ORIGINAL RESEARCH article
Front. Earth Sci.
Sec. Earth and Planetary Materials
This article is part of the Research TopicAdvances in Structure, Characterization, and Failure Mechanisms of Geomaterials: Theoretical, Experimental, and Numerical ApproachesView all 21 articles
Failure of a gently inclined fractured rock slope induced by coal seam mining and its impact on transmission towers
Provisionally accepted- 1Bijie Power Supply Bureau of Guizhou Power Grid Co., Ltd., CSG, Bijie, China
- 2Powerchina Guizhou Electric Power Engineering Co., Ltd, Guiyang, China
Select one of your emails
You have multiple emails registered with Frontiers:
Notify me on publication
Please enter your email address:
If you already have an account, please login
You don't have a Frontiers account ? You can register here
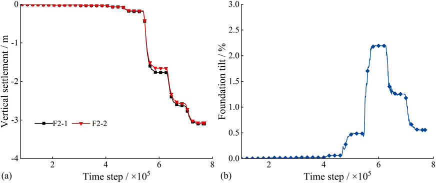
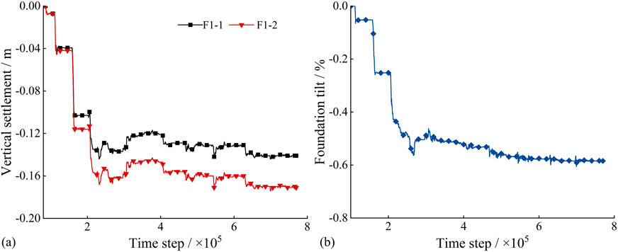
The mechanisms by which continuous underground coal mining induces surface subsidence and adversely affects transmission towers within the region remain incompletely understood. This study takes the Wenjiaba mining area in Zhijin County, Bijie city, Guizhou Province, China, as a case study and integrates field forensic investigations, laboratory-scale physical modeling, and two-dimensional discrete element numerical simulations to elucidate the mechanisms by which underground coal mining induces surface subsidence and deformation of transmission towers within the region. The study revealed that coal mining induces progressive failure of the overlying strata, with primary joints serving as the dominant pathways for fracture propagation. When the coal face advances to 150 m, the goaf roof collapses in a simply supported beam failure mode. By the time the coal face reaches 200 m, fractures have extended to the surface. As mining activities continue, the fractal dimension of cracks revealed in the slope model progressively increases, with rock mass failure primarily governed by the activation of primary joints and bedding planes. Surface subsidence induced by mining is the key factor driving the differential settlement of transmission tower foundations. The 2D DEM simulation results further reveal that transmission tower 1, located at the edge of the mined-out area, has a tilt of approximately 0.55%, whereas transmission tower 2, situated at the center of the mined-out area, has a foundation tilt exceeding 2.2% due to greater subsidence. This study provides scientific support for risk assessment of power transmission infrastructure in coal mining regions of southwestern China.
Keywords: Fractured rock slopes, Mining-induced subsidence, Transmission tower stability, DEM modeling, Failure mechanism
Received: 11 Sep 2025; Accepted: 24 Oct 2025.
Copyright: © 2025 Wu, Zhou, Li, Wu, Nie, Zhao and Liu. This is an open-access article distributed under the terms of the Creative Commons Attribution License (CC BY). The use, distribution or reproduction in other forums is permitted, provided the original author(s) or licensor are credited and that the original publication in this journal is cited, in accordance with accepted academic practice. No use, distribution or reproduction is permitted which does not comply with these terms.
* Correspondence: Yu Wu, 1007451989@qq.com
Disclaimer: All claims expressed in this article are solely those of the authors and do not necessarily represent those of their affiliated organizations, or those of the publisher, the editors and the reviewers. Any product that may be evaluated in this article or claim that may be made by its manufacturer is not guaranteed or endorsed by the publisher.
