BRIEF RESEARCH REPORT article
Front. Earth Sci.
Sec. Solid Earth Geophysics
This article is part of the Research TopicFrontiers in Borehole Multi-Geophysics: Innovations and ApplicationsView all 8 articles
Analysis and testing of the detection performance of an ultra-deep azimuthal electromagnetic logging-while-drilling tool
Provisionally accepted- 1Sinopec Matrix Corporation, Qingdao, China
- 2China University of Petroleum East China, Qingdao, China
Select one of your emails
You have multiple emails registered with Frontiers:
Notify me on publication
Please enter your email address:
If you already have an account, please login
You don't have a Frontiers account ? You can register here
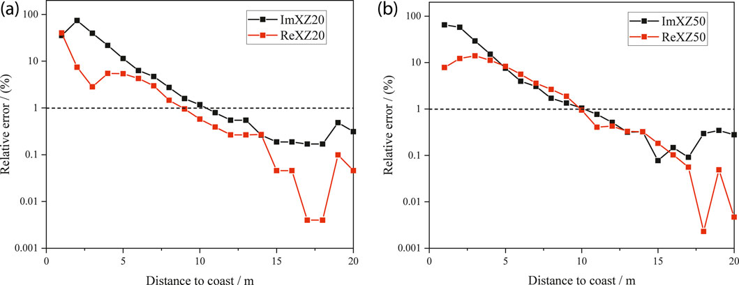
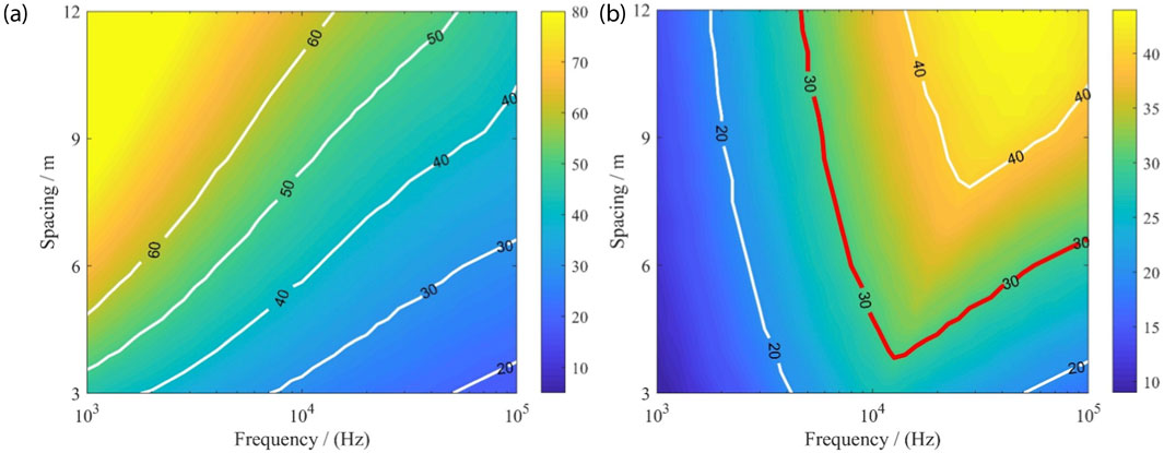
With the increasing complexity of hydrocarbon reservoirs, there is growing demand for greater depth of detection (DoD) in electromagnetic (EM) logging-while-drilling (LWD) tools. The latest generation of ultra-deep azimuthal resistivity LWD systems can reach several tens of meters, enabling precise geosteering, reservoir-scale geological understanding, and optimized field development.This study introduces a newly developed ultra-deep azimuthal EM LWD instrument. Sensitivity analysis of multi-component induced electromotive force (EMF) was performed with respect to resistivity and formation boundaries, identifying the most effective components for boundary detection. Measurement modes were then constructed to separate resistivity and boundary-sensitive signals. Transmitter–receiver spacing and operating frequency were optimized by jointly considering signal dynamics and gain, yielding an optimal range of 5–7 m spacing and 10–50 kHz frequency. A quantitative method was established to characterize maximum boundary-detection capability by integrating signal dynamic range (DR) and system measurement error. Under 80 dB DR and 5% error, the tool achieved a DoD of 36.4 m. To validate performance, an airhang test model was developed, and finite element simulations were conducted to define test conditions by accounting for shoreline and crane interference. Airhang verification tests are conducted with the instrument parallel to the sea surface. And the measurement results show good agreement with the numerical simulation results. The instrument's actual DoD exceeds 30m, representing a significant improvement compared to conventional LWD azimuthal resistivity tool, confirming its value for deep boundary detection in complex geological environments.
Keywords: Ultra-deep azimuthal resistivity logging while drilling, signal dynamic range, spacing, Frequency, Depth of detection
Received: 10 Sep 2025; Accepted: 14 Nov 2025.
Copyright: © 2025 Yuan, Yang, Hou, Deng and Qiao. This is an open-access article distributed under the terms of the Creative Commons Attribution License (CC BY). The use, distribution or reproduction in other forums is permitted, provided the original author(s) or licensor are credited and that the original publication in this journal is cited, in accordance with accepted academic practice. No use, distribution or reproduction is permitted which does not comply with these terms.
* Correspondence: Xiyong Yuan, upc_yxy@163.com
Disclaimer: All claims expressed in this article are solely those of the authors and do not necessarily represent those of their affiliated organizations, or those of the publisher, the editors and the reviewers. Any product that may be evaluated in this article or claim that may be made by its manufacturer is not guaranteed or endorsed by the publisher.
