Your new experience awaits. Try the new design now and help us make it even better

ORIGINAL RESEARCH article

Front. Earth Sci., 31 October 2025

Sec. Economic Geology

Volume 13 - 2025 | https://doi.org/10.3389/feart.2025.1642287

This article is part of the Research TopicAdvances in Accumulation Conditions of Unconventional Oil and Gas Resources in Complicated Structure AreasView all 15 articles

Fracture prediction method and application based on multi-attribute fusion generative adversarial network

Yongheng Zhang,Yongheng Zhang1,2Xingjian Wang,
Xingjian Wang1,2*Yang Li,Yang Li1,2Xudong JiangXudong Jiang2Han Zhang,Han Zhang1,2
  • 1State Key-Laboratory of Oil and Gas-Reservoir Geology and Exploitation, Chengdu University of Technology, Chengdu, China
  • 2College of Geophysics, Chengdu University of Technology, Chengdu, China

In complex structural zones shaped by multi-phase tectonic movements, the coexistence of diverse structural origins and intricate hydrocarbon accumulation conditions makes fracture prediction a critical technical challenge in oil and gas exploration. Current methods face two key limitations: conventional single-attribute seismic analysis falls short of satisfying high-precision fracture detection requirements, while deep learning approaches, despite their progress, suffer from poor generalization due to limited training samples. To address these issues, this study proposes a multi-attribute fusion method that synergistically combines Wasserstein GAN (WGAN) and U-Net++. The proposed approach effectively enlarges the training dataset while maintaining geological fidelity, empowering the trained network to hierarchically extract fracture features across multiple scales. Field tests show our method achieves precise alignment with well-log interpretations and delivers superior performance to conventional attribute-based techniques in both major and micro-fracture identification, demonstrating superior noise resistance and generalizability for fracture prediction across different study areas.

1 Introduction

With accelerating development of the global economy, energy demand—particularly for natural gas and crude oil—has surged significantly. Conventional hydrocarbon resources are increasingly inadequate to meet evolving economic requirements, while persistent international price escalation has rendered unconventional oil and gas exploration an imperative research priority. Reservoir fracture systems, functioning as vital conduits and storage spaces for hydrocarbon migration and accumulation, remain central to petroleum geology and geophysical research. As exploration shifts toward deep, ultra-deep, and unconventional reservoirs, fracture prediction technology faces unprecedented challenges and opportunities. This study systematically investigates a hybrid multi-attribute deep learning framework based on generative adversarial networks (GANs), offering innovative solutions to address key scientific challenges in contemporary fracture characterization.

With the advancement of signal processing technology, spectral analysis has emerged as an important supplementary approach in fracture prediction as a nonlinear method for extracting implicit frequency characteristics from seismic data. In recent years, significant progress has been made in the application research of spectral analysis for fracture prediction (Lei et al., 2024; Marfurt et al., 1998) by uncovering the implicit frequency-domain information in seismic data, spectral analysis provides a novel perspective for fracture prediction that differs from traditional geometric attributes, demonstrating strong adaptability particularly in weak signal zones or complex reservoirs (Cai et al., 2022). With the refinement of spectral decomposition techniques (such as improved time-frequency resolution), deeper understanding of absorption-attenuation mechanisms, (Sun et al., 2024) and the integration of artificial intelligence methods, spectral analysis is expected to become an indispensable technical approach for fracture prediction in the future, providing critical support for detailed reservoir characterization and efficient hydrocarbon development (Fu et al., 2024; Yuan et al., 2024).

Advancements in computational technologies have significantly propelled innovation in fault detection methodologies (Bi and Wu, 2021). Traditional approaches typically involve linking discontinuities in 2D seismic reflection horizons to construct fault frameworks. Established techniques encompass coherence cube analysis, variance analysis, edge detection (Dorigo et al., 1999), post-stack target processing, and forward modeling. The core fault identification technologies include coherence cube/volume analysis, variance cube analysis, ant colony optimization algorithms, and edge detection methodologies (Höcker and Fehmers, 2002; Zhou et al., 2022). These approaches provide critical guidance for fault interpretation with broad applicability, necessitating rigorous methodological selection during practical implementations to maximize positional accuracy. Ongoing technological progress continues to transform fault identification practices (Chopra and Marfurt, 2007). The synergistic integration of computer science and seismological expertise enables enhanced characterization of subsurface fault geometries (Gersztenkorn and Marfurt, 2002), offering crucial support for geological exploration and resource development (Kingma and Ba, 2014). These Future advancements promise transformative breakthroughs in this domain.

The integration of machine learning technology has ushered in a new era of development. The inaugural application of backpropagation neural networks (BP) to multi-attribute fracture prediction significantly improved objectivity Subsequent adoption of support vector machines (SVM) and random forests nevertheless encountered inherent limitations due to shallow learning architectures' constrained representational capacity for complex fracture systems (Gibson et al., 2003) 2013–Present: Deep Learning Revolution (Cui et al., 2025). The transformative deployment of convolutional neural networks (CNNs) achieved breakthroughs in North Sea oil field fault identification (Wang et al., 2024). Generative adversarial networks (GANs) subsequently addressed small-sample learning challenges (Marfurt et al., 1998). Architectural innovations like U-Net and Transformer models ushered in intelligent fracture recognition (Bhunia et al., 2018). Recent advancements including 2.5D Transformer U-Net and Fault-Seg-Net demonstrate significant advantages in complex fracture scenarios (Chan et al., 2022; Xue et al., 2016). Notwithstanding progress, deep learning confronts critical data scarcity constraints: reliable fracture labels constitute <5% of total project data (Cao et al., 2024; Liu et al., 2025). Conventional augmentation strategies (rotational/flipping transformations) inadequately simulate complex fracture geometries, impairing model generalization—a particularly acute challenge in frontier basins with limited historical datasets (Ledig et al., 2017; Zhang et al., 2025).

As a data-driven paradigm, deep learning offers automation advantages and scalability. Modern machine/deep learning frameworks enable automated feature extraction and optimization (Lecun et al., 1998), achieving cross-industry adoption. This study proposes an enhanced hybrid multi-attribute deep learning framework that innovatively combines conventional attribute prediction methodologies (Bhunia et al., 2018). The system aims to improve exploration efficiency, optimize drilling success rates through subsurface engineering data integration, and investigate GAN-CNN synergies in fault identification while evaluating geological science implications (Di et al., 2019).

2 Methods

2.1 Workflow

This study introduces a deep learning architecture that integrates the Wasserstein Generative Adversarial Network (WGAN) and U-Net++, constructing a multi-attribute fusion-based fracture identification system (as shown in Figure 1) (Li et al., 2024). The single-attribute fracture prediction results from actual field data—including maximum likelihood attributes, coherent attributes, gradient structure tensor attributes, and curvature attributes—are fed into the WGAN (Xu et al., 2024). This ensures that the generated synthetic data exhibits geological plausibility while addressing the issue of scarce labeled data. The outputs from the WGAN are then processed by the U-Net++ network. The high-fidelity synthetic data substantially improves the realism and generalization capability during U-Net++ training. Once the network reaches stability (Gan et al., 2025), it is applied to reprocess the actual field data for fracture identification (Niu et al., 2024). The resulting predictions align more closely with manual interpretations and demonstrate markedly enhanced performance in detecting small-scale fractures (Ding et al., 2025; Chopra and Marfurt, 2007).

Figure 1
Diagram of a fracture distribution prediction model using a generator and discriminator. The generator has convolutional layers, residual networks, and activation layers, processing input images. The discriminator includes additional normalization layers. Below, a convolutional network diagram illustrates subsampling, upsampling, and skip connections, labeled with nodes and pathways for prediction.

Figure 1. Multi-attribute fusion generative adversarial network flowchart.

2.2 Label generation using multi-attribute fusion generative adversarial network

2.2.1 Wasserstein Generative Adversarial Network (WGAN)

Goodfellow et al. proposed a novel architecture based on convolutional neural networks in 2014, which introduced a fundamental departure from traditional neural networks by comprising two components: a generator and a discriminator. This framework was named Generative Adversarial Networks (GAN) (Wu et al., 2021).

As illustrated in Figure 2 the input data includes “ingredients” required to synthesize realistic data: original feature values (labels), random noise, and raw data. Through the generator, new labeled data is produced and passes the discriminator’s evaluation. After iterative training, the network ultimately generates data indistinguishable from real samples (Mao et al., 2017).

Figure 2
Flowchart depicting a process for geological analysis. Inputs labeled

Figure 2. Architecture diagram of generative adversarial networks.

Traditional GANs employ KL divergence or JS divergence for training, but these methods suffer from issues like gradient vanishing and mode collapse. To address these problems, the Wasserstein Generative Adversarial Network (WGAN) was proposed. The core innovation of WGAN lies in replacing traditional divergence metrics with the Wasserstein distance to measure the distance between probability distributions (Equation 1).

WPr,Pg=infγPr,PgEx,yγxy(1)

In the above formula, Pr,Pg represents the set of all joint distributions of Pr and Pg. For each possible joint distribution γ,the distance xy between the real sample x and the fake sample y can be calculated. Then, the expected value Ex,yγxy of the samples and the distance for the joint distribution γ can be computed. The lower bound infγPr,PgEx,yγxy of the entire probability is the Wasserstein distance. It can be understood that Ex,yγxy represents the energy consumption required to push Pr to Pg under the overall situation of γ and WPr,Pg is the minimum consumption for the shortest distance.

Since the solution of infγPr,Pg cannot be obtained directly, it is changed to a Lipschitz - continuous form. That is, a restriction condition is added to the function to obtain an optimal solution that can be used as a substitute. As shown in Formula 2.

WPr,Pg=1KsupfLKExPrfxExPgfx(2)

In the above - mentioned (Formula 3), K0 and any two elements must satisfy.

fx1fx2Kx1x2(3)

which is indicated by the arrow (3). K is called the Lipschitz constant. Then, Formula 5 can be understood as taking the upper bound of ExPrfxExPgfx for all eligible under the condition of the constant K,and then shrinking it by K times. In generative adversarial networks, the parameter ω is needed to complete the update of the function fω, as shown in the following Formula 4.

K·WPr,Pgmaxω:fωLKExPrfωxExPgfωx(4)
L=ExPrfωxExPgfωx(5)

The results obtained in the above formula are approximate to the Wasserstein distance between the real samples and the generated samples. By minimizing the Wasserstein distance, that is, minimizing L, the problem of gradient vanishing can be solved. Since the activation function in the last layer of the discriminator network in the original GAN is designed for a binary classification task, but now it is improved using the Wasserstein distance, there is no need to continue using the Sigmoid function as the activation function in the last layer. From Equations 6, 7, we can obtain the latest loss functions of the two networks.

LG=ExPgfωx(6)
LD=ExPrfωxExPgfωx(7)

In summary, the key improvements of WGAN can be categorized into four principal aspects: (1) Removing the Sigmoid function in the last layer of the discriminator network; (2) Adopting the improved forms of the loss functions for both the generator and discriminator networks as mentioned above, instead of using the log - form; (3) Ensuring that the absolute value of the updated parameters does not exceed a fixed constant; (4) Selecting appropriate optimization algorithms. Sometimes, using momentum gradient descent and adaptive moment estimation algorithms may cause instability in the loss function, leading to substantial variations in the generated samples.

2.2.2 Label data preparation

The utilization of highly geologically plausible and high-fidelity labeled data can significantly enhance the predictive performance of neural networks. This study employs a WGAN (Wasserstein Generative Adversarial Network) to generate high-quality labeled data. The process first requires obtaining prediction results from actual seismic data processed through single-attribute analysis within the target area, which serves as the “raw material” for training the WGAN. For validation purposes the North Sea F3 Block in the Netherlands, a publicly available seismic dataset collected in 1987, is widely referenced in studies on AI-based seismic fault detection. This dataset contains numerous faults with distinct characteristics, making it an excellent benchmark for validating the model’s training effectiveness.

First, the seismic data is processed using the single-attribute method (Figures 36), and its prediction results are input into the WGAN network. Through multiple iterations, this generates labeled data that more closely resembles real geological samples.

Figure 3
Two side-by-side images labeled (a) and (b). Image (a) is a colorful heat map with blue, green, yellow, and red patterns indicating variability. Image (b) is a grayscale abstract pattern with faint, dark, vein-like lines on a light background, displaying a different representation of the data.

Figure 3. Fracture prediction results: Maximum likelihood Attribute (a) and refined maximum likelihood attribute (b).

Figure 4
Microscopic images labeled (a) and (b) display sections with a yellow background, featuring irregular red and green patterns. Image (b) appears to have more pronounced green and red lines, suggesting structural differences.

Figure 4. (a,b) Gradient structure tensor attribute prediction results.

Figure 5
Two panels depicting abstract patterns. Panel (a) displays red lines and dots on a light background, with a network-like appearance. Panel (b) shows a similar pattern with blue lines and dots on a lighter background.

Figure 5. Maximum positive curvature attribute (a) and minimum negative curvature attribute fracture prediction results (b).

Figure 6
Five grayscale images arranged vertically, each labeled with different frequencies: 20Hz, 30Hz, 40Hz, 50Hz, and 60Hz. Each image displays abstract patterns with varying levels of contrast and sharpness, revealing progressively finer details as the frequency increases.

Figure 6. Fracture prediction results derived from frequency-dependent coherent attribute analysis under different frequency bands.

After processing the single-attribute-generated results through slicing and grayscale/binary image processing, geologically realistic labeled samples are obtained. These pseudo-labeled samples are then input into the generator network. The generated pseudo-labeled data and real data are subsequently assessed for authenticity by the discriminator network. Through iterative refinement, the gap between the generator’s output and the real data gradually diminishes until high-quality labeled data meeting research requirements is achieved, thereby completing the expansion of the labeled dataset.

The WGAN-generated label samples successfully mitigate the issue of sample scarcity in previous methods. As demonstrated in the figure below, which depicts label samples obtained from the trained network, the generated labels exhibit enhanced realism and diversity. Unlike prior approaches that were constrained to detecting only prominent fractures and simplistic/linear labels, these improved results demonstrate finer structural details and more natural variations, thereby achieving closely alignmen with real-world geological features (Figure 7).

Figure 7
Nine-panel image showing black backgrounds with varying white lines and structures. Panels (a), (b), and (c) have sparse white markings. Panels (d), (e), (f), (g), (h), and (i) display increasingly complex and dense white branching structures, resembling biological or vascular networks. Each panel incrementally reveals more intricate patterns.

Figure 7. Augmented Labeled Dataset via WGAN Network (a–c):Labels generated from iterations 50 (d–i):Labels generated after network stabilization.

2.3 Fracture prediction network architecture

U-Net++ is an advanced segmentation model proposed in previous studies, first developed for medical image segmentation and conceptually extended from the U-Net architecture. It belongs to a deeply supervised “encoder-decoder” network structure. Building upon the U-Net convolutional neural network, it enhances the architecture through deeply supervised encoder-decoder mechanisms, with the specific structure illustrated in Figure 8 (Zhu et al., 2017). The U-Net++ network integrates sub-U-Net structures at different hierarchical levels and introduces dense connections and multi-scale feature fusion mechanisms into the original U-Net design (Xue et al., 2016). These improvements enable the network to more effectively extract features at multiple scales from images and propagate them to subsequent layers. The dense connections and skip connections reduce information loss during network transmission, better preserving image details. The architectural enhancements in U-Net++ improve its generalization capability, making it more adaptable to diverse image datasets and increasing the model’s versatility (Xu et al., 2021).

Figure 8
Neural network diagram illustrating a structure with nodes labeled \(X^{i,j}\). Blue solid arrows indicate subsampling, red arrows signify upsampling, and dashed lines represent skip connections. The process flows from left to right, with nodes connected to a final block labeled

Figure 8. U-Net++ convolutional neural network architecture.

The high-quality label data generated via the aforementioned Wasserstein Generative Adversarial Network (WGAN), after iterative refinement, provide an extensive dataset of accurate and stable synthetic labels. These labels constitute the primary training data for the U-Net++ network. Consequently, the trained network achieves substantially enhanced accuracy, enabling precise identification of most fine fractures. Results will be presented in subsequent sections.

3 Results and discussion

3.1 Test data

The performance of current deep learning-based fracture detection methods is primarily contingent upon the quality of training samples. Model training requires large volumes of labeled data, and only datasets containing comprehensive fracture types can ensure accurate predictions. The multi-attribute fusion generative adversarial network (WGAN)-based fracture prediction method proposed in this study focuses on generating high-quality synthetic data that mirrors the quality of the input training samples, thereby significantly improving model precision. Final predictions are subsequently performed using the U-Net++ network model.

In this study, we input pre-prepared single-attribute-generated label datasets into the Wasserstein GAN for training. After network stabilization, the U-Net++ model is trained to obtain fracture prediction results. During the training process of the Wasserstein Generative Adversarial Network (WGAN), the generated dataset evolves with increasing iteration epochs. After selecting an optimal iteration count, the generated dataset undergoes normalization and is formatted into uniformly sized samples suitable for input into the U-Net++ network, thereby constructing its training dataset. This approach eliminates the labor-intensive manual annotation process while concurrently boosting the model’s generalization capability.

To establish a performance benchmark, we additionally train the U-Net++ model using manually labeled datasets and Fracture interpretation results manually identified by experts (as a control group). As shown in Figures 911, the proposed WGAN-based method demonstrates superior performance in identifying small fault features compared to the manual labeling approach. Given the complex structural characteristics of the study area, this advantage is particularly pronounced.

Figure 9
Seismic data visualization showing stratigraphic layers with red and blue horizontal lines, indicating variations in geological formations. Vertical black lines represent faults or fractures. Labels on axes read

Figure 9. Fracture interpretation results manually identified by experts.

Figure 10
Seismic data visualization showing color-coded wave patterns with red and blue horizontal lines indicating geological layers and formations, intersected by black vertical lines suggesting faults. Two red ovals highlight specific areas of interest or anomaly. Vertical axis marked as CDP, and horizontal axis marked as Sample.

Figure 10. Fracture prediction results using manually labeled data.

Figure 11
Seismic data image showing layered subsurface structures with red and blue color variations, indicating different geological formations. Black lines highlight fractures, and red ellipses indicate zones of interest. Horizontal axis is labeled

Figure 11. Fracture prediction results using labels generated by the multi-attribute fusion generative adversarial network.

Through comparative experiments, significant differences were observed between the fracture prediction results of the U-Net++ network trained solely on manually labeled data and those trained on WGAN-augmented labeled datasets. The U-Net++ model trained with manually labeled data demonstrates the capability to effectively identify prominent faults and large fractures but exhibits limited precision in capturing subtle features, making it insufficient for comprehensive fracture characterization. In contrast, the model trained on WGAN-generated labels produces more refined and complete results. When benchmarked against manual fracture identification, our method achieves detailed characterization of small fractures. These comparative results further validate the effectiveness and practicality of the proposed approach.

3.2 Field data

3.2.1 Study area

The study area is located in the middle-northern segment of the Western Sichuan Depression, within the Xujiahe Formation, extending in a near-east-west direction. Its boundaries are defined by the Xiaquan Structural Belt, Fenggu Structural Belt, Zitong Sag, Chengdu Sag, and its eastern margin (Wang et al., 2024). This region has undergone multiple tectonic events since the Late Triassic, forming a complex ancient large uplifted region (Deng et al., 2022; Zhao et al., 2024). The Xujiahe Formation in the Western Sichuan Depression has experienced successive tectonic movements during the Indosinian, Yanshanian, and Himalayan orogenic periods, ultimately shaping a regional structural framework characterized by high relief in the northwest and low-lying topography in the southeast (Zhao et al., 2017).

Well logging interpretation is essential for fracture prediction, as it provides insights into fracture development. This study primarily utilizes well logging data to conduct comparative interpretations with seismic attributes and deep learning methods, thereby verifying the accuracy of our fracture prediction results. The presence of fractures induces anomalous responses in conventional well logging curves (Figure 12), such as distinctive patterns in acoustic curves at fracture intervals. While imaging well logging offers superior fracture identification capabilities, its high cost limits data availability in the study area. Consequently, this research combines conventional well logging data with supplementary imaging well logging data to enhance fracture identification.

Figure 12
Graph displaying multiple well log readings alongside seismic sections. The left side shows depth and various geophysical measurements with red, blue, and black curves. The right side displays detailed, colorful seismic images, correlated with the well logs, connected by arrows. Fracture analysis and conductivity data are labeled at the top.

Figure 12. Comprehensive Fracture Evaluation of Well 1 vs. Imaging Well Logging-Based Fracture Development.

Through conventional well logging and imaging well logging methods, comprehensive interpretations have been conducted to describe fracture feature variations across different regions. Below are detailed analyses of two representative wells. Figure 13 illustrates the rose diagram of fracture orientations and inclination angle distribution histogram for Well 1. The results indicate that fractures in Well one and Well three predominantly exhibit SE-NW (120°–130°) and SWW-NEE (70°–90°) orientations. Fracture inclinations are primarily 0°–10°, with moderate-to-high-angle fractures (10°–30°) also well-developed. Additionally, fracture aperture increases progressively with depth. Figure 13 displays the rose diagram and inclination angle distribution histogram for Well 2. Fractures in this well are dominated by low-angle orientations (10°–20°), while moderate-angle fractures are underdeveloped, and high-angle fractures are absent. In the Xu2 Member, fracture linear density initially increases with depth and then fluctuates downward.

Figure 13
Diagram displaying three pairs of circular diagrams and bar charts depicting fracture orientations and dip angles. (a) and (b) show a rose diagram and bar chart for N=146, with prominent dip angles between 10-30 degrees. (c) and (d) illustrate data for N=223, with similar dip angle frequencies. (e) and (f) represent N=144, showing a slightly different distribution with peaks around 10-30 degrees. Each pair correlates directional orientation with dip angle frequency.

Figure 13. (a) Rose diagram of fracture orientations in well 1; (b) histogram of fracture inclination angles in well 1; (c) rose diagram of fracture orientations in well 2; (d) histogram of fracture inclination angles in well 2; (e) rose diagram of fracture orientations in well 3; (f) histogram of fracture inclination angles in well 3.

Based on calculating the linear density of fractures in the target stratigraphic interval (Xu2 Member of the Xujiahe Formation), high-value zones of fracture density are identified within the three-stage tectonic stress integration region. The well logging results will serve as the primary validation basis for subsequent fracture prediction outcomes derived from multi-attribute prediction and the multi-attribute fusion generative adversarial network (WGAN) method. Through integration with well logging interpretations and fracture development characteristics, the final fracture characterization results will achieve greater credibility.

3.2.2 Conventional attribute-based fracture prediction

Seismic data with distinct attribute characteristics play a crucial role in fracture identification. The Xujiahe Formation primarily consists of tight sandstone deposits, and its seismic data exhibit high quality, with notable resolution and frequency attributes. As shown in Figure 14, the seismic bandwidth is 63 Hz, and spectral analysis reveals that the dominant frequencies are primarily distributed between 20 Hz and 80 Hz.

Figure 14
Line graph showing amplitude against frequency in Hertz. The amplitude rises sharply from zero to sixteen thousand at around forty Hertz, then declines steeply, leveling off at about two thousand beyond one hundred twenty Hertz.

Figure 14. Spectral analysis of the seismic data volume.

The identification results of fractures vary under different frequency characteristics. In this study, we employ Matching Pursuit Spectral Decomposition (MPSD) processing within the effective frequency band to obtain distinct frequency-component volumes. Subsequently, structure-oriented filtering is applied to these frequency volumes to enhance the detectability of fault dip strength and azimuth attributes (Figure 15). This integrated approach yields results that more accurately characterize fracture features, as the frequency-dependent processing better captures fracture-related seismic responses while structural filtering improves the continuity and interpretability of fracture systems. The methodology demonstrates superior performance in identifying multi-scale fractures compared to conventional full-spectrum approaches, particularly in complex tight sandstone reservoirs where fracture manifestations vary significantly across frequency bands.

Figure 15
Seismic data comparison with two panels labeled (a) and (b). Both display wavy black and white patterns with overlaid red ellipses highlighting specific areas. Green lines are present, indicating contours or faults. Each panel appears similar, with subtle differences in highlighted regions.

Figure 15. Seismic data profiles before (a) and after (b) structure-oriented filtering.

As illustrated in Figure 16, this study selects frequency-component volumes at 30 Hz, 40 Hz, 50 Hz, and 60 Hz for coherence attribute processing, yielding distinct fracture identification outcomes.

Figure 16
Four panels show seismic data at different frequencies: 30 Hz (a), 40 Hz (b), 50 Hz (c), and 60 Hz (d). Each displays geological features with varying levels of detail, highlighted by red circles and arrows.

Figure 16. Frequency-decomposed coherence attributes based on matching pursuit. (a) 30 HZ, (b) 40 Hz, (c) 50 Hz, (d) 60 Hz.

As shown in the figure above, different frequency bands exhibit distinct responses to fractures of varying scales. Coherence processing of low-frequency components can effectively characterize medium-to-large scale fractures, while coherence processing of high-frequency components can delineate small-scale fractures and fractures zones (Bahorich and Farmer, 1995). Through coherence slices at different scales, it can be observed that low-frequency components mainly reflect the macro-scale distribution of fracture development, whereas high-frequency components can provide more detailed characterization of small-scale fractures (Gersztenkorn and Marfurt, 2002).

To evaluate the method proposed in this study, we performed additional fracture identification using four attributes (Huang et al., 2025). The specific results are shown below (All the result values in the figure are obtained after standardized processing using this method (Niu et al., 2025; Ren et al., 2024). The larger the value, the greater the probability of fracture distribution (Li et al., 2024; Zhang et al., 2025).

Fracture prediction based on maximum likelihood attributes demonstrates that both standard and refined maximum likelihood approaches achieve comprehensive delineation of large fractures. Particularly noteworthy is that the refined maximum likelihood method enhances the identification of small fractures (Figure 17).

Figure 17
Four-panel image showing geological data with designated wells. Panels (a) and (b) display colorful, high-density areas with wells, using a rainbow scale. Panels (c) and (d) are grayscale, showing similar well distributions.

Figure 17. Fracture distribution based on maximum likelihood attributes for T3X22、T3X24. (a,b) Maximum likelihood attribute fracture distribution. (c,d) Refined maximum likelihood attribute fracture distribution.

The fundamental principle of fracture prediction based on coherence attributes lies in delineating fractures by analyzing lateral variations in seismic waveform continuity. This method enables clear identification of large-scale fractures within the seismic dataset (Figure 18; Kurt et al., 2012).

Figure 18
Two grayscale geological maps labeled (a) and (b), showing the distribution of wells 1, 2, and 3 with circular markers. Both maps have coordinate grids, and a vertical color bar on the right indicates data values from zero to one.

Figure 18. Fracture distribution based on multi-frequency coherence attribute fusion for T3X22 (a), T3X24 (b).

Compared with coherence attributes and maximum likelihood attributes, the fracture layering description derived from gradient structure tensor attributes provides clearer delineation of fracture angles and large-scale structural features (Chen et al., 2012). However, it exhibits limitations in characterizing small fractures (Wang et al., 2018). In essence, this approach yields more accurate information on the overall fracture trends within the Xujiahe Formation (Figure 19; Chopra and Marfurt, 2007; Lou et al., 2022).

Figure 19
Two heat maps labeled (a) and (b) depict geological formations with three wells marked: Well 1, Well 2, and Well 3. Color gradients from blue to red indicate variations in the formations, with a scale on the right ranging from 0 to 160.

Figure 19. Fracture distribution based on gradient structure tensor attributes for T3X22 (a), T3X24 (b).

Fracture prediction based on curvature attributes exhibits a strong response to linear features, enabling clear characterization of fault structures and fracture delineation. Among the commonly used methods, maximum positive curvature and minimum negative curvature attributes yield the most effective results (Roberts, 2001). The curvature calculations of both approaches enhance the description of stratal bending, produce stronger responses at fracture locations, and provide richer geometric information about the formations (Figure 20; Suo et al., 2012).

Figure 20
Four colored maps labeled (a), (b), (c), and (d), each showing contour lines and three marked well sites. Maps (a) and (b) are in red gradients, and maps (c) and (d) are in blue gradients. Color bars on the side indicate intensity levels ranging from -1 to 1.

Figure 20. Fracture distribution based on curvature attributes for T3X22, T3X24 (a,b) maximum positive curvature attribute fracture distribution (c,d) minimum negative curvature attribute fracture distribution.

3.3 Fracture prediction results using the multi-attribute fusion generative adversarial network

Since the prediction results of seismic data attributes (e.g., maximum likelihood attributes, coherence attributes, gradient structure tensor attributes, and curvature attributes) exhibit higher authenticity compared to manually labeled data, the labels generated by the Wasserstein generative adversarial network (WGAN) can serve as reliable ground-truth labels for real seismic data (Kosters et al., 2008). After further optimization through the U-Net++ network architecture, the predicted results achieve significantly improved geological authenticity and reliability.

The model parameters are configured as Table 1, the stochastic gradient descent (SGD) algorithm is selected as the optimizer with an initial learning rate of 0.005, which is reduced by half every 50 epochs. The discriminator network employs a LeakyReLU activation function with the negative slope parameter set to 0.2.

Table 1
www.frontiersin.org

Table 1. Neural network architecture and hyperparameters.

Building on the multi-attribute analysis results in this chapter, we input all single-attribute fracture prediction results into the Wasserstein Generative Adversarial Network (WGAN) to generate and augment synthetic data, thereby addressing the insufficiency of conventional network datasets. The network is optimized by adjusting parameters such as loss rate and accuracy. Once stabilized, the synthetic data stored in the WGAN generator is extracted and integrated with multi-attribute fracture identification results to train the U-Net++ network for fracture prediction.

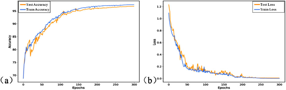
The U-Net++ network was trained using a dataset comprising 180 samples, including 150 training datasets and 30 testing datasets. The curves of loss rate and accuracy during training are presented in Figure 21.

Figure 21
Two charts depict training and testing metrics over 300 epochs. Chart (a) shows accuracy, with both train and test accuracy lines improving and converging near 95%. Chart (b) shows loss, with both lines decreasing and converging close to 0.1.

Figure 21. (a) U-Net++ accuracy curve; (b) U-Net++ loss curve.

Figures 22, 23 present integrated results of fracture prediction via the multi-attribute fusion generative adversarial network (WGAN) fused with seismic cross-sections. Extracted cross-sectional data from xline = 2,800 and inline = 1,390 are benchmarked against human-expert fault interpretations. The predicted fractures, including major discontinuities corroborated by field operations, exhibit substantial concordance with expert interpretations. Notably, the WGAN framework demonstrates enhanced resolution of minor fractures, effectively identifying fine-scale fractures that are challenging for conventional manual methods. Validation via well log interpretations and multi-attribute prediction benchmarks confirms the method’s robust accuracy and adaptability in fracture characterization.

Figure 22
Seismic data illustrations comparing structural features. Panel (a) shows layered geological formations with multiple fault lines, marked by dark lines and labeled with red annotations. Panel (b) displays the same formations, highlighting fractures and zones of interest circled in red. Both panels have a color-coded stratigraphy, with prominent horizontal layers and annotations along the inline and time axes.

Figure 22. Comparison of manual interpretation (a) and multi-attribute fusion generative adversarial network model identification results (b) (Crossline = 2,830).

Figure 23
Two seismic reflection profiles are shown. Panel (a) presents seismic lines with faults indicated by black lines, displaying undulations. Panel (b) highlights areas with red circles, suggesting features of interest, including changes in seismic reflectivity.

Figure 23. Comparison of manual interpretation (a) and multi-attribute fusion generative adversarial network model identification results (b) (inline = 1,290).

To better visualize fractures in the Xujiahe Formation, we performed stratigraphic slicing on the final results and overlaid them with structural maps to demonstrate fracture distribution (Figure 24). The structural-fracture overlay analysis reveals that neural network mapping effectively resolves both the overall morphology and internal details of fractures, confirming the accuracy and reliability of the proposed method. Planar views derived from the slices clearly delineate fracture networks, providing precise spatial characterization within the study area. Furthermore, profile views align predicted fractures with actual drilling data, offering additional validation of the method’s robustness in capturing subsurface fracture systems.

Figure 24
Topographic maps labeled (a) and (b), highlighting three wells: Well 1, Well 2, and Well 3. The maps use a color gradient from blue to green to yellow, indicating elevation differences from -2700 to -1900. Both maps feature lines and contours denoting geological formations.

Figure 24. T3X22 (a), T3X24 (b) fracture-structure overlay map.

4 Conclusion

This study proposes a fracture prediction method based on a multi-attribute fusion generative adversarial network (WGAN-U-Net++). By integrating multi-attribute prediction results, the approach first employs the Wasserstein generative adversarial network (WGAN) to generate augmented samples, followed by the U-Net++ network to achieve high-resolution fracture characterization in the Xujiahe Formation. Experimental results demonstrate that this method outperforms traditional approaches and well-log data in both profile and slice interpretations, enabling precise delineation of complex fracture networks.

Focusing on the tight sandstone reservoirs of the Xujiahe Formation in the Western Sichuan Foreland Basin (characterized by continental deposition and multiphase tectonic superposition), this research addresses the application of deep learning in fracture identification. The study area exhibits complex fracture systems and weakened distribution patterns due to multiphase tectonic activities, coupled with strong heterogeneity in sedimentary environments and hydrocarbon accumulation conditions, rendering conventional methods ineffective for high-precision prediction. To tackle the challenge of deep learning’s reliance on high-quality labeled datasets, the proposed WGAN-U-Net++ framework integrates multi-attribute fusion and sample augmentation, thereby significantly improving the reliability of fracture identification in tight sandstones. This framework presents a novel approach for fracture prediction in complex geological settings.

Data availability statement

The original contributions presented in the study are included in the article/supplementary material, further inquiries can be directed to the corresponding author.

Author contributions

YZ: Conceptualization, Writing – original draft, Investigation, Methodology, Writing – review and editing, Data curation. XW: Funding acquisition, Conceptualization, Supervision, Writing – review and editing. YL: Writing – original draft, Methodology, Validation. XJ: Conceptualization, Writing – review and editing. HZ: Validation, Formal Analysis, Writing – original draft.

Funding

The author(s) declare that financial support was received for the research and/or publication of this article. This paper is supported by National Natural Science Foundation of China (Grant No. 42074163).

Conflict of interest

The authors declare that the research was conducted in the absence of any commercial or financial relationships that could be construed as a potential conflict of interest.

Generative AI statement

The author(s) declare that no Generative AI was used in the creation of this manuscript.

Any alternative text (alt text) provided alongside figures in this article has been generated by Frontiers with the support of artificial intelligence and reasonable efforts have been made to ensure accuracy, including review by the authors wherever possible. If you identify any issues, please contact us.

Publisher’s note

All claims expressed in this article are solely those of the authors and do not necessarily represent those of their affiliated organizations, or those of the publisher, the editors and the reviewers. Any product that may be evaluated in this article, or claim that may be made by its manufacturer, is not guaranteed or endorsed by the publisher.

References

Bahorich, M., and Farmer, S. (1995). 3-D seismic discontinuity for faults and stratigraphic features: the coherence cube. Lead. Edge 14 (10), 1053–1058. doi:10.1190/1.1437077

CrossRef Full Text | Google Scholar

Bhunia, A. K., Banerjee, P., Konwer, A., Bhowmick, A., Roy, P. P., Pal, U., et al. (2018). “Word level font-to-font imagetranslation using convolutional recurrent generative adversarial networks,” in 24th international conference on pattern recognition (ICPR), 2018, 3645–3650. doi:10.1109/ICPR.2018.8545184

CrossRef Full Text | Google Scholar

Bi, Z., and Wu, X. (2021). Improving fault surface construction with inversion-based methods. Geophysics 86 (1), IM1–IM14. doi:10.1190/geo2019-0832.1

CrossRef Full Text | Google Scholar

Cai, J., Ding, S., Zhang, Q., Liu, R., Zeng, D., and Zhou, L. (2022). Broken ice circumferential crack estimation via image techniques. Ocean. Eng. 259, 111735. doi:10.1016/j.oceaneng.2022.111735

CrossRef Full Text | Google Scholar

Cao, D., Zeng, L., Gomez-Rivas, E., Gong, L., Liu, G., Bons, P. D., et al. (2024). Correction of linear fracture density and error analysis using underground borehole data. J. Struct. Geol. 184, 105152. doi:10.1016/j.jsg.2024.105152

CrossRef Full Text | Google Scholar

Chan, S., Huang, C., Bai, C., Ding, W., and Chen, S. (2022). Res2-UNeXt: a novel deep learning framework for few-shot cell image segmentation. Multimedia Tools Appl. 81 (10), 13275–13288. doi:10.1007/s11042-021-10536-5

CrossRef Full Text | Google Scholar

Chen, X., Yang, W., He, Z., Zhong, W. L., and Wen, X. T. (2012). The algorithm of 3D multi-scale volumetric curvature and its application. Appl. Geophys. 9 (1), 65–72. doi:10.1007/s11770-012-0315-7

CrossRef Full Text | Google Scholar

Chopra, S., and Arfut, K. J. (2010). Ntegration of coherence and volumetric curvature images i. Lead. Edge 29 (9), 1092–1107. doi:10.1190/1.3485769

CrossRef Full Text | Google Scholar

Chopra, S., and Marfurt, K. J. (2007). Seismic attributes for prospect identification and Reservoir characterization. Society of Exploration Geophysicists, 10 (11), 457–464.

Google Scholar

Chopra, S., and Marfurt, K. J. (2007). Seismic attributes for prospect identification and Reservoir characterization. Society of Exploration Geophysicists.

Google Scholar

Cui, X., Liu, Y., Du, X., Xiao, H., Xu, H., and Du, Y. (2025). Effect of fault dislocation on the deformation and damage behavior of ballastless track structures in tunnels. Transp. Geotech. 52, 101561. doi:10.1016/j.trgeo.2025.101561

CrossRef Full Text | Google Scholar

Deng, J., Liu, M., Ji, Y., Tang, D., Zeng, Q., Song, L., et al. (2022). Controlling factors of tight sandstone gas accumulation and enrichment in the slope zone of foreland basins: the Upper Triassic Xujiahe Formation in Western Sichuan Foreland Basin, China. J. Petroleum Sci. Eng. 214, 110474. 0920-4105. doi:10.1016/j.petrol.2022.110474

CrossRef Full Text | Google Scholar

Di, H., Zhao, T., Vikram, J., Wu, X., Huang, L., AlRegib, G., et al. (2019). Introduction to special section: machine learning in seismic data analysis. Interpretation 7 (3), T351–T359. doi:10.1190/int-2019-0609-spseintro.1

CrossRef Full Text | Google Scholar

Ding, C., Guo, X., Xiao, C., Sui, Z., and Yang, Y. (2025). Experimental Study on the influence of blast hole bottom cushion medium on blasting damage characteristics and strain evolution of rock mass. Rock Mech. Rock Eng. 58 (2), 1895–1909. doi:10.1007/s00603-024-04276-9

CrossRef Full Text | Google Scholar

Dorigo, M., Caro, G. D., and Gambardella, M. L. (1999). Ant algorithms for discrete optimization. Artif. Life 5 (2), 137–172, April. doi:10.1162/106454699568728

PubMed Abstract | CrossRef Full Text | Google Scholar

Fu, L., Guo, J., Shen, W., Wang, X., Liu, X., Chen, X., et al. (2024). Geophysical evidence of the collisional suture zone in the prydz Bay, East Antarctica. Geophys. Res. Lett. 51 (2), e2023GL106229. doi:10.1029/2023GL106229

CrossRef Full Text | Google Scholar

Gan, B., Li, Z., Huo, W., Zhang, Y., Li, Z., Fan, R., et al. (2025). Phase transitions of CH4 hydrates in mud-bearing sediments with oceanic laminar distribution: mechanical response and stabilization-type evolution. Fuel 380, 133185. doi:10.1016/j.fuel.2024.133185

CrossRef Full Text | Google Scholar

Gersztenkorn, A., and Marfurt, K. J. (2002). Eigenstructure-based coherence computations as an aid to 3-D structural and stratigraphic mapping. Geophysics 64 (5), 1468–1479. doi:10.1190/1.1444651

CrossRef Full Text | Google Scholar

Gibson, D., Spann, M., and Turner, J. (2003). Automatic fault detection for 3D seismic Data[C]//DICTA, 821–830.

Google Scholar

Höcker, C., and Fehmers, G. (2002). Fast structural interpretation with structure-oriented filtering. Lead. Edge 21 (3), 238–243. doi:10.1190/1.1463775

CrossRef Full Text | Google Scholar

Huang, L., Guan, W., Guan, Y., Zhao, H., Zhang, Z., and Wen, Y. (2025). Overburden movement law in strip filling mining of upward mining faces. Sci. Rep. 15 (1), 1378. doi:10.1038/s41598-024-82930-6

PubMed Abstract | CrossRef Full Text | Google Scholar

Kingma, D. P., and Ba, J. (2014). Adam: a method for stochastic optimization. Comput. ence. CoRR, abs/1412.6980.

Google Scholar

Kosters, M., Hague, P. F., Hofmann, R. A., and Hughes, B. (2008). “Integrated modeling of karstification of a Central Luconia Field Sarawak[C],” Paper presented at the International Petroleum Technology Conference (Kuala Lumpur, Malaysia), 3–5. doi:10.2523/IPTC-12327-MS

CrossRef Full Text | Google Scholar

Kurt, J., Marfurt, R., Lynn, K., and Steven, L. (2012). 3-D seismic attributes using a semblance-based coherency algorithm. Geophysics 63 (4), P1150–P1165. doi:10.1190/1.144415

CrossRef Full Text | Google Scholar

Lecun, Y., Bottou, L., Bengio, Y., and Haffner, P. (1998). Gradient-based learning applied to document recognition. Proc. IEEE 86 (11), 2278–2324. doi:10.1109/5.726791

CrossRef Full Text | Google Scholar

Ledig, C., Theis, L., Huszar, F., Caballero, J., Cunningham, A., Acosta, A., et al. (2017). “Photo-realistic single image super-resolution using a generative adversarial network[C],” in The lEEE conference on computer vision and pattern recognition (CVPR). doi:10.48550/arXiv.1609.04802

CrossRef Full Text | Google Scholar

Lei, J., Fang, H., Zhu, Y., Chen, Z., Wang, X., Xue, B., et al. (2024). GPR detection localization of underground structures based on deep learning and reverse time migration. NDT and E Int. 143, 103043. doi:10.1016/j.ndteint.2024.103043

CrossRef Full Text | Google Scholar

Li, Y., Jia, D., Wang, S., Qu, R., Qiao, M., and Liu, H. (2024). Surrogate model for reservoir performance prediction with time-varying well control based on depth generative network. Petroleum Explor. Dev. 51 (5), 1287–1300. doi:10.1016/S1876-3804(25)60541-6

CrossRef Full Text | Google Scholar

Li, L., Jin, H., Tu, W., and Zhou, Z. (2024). Study on the minimum safe thickness of water inrush prevention in karst tunnel under the coupling effect of blasting power and water pressure. Tunn. Undergr. Space Technol. 153, 105994. doi:10.1016/j.tust.2024.105994

CrossRef Full Text | Google Scholar

Liu, G., Kang, J., Zhong, Z., Bo, W., Fan, H., and Yang, C. (2025). Laboratory experiments and 3D DDA Numerical simulations on rockfall movement characteristics. Rock Mech. Rock Eng. 58 (8), 9747–9769. doi:10.1007/s00603-025-04648-9

CrossRef Full Text | Google Scholar

Liu, Z., Song, C., Cai, H., Yao, X., and Hu, G. (2017). Enhanced coherence using principal component analysis. Interpretation 5(3), T351–T359. doi:10.1190/int-2016-0194.1

CrossRef Full Text | Google Scholar

Lou, Y., Zhang, H., Liu, N., Liu, R., and Sun, F. (2022). Multiscale coherence attribute and its application on seismic discontinuity description. IEEE Geoscience Remote Sens. Lett. 19, 1–5. doi:10.1109/LGRS.2021.3132358

CrossRef Full Text | Google Scholar

Mao, X., Li, Q., Xie, H., Lau, R. Y. K., Wang, Z., and Smolley, S. P. (2017). “Least squares generative adversarial networks[C],” in Proceedings of the IEEE international conference on computer vision and pattern recognition, 2794–2802. doi:10.48550/arXiv.1611.04076

CrossRef Full Text | Google Scholar

Marfurt, K. J., Kirlin, R. L., Farmer, S. L., and Bahorich, M. S. (1998). 3D seismic attributes using a semblance-based coherency algorithm. Geophysics 63 (04), 1150–1165. doi:10.1190/1.1444415

CrossRef Full Text | Google Scholar

Niu, Q., Hu, M., Chang, J., Wang, W., Yuan, W., Wang, Q., et al. (2024). Explosive fracturing mechanism in low-permeability sandstone-type uranium deposits considering different acidification reactions. Energy 312, 133676. doi:10.1016/j.energy.2024.133676

CrossRef Full Text | Google Scholar

Niu, Q., Zhao, X., Chang, J., Qi, X., Shangguan, S., Wang, W., et al. (2025). Numerical simulation on physical composite stimulation and geothermal development performance of hot dry rock: a case study from Matouying Uplift, China. Appl. Therm. Eng. 267, 125714. doi:10.1016/j.applthermaleng.2025.125714

CrossRef Full Text | Google Scholar

Ren, Q., Li, L., Wang, J., Jiang, R., Li, M., and Feng, J. W. (2024). Dynamic evolution mechanism of the fracturing fracture system—Enlightenments from hydraulic fracturing physical experiments and finite element numerical simulation. Petroleum Sci. 21 (6), 3839–3866. doi:10.1016/j.petsci.2024.09.004

CrossRef Full Text | Google Scholar

Roberts, A. (2001). Curvature attributes and their application to 3D interpreted horizons. First Break 19, 85–100. doi:10.1046/j.0263-5046.2001.00142.x

CrossRef Full Text | Google Scholar

Sun, H., Wang, Y., Jia, L., Lin, Z., and Yu, H. (2024). Theoretical and numerical methods for predicting the structural stiffness of unbonded flexible riser for deep-sea mining under axial tension and internal pressure. Ocean. Eng. 310, 118672. doi:10.1016/j.oceaneng.2024.118672

CrossRef Full Text | Google Scholar

Suo, C., Peng, S., Chang, S., Duan, R., and Wang, G. (2012). A new calculating method of the curvature to predicting the Reservoir fractures. Procedia Environ. Sci. 12, 576–582. doi:10.1016/j.proenv.2012.01.320

CrossRef Full Text | Google Scholar

Wang, S., Yuan, S., Wang, T., Gao, J., and Li, S. (2018). Three-dimensional geosteering coherence attributes for deep-formation discontinuity detection. Geophysics 83 (6), O105–O113. doi:10.1190/geo2017-0642.1

CrossRef Full Text | Google Scholar

Wang, A., Liu, J., Liu, Z., Xiao, K., Huang, Y., Fan, L., et al. (2024). Genetic mechanisms of high-quality tight siliciclastic reservoirs: a case study from the Upper Triassic Xujiahe Formation in the Yuanba area, Sichuan Basin, China. Energy Geosci. 5, 100290. doi:10.1016/j.engeos.2024.100290

CrossRef Full Text | Google Scholar

Wu, X., and Dave, H. (2016). 3D seismic image processing for faults. Geophysics 81 (2), IM1–IM11. doi:10.1190/geo2015-0380.1

CrossRef Full Text | Google Scholar

Wu, Y., Shuai, H., Tam, Z., and Chiu, H. (2021). “Gradient normalization for generative adversarial networks[C],” in Proceedings of the IEEE/CVF international conference on computer vision, 6373–6382. doi:10.48550/arXiv.2109.02235

CrossRef Full Text | Google Scholar

Xu, W., Long, C., Wang, R., and Wang, G. (2021). “DRB-GAN: a dynamic resblock generative adversarial network for artistic style transfer[C],” in Proceedings of the IEEE/CVF international conference on Computer Vision, 6383–6392. doi:10.48550/arXiv.2108.07379

CrossRef Full Text | Google Scholar

Xu, D., Jiang, L., Qin, Y., Shen, H., and Ji, B. (2024). High-precision FBG-based sensor for soil settlement monitoring: a comparative study with magnetic settlement gauges and PIV technique. Sensors Actuators A Phys. 366, 114935. doi:10.1016/j.sna.2023.114935

CrossRef Full Text | Google Scholar

Xue, Y., Chang, F., Zhang, D., and Chen, Y. (2016). Simultaneous sources separation via an iterative rank-increasing method. IEEE Geoscience Remote Sens. Lett. 13 (12), 1915–1919. doi:10.1109/lgrs.2016.2617338

CrossRef Full Text | Google Scholar

Yongshi, W., Yang, G., and Zhengwei, F. (2021). Pore throat structure and classification of Paleogene tight reservoirs in jiyang depression, Bohai Bay Basin, China. Petroleum Explor. Dev. Online 48(2), 308–322. doi:10.1016/s1876-3804(21)60025-3

CrossRef Full Text | Google Scholar

Yuan, Y., Qin, G., Li, D., Zhong, M., Shen, Y., and Ouyang, Y. (2024). Real-Time joint filtering of gravity and gravity gradient data based on improved kalman filter. IEEE Trans. Geoscience Remote Sens. 62, 1–12. doi:10.1109/TGRS.2024.3452038

CrossRef Full Text | Google Scholar

Zhang, H., Bao, X., Zhao, H., Hao, Y., Huang, H., Dai, M., et al. (2025). High-Precision deblending of 3-D simultaneous source data based on prior information constraint. IEEE Geoscience Remote Sens. Lett. 22, 1–5. doi:10.1109/LGRS.2025.3526972

CrossRef Full Text | Google Scholar

Zhang, C., Zhu, Z., Dai, L., Wang, S., and Shi, C. (2025). The incompatible deformation mechanism of underground tunnels crossing fault conditions in the southwest edge strong seismic zone of the Qinghai-Tibet Plateau: a study of shaking table test. Soil Dyn. Earthq. Eng. 197, 109482. doi:10.1016/j.soildyn.2025.109482

CrossRef Full Text | Google Scholar

Zhao, H., Shi, J., Qi, X., Wang, X., and Jia, J. (2017). “Pyramid scene parsing network [C],” in Proceedings of the IEEE conference on computer vision and pattern recognition (CVPR). Honolulu, HI: United States, 2881–2890. doi:10.1109/CVPR.2017.660

CrossRef Full Text | Google Scholar

Zhao, Y., Huang, G., Liang, Q., and Chen, Q. (2024). Study on microscopic characteristics and rock mechanical properties of tight sandstone after acidification–supercritical CO2 composite action: case study from Xujiahe Formation, China. Appl. 14, 4108. doi:10.3390/app14104108

CrossRef Full Text | Google Scholar

Zhou, G., Wang, Z., and Li, Q. (2022). Spatial negative co-location pattern directional mining algorithm with join-based prevalence. Remote Sens. 14 (9), 2103. doi:10.3390/rs14092103

CrossRef Full Text | Google Scholar

Zhu, Y., Park, T., Isola, P., and Efros, A. A. (2017). “Unpaired image-to-image translation using cycle-consistentadversarial networks, ” in 2017 IEEE International Conference on Computer Vision ICCV, 2242–2251. doi:10.1109/ICCV.2017.244

CrossRef Full Text | Google Scholar

Keywords: multi-attribute calculations, generate adversarial network, U-Net++, fault characterization, dataset

Citation: Zhang Y, Wang X, Li Y, Jiang X and Zhang H (2025) Fracture prediction method and application based on multi-attribute fusion generative adversarial network. Front. Earth Sci. 13:1642287. doi: 10.3389/feart.2025.1642287

Received: 06 June 2025; Accepted: 24 September 2025;
Published: 31 October 2025.

Edited by:

Li Ang, Jilin University, China

Reviewed by:

Hongjian Zhu, Yanshan University, China
Xin Li, China National Offshore Oil Corporation, China
Victor Manuel Velasco Herrera, National Autonomous University of Mexico, Mexico
Muhammad Tayyab Naseer, Quaid-i-Azam University, Pakistan
Rusi Zuo, Tongji University, China

Copyright © 2025 Zhang, Wang, Li, Jiang and Zhang. This is an open-access article distributed under the terms of the Creative Commons Attribution License (CC BY). The use, distribution or reproduction in other forums is permitted, provided the original author(s) and the copyright owner(s) are credited and that the original publication in this journal is cited, in accordance with accepted academic practice. No use, distribution or reproduction is permitted which does not comply with these terms.

*Correspondence: Xingjian Wang, d2FuZ3hpQGNkdXQuZWR1LmNu

Disclaimer: All claims expressed in this article are solely those of the authors and do not necessarily represent those of their affiliated organizations, or those of the publisher, the editors and the reviewers. Any product that may be evaluated in this article or claim that may be made by its manufacturer is not guaranteed or endorsed by the publisher.