transfer, which benefits HSFC. To investigate how digital technology influences HSFC under different land transfer levels, this study incorporated an interaction term between land transfer and digital technology. Column (6) in Table 11 shows that the coefficient of the interaction term is 0.083 at the 10% significance level, suggesting that digital technology is more effective in enhancing HSFC efficiency in areas with elevated land transfer levels.
5 Spatial spillover effect test
5.1 Analysis of spatial correlation results
Prior to conducting spatial econometric analysis, Moran’s I index was used to test spatial correlation. This paper conducts a test based on the spatial weight matrix of geographical adjacency, and the results are shown in Table 12. From 2005 to 2017, except for 2006 and 2012, the Moran’s I values of HSFC efficiency were significantly positive, indicating that HSFC efficiency exhibits spatial autocorrelation. Therefore, selecting a spatial econometric model for empirical analysis is reasonable.
Table 12
| Time | Moran’s I | Z statistic | p-value |
|---|---|---|---|
| 2005 | 0.135 | 1.391 | 0.082 |
| 2006 | −0.095 | −0.930 | 0.176 |
| 2007 | 0.243 | 2.303 | 0.011 |
| 2008 | 0.351 | 3.143 | 0.001 |
| 2009 | 0.175 | 1.712 | 0.043 |
| 2010 | 0.151 | 1.546 | 0.061 |
| 2011 | 0.165 | 1.645 | 0.050 |
| 2012 | −0.047 | −0.142 | 0.444 |
| 2013 | 0.135 | 1.478 | 0.070 |
| 2014 | 0.210 | 2.068 | 0.019 |
| 2015 | 0.361 | 3.591 | 0.000 |
| 2016 | 0.319 | 3.025 | 0.001 |
| 2017 | 0.271 | 2.661 | 0.004 |
Global Moran index of HSFC efficiency from 2005 to 2017.
5.2 Exploratory spatial data analysis
ArcGIS software was used to draw the distribution map of HSFC efficiency in 30 provinces (municipalities and autonomous regions) in China in 2005 and 2017. The quartile classification method was used to divide the HSFC efficiency into four areas according to their numerical value: higher efficiency area, high-efficiency area, medium-efficiency area, and low-efficiency area. The results are shown in Figure 3. It can be seen that in 2005, only seven provinces, including Xinjiang, Heilongjiang, Inner Mongolia, Beijing, Tianjin, Shanghai, and Hainan, had higher efficiency of HSFC, and most of the remaining provinces were at medium and low-efficiency levels. From a regional perspective, the efficiency of HSFC in the eastern coastal areas was relatively low, and most provinces in the central and western regions were at medium and low-efficiency levels. In 2017, the efficiency of HSFC in the western and eastern areas increased, such as in Gansu, Ningxia, Shanxi, and Jilin provinces, which were upgraded to higher efficiency levels, and Sichuan and Yunnan from medium-efficiency levels to high-efficiency levels. The efficiency of HSFC in a few provinces decreased, such as in Heilongjiang and Xinjiang provinces, which dropped from higher efficiency levels to medium-efficiency levels.
Figure 3

Spatial distribution of HSFC efficiency in 2005 and 2017.
Overall, HSFC efficiency in 2005 and 2017 exhibited a northward increase in efficiency levels across regions. Specifically, the Northeast region comprised high-efficiency clusters, the Southwestern region contained medium-high-efficiency clusters, and both the Central and Eastern coastal regions were categorized as medium-low-efficiency clusters.
Moreover, this paper uses the geographic adjacency matrix to conduct local autocorrelation analysis on the efficiency of HSFC, and the specific results are shown in Figure 4.
Figure 4

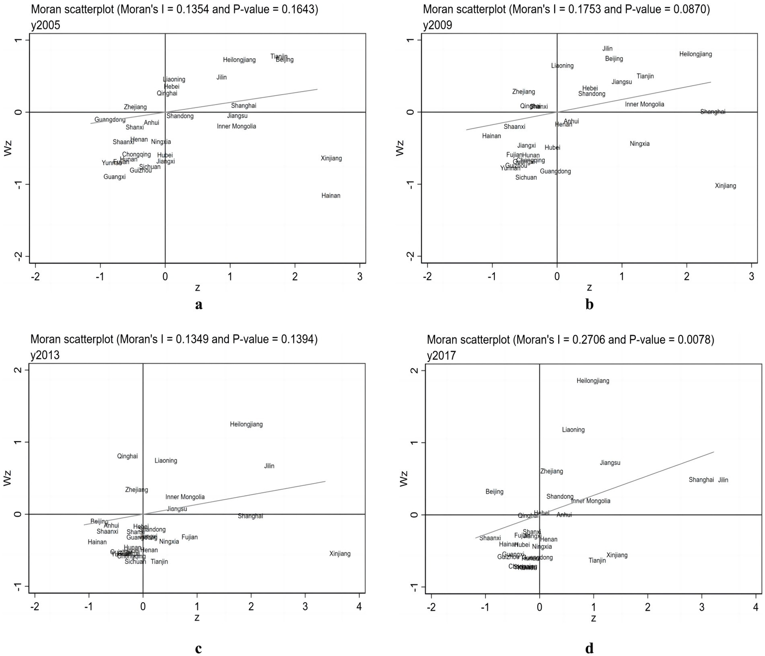
Local Moran scatter plot of HSFC efficiency in (a) 2005, (b) 2009, (c) 2013, and (d) 2017.
In the local Moran’s I scatter plot, the majority of Chinese provinces are situated in Quadrants I and III—corresponding to high–high and low–low clusters—indicating that HSFC efficiency is spatially concentrated among regions with similarly high or low performance. Only a few provinces fall into Quadrants II and IV. For example, in 2017, Quadrant I comprised Heilongjiang, Liaoning, Jiangsu, Zhejiang, Shandong, Shanghai, Jilin, and Inner Mongolia—predominantly northeastern and eastern coastal provinces with well-developed HSFC foundations and high efficiency. In contrast, Quadrant III included Shanxi, Shaanxi, Fujian, Guangdong, Guangxi, Yunnan, and Sichuan—mainly western regions where more complex conditions have led to lower construction efficiency. Tianjin and Xinjiang occupied Quadrant IV, while Beijing appeared in Quadrant II. Overall, from 2005 to 2017, the regions with higher efficiency in HSFC in China were mainly concentrated in the northeast and eastern coastal areas, while the regions with lower efficiency in HSFC were concentrated in the central and western regions, generally showing a decreasing development from east to west. Similarly, with the evolution and changes over time, the locations of some provinces and cities in the spatial scatter plot have also changed, such as Beijing, Zhejiang, Inner Mongolia, Qinghai, and other provinces.
5.3 Spatial model selection
To ensure the validity of the spatial econometric model selection, this study conducted the following tests.
First, the LM test was performed. The results indicate that both the LM-error and LM-lag tests are significant, as shown in Table 13, suggesting that the SDM is preferable to other models.
Table 13
| Test name | Numeric | p-value | Test name | Numeric | p-value |
|---|---|---|---|---|---|
| Moran’s I | 0.722 | 0.470 | LR (SEM) | 18.020 | 0.035 |
| LM-ERR | 5.408 | 0.020 | LR (SAR) | 17.970 | 0.036 |
| Robust LM-ERR | 0.791 | 0.374 | Wald (SEM) | 21.020 | 0.013 |
| LM-LAG | 4.695 | 0.030 | Wald (SAR) | 21.380 | 0.011 |
| Robust LM-LAG | 0.079 | 0.779 | Hausman test | 37.480 | 0.000 |
Test results of spatial econometric model.
Second, the findings of a robust LM diagnosis revealed that neither the Robust LM-Lag nor the Robust LM-Error statistics were significant. Consequently, additional LR and Wald tests were conducted, and the results demonstrated that both passed the 5% significance level test, further supporting the selection of the SDM for investigating the impact of digital technology on HSFC efficiency. Finally, the Hausman test was performed, and the results showed that the SDM with fixed effects was better. Simultaneously, since both time factors and regional individual differences may have an impact on the estimation results, the two-way fixed effects SDM was finally selected for analysis.
5.4 Spatial regression analysis
Based on the geographic adjacency matrix, this study constructed a spatial Durbin model to examine the impact of digital technology on the efficiency of HSFC. Since the estimated parameters of the spatial Durbin model cannot directly reflect the size of the spatial spillover effect, this paper, based on the research (LeSage and Pace, 2009), decomposes the spatial effect through partial differential equations. The results, presented in Table 14, reveal that the indirect effect is both negative and statistically significant at the 1% level, indicating that digital technology has a substantial detrimental impact on HSFC efficiency in neighboring areas. This finding provides further support for H3.
Table 14
| Variable | Direct effect | Indirect effects | Total effect | |||
|---|---|---|---|---|---|---|
| Coefficient | SD | Coefficient | SD | Coefficient | SD | |
| DIG | 0.145 | 0.146 | −0.731*** | 0.237 | −0.586** | 0.253 |
| Inc | 0.033 | 0.045 | 0.009 | 0.077 | 0.042 | 0.080 |
| Edu | 0.021 | 0.030 | 0.085 | 0.053 | 0.106* | 0.054 |
| Enco | 0.098* | 0.054 | 0.070 | 0.095 | 0.168* | 0.095 |
| Popu | 0.054 | 0.046 | −0.033 | 0.090 | 0.020 | 0.101 |
| Fis | −0.635*** | 0.193 | −0.494 | 0.434 | −1.129** | 0.470 |
| Mech | 0.000 | 0.004 | 0.016** | 0.007 | 0.017** | 0.008 |
| Tran | −0.001 | 0.002 | −0.004 | 0.004 | −0.005 | 0.004 |
Spatial spillover effects of digital technology on the efficiency of HSFC.
*p < 0.1; **p < 0.05; ***p < 0.01.
A potential explanation for this phenomenon is the uneven distribution of digital technology across rural regions, which exhibits spatial heterogeneity. In areas with lower digital technology levels, digital infrastructure development is relatively delayed, and the lack of advanced digital technologies and tools. Regions with high digital technology levels have better digital infrastructure, stronger policy support for digital technology development, and a good digital technology development environment. In addition, digital technology has the nature of a natural monopoly, which may lead to a high concentration of digital technology in developed provinces, which will lead to the outflow of resources and talent toward regions with higher digital technology levels (Liu et al., 2022; Karacay, 2018). In other words, regions with higher levels of digital technology create a spillover effect on adjacent areas’ HSFC, resulting in a “Matthew effect,” where the “weak become weaker, and the strong become stronger,” ultimately negatively affecting HSFC efficiency in neighboring areas. Simultaneously, digital technology is still not widely used in China’s rural areas, and it is not sufficiently integrated with other HSFC components. Hence, the contribution of the digital to HSFC efficiency is restricted, rendering the fostering of a favorable relationship between digital technology and HSFC efficiency in nearby locations challenging.
6 Research conclusions and policy implications
This study utilized provincial panel data and applied fixed-effects models, threshold-effect models, and other analytical techniques to examine the impact of digital technology on HSFC efficiency. The key findings are as follows:
First, digital technology significantly enhances HSFC efficiency, a result that remains robust across various checks, including changes in the measurement of explanatory variables, substitution of variables, inclusion of a one-period lag for explanatory variables, and consideration of endogeneity. Second, threshold effect analysis indicates that the relationship between digital technology and HSFC efficiency follows a dual threshold pattern, with the impact exhibiting a diminishing marginal effect as digital technology levels increase. Third, spatial effect analysis highlights that digital technology has a significant negative impact on HSFC efficiency in neighboring regions due to spatial spillover effects. Lastly, heterogeneity analysis reveals that digital technology is particularly effective in improving HSFC efficiency in areas characterized by low topographical relief, high land transfer levels, and those located in eastern regions.
Based on the above research conclusions, the following policy implications are put forward on how to improve the construction of high-standard farmland, help protect global farmland, and thereby ensure food security.
First, strengthen rural digital infrastructure construction. Accelerate the expansion of network coverage in urban and rural areas, ensuring comprehensive deployment of 5G networks and advancing the large-scale implementation of IPv6 to enhance the role of digital technology in improving HSFC efficiency. Additionally, prioritize the construction of next-generation digital infrastructure, including the industrial internet, artificial intelligence, and fiber-optic networks. Expanding internet coverage in rural areas will capitalize on the “digital dividend” effect and reduce the costs for HSFC stakeholders to access relevant information. This will enable real-time data acquisition, interconnection, and sharing of high-standard farmland information, providing one-stop services for government decision-making and improving HSFC efficiency. Continuously promote the application of intelligent irrigation systems, soil improvement facilities, smart agricultural machinery, and other technologies in high-standard farmland areas to achieve the digital integration of hardware and software and facilitate the digital upgrading of high-standard farmland. Strengthen the coordination of rural digital infrastructure construction in various regions. For regions with low digital technology levels, the coverage of rural Internet should be expanded to give play to the “digital dividend” effect, digital technology should be introduced, and advanced experience should be learned from regions with high digital technology levels. Conversely, in regions with advanced digital technology, cross-regional training programs and knowledge-sharing sessions on rural digital infrastructure development and the application of digital technologies should be promoted. This would facilitate the establishment of a collaborative mechanism for the coordinated development of rural digital infrastructure.
Second, expedite the development of a digital HSFC system. Establish a digital HSFC system encompassing planning, design, construction, and approval by leveraging digital technologies. Through visualization, intelligent supervision, and automated information collection, fully integrate digital technology into the “pre-construction,” “construction,” and “post-construction” phases of high-standard farmland projects to enhance standardization and transparency while improving HSFC efficiency and quality. Additionally, actively develop a digital management platform for high-standard farmland, promote advanced intelligent farmland monitoring systems, and conduct real-time tracking of management activities and personnel performance.
Third, implement HSFC policies tailored to local conditions. Given the significant regional disparities in the impact of digital technology on HSFC efficiency—shaped by factors such as terrain, topography, and economic development—it is crucial to adopt region-specific policies rather than a uniform approach. In the central and western regions and mountainous areas, where rural digital infrastructure is less developed, the challenges of improving HSFC efficiency are more pronounced. Therefore, continued policy support should leverage late-stage digital technology advancements to promote its application in HSFC, with a focus on developing digitalized high-standard farmland. Conversely, in the eastern and flat regions, the rapid advancement of digital technology should be fully utilized to accelerate the establishment of digital high-standard farmland demonstration bases, create pilot zones for leading high-standard farmland, and drive the expansion of such initiatives into surrounding areas.
This paper analyzes the impact of digital technology on the efficiency of HSFC, which is of great significance to improving HSFC. It is worth noting that although this paper focuses on China, with the continuous development of global digital technology and the increasing importance of farmland protection, digital technology provides a new direction for global farmland protection. Therefore, the research inspiration of this paper also has certain reference significance for other countries. Of course, this study still has shortcomings, mainly because it fails to fully analyze the impact of obstacles such as limited digital literacy, uneven access to digital tools, and funding constraints on the spatial spillover effect of digital technology. It is difficult to gain insight into the deep logic of the negative spillover effect of digital technology, which is also the focus of subsequent research.
Statements
Data availability statement
The raw data supporting the conclusions of this article will be made available by the authors, without undue reservation.
Author contributions
WZ: Funding acquisition, Investigation, Methodology, Project administration, Resources, Software, Supervision, Validation, Visualization, Writing – original draft, Writing – review & editing, Conceptualization, Data curation.
Funding
The author(s) declare that no financial support was received for the research and/or publication of this article.
Conflict of interest
The author declares that the research was conducted in the absence of any commercial or financial relationships that could be construed as a potential conflict of interest.
Generative AI statement
The author declares that no Gen AI was used in the creation of this manuscript.
Publisher’s note
All claims expressed in this article are solely those of the authors and do not necessarily represent those of their affiliated organizations, or those of the publisher, the editors and the reviewers. Any product that may be evaluated in this article, or claim that may be made by its manufacturer, is not guaranteed or endorsed by the publisher.
References
1
BatabyalA. A.NijkampP. (2016). Digital technologies, knowledge spillovers, innovation policies, and economic growth in a creative region. Econ. Innov. New Technol.25, 470–484. doi: 10.1080/10438599.2015.1073485
2
BradfieldT.ButlerR.DillonE.HennessyT.KilgarriffP. (2021). The effect of land fragmentation on the technical inefficiency of dairy farms. J. Agric. Econ.72, 486–499. doi: 10.1111/1477-9552.12413
3
ChenP. (2024). The spatial impacts of the circular economy on carbon intensity-new evidence from the super-efficient SBM-DEA model. Energy Environ.35, 47–63. doi: 10.1177/0958305X221125125
4
ChenL. L.PengJ. Q. (2024). The impact of China's high-standard farmland construction policy on grain production capacity and its mechanism. Resour. Sci.1, 145–159. doi: 10.18402/resci.2024.01.11
5
ChenY. S.SunZ. F.WangY. M.HanY. (2023). Impact of high-standard farmland construction on farmers’ income growth—quasi-natural experiments from China. Front. Sustain. Food Syst.7:1303642. doi: 10.3389/fsufs.2023.1303642
6
ChenS.ZhangH. (2021). Does digital finance promote manufacturing servitization: micro evidence from China. Int. Rev. Econ. Finance76, 856–869. doi: 10.1016/j.iref.2021.07.018
7
DengG.LiL.SongY. (2016). Provincial water use efficiency measurement and factor analysis in China: based on SBM-DEA model. Ecol. Indic.69, 12–18. doi: 10.1016/j.ecolind.2016.03.052
8
ElhorstJ. P.FréretS. (2009). Evidence of political yardstick competition in France using a two - regime spatial Durbin model with fixed effects. J. Reg. Sci.49, 931–951. doi: 10.1111/j.1467-9787.2009.00613.x
9
FarrellM. J. (1957). The measurement of productive efficiency. J. R. Stat. Soc.120, 253–281. doi: 10.2307/2343100
10
GongY.ZhangY.ChenY. (2023). The impact of high-standard farmland construction policy on grain quality from the perspectives of technology adoption and cultivated land quality. Agriculture13:1702. doi: 10.3390/agriculture13091702
11
GuoT.ZhengB.KamalM. A. (2023). Have environmental regulations restrained FDI in China? New evidence from a panel threshold model. Environ. Sci. Pollut. Res.30, 39733–39749. doi: 10.1007/s11356-022-24841-5
12
HansenB. E. (1999). Threshold effects in non-dynamic panels: estimation, testing, and inference. J. Econ.93, 345–368. doi: 10.1016/S0304-4076(99)00025-1
13
HaoS.WangG.YangY.ZhaoS.HuangS.LiuL.et al. (2024). Promoting grain production through high-standard farmland construction: evidence in China. J. Integr. Agric.23, 324–335. doi: 10.1016/j.jia.2023.11.021
14
HuangQ. H.YuY. Z.ZhangS. L. (2019). Internet development and manufacturing productivity improvement: internal mechanism and Chinese experience. China Ind. Econ.8, 5–23. doi: 10.19581/j.cnki.ciejournal.2019.08.001
15
JiangX. J.JinJ. (2022). Digital technology improves economic efficiency: service division of labor, industrial collaboration and digital twins. Manage. World38, 9–26. doi: 10.19744/j.cnki.11-1235/f.2022.0173
16
KaracayG. (2018). “Talent development for industry 4.0” in Industry 4.0: managing the digital transformation. Springer series in advanced manufacturing (Cham: Springer).
17
KhitskovE. A.VeretekhinaS. V.MedvedevaA. V.MnatsakanyanO. L.ShmakovaE. G.KotenevA. (2017). Digital transformation of society: problems entering in the digital economy. Eurasian J. Anal. Chem.12, 855–873. doi: 10.12973/ejac.2017.00216a
18
KuangB.LuX.ZhouM.ChenD. (2020). Provincial cultivated land use efficiency in China: empirical analysis based on the SBM-DEA model with carbon emissions considered. Technol. Forecast. Soc. Chang.151:119874. doi: 10.1016/j.techfore.2019.119874
19
LazebnykL. L.VoitenkoV. O. (2020). The essence, features, and parameters of the digital economy. Econ. Bull. Natl. Mining Univ. Sci. J.69, 22–29. doi: 10.33271/ev/69.022
20
LeSageJ.PaceR. K. (2009). Introduction to spatial econometrics. New York: Chapman and Hall/CRC.
21
LiC. Q.GuoS. J.CaoL. (2018). Digital enablement and its role in internal branding: a case study of huanyi travel agency. Ind. Mark. Manag.72, 152–160. doi: 10.1016/j.indmarman.2018.04.010
22
LiL.HanJ.ZhuY. (2023). Does environmental regulation in the form of resource agglomeration decrease agricultural carbon emissions? Quasi-natural experimental on high-standard farmland construction policy. Journal of Cleaner Production420:138342. doi: 10.1016/j.jclepro.2023.138342
23
LiuY.LiaoW.ZhangX.QiuH. (2023). Impact of high standard farmland construction policy on chemical fertilizer reduction: a case study of China. Front. Environ. Sci.11:1256028. doi: 10.3389/fenvs.2023.1256028
24
LiuF.LinJ. (2024). The impact of high-standard farmland construction policies on the carbon emissions from agricultural land use (CEALU). Land13:672. doi: 10.3390/land13050672
25
LiuL.LiuK. (2023). Can digital technology promote sustainable agriculture? Empirical evidence from urban China. Cogent Food Agric.9:2282234. doi: 10.1080/23311932.2023.2282234
26
LiuJ.YuQ.ChenY.LiuJ. (2022). The impact of digital technology development on carbon emissions: a spatial effect analysis for China. Resour. Conserv. Recycl.185:106445. doi: 10.1016/j.resconrec.2022.106445
27
LiuH.ZhangW. (2024). Spatial and temporal variation and convergence in the efficiency of high-standard farmland construction: evidence in China. J. Clean. Prod.452:142200. doi: 10.1016/j.jclepro.2024.142200
28
MaX. Y.HeR. W.WeiH. B. (2020). Evaluation of investment capital efficiency of high-standard farmland construction projects in China. Stat. Decis.12, 85–89. doi: 10.13546/j.cnki.tjyjc.2020.12.018
29
MäkinenM. (2006). Digital empowerment as a process for enhancing citizens' participation. E-learning Digit. Media3, 381–395. doi: 10.2304/elea.2006.3.3.381
30
NiuJ. G.ZhangS. X. (2022). Digital economy, Keynes’ “prophecy of the century” and common prosperity. Economist10, 64–73. doi: 10.16158/j.cnki.51-1312/f.2022.10.001
31
NunnN.QianN. (2014). US food aid and civil conflict. Am. Econ. Rev.104, 1630–1666. doi: 10.1257/aer.104.6.1630
32
PanW.XieT.WangZ.MaL. (2022). Digital economy: an innovation driver for total factor productivity. J. Bus. Res.139, 303–311. doi: 10.1016/j.jbusres.2021.09.061
33
PengJ.ZhaoZ.ChenL. (2022). The impact of high-standard farmland construction policy on rural poverty in China. Land11:1578. doi: 10.3390/land11091578
34
PuL.ZhangS.YangJ.YanF.ChangL. (2019). Assessment of high-standard farmland construction effectiveness in Liaoning province during 2011–2015. Chin. Geogr. Sci.29, 667–678. doi: 10.1007/s11769-019-1061-z
35
QuanT.ZhangH.QuanT.YuY. (2024). Unveiling the impact and mechanism of digital technology on agricultural economic resilience. Chinese J. Popul. Resour. Environ.22, 136–145. doi: 10.1016/j.cjpre.2024.06.004
36
RenS.HaoY.XuL.WuH.BaN. (2021). Digitalization and energy: how does internet development affect China's energy consumption?Energy Econ.98:105220. doi: 10.1016/j.eneco.2021.105220
37
ShuT.LiaoX.YangS.YuT. (2024). Towards sustainability: evaluating energy efficiency with a super-efficiency SBM-DEA model across 168 economies. Appl. Energy376:124254. doi: 10.1016/j.apenergy.2024.124254
38
SunX.ZhaoY.ZhangG. (2025). The impact of improving element quality on the comprehensive production capacity of grain: evidence from high-standard farmland construction. China Agric. Econ. Rev.17, 131–149. doi: 10.1108/CAER-03-2024-0080
39
TianJ. S.JiangZ. H.GuoJ. C.LiuX. (2019). Efficiency of high-standard farmland development based on matter-element extension and TOPSIS modeling. Appl. Ecol. Environ. Res.17, 11303–11316. doi: 10.15666/aeer/1705_1130311316
40
WangL.ChenY.RamseyT. S.HewingsG. J. (2021). Will researching digital technology really empower green development?Technol. Soc.66:101638. doi: 10.1016/j.techsoc.2021.101638
41
WangH.GuoJ. (2024). New way out of efficiency-equity dilemma: digital technology empowerment for local government environmental governance. Technol. Forecast. Soc. Chang.200:123184. doi: 10.1016/j.techfore.2023.123184
42
WangH.LiY.LinW.WeiW. (2023). How does digital technology promote carbon emission reduction? Empirical evidence based on e-commerce pilot city policy in China. J. Environ. Manag.325:116524. doi: 10.1016/j.jenvman.2022.116524
43
WangY.LiG.WangS.ZhangY.LiD.ZhouH.et al. (2022). A comprehensive evaluation of benefit of high-standard farmland development in China. Sustain. For.14:10361. doi: 10.3390/su141610361
44
WangB. Y.ZhangW. G. (2018). Provincial differences and influencing factors of agricultural ecological efficiency in China: panel data analysis based on 31 provinces from 1996 to 2015. Chinese Rural Econ.2018, 46–62. doi: 10.20077/j.cnki.11-1262/f.2018.01.005
45
XiaX. L.ChenZ.ZhangH. L.ZhaoM. J. (2019). Agricultural high-quality development: digital empowerment and implementation path. China Rural Econ.12:8.
46
XiaN.XieJ.YuanY.CaoQ.LiD. (2022). Research on the influence of digital economy on rural governance. Front. Comput. Intell. Syst.1, 5–10. doi: 10.54097/fcis.v1i2.1625
47
XinG.YangC.YangQ.LiC.WeiC. (2017). Post-evaluation of well-facilitied capital farmland construction based on entropy weight method and improved TOPSIS model. Trans. Chinese Soc. Agric. Eng.33, 238–249. doi: 10.11975/j.issn.1002-6819.2017.01.033
48
XuJ.XiaS.LiW. (2020). Study on time sequence and pattern of high-standard farmland construction: a case study in China. Fresenius Environ. Bull.:8252.
49
XuR.ZhanY.ZhangJ.HeQ.ZhangK.XuD.et al. (2022). Does construction of high-standard farmland improve recycle behavior of agricultural film? Evidence from Sichuan, China. Agriculture12:1632. doi: 10.3390/agriculture12101632
50
YangN.SunX.QiQ. (2022). Impact of factor quality improvement on agricultural carbon emissions: evidence from China’s high-standard farmland. Front. Environ. Sci.10:989684. doi: 10.3389/fenvs.2022.989684
51
YouZ.FengZ. M.YangY. Z. (2018). A dataset of 1km topographic relief in China. J. Glob. Change Data (Chinese and English)2, 151–155. doi: 10.3974/geodp.2018.02.04
52
YuP.FennellS.ChenY.LiuH.XuL.PanJ.et al. (2022). Positive impacts of farmland fragmentation on agricultural production efficiency in Qilu Lake watershed: implications for appropriate scale management. Land Use Policy117:106108. doi: 10.1016/j.landusepol.2022.106108
53
ZhangX.FanD. (2024). Can agricultural digital transformation help farmers increase income? An empirical study based on thousands of farmers in Hubei Province. Environ. Dev. Sustain.26, 14405–14431. doi: 10.1007/s10668-023-03200-5
54
ZhaoY.SunX. T. (2022). Does high-standard farmland construction help promote the cultivation of new professional farmers: evidence from villages. Rural Econ.4, 135–144.
55
ZhaoT.ZhangZ.LiangS. K. (2020). Digital economy, entrepreneurial activity and high-quality development: empirical evidence from Chinese cities. Manage. World36, 65–76. doi: 10.19744/j.cnki.11-1235/f.2020.0154
Summary
Keywords
digital technology, high-standard farmland construction, threshold effect, spatial spillover effect, China
Citation
Zhang W (2025) Impact of digital technology on the efficiency of high-standard farmland construction: evidence from China. Front. Sustain. Food Syst. 9:1559021. doi: 10.3389/fsufs.2025.1559021
Received
11 January 2025
Accepted
12 May 2025
Published
10 July 2025
Volume
9 - 2025
Edited by
Siphe Zantsi, Agricultural Research Council of South Africa (ARC-SA), South Africa
Reviewed by
Xuetao Sun, Ocean University of China, China
Yuhan Zhang, Jiangxi Agricultural University, China
Jinyue Zhang, Northeastern University, China
Ruizhe Yang, The University of Chicago, United States
Updates
Copyright
© 2025 Zhang.
This is an open-access article distributed under the terms of the Creative Commons Attribution License (CC BY). The use, distribution or reproduction in other forums is permitted, provided the original author(s) and the copyright owner(s) are credited and that the original publication in this journal is cited, in accordance with accepted academic practice. No use, distribution or reproduction is permitted which does not comply with these terms.
*Correspondence: Wei Zhang, zw2077150648@163.com
Disclaimer
All claims expressed in this article are solely those of the authors and do not necessarily represent those of their affiliated organizations, or those of the publisher, the editors and the reviewers. Any product that may be evaluated in this article or claim that may be made by its manufacturer is not guaranteed or endorsed by the publisher.